Analysis of Carrier-Based Aircraft Catapult Launching Based on Variable Topology Dynamics
Abstract
:1. Introduction
2. Topological Evolution of the Catapult Process of Carrier-Based Aircraft
3. Carrier-Based Aircraft Catapult and Take-Off Dynamics Model
3.1. The Catapult Dynamics Equation of a Carrier-Based Aircraft
3.2. Analytical Method of Carrier-Based Aircraft Catapult Variable Topology
4. Calculation Results of the Variable Topology of Carrier-Based Aircraft Catapult Dynamics
5. Conclusions
- (1)
- The catapult dynamics model and the variable topology solution method of the aircraft established in this paper can realize the variable topology solution of the separation of the restraining rod and the nose gear and the separation of the catapult rod and the catapult trolley during the catapulting process of the carrier-based aircraft.
- (2)
- Before and after the tie rod and the nose gear were separated, due to the change in the force transmission path of the catapult load of the nose gear, the catapulting force was transmitted to the rear strut, which instantly increased the load of the rear strut by 238.5 kN.
- (3)
- After the catapult started, the 2.867 s carrier aircraft reached the end of the catapult’s stroke, the ejector rod was separated from the ejector tow shuttle, the ejector rod was unloaded, and the load of the rear strut was reduced from 486.2 kN to −20.3 kN.
- (4)
- Due to the oblique downward traction of the catapult rod, the carrier-based aircraft was always in a state of bowing during the dragging and rolling process. After the catapult rod and the catapult tow shuttle were separated, the aircraft quickly turned into a head-up state under the protruding effect of the nose gear.
Author Contributions
Funding
Institutional Review Board Statement
Informed Consent Statement
Data Availability Statement
Conflicts of Interest
Nomenclature
| Generalized coordinate array of the system | |
| Generalized mass matrix | |
| Number of mass matrices | |
| System kinematics constraint matrix | |
| Generalized coupled inertial force vector | |
| Generalized active force vector | |
| Lagrangian multiplier | |
| System constraint reaction force vector |
References
- Small, D.B. Full Scale Tests of Nose Tow Catapulting: AIAA-1964-327; AIAA: Washingtong, DC, USA, 1964; Available online: https://arc.aiaa.org/doi/pdf/10.2514/6.1964-327 (accessed on 26 September 2021).
- Lucas, C. Catapult Criteria for a Carrier-Based Aircraft; Ltv Aerospace Corp Dallas Tex Vought Aeronautics DIV: Dallas, TX, USA, 1968; Available online: https://apps.dtic.mil/sti/pdfs/AD0702814.pdf (accessed on 26 September 2021).
- Ramsey, J.; Dixon, W. Carrier Suitability Tests of the Model A-6a Aircraft; Naval Air Test Center Technical Report: Maryland, USA, 1967; Available online: https://apps.dtic.mil/sti/pdfs/ADA382399.pdf (accessed on 26 September 2021).
- Naval Air Engineering Center. Launching System, Nose Gear Type, Aircraft: MIL-L-22589D(AS); Naval Air Engineering Center: Lakehurst, NJ, USA, 1979. Available online: http://everyspec.com/MIL-SPECS/MIL-SPECS-MIL-L/MIL-L-22589D_17610/ (accessed on 26 September 2021).
- Naval Air Engineering Center. Tension Bar/Release Element, Aircraft Launching: MIL-T-23426D; Naval Air Engineering Center: Lakehurst, NJ, USA, 1986. Available online: http://everyspec.com/MIL-SPECS/MIL-SPECS-MIL-T/MIL-T-23426D_53624/ (accessed on 26 September 2021).
- Naval Air Engineering Center. Bar, Repeatable Release Holdback, Aircraft Launching, General Design Requirements for: MIL-B-85110(AS); Naval Air Engineering Center: Lakehurst, NJ, USA, 1997. Available online: http://everyspec.com/MIL-SPECS/MIL-SPECS-MIL-B/download.php?spec=MIL-B-85110.040474.pdf (accessed on 26 September 2021).
- Naval Air Engineering Center. Airplane Strength and Rigidity Ground Loads for Navy Acquired Airplanes: MIL-A-8863C(AS); Naval Air Engineering Center: Lakehurst, NJ, USA, 1993. Available online: http://everyspec.com/MIL-SPECS/MIL-SPECS-MIL-A/MIL-A-8863C_10292/ (accessed on 26 September 2021).
- Wang, W.; Qu, X.; Guo, L. Multi-agent based hierarchy simulation models of carrier-based aircraft catapult launch. Chin. J. Aeronaut. 2008, 21, 223–231. [Google Scholar] [CrossRef] [Green Version]
- Jing, C.; Zhengchun, H. Research on dynamic modeling and correlative problems of catapult launch for carrier-based airplane. Flight Dyn. 2014, 32, 485–488. (In Chinese) [Google Scholar] [CrossRef]
- Li, W.M.; Ma, X.L. Multi-body Dynamics Modeling and Catapult-launching Simulation for Carrier-based Aircraft. Mech. Sci. Technol. Aerosp. Eng. 2016, 35, 1797–1804. (In Chinese) [Google Scholar] [CrossRef]
- Wang, J.Y.; Wu, W.H.; Gao, L.; Zhang, X.J. Modeling and Control of Carrier-based Airplane During Catapult Launch. Aircr. Design 2010, 30, 10–13. (In Chinese) [Google Scholar] [CrossRef]
- Wei, X.H.; Liu, C.L.; Nie, H.; Zhang, M.; Yin, Q. Dynamics and Test Method of Carrier-based Aircraft Nose Landing Gear Sudden Extension. Acta Aeronaut. Astronaut. Sin. 2013, 34, 1363–1369. (In Chinese) [Google Scholar] [CrossRef]
- Liu, C.C.; Cui, R.Y. Analysis and Test for Extension Performance of Nose Landing Gear of Carrier-based Aircraft. Mech. Sci. Technol. Aerosp. Eng. 2016, 35, 1686–1690. (In Chinese) [Google Scholar] [CrossRef]
- Yu, H.; Nie, H.; Wei, X. Analysis on the dynamic characteristics of carrier-based aircraft nose landing gear with sudden holdback load discharge. Acta Aeronaut. Astronaut. Sin. 2011, 32, 1435–1444. (In Chinese) [Google Scholar]
- Xiaohui, W.; Liangliang, B.; Hong, N.; Ming, Z. Analysis on Anti-Vibration Holdback Device of Carrier-Based Aircraft. J. Nanjing Univ. Aeronaut. Astronaut. 2013, 45, 1–7. (In Chinese) [Google Scholar] [CrossRef]
- Englebry, C.R. Impact of ramp launch technology on a navy support aircraft. J. Aircr. 1981, 18, 1003–1004. [Google Scholar] [CrossRef]
- Imhof, G.; Schork, B. Using Simulation to Optimize Ski Jump Ramp Profiles for STOVL Aircraft; Naval Air Warfare Center Aircraft Division: Patuxent River, MD, USA, 1999; Available online: https://apps.dtic.mil/sti/pdfs/ADA378145.pdf (accessed on 26 September 2021).
- Eppel, J.; Martin, J.; Hardy, G. Flight Investigation of the Use of a Nose Gear Jump Strut to Reduce Takeoff Ground Roll Distance of Stol Aircraft; National Aeronautics and Space Administration: Moffett Field, CA, USA, 1994. Available online: https://ntrs.nasa.gov/api/citations/19950005812/downloads/19950005812.pdf (accessed on 26 September 2021).











| Current Research | This Paper | |
|---|---|---|
| Research focus |
|
|
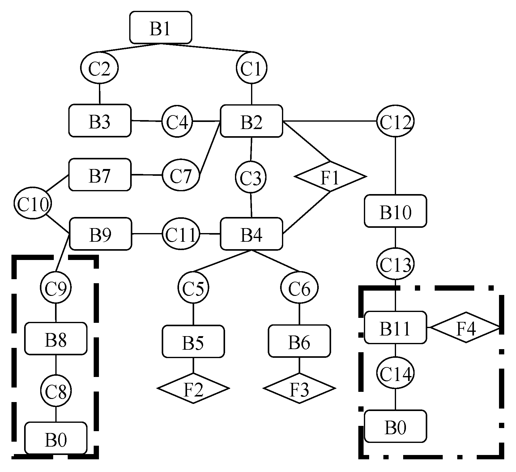
| Numbers | Names | Numbers | Types |
|---|---|---|---|
| B0 | Inertial reference frame | C1 | Rotating pair |
| B1 | fuselage | C2 | Spherical pair |
| B2 | Front pillar | C3 | Cylindrical pair |
| B3 | Rear strut | C4 | Spherical pair |
| B4 | Piston rod | C5 | Rotating pair |
| B5 | Left wheel | C6 | Rotating pair |
| B6 | Right wheel | C7 | Rotating pair |
| B7 | Upper anti-twist arm | C8 | Spherical pair |
| B8 | Hold Bar | C9 | Spherical pair |
| B9 | Lower anti-twist arm | C10 | Spherical pair |
| B10 | Catapult lever | C11 | Rotating pair |
| B11 | Catapult tackle | C12 | Rotating pair |
| F1 | Buffer force | C13 | Rotating pair |
| F2 | Left tire force | C14 | Translation pair |
| F3 | Right tire force | ||
| F4 | Catapult force |
| Parameters | Numerical Values | Parameters | Numerical Values |
|---|---|---|---|
| Take-off weight | 20,000 kg | Catapult heading overload | 2.5 |
| Engine thrust | 78.0 kN | Restraint bar load threshold | 192.0 kN |
| Catapult stroke | 90 m |
Publisher’s Note: MDPI stays neutral with regard to jurisdictional claims in published maps and institutional affiliations. |
© 2021 by the authors. Licensee MDPI, Basel, Switzerland. This article is an open access article distributed under the terms and conditions of the Creative Commons Attribution (CC BY) license (https://creativecommons.org/licenses/by/4.0/).
Share and Cite
Chen, H.; Fang, X.; Nie, H. Analysis of Carrier-Based Aircraft Catapult Launching Based on Variable Topology Dynamics. Appl. Sci. 2021, 11, 9037. https://doi.org/10.3390/app11199037
Chen H, Fang X, Nie H. Analysis of Carrier-Based Aircraft Catapult Launching Based on Variable Topology Dynamics. Applied Sciences. 2021; 11(19):9037. https://doi.org/10.3390/app11199037
Chicago/Turabian StyleChen, Hu, Xingbo Fang, and Hong Nie. 2021. "Analysis of Carrier-Based Aircraft Catapult Launching Based on Variable Topology Dynamics" Applied Sciences 11, no. 19: 9037. https://doi.org/10.3390/app11199037
APA StyleChen, H., Fang, X., & Nie, H. (2021). Analysis of Carrier-Based Aircraft Catapult Launching Based on Variable Topology Dynamics. Applied Sciences, 11(19), 9037. https://doi.org/10.3390/app11199037

