Next Article in Journal
Evaluation of Investments in Wind Energy Projects, under Uncertainty. State of the Art Review
Previous Article in Journal
Analysis and Implementation of a Hybrid DC Converter with Wide Voltage Variation
 
 
Font Type:
Arial Georgia Verdana
Font Size:
Aa Aa Aa
Line Spacing:
Column Width:
Background:
Article

Occurrence of Pesticides Associated with an Agricultural Drainage System in a Mediterranean Environment

by
Ignacio Melendez-Pastor
*,
Encarni I. Hernández
,
Jose Navarro-Pedreño
,
María Belén Almendro-Candel
,
Ignacio Gómez Lucas
and
Manuel Miguel Jordán Vidal
Department of Agrochemistry and Environment, Miguel Hernández University of Elche, 03202 Elche, Spain
*
Author to whom correspondence should be addressed.
Appl. Sci. 2021, 11(21), 10212; https://doi.org/10.3390/app112110212
Submission received: 28 September 2021 / Revised: 22 October 2021 / Accepted: 28 October 2021 / Published: 31 October 2021
(This article belongs to the Section Agricultural Science and Technology)

Abstract

Surface water pollution (as a result of pesticides) is a major problem, due to the negative impact on human health and ecosystems. The excessive use and persistence of surface water pollution in the environment may present a notable risk. In this article, DDT and its metabolite DDE hereafter, DDT–DDE), and a commonly used pesticide (herbicide) glyphosate, were analyzed in agricultural drainage waters; afterward, a spatial analysis was applied to identify potential areas of high pesticide occurrence in an agricultural Mediterranean coastal floodplain. The spatial distribution of banned (Directive 79/117/EEC), yet highly persistent pesticides in the environment, such as DDT (and metabolites), was compared with the (currently and mostly used) glyphosate. A sequence of various point patterns, spatial analysis methods, and non-parametric statistics, were computed to elucidate the pesticide pollution hotspots. As a reference value, almost 70% of the water samples were above the World Health Organization (WHO) guideline for DDT (and metabolites) for drinking water (1 µg/L), with a maximum of 6.53 µg/L. Our spatial analysis approach revealed a significantly high concentration of DDT–DDE clusters close to wetlands in natural parks, where mosquitos are abundant, and pesticides persist and flow to the surface waters from soil and groundwater pools. Conversely, glyphosate concentrations were below WHO guidelines; their spatial patterns were related more toward current agricultural uses in the southern sector of the study area.

1. Introduction

Pesticides play an important role in agriculture, in preventing pests and improving yields, as well as in public health management, in regard to controlling diseases transmitted by insects (e.g., malaria) [1]. However, there has been public concern for decades about the short- and long-term effects of the use (and abuse) of pesticides, regarding human health (toxicity) and the protection of the environment (ecotoxicity). Thus, intense research was conducted to evaluate the acute and chronic toxicological effects of pesticides in humans and in other types of living organisms [2,3,4,5], their persistence in the environment, and their bioaccumulation in trophic chains [2,6,7]. Based on this scientific knowledge, regulations and agreements have proliferated, advocating for greater control of pesticide production and use in order to minimize its present and future impacts [8,9].
One pesticide that the scientific community is focusing on is dichlorodiphenyltrichloroethane (DDT), and its metabolites, e.g., dichlorodiphenyldichloroethylene (DDE), which is formed by the loss of hydrogen chloride (dehydrohalogenation) from DDT. As an example, more than 23,400 scientific documents related with DDT can be accessed through the SCOPUS platform (www.scopus.com, accessed on September 2021). DDT is a very stable, lipophilic, and persistent compound, which has been used widespread to control malaria, typhus, and other diseases, and its residues can be found globally [10]. A great concern about the negative effects of DDT dates back several decades, and its production and use are restricted. DDT is banned in most of the countries that signed the Stockholm Convention on Persistent Organic Pollutants (POP). The signatory countries (e.g., Spain was incorporated into the convention in 2001; entry enforced in 2004) should adopt measures to restrict its production and use [11].
However, past restrictions on the use of certain pesticides do not mean that they are no longer present in the environment. It is well known that DDT is still present in ocean and inland waters, soils, sediments, and living organisms in countries whose commercialization was prohibited decades ago, such as those belonging to the European Union (EU) [9,10,12]. If this pesticide is apparently no longer being used in many areas, the fact that it continues to appear (even at low concentrations) implies that there is a huge storage in the soils and sediments [13,14,15,16] that, little-by-little, is emerging into surface and groundwater, and entering into the trophic chains.
Glyphosate is another widely employed herbicide that is generating great concern (due to its possible effects on health and ecosystems). Glyphosate is a broad-spectrum herbicide, in which worldwide usage (agricultural and non-agricultural) rose more than 12-fold from 1995 to 2014 [17]. Although glyphosate was identified as “probably carcinogenic to humans” [18], its commercialization and use is generalized worldwide. However, research indicates that our current dependence (of its massive application) implies that, without glyphosate, fundamental changes in farming practices should be adopted, with huge economic costs, at least in the short-term [19].
One underdeveloped aspect is the analysis of the regional spatial distribution of pesticides, between measurements carried out in different locations and environmental compartments, and the possible existence of storage hotspots in soils and sediments. The use of pesticides did not have to follow a homogeneous spatial pattern because of their preferential uses of combatting or mitigating different types of pests. The possible existence of areas with higher levels of pesticide contaminations should be of concern, and should involve an appropriate spatial analysis, in order to promote better monitoring and management strategies for the territory [20].
In addition, the use of DDT, for instance, was very intense in wetland areas, some of which are currently protected areas included in the RAMSAR sites and the Natura 2000 network of the EU. Thus, it is necessary to address the study of pesticides, not only from the point of view from current, local sample points of water, soils, or living organisms, but also from the point of view of the spatial contextualization of pesticides, and their relationship with past and present land use.
The objective of this research involved the detection and location of pesticide sources detected in drainage water, by employing a sequence of various point patterns, spatial analysis methods, and non-parametric statistics. Two pesticides were determined in the drainage network, one persistent insecticide and its metabolites compound (DDT plus DDE), not used since the end of the past century in the 1970s (i.e., the Spanish Ministerial Order of 22 March, 1971 restricted the use of insecticides containing DDT due to their persistence and fat solubility), and a commonly used herbicide, glyphosate. This agricultural area is delimited by Mediterranean wetlands and close to densely populated urban areas and natural parks (protected areas).

2. Material and Methods

The study area is located in the southeast coast of Spain (province of Alicante), with an approximate location at coordinates 38.14 N and 0.73 W (Figure 1). It comprises of a coastal floodplain that, centuries ago, was a large coastal marsh and a lagoon (Elche lagoon) [21]. After the progressive implementation of drainage infrastructures for centuries, especially in the 18th century, the current landscape developed a mixture of irrigated agricultural areas and wetlands, with scattered urban areas.
The study area was developed over quaternary sediments, mainly transported by two rivers (Segura River in the south and Vinalopó River in the north), whose flow converged into the ancient lagoon. That lagoon was separated from the sea by a sand dune barrier. The resulting topography of the study area is very flat (Figure 1, upper), with an altitude lower than 20 m a.s.l. (excluding El Molar hill with 76 m a.s.l.), with a median ground elevation of 6.8 m and average slope below 1%. Dominant soils were calcaric fluvisols, although anthrosols, due to profoundly modifications through long-term cultivation (i.e., years), and Solonchaks, because of the high soil salinity, are well represented in the area [22]. In fact, previous edaphic research [23] evidenced large variability of soil electrical conductivity values, from low average electrical conductivity values for permanent crops areas (0.423 dS/m) to high values close to saltmarshes (4.5 dS/m). Homogeneous pH values (from 8.1 to 8.4) and soil organic matter content (1.9 to 2.6%) were also observed in our previous study [23].
In regard to the climate, the Köppen-Geiger climate class is BSh (hot semi-arid climate), with an annual average temperature reaching above 18 °C, and average precipitation lower than 300 mm [24]. Additionally, high temporal variability in precipitation promotes periods of severe drought, contrasting with periods of very intense and dramatic flood events.
The agriculture is possible due to the presence of a large network of drainage channels (called azarbes) that allow draining the water, reducing groundwater level to desiccate wetlands and marshes, increasing the arable land (Figure 1, lower). Based on the Corine Land Cover 2018 cartography [25], 74% of the study area is agriculture land cover classes, mainly permanently irrigated land (CLC2018 level 3 code 212 ; 39% of the study area), and fruit trees and berry plantations (CLC2018 level 3 code 222 ; 21% of the study area. However, some wetland areas persisted and were transformed into water reservoirs to be used for irrigation and, nowadays, form the Natural Park of “El Hondo” [21]. Two sectors within the irrigation systems can be distinguished: (a) the northern sector of the Vinalopó river (pours its water into the channels instead of directly into the sea), and associated channels that finally converge for a single water flow into the Mediterranean Sea. (b) The southern sector of the Segura River (larger water flow than the Vinalopó River) and associated channels (also converge for a single water flow into the Mediterranean Sea).

2.1. Water Samples Analyses

A total of 76 water samples (Figure 1) were collected during August 2017, distributed across 15 watercourses, including the mouth of both rivers, and 13 drainage channels (azarbes). Samples were collected with a sampling pole to avoid the removal of the bottom and then immediately stored at 4 °C until their analysis in the laboratory.
Six water quality parameters were analyzed, namely: pH, electrical conductivity (EC) at 25 °C, total suspended solids (TSS), nitrates, pesticides (DDT plus the metabolite DDE), and glyphosate. The four first parameters were analyzed according to standard methods [26], while pesticides were determined with an ELISA kit. In this sense, pH was determined with a Crison pH meter GLP 21 and EC (at 25 °C) with a Crison conductometer GLP 31 (Crison Instruments, Barcelona, Spain), respectively. Then, water samples were filtered in order to determine TSS and to obtain filtered water for further analyses. Glass microfiber filters with 0.45 µm of pore diameter were employed (Whatman—Cytiva, Marlborough, MA, USA). Filters with retained particles were dried in an oven (105 °C) until constant weight and TSS were determined by gravimetry. Nitrates were determined by the second derivative method with a PG Instruments T80 UV/VIS Spectrometer (PG Instruments Limited, Alma Park, UK).
Both pesticides were analyzed via an enzyme-linked immunosorbent assays (ELISA) technique, employing tests from Eurofins Abraxis (Warminster, PA USA). Firstly, DDT and the metabolite DDE (DDT–DDE) were determined with a microtiter plate ELISA test kit for DDT–DDE in water samples (Eurofins Abraxis product code 540041). In this test, both pesticides (DDT and DDE) were quantified jointly (the resulting value is the sum of DDT plus DDE). Concentrations of the samples were determined using the standard curve run with each test, using seven standards (i.e., 0; 0.625; 1.25; 2.5; 5.0; 10.0; 25.0 ppb). Upper and lower detections limits were 25.0 and 0.625, ppb respectively. Regarding the sensitivity of the test, this DDE/DDT assay has an estimated minimum detectable concentration, based on 90% B/B0 of 0.4 ng/mL. Secondly, glyphosate was determined with a microtiter plate ELISA test kit for glyphosate in water samples (Eurofins Abraxis product code 500086). Concentrations of the samples were determined using the standard curve run with each test, using six standards (i.e., 0, 0.075, 0.20, 0.5, 1.0, 4.0 ppb). Upper and lower detections limits were 4.0 and 0.075 ppb, respectively. Regarding the sensitivity of the test, this glyphosate assay has an estimated minimum detectable concentration, based on 90% B/B0 of 0.05 ng/mL. Samples with a value lower than the lower concentration standards were removed; samples with higher glyphosate concentrations (>4.0 ppb) needed a 1:2 dilution. Finally, a HEALES MB-580 (Shenzhen Huisong Technology Development Co. Ltd., Shenzhen, China) microplate reader was used to obtain the results from the ELISA test.

2.2. Statistical Methods

Basic descriptive statistics, such as minimum, maximum, mean, and standard deviation, were firstly computed. Additionally, the relative standard deviation (or coefficient of variation) was computed. The Shapiro–Wilk test of normality was applied to determine which variables adjusted to a normal distribution, to properly select further statistical methods. Based on the results of the test of normality, we adopted the non-parametric Spearman rank correlation test for the quantification of the correlation among the variables.
Different spatial statistics were computed in order to assess the spatial distribution of the water characteristics. Spatial analysis was done with GeoDa software (Center for Spatial Data Sciences at The University of Chicago, Chicago, IL, USA; URL: https://geodacenter.github.io/, accessed on 30 September 2021). Firstly, a non-parametric spatial correlogram was computed as a measure of global spatial autocorrelation. This procedure does not imply the specification of a spatial weight matrix. It is based on a local regression fitted to the covariances or correlations computed for all pairs of observations, as a function of the distance between them [27]. Standardized variables (z) were employed, and the correlogram was computed as a local regression [28]:
z i · z j = f ( d i j ) + u
where dij is the distance between a pair of locations i-j, u is an error term, and f is the non-parametric function to be determined from the data. Spatial correlograms allowed the identification of the (first) distance at which spatial autocorrelation ceased. This distance was specific for each parameter analyzed, and was then employed for their respective spatial weight’s matrix for further analysis. This strategy, of computing a global statistic to assess the distance threshold, and then employing this information for further local spatial statistics, was successfully applied by Luković et al. [29].
The second stage of the spatial analysis was the computation of the Moran’s I statistic [30,31]. It is computed as a cross-product between a variable and its spatial lag, with the variable expressed in deviations from its mean [28]. For an observation at location i, this is expressed as:
z i = x i x ¯
where x ¯ is the mean of variable x. The computation of Moran’s I statistic is done with the following expression
I = i j w i j z i · z j / S 0 i z i 2 / n
with wij as the elements of the spatial weights’ matrix, S 0 = i j w i j as the sum of all the weights, and n as the number of observations. Moran’s I provided a measure of global spatial autocorrelation within the distance threshold specified for each water quality parameter by the respective spatial weights matrix. Values may range from −1 (perfectly sparse values) to 1 (the largest spatial autocorrelation). A value equal to zero indicates a random pattern.
Finally, a point pattern analysis was done by computing the Getis–Ord ( G i * ) statistic [32]. It compares the values for a given location, respecting the values at neighboring locations. The distance threshold is determined by the previously defined spatial weights matrix. The row standardized G i * statistic was computed according to the following expression [28]:
G i * = j w i j x j j x j
This statistic was employed to detect local focus of spatial dependence for each water quality parameter. The interpretation of the results is that, for a value larger than the mean, the G i * statistic suggests a high–high cluster or hotspot, while a value smaller than the mean indicates a low–low cluster or cold spot.
Clusters resulting from the Getis–Ord statistic were employed for an additional statistical analysis. High correlation and low correlation clusters, as well as non-significant locations for each parameter, were converted to factors for the application of the Kruskal–Wallis test, and the creation of boxplots for each variable. Significant differences among the three factor levels were determined by the Kruskal–Wallis test [33], with Dunn’s test [34] for a post hoc analysis, with a significant level of p < 0.05.
Descriptive statistics, Spearman rank correlation test, Kruskal–Wallis test, Dunn’s test, and boxplots were conducted in R [35]. The geographical information system QGIS [36] was employed to process geographical information and create cartographic products.

3. Results

Descriptive statistics (Table 1) provided information about the main characteristics of the water parameters measured. A summary of the main characteristics for each water course is also include in the Supplementary Materials (Table S1). The number of samples employed in the analyses was 76, except for DDT–DDE (n = 69), due to the existence of some samples with very low concentrations.
Mean pH was 7.9 and exhibited low variability as denoted by a relatively low standard deviation of only 0.2. Electrical conductivity ranged from 2.3 to 18.2 mS/cm. These medium–high EC values are characteristic of the area, where the geological factors, along with a semiarid climate and intensive agriculture practices, promote high salinity in surface water and groundwater [37]. Mean TSS was 68.8 mg/L and the standard deviation was quite high (73.7 mg/L). We found a high variability of TSS values, from very low (minimum = 2.4 mg/L) to quite high values (maximum = 538.8 mg/L). The mean nitrate concentration was 22.1 mg/L with a maximum of 49.9 mg/L (RSD = 60.3%). The last two water quality parameters were DDT–DDE and glyphosate. Seven of the 76 water samples exhibited DDT–DDE concentrations lower than the lower detection limit (0.625 µg/L), and were discarded for further analysis. Mean values were 1.45 µg/L for DDT–DDE and 2.04 µg/L for glyphosate. DDT–DDE and glyphosate had similar relative standard deviation values (60.2% and 64.6%, respectively). The highest concentration for DDT–DDE was 6.5 µg/L, while the highest concentration for glyphosate was 6.2 µg/L. Based on the Shapiro–Wilk test, we evidence that all variables—except pH—does not adjust to a normal distribution (p-value < 0.05). This result was considered for further statistical analyses; thus, limiting the employment of a parametric test.
Bivariate correlations among water quality parameters were assessed with the non-parametric Spearman rank correlation test (Table 2). We focused our attention on the significant correlations among pesticides and the other water parameters. A significant and negative correlation between glyphosate and DDT–DDE was found. Moreover, both pesticides were significantly correlated with EC, but in different ways. In this sense, EC was positively correlated with DDT–DDE, and negatively correlated with glyphosate. Additionally, EC was negatively correlated with pH and positively correlated with TSS. Finally, we found that nitrates were only negatively correlated with TSS.
After the computation of descriptive statistics and correlations among variables, several spatial analyses were developed in order to consider the water parameters and the relation with their environments.

Spatial Analyses

Spatial correlograms were used to estimate the distance at which spatial correlation ceases (equals zero). The maximum distance between a pair of points was 12,009 m, but we observed that the distance at which autocorrelation ceased was much lower in any case (Table 3), ranging from 2 to 4.5 km. These distances were employed for the definition of the spatial weight’s matrix for further spatial analyses.
Maximum Moran’s I values obtained for nitrates and DDT–DDE indicates a higher spatial autocorrelation. Oppositely, total suspended solids had a Moran’s I value close to zero, which is related with a random pattern. Then, clusters of high or low correlation were obtained by using the Getis–Ord ( G i * ) statistic (Figure 2). The Vinalopó River mouth seems to agglutinate several clusters of hot–cold spots for different water parameters. The outlet of the river is a drainage channel (Azarbe de Dalt) instead of a direct river discharge on the coastline, and this area is very prone to inundation. High–high clusters were observed for EC (Figure 2b) and DDT–DDE (Figure 2e); a clear low–low cluster for pH (Figure 2a) was evident. The floodplains of the Segura River (south and southwest of the study area) were associated with a low–low cluster for EC values (Figure 2b). An extensive hotspot for nitrates was evident in the middle west of the study area (Figure 2d). This portion of the study area is more densely populated than the Vinalopó river mouth (see urban areas indicated in Figure 1).
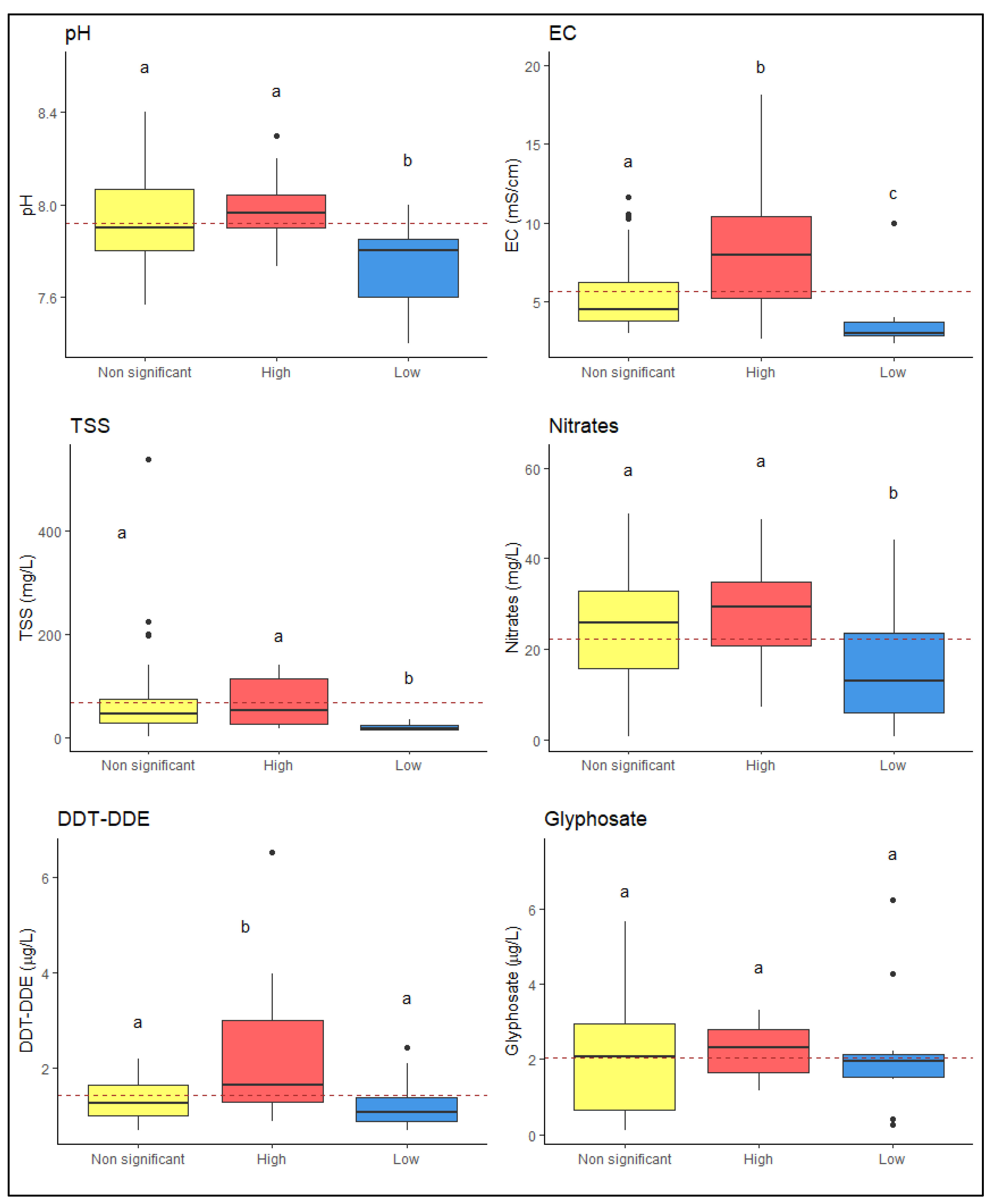
The categorization of the points obtained from the Getis–Ord ( G i * ) statistic (i.e., high–high, low–low, non-significant) was incorporated into the database of the water parameters and used as factors for a Kruskal–Wallis test (Table 3) [33], which could be associated with significant differences between clusters. Besides, box-plots for each parameter were also computed (Figure 3). Significance letters from Dunn’s test (p < 0.05) are included in the boxplots.
Significant differences for the Kruskal–Wallis (p-value < 0.05) test were obtained for pH, EC, nitrates, and DDT–DDE. Dunn’s test completed and confirmed these results with a post hoc analysis. For pH and nitrates, low–low clusters were significantly different to the other two categories (i.e., high–high clusters and non-significant points). For EC variables, all levels were significantly different. Finally, we observed that the DDT–DDE high–high cluster was significantly different from the others.

4. Discussion

The drainage water of the study area was characterized by its low quality, mainly due to the high presence of salts. This water is commonly reused for irrigation based on an ancient system of water distribution and scarce resources. A severe water deficit in late summer implies that farmers reuse the drainage water to irrigate their crops. It produces salt enrichment, and other compounds, as they continuously recirculate and lixiviate thought the soil (and evaporating water too). According to the irrigation water quality criteria developed by Ayers and Westcot [38], about 85% of our water samples have a severe degree of restriction for use (EC > 3.0 mS/cm). This fact greatly explains the selection and spatial distribution of crops in the study area. For example, in Figure 1, lower citrus crops (CLC2018 level 3, code 222, fruit trees and berry plantations) surround lower salinity drainage channels in the Segura River channels, while tolerant plants, e.g., melon or date palms, are irrigated with higher salinity water, mainly proceeding from the Vinalopó River channels. This spatial pattern is also coherent with the spatial pattern of soil electrical conductivity, which we previously found in the study area [23,39]. Secondary soil and water salinization is widespread through intensive agriculture irrigated floodplains of southeast Spain, where solute inputs from irrigation and rainfall are much higher than the solute outputs of plant uptake or leaching down the soil [40]. Additionally, the Vinalopó River (EC = 18.2 µS/cm) transports high amounts of soluble salt from upstream Triassic Keuper deposits [41]. It is artificially drained from the flooding area, where the wetlands of the ancient lagoon and marshes were almost completely desiccated for agriculture [21]. All of these factors might explain the spatial distribution of water EC values and the location of the high–high cluster of salinized water; and it was found for soils [23,39].
The presence of wetlands in the study area represent highly valuable environmental and socioeconomic resources. Unfortunately, they were traditional hotspots for malaria, and the employment of DDT and other insecticides was very intense for several decades of the 20th century [42]. Current employment of DDT should be null, due to the fact that DDT in the EU was banned in 1978 (Directive 79/117/EEC). However, residual DDT presence is widespread and has been repeatedly found in marine sediment, seawater, or even seabirds [43,44]. We reported a DDT–DDE mean value in the study area of 1.45 µg/L with a standard deviation of 0.87 µg/L and a maximum of 6.53 µg/L. DDT–DDE was detected in 69 of the 76 water samples (90.8%), suggesting that its current presence is ubiquitous through the study area. As a reference of the importance of this pollution, the WHO guidelines for drinking water provide guideline values of DDT and metabolites, of 1 µg/L [45]. In this sense, 69.6% of our water samples (48 out of 69) were above this guideline value. Concerning glyphosate, this herbicide is currently commercialized and its use for weed control is approved in the European Union until 15 December 2022 [46]. We reported an average glyphosate value in the study area of 2.04 µg/L, with a standard deviation of 1.32 µg/L and a maximum of 6.24 µg/L. The WHO provides a guideline value for glyphosate, along with its metabolite aminomethylphosphonic acid (AMPA) [45]. A health-based value of 0.9 mg/L (equivalent to 900 µg/L) can be derived based on the acceptable daily intake (ADI) of 0.3 mg/kg of body weight, assuming a 60-kg adult consuming 2 L of drinking water per day, and allocating 10% of the ADI to drinking water [47]. Not one of our water samples was above this guideline value.
Our selection of the ELISA test for the quantification of pesticides in water samples was based on previous evidence about its suitability for efficient and cost-effective monitoring of water pollutants. In this sense, previous studies have demonstrated that employment of the ELISA test for the detection of DDT and glyphosate in water samples is a feasible technique [48,49], and provides results comparable to other methods. For example, Amitarani et al. [50] assessed DDT pollution in water samples from different sources (i.e., channels, borewell, and lake) in southern India, by employing ELISA and gas chromatography (GC) techniques, concluding that statistically comparable results were obtained with both techniques. Byer et al. [51] compared the performance of the ELISA test and liquid chromatography tandem mass spectrometry (LC/MS/MS) for glyphosate quantification in more than 700 water samples across Ontario (Canada), concluding that the ELISA test was a cost-effective approach to enhance the spatial and temporal resolution of a water quality monitoring surveys. Rubio et al. [52] compared the performance of the ELISA test and high-pressure liquid chromatography (HPLC) for glyphosate quantification in different types of water samples (i.e., nanopure, tap, and river water), concluding that, regardless of the water type, there was no statistical difference between the two methods. Both pesticides have very different chemical properties (e.g., DDT is less soluble in water than glyphosate, and their half-lives in soil are different too; see fact sheets in PubChem [53] and Wauchope et al. [5]), and their spatial distribution pattern was also very different. Its spatial distribution is a consequence of the environmental characteristics of each river basin and associated channel, as well as past and present land use and management practices. Negative correlation between glyphosate and DDT–DDE, and the significant correlation with EC for both pesticides, was observed (Table 2). Inverse correlation among pesticides concentration for the whole study area seems to be more related with local land use and management than a potential interaction between both pesticides. As spatial analyses will reveal, this inverse correlation may denote differences in the past and present application (and environmental availability) of each pesticide. Additionally, significant correlations of EC with pesticides (positive for DDT–DDE and negative for glyphosate) is due to the characteristics of river basins and associated channels instead of a cause–effect relationship. These results suggest that different spatial patterns could be found and need to be investigated.
The sequence of spatial analyses developed in this research (see Table 3, Figure 2 and Figure 3) was needed to elucidate the spatial pattern of both pesticides. They provided valuable information about the expected autocorrelation range for each variable. The Getis–Ord statistic results revealed a clear high–high cluster of DDT–DDE located close to the artificial mouth the Vinalopó River, between both protected wetlands (Figure 2e). As previously noted, this region of southeast Spain had endemic malaria until 1960s [54]. The presence of large wetlands and irrigation channels, where Anopheles mosquitoes may have reproduced led to the intensive use of insecticides (especially DDT, in the past). Wetlands comprised of a large reservoir of mosquitoes, and efforts to combat malaria must have focused particularly on them. This may explain the higher abundance of residual DDT–DDE. The current presence of remarkably high concentrations of DDT and metabolites in surface waters is frequent in areas where malaria was endemic, as our study area or locations were as remote as South Africa [55]. Although DDT could be currently banned (or strictly regulated), extensive history of DDT application has left a permanent mark on the environment [55].
Glyphosate is an herbicide used in many environments, not only in rural areas, but also in urban and peri-urban areas to control weeds (e.g., roadsides). This could explain the fact that we did not find a clear pattern for its spatial distribution, influenced by the great presence of urban settlements and disperse houses. It is possible that the presence of this herbicide throughout the area will change in time, after the limitation of its use in 2022, and it is expected that glyphosate concentration will drop, as it tends to degrade relatively rapidly in soils under most conditions, presumably by microbial processes [56]. However, great attention should be focused on the employment of postemergence herbicides, such as glyphosate, because recent studies suggest that they may maximize land degradation processes (e.g., soil erosion) and promote release back to the environment of banned remnant pesticides (such as DDT) that are stored in the soil [57].
Form the point of view of a spatial analysis, the significant correlations of EC with pesticides could be explained by the north–south water salinity gradient found in the study area. A high–high cluster for EC was located close to the artificial mouth the Vinalopó River (Figure 2b). This spatial pattern, coincident with the spatial distribution of DDT–DDE, may explain the significant positive correlation of EC and DDT–DDE (Table 2). Conversely, the northern sector of the study area is a cold spot for glyphosate, where its presence is more reduced than in the southern Segura River channels.
Future research (including seasonal trends and soil and sediments analyses) may help to elucidate the magnitude and dynamics of residual pesticide pools in groundwater, soil, and surface waters, and the effectiveness of the next limitation, on the use of glyphosate and the control of the slow degradation of DDT [58].

5. Conclusions

This study combined spatial correlograms, Moran’s I, Getis–Ord ( G i * ) statistic, Kruskal–Wallis test, and Dunn’s test to identify significantly high/low concentrations of pesticides in the surface water of an agricultural coastal floodplain, and the relations with certain water parameters.
High concentration clusters of EC and DDT–DDE were identified in the same area, close to the outflow of a river (the artificial mouth of the Vinalopó River), in a prone to inundation area between two large wetlands. In this sense, previous works have shown that soils of that area have high salinity [23] and are a preferably area to combat mosquitoes [42]. The proposed methodology provided insight into the processes that may have occurred in recent years. Secondary salinization of the soil and remote transport of soluble salt (e.g., through the Vinalopó River) might explain the electrical conductivity cluster, while the past fight against malaria should be the underlying cause of the high concentration cluster for DDT–DDE. The widespread use and diffuse pollution of a currently commercialized pesticide (glyphosate) was also revealed, as it is present throughout the whole area.
The proposed methodology will help researchers as they conduct further research in significant locations, by optimizing research efforts, promoting strategies for better management (or even restoration) of soil and water resources, by detecting pollution hotspots that could be sources of toxicity.

Supplementary Materials

The following are available online at https://www.mdpi.com/article/10.3390/app112110212/s1, Table S1. Descriptive statistics for each water course.

Author Contributions

Conceptualization, I.M.-P., J.N.-P., M.B.A.-C., I.G.L.; methodology, I.M.-P., E.I.H., J.N.-P., M.M.J.V.; investigation, E.I.H., M.B.A.-C.; formal analysis, I.M.-P., E.I.H.; writing—original draft preparation, I.M.-P., J.N.-P.; writing—review and editing, J.N.-P., M.M.J.V.; funding acquisition, J.N.-P., I.G.L. All authors have read and agreed to the published version of the manuscript.

Funding

This research was financed by the Conselleria d’Agricultura, Desenvolupament Rural, Emergència Climàtica i Transició Ecològica of the Generalitat Valenciana (Spain).

Institutional Review Board Statement

Not applicable.

Informed Consent Statement

Not applicable.

Data Availability Statement

All of the data generated or analyzed during this study are included in this published article (and its Supplementary Information files).

Conflicts of Interest

The authors declare no conflict of interest. The funders had no role in the design of the study; in the collection, analyses, or interpretation of data; in the writing of the manuscript; or in the decision to publish the results.

References

  1. WHO. The Use of DDT in Malaria Vector Control WHO Position Statement; WHO: Geneva, Switzerland, 2011. [Google Scholar]
  2. Walsh, J.J.; Lenes, J.M.; Weisberg, R.H.; Zheng, L.; Hu, C.; Fanning, K.A.; Snyder, R.; Smith, J. More surprises in the global greenhouse: Human health impacts from recent toxic marine aerosol formations, due to centennial alterations of world-wide coastal food webs. Mar. Pollut. Bull. 2017, 116, 9–40. [Google Scholar] [CrossRef] [PubMed]
  3. Vos, J.G.; Dybing, E.; Greim, H.A.; Ladefoged, O.; Lambré, C.; Tarazona, J.V.; Brandt, I.; Vethaak, A.D. Health Effects of Endocrine-Disrupting Chemicals on Wildlife, with Special Reference to the European Situation. Crit. Rev. Toxicol. 2000, 30, 71–133. [Google Scholar] [CrossRef] [PubMed]
  4. Rudel, R.A.; Camann, D.E.; Spengler, J.D.; Korn, L.R.; Brody, J.G. Phthalates, Alkylphenols, Pesticides, Polybrominated Diphenyl Ethers, and other Endocrine-Disrupting Compounds in Indoor Air and Dust. Environ. Sci. Technol. 2003, 37, 4543–4553. [Google Scholar] [CrossRef] [PubMed]
  5. Wauchope, R.D.; Buttler, T.M.; Hornsby, A.G.; Augustijn-Beckers, P.W.M.; Burt, J.P. The SCS/ARS/CES Pesticide Properties Database for Environmental Decision-Making. Rev. Environ. Contam. Toxicol. 1992, 123, 1–155. [Google Scholar] [CrossRef]
  6. Storelli, M.M.; Losada, S.; Marcotrigiano, G.O.; Roosens, L.; Barone, G.; Neels, H.; Covaci, A. Polychlorinated biphenyl and organochlorine pesticide contamination signatures in deep-sea fish from the Mediterranean Sea. Environ. Res. 2009, 109, 851–856. [Google Scholar] [CrossRef]
  7. Relyea, R.A. A cocktail of contaminants: How mixtures of pesticides at low concentrations affect aquatic communities. Oecologia 2009, 159, 363–376. [Google Scholar] [CrossRef]
  8. Li, Z. A health-based regulatory chain framework to evaluate international pesticide groundwater regulations integrating soil and drinking water standards. Environ. Int. 2018, 121, 1253–1278. [Google Scholar] [CrossRef]
  9. Villaverde, J.J.; Sevilla-Morán, B.; López-Goti, C.; Alonso-Prados, J.L.; Sandín-España, P. Trends in analysis of pesticide residues to fulfil the European Regulation (EC) No. 1107/2009. TrAC–Trends Anal. Chem. 2016, 80, 568–580. [Google Scholar] [CrossRef]
  10. Vladimir, T.; Valery, R.; Lorenzo, T. Dichlorodiphenyltrichloroethane (DDT): Ubiquity, persistence, and risks. Environ. Health Perspect. 2002, 110, 125–128. [Google Scholar] [CrossRef]
  11. UNEP. Stockholm Convention on Persistent Organic Pollutants (POPs). Text d Annexes. Revised in 2017; UNEP: Stockholm, Sweden, 2018. [Google Scholar]
  12. Stemmler, I.; Lammel, G. Cycling of DDT in the global environment 1950–2002: World ocean returns the pollutant. Geophys. Res. Lett. 2009, 36, L24602. [Google Scholar] [CrossRef]
  13. Maillard, E.; Imfeld, G. Pesticide mass budget in a stormwater wetland. Environ. Sci. Technol. 2014, 48, 8603–8611. [Google Scholar] [CrossRef]
  14. Albaiges, J.; Algaba, J.; Arambarri, P.; Cabrera, F.; Baluja, G.; Hernández, L.M.; Castroviejo, J. Budget of organic and inorganic pollutants in the doñana national park (Spain). Sci. Total Environ. 1987, 63, 13–28. [Google Scholar] [CrossRef]
  15. López-Flores, R.; Quintana, X.D.; Salvadó, V.; Hidalgo, M.; Sala, L.; Moreno-Amich, R. Comparison of nutrient and contaminant fluxes in two areas with different hydrological regimes (Empordà Wetlands, NE Spain). Water Res. 2003, 37, 3034–3046. [Google Scholar] [CrossRef]
  16. Chen, C.; Li, T.; Zou, W.; Chen, S.; Zhang, K.; Ma, L. Spatial distribution and sources of organochlorine pesticides in surface waters of Shanghai, China. SN Appl. Sci. 2020, 2, 1739. [Google Scholar] [CrossRef]
  17. Benbrook, C.M. Trends in glyphosate herbicide use in the United States and globally. Environ. Sci. Eur. 2016, 28, 15. [Google Scholar] [CrossRef]
  18. Guyton, K.Z.; Loomis, D.; Grosse, Y.; El Ghissassi, F.; Benbrahim-Tallaa, L.; Guha, N.; Scoccianti, C.; Mattock, H.; Straif, K. Carcinogenicity of tetrachlorvinphos, parathion, malathion, diazinon, and glyphosate. Lancet Oncol. 2015, 16, 490–491. [Google Scholar] [CrossRef]
  19. Kudsk, P.; Mathiassen, S.K. Pesticide regulation in the European Union and the glyphosate controversy. Weed Sci. 2020, 68, 214–222. [Google Scholar] [CrossRef]
  20. Chen, C.; Zou, W.; Cui, G.; Han, C.; Ma, L. Current-Use Pesticides in the River Waters of Eastern China: Occurrence and Human Health Risk Assessment. Expo. Heal. 2021, 13, 65–77. [Google Scholar] [CrossRef]
  21. Box Amorós, M. Humedales y Áreas Lacustres de la Provincia de Alicante; University of Alicante: Alicante, Spain, 2004; ISBN 9788479087142. [Google Scholar]
  22. IUSS Working Group WRB. World Reference Base for Soil Resources 2014, Update 2015 International Soil Classification System for Naming Soils and Creating Legends for Soil Maps. World Soil Resources Reports No. 106.; Food and Agriculture Organization of the United Nations (FAO): Rome, Italy, 2014; ISBN 9789251083697. [Google Scholar]
  23. Bas-Niñerola, V.; Navarro-Pedreño, J.; Gómez Lucas, I.; Melendez-Pastor, I.; Jordán-Vidal, M.M. Geostatistical assessment of soil salinity and cropping systems used as soil phytoremediation strategy. J. Geochem. Explor. 2017, 174, 53–58. [Google Scholar] [CrossRef]
  24. AEMET-IMP Iberian Climate Atlas. Air Temperature and Precipitation (1971–2000); Agencia Estatal de Meteorología, Ministerio de Medio Ambiente y Medio Rural y Marino–Instituto de Meteorologia de Portugal: Madrid, Spain, 2011; ISBN 9788478370795. [Google Scholar]
  25. EEA. CLC2018 Technical Guidelines; European Environment Agency (EEA): Wien, Austria, 2017. [Google Scholar]
  26. APHA-AWWA-WEF. Standard Methods for the Examination of Water and Wastewater, 22nd ed.; American Public Health Association (APHA), American Water Works Association (AWWA), Water Environment Federation (WEF): Washington, DC, USA, 2012; ISBN 9780875530130. [Google Scholar]
  27. BjØrnstad, O.N.; Falck, W. Nonparametric spatial covariance functions: Estimation and testing. Environ. Ecol. Stat. 2001, 8, 53–70. [Google Scholar] [CrossRef]
  28. Anselin, L. GeoDa Workbook. Available online: https://geodacenter.github.io/documentation.html (accessed on 3 March 2021).
  29. Luković, J.; Blagojevć, D.; Kilibarda, M.; Bajat, B. Spatial pattern of North Atlantic Oscillation impact on rainfall in Serbia. Spat. Stat. 2015, 14, 39–52. [Google Scholar] [CrossRef]
  30. Moran, P.A.P. The Interpretation of Statistical Maps. J. R. Stat. Soc. Ser. B 1948, 10, 243–251. [Google Scholar] [CrossRef]
  31. Cliff, A.D.; Ord, J.K. Spatial Autocorrelation; Pion: London, UK, 1973. [Google Scholar]
  32. Getis, A.; Ord, J.K. The Analysis of Spatial Association by Use of Distance Statistics. Geogr. Anal. 1992, 24, 189–206. [Google Scholar] [CrossRef]
  33. Kruskal, W.H.; Wallis, W.A. Use of Ranks in One-Criterion Variance Analysis. J. Am. Stat. Assoc. 1952, 47, 583–621. [Google Scholar] [CrossRef]
  34. Dunn, O.J. Multiple Comparisons Using Rank Sums. Technometrics 1964, 6, 241–252. [Google Scholar] [CrossRef]
  35. R Core Team. R: A Language and Environment for Statistical Computing; R Foundation for Statistical Computing: Vienna, Austria; Available online: http://www.r-project.org/index.htm (accessed on 3 March 2021).
  36. QGIS.org QGIS Geographic Information System. QGIS Association. Available online: https://www.qgis.org/ (accessed on 3 March 2021).
  37. Navarro-Pedreño, J.; Melendez-Pastor, I.; Gómez-Lucas, I. Masas de aguas superficiales: Ríos. In El Agua en la Provincia de Alicante; Melgarejo, J., Fernández, M., Eds.; Diputación de Alicante: Alicante, Spain, 2020; pp. 13–43. [Google Scholar]
  38. Ayers, R.S.; Westcot, D.W. Water Quality for Agriculture. Irrigation and Drainage Paper 29. Rev. 1; Food and Agriculture Organization of the United Nations (FAO): Rome, Italy, 1985. [Google Scholar]
  39. Navarro-Pedreño, J.; Jordan, M.M.; Melendez-Pastor, I.; Gómez, I.; Juan, P.; Mateu, J. Estimation of soil salinity in semi-arid land using a geostatistical model. L. Degrad. Dev. 2007, 18, 339–353. [Google Scholar] [CrossRef]
  40. Schofield, R.; Thomas, D.S.G.; Kirkby, M.J. Causal processes of soil salinization in Tunisia, Spain and Hungary. L. Degrad. Dev. 2001, 12, 163–181. [Google Scholar] [CrossRef]
  41. Andreu, J.M.; García-Sánchez, E.; Pulido-Bosch, A.; Jorreto, S.; Francés, I. Influence of Triassic deposits on water quality of some karstic aquifers to the south of Alicante (Spain). Estud. Geol. 2010, 66, 131–138. [Google Scholar] [CrossRef]
  42. Fernández Astasio, B. La Erradicación del Paludismo en España Aspectos Biológicos de la Lucha Antipalúdica. Ph.D. Thesis, Complutense University of Madrid, Madrid, Spain, 2003. [Google Scholar]
  43. Prats, D.; Ruiz, F.; Zarzo, D. Polychlorinated biphenyls and organochlorine pesticides in marine sediments and seawater along the coast of Alicante, Spain. Mar. Pollut. Bull. 1992, 24, 441–446. [Google Scholar] [CrossRef]
  44. Espín, S.; Martínez-López, E.; Gómez-Ramírez, P.; María-Mojica, P.; García-Fernández, A.J. Assessment of organochlorine pesticide exposure in a wintering population of razorbills (Alca torda) from the southwestern Mediterranean. Chemosphere 2010, 80, 1190–1198. [Google Scholar] [CrossRef] [PubMed]
  45. WHO. Guidelines for Drinking-Water Quality: Fourth Edition Incorporating the First Addendum; World Health Organization (WHO): Geneva, Switzerland, 2017; ISBN 9789241549950. [Google Scholar]
  46. European Commission. Commission Implementing Regulation (EU) 2017/2324 of 12 December 2017 Renewing the Approval of the Active Substance Glyphosate in Accordance with Regulation (EC) No 1107/2009 of the European Parliament and of the Council concerning the placing of plant pr; European Commission: Brusses, Belgium, 2017. [Google Scholar]
  47. WHO. Glyphosate and AMPA in Drinking-Water. Background Document for Development of WHO Guidelines for Drinking-water Quality; World Health Organization (WHO): Geneva, Switzerland, 2005. [Google Scholar]
  48. Mörtl, M.; Németh, G.; Juracsek, J.; Darvas, B.; Kamp, L.; Rubio, F.; Székács, A. Determination of glyphosate residues in Hungarian water samples by immunoassay. Microchem. J. 2013, 107, 143–151. [Google Scholar] [CrossRef]
  49. Anfossi, L.; Giraudi, G.; Tozzi, C.; Giovannoli, C.; Baggiani, C.; Vanni, A. Development of a non-competitive immunoassay for monitoring DDT, its metabolites and analogues in water samples. Anal. Chim. Acta 2004, 506, 87–95. [Google Scholar] [CrossRef]
  50. Amitarani, B.E.; Pasha, A.; Gowda, P.; Nagendraprasad, T.R.; Karanth, N.G.K. Comparison of ELISA and GC Methods to Detect DDT Residues in Water Samples. Indian J. Biotechnol. 2002, 1, 292–297. [Google Scholar]
  51. Byer, J.D.; Struger, J.; Klawunn, P.; Todd, A.; Sverko, E.D. Low cost monitoring of glyphosate in surface waters using the ELISA method: An evaluation. Environ. Sci. Technol. 2008, 42, 6052–6057. [Google Scholar] [CrossRef] [PubMed]
  52. Rubio, F.; Veldhuis, L.J.; Clegg, B.S.; Fleeker, J.R.; Hall, J.C. Comparison of a direct ELISA and an HPLC method for glyphosate determinations in water. J. Agric. Food Chem. 2003, 51, 691–696. [Google Scholar] [CrossRef]
  53. Kim, S.; Chen, J.; Cheng, T.; Gindulyte, A.; He, J.; He, S.; Li, Q.; Shoemaker, B.A.; Thiessen, P.A.; Yu, B.; et al. PubChem in 2021: New data content and improved web interfaces. Nucleic Acids Res. 2021, 49, D1388–D1395. [Google Scholar] [CrossRef] [PubMed]
  54. Bueno, R.; Jiménez, R. Malaria en España: Aspectos entomológicos y perspectivas de futuro. Rev. Esp. Salud Publica 2008, 82, 467–479. [Google Scholar] [CrossRef][Green Version]
  55. Horak, I.; Horn, S.; Pieters, R. Agrochemicals in freshwater systems and their potential as endocrine disrupting chemicals: A South African context. Environ. Pollut. 2021, 268, 115718. [Google Scholar] [CrossRef]
  56. Barrett, K.A.; McBride, M.B. Oxidative Degradation of Glyphosate and Aminomethylphosphonate by Manganese Oxide. Environ. Sci. Technol. 2005, 39, 9223–9228. [Google Scholar] [CrossRef] [PubMed]
  57. Sabatier, P.; Poulenard, J.; Fangeta, B.; Reyss, J.L.; Develle, A.L.; Wilhelm, B.; Ployon, E.; Pignol, C.; Naffrechoux, E.; Dorioz, J.M.; et al. Long-term relationships among pesticide applications, mobility, and soil erosion in a vineyard watershed. Proc. Natl. Acad. Sci. USA 2014, 111, 15647–15652. [Google Scholar] [CrossRef]
  58. Sudharshan, S.; Naidu, R.; Mallavarapu, M.; Bolan, N. DDT remediation in contaminated soils: A review of recent studies. Biodegradation 2012, 23, 851–863. [Google Scholar] [CrossRef] [PubMed]
Figure 1. Descriptive maps of the study area: (upper) location of the study area showing the main populated areas (e.g., Almoradí); the digital elevation model (DEM), main water courses (natural and artificial, e.g., azarbes, which is the drainage network) and the location of the sampling points. (Lower) agricultural land covers at the study area; irrigation channels associated to each river are shown with different colors.
Figure 1. Descriptive maps of the study area: (upper) location of the study area showing the main populated areas (e.g., Almoradí); the digital elevation model (DEM), main water courses (natural and artificial, e.g., azarbes, which is the drainage network) and the location of the sampling points. (Lower) agricultural land covers at the study area; irrigation channels associated to each river are shown with different colors.
Applsci 11 10212 g001
Figure 2. Getis–Ord ( G i * ) statistic results for: (a) pH; (b) EC; (c) TSS; (d) nitrates; (e) DDT–DDE; and (f) glyphosate. Red triangles represent high–high clusters (hotspots), blue circles represent low–low clusters (cold spots), and yellow dots represent non-significant points. The hotspot area of DDT is highlighted with a red ellipse (e).
Figure 2. Getis–Ord ( G i * ) statistic results for: (a) pH; (b) EC; (c) TSS; (d) nitrates; (e) DDT–DDE; and (f) glyphosate. Red triangles represent high–high clusters (hotspots), blue circles represent low–low clusters (cold spots), and yellow dots represent non-significant points. The hotspot area of DDT is highlighted with a red ellipse (e).
Applsci 11 10212 g002
Figure 3. Box plots of the water quality parameters. The x-axis categories were obtained from the Getis–Ord ( G i * ) statistic results. Dashed brown lines represent the mean values of each water quality parameter. The color code of the boxplots is the same of the Getis–Ord maps. Different letters above the boxplots denote subgroups, according to Dunn’s test post hoc analysis.
Figure 3. Box plots of the water quality parameters. The x-axis categories were obtained from the Getis–Ord ( G i * ) statistic results. Dashed brown lines represent the mean values of each water quality parameter. The color code of the boxplots is the same of the Getis–Ord maps. Different letters above the boxplots denote subgroups, according to Dunn’s test post hoc analysis.
Applsci 11 10212 g003
Table 1. Descriptive statistics of the water characteristics of the drainage channels: minimum and maximum values, arithmetic mean, standard deviation (SD), and relative standard deviation (RSD). Shapiro–Wilk test of normality was included.
Table 1. Descriptive statistics of the water characteristics of the drainage channels: minimum and maximum values, arithmetic mean, standard deviation (SD), and relative standard deviation (RSD). Shapiro–Wilk test of normality was included.
VariablesMin.Max.MeanSDRSD (%)Shapiro–Wilk
pH7.48.47.90.22.40.345
EC (mS/cm)2.3018.165.633.0754.6<0.001
TSS (mg/L)2.40538.8068.7673.70107.2<0.001
Nitrates (mg/L)0.5449.8722.1313.3460.30.024
DDT–DDE (µg/L)0.706.531.450.8760.2<0.001
Glyphosate (µg/L)0.126.242.041.3264.60.004
Table 2. Spearman rank correlation test results. Significant correlations are highlighted in bold.
Table 2. Spearman rank correlation test results. Significant correlations are highlighted in bold.
pHECTSSNitratesDDT–DDEGlyphosate
pH1-----
EC−0.455 ***1----
TSS−0.0770.248 *1---
Nitrates0.053−0.185−0.298 **1--
DDT–DDE−0.1940.392 **0.011−0.1541-
Glyphosate0.398 ***−0.563 ***−0.1210.227−0.420 ***1
Significance levels: (*) = p < 0.05; (**) = p < 0.01; (***) = p < 0.001.
Table 3. Results from the spatial correlogram, local Moran’s I, and Kruskal–Wallis test.
Table 3. Results from the spatial correlogram, local Moran’s I, and Kruskal–Wallis test.
VariablesDistance for Autocorrelation = 0Moran’s I Kruskal Wallis   for   G i * Groups
pH3412 m0.1000.005 **
EC4546 m0.171<0.001 ***
TSS2509 m0.0330.074 n.s.
Nitrates4497 m0.2950.002 **
DDT–DDE3810 m0.1930.009 **
Glyphosate2133 m0.1140.795 n.s.
Significance levels: (n.s.) = non-significant; (**) = p < 0.01; (***) = p < 0.001.
Publisher’s Note: MDPI stays neutral with regard to jurisdictional claims in published maps and institutional affiliations.

Share and Cite

MDPI and ACS Style

Melendez-Pastor, I.; Hernández, E.I.; Navarro-Pedreño, J.; Almendro-Candel, M.B.; Gómez Lucas, I.; Jordán Vidal, M.M. Occurrence of Pesticides Associated with an Agricultural Drainage System in a Mediterranean Environment. Appl. Sci. 2021, 11, 10212. https://doi.org/10.3390/app112110212

AMA Style

Melendez-Pastor I, Hernández EI, Navarro-Pedreño J, Almendro-Candel MB, Gómez Lucas I, Jordán Vidal MM. Occurrence of Pesticides Associated with an Agricultural Drainage System in a Mediterranean Environment. Applied Sciences. 2021; 11(21):10212. https://doi.org/10.3390/app112110212

Chicago/Turabian Style

Melendez-Pastor, Ignacio, Encarni I. Hernández, Jose Navarro-Pedreño, María Belén Almendro-Candel, Ignacio Gómez Lucas, and Manuel Miguel Jordán Vidal. 2021. "Occurrence of Pesticides Associated with an Agricultural Drainage System in a Mediterranean Environment" Applied Sciences 11, no. 21: 10212. https://doi.org/10.3390/app112110212

APA Style

Melendez-Pastor, I., Hernández, E. I., Navarro-Pedreño, J., Almendro-Candel, M. B., Gómez Lucas, I., & Jordán Vidal, M. M. (2021). Occurrence of Pesticides Associated with an Agricultural Drainage System in a Mediterranean Environment. Applied Sciences, 11(21), 10212. https://doi.org/10.3390/app112110212

Note that from the first issue of 2016, this journal uses article numbers instead of page numbers. See further details here.

Article Metrics

Back to TopTop