Longitudinal Tear Protein Changes Correlate with Ocular Chronic GVHD Development in Allogeneic Hematopoietic Stem Cell Transplant Patients
Abstract
:Featured Application
Abstract
1. Introduction
2. Materials and Methods
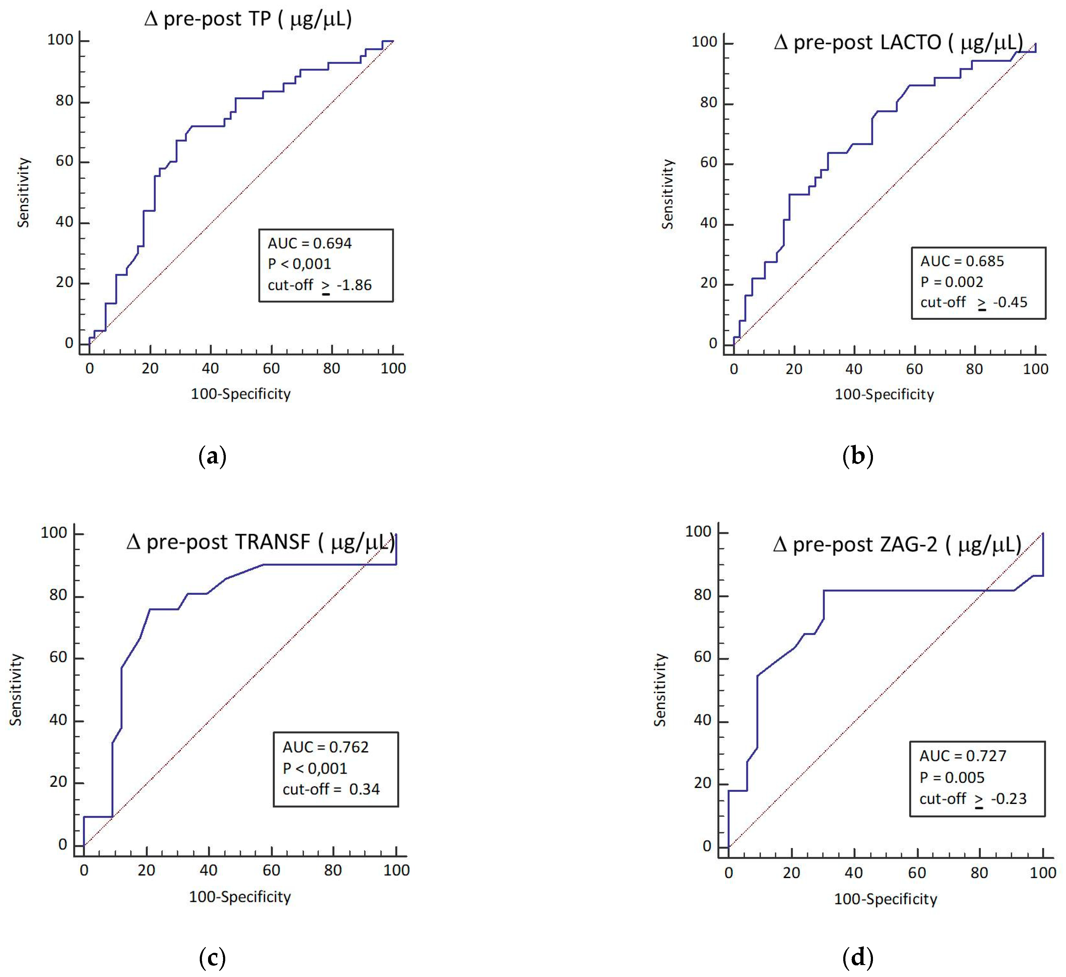
3. Results
4. Discussion
Author Contributions
Funding
Institutional Review Board Statement
Data Availability Statement
Acknowledgments
Conflicts of Interest
References
- Sureda, A.; Bader, P.; Cesaro, S.; Dreger, P.; Duarte, R.F.; Dufour, C.; Falkenburg, J.H.F.; Farge-Bancel, D.; Gennery, A.; Kröger, N.; et al. Indications for Allo- and Auto-SCT for Haematological Diseases, Solid Tumours and Immune Disorders: Current Practice in Europe, 2015. Bone Marrow Transplant. 2015, 50, 1037–1056. [Google Scholar] [CrossRef] [Green Version]
- Jagasia, M.H.; Greinix, H.T.; Arora, M.; Williams, K.M.; Wolff, D.; Cowen, E.W.; Palmer, J.; Weisdorf, D.; Treister, N.S.; Cheng, G.-S.; et al. National Institutes of Health Consensus Development Project on Criteria for Clinical Trials in Chronic Graft-versus-Host Disease: I. The 2014 Diagnosis and Staging Working Group Report. Biol. Blood Marrow Transplant. 2015, 21, 389–401. [Google Scholar] [CrossRef] [PubMed] [Green Version]
- Shikari, H.; Antin, J.H.; Dana, R. Ocular Graft-versus-Host Disease: A Review. Surv. Ophthalmol. 2013, 58, 233–251. [Google Scholar] [CrossRef] [PubMed]
- Jacobs, R.; Tran, U.; Chen, H.; Kassim, A.; Engelhardt, B.G.; Greer, J.P.; Goodman, S.G.; Clifton, C.; Lucid, C.; Vaughan, L.A.; et al. Prevalence and Risk Factors Associated with Development of Ocular GVHD Defined by NIH Consensus Criteria. Bone Marrow Transplant. 2012, 47, 1470–1473. [Google Scholar] [CrossRef] [Green Version]
- Berchicci, L.; Rabiolo, A.; Marchese, A.; Iuliano, L.; Gigliotti, C.; Miserocchi, E.; Bandello, F.; Modorati, G. Ocular Chronic Graft-versus-Host Disease after Allogeneic Hematopoietic Stem Cell Transplantation in an Italian Referral Center. Ocul. Surf. 2018, 16, 314–321. [Google Scholar] [CrossRef]
- Pellegrini, M.; Bernabei, F.; Barbato, F.; Arpinati, M.; Giannaccare, G.; Versura, P.; Bonifazi, F. Incidence, Risk Factors and Complications of Ocular Graft-Versus-Host Disease Following Hematopoietic Stem Cell Transplantation. Am. J. Ophthalmol. 2021, 227, 25–34. [Google Scholar] [CrossRef]
- Vanathi, M.; Kashyap, S.; Khan, R.; Seth, T.; Mishra, P.; Mahapatra, M.; Tandon, R. Ocular Surface Evaluation in Allogenic Hematopoietic Stem Cell Transplantation Patients. Eur. J. Ophthalmol. 2014, 24, 655–666. [Google Scholar] [CrossRef]
- Berchicci, L.; Aragona, E.; Arrigo, A.; Marchese, A.; Miserocchi, E.; Bandello, F.; Modorati, G. Conjunctival Matrix Metalloproteinase-9 Clinical Assessment in Early Ocular Graft versus Host Disease. J. Ophthalmol. 2021, 2021, 9958713. [Google Scholar] [CrossRef] [PubMed]
- Na, K.-S.; Yoo, Y.-S.; Hwang, K.-Y.; Mok, J.-W.; Joo, C.-K. Tear Osmolarity and Ocular Surface Parameters as Diagnostic Markers of Ocular Graft-Versus-Host Disease. Am. J. Ophthalmol. 2015, 160, 143–149.e1. [Google Scholar] [CrossRef]
- Nair, S.; Vanathi, M.; Mahapatra, M.; Seth, T.; Kaur, J.; Velpandian, T.; Ravi, A.; Titiyal, J.S.; Tandon, R. Tear Inflammatory Mediators and Protein in Eyes of Post Allogenic Hematopoeitic Stem Cell Transplant Patients. Ocul. Surf. 2018, 16, 352–367. [Google Scholar] [CrossRef]
- Bernabei, F.; Versura, P.; Pellegrini, M.; Moscardelli, F.; Bonifazi, F.; Sessa, M.; Arpinati, M.; Scorcia, V.; Giannaccare, G. Longitudinal Analysis of Infrared Meibography in Patients Undergoing Hematopoietic Stem Cell Transplantation. Cornea 2020, 39, 812–817. [Google Scholar] [CrossRef]
- Giannaccare, G.; Bonifazi, F.; Sebastiani, S.; Sessa, M.; Pellegrini, M.; Arpinati, M.; Moscardelli, F.; Versura, P.; Campos, E. Meibomian Gland Dropout in Hematological Patients Before Hematopoietic Stem Cell Transplantation. Cornea 2018, 37, 1264–1269. [Google Scholar] [CrossRef]
- Wang, Y.; Ogawa, Y.; Dogru, M.; Tatematsu, Y.; Uchino, M.; Kamoi, M.; Okada, N.; Okamoto, S.; Tsubota, K. Baseline Profiles of Ocular Surface and Tear Dynamics after Allogeneic Hematopoietic Stem Cell Transplantation in Patients with or without Chronic GVHD-Related Dry Eye. Bone Marrow Transplant. 2010, 45, 1077–1083. [Google Scholar] [CrossRef]
- Cocho, L.; Fernández, I.; Calonge, M.; Martínez, V.; González-García, M.J.; Caballero, D.; López-Corral, L.; García-Vázquez, C.; Vázquez, L.; Stern, M.E.; et al. Biomarkers in Ocular Chronic Graft Versus Host Disease: Tear Cytokine- and Chemokine-Based Predictive Model. Investig. Ophthalmol. Vis. Sci. 2016, 57, 746–758. [Google Scholar] [CrossRef] [Green Version]
- Hu, B.; Qiu, Y.; Hong, J. Tear Cytokine Levels in the Diagnosis and Severity Assessment of Ocular Chronic Graft-versus-Host Disease(GVHD). Ocul. Surf. 2020, 18, 298–304. [Google Scholar] [CrossRef] [PubMed]
- Jung, J.W.; Han, S.J.; Song, M.K.; Kim, T.-I.; Kim, E.K.; Min, Y.H.; Cheong, J.-W.; Seo, K.Y. Tear Cytokines as Biomarkers for Chronic Graft-versus-Host Disease. Biol. Blood Marrow Transplant. 2015, 21, 2079–2085. [Google Scholar] [CrossRef] [PubMed] [Green Version]
- Riemens, A.; Stoyanova, E.; Rothova, A.; Kuiper, J. Cytokines in Tear Fluid of Patients with Ocular Graft-versus-Host Disease after Allogeneic Stem Cell Transplantation. Mol. Vis. 2012, 18, 797–802. [Google Scholar]
- de Almeida Borges, D.; Alborghetti, M.R.; Franco Paes Leme, A.; Ramos Domingues, R.; Duarte, B.; Veiga, M.; Trindade Ferrer, M.; Viana Wanzeler, A.C.; Leite Arieta, C.E.; Alves, M. Tear Proteomic Profile in Three Distinct Ocular Surface Diseases: Keratoconus, Pterygium, and Dry Eye Related to Graft-versus-Host Disease. Clin. Proteom. 2020, 17, 42. [Google Scholar] [CrossRef]
- Gerber-Hollbach, N.; Plattner, K.; O’Leary, O.E.; Jenoe, P.; Moes, S.; Drexler, B.; Schoetzau, A.; Halter, J.P.; Goldblum, D. Tear Film Proteomics Reveal Important Differences between Patients with and without Ocular GvHD after Allogeneic Hematopoietic Cell Transplantation. Investig. Ophthalmol. Vis. Sci. 2018, 59, 3521–3530. [Google Scholar] [CrossRef] [PubMed] [Green Version]
- Giannaccare, G.; Bonifazi, F.; Sessa, M.; Dan, E.; Arpinati, M.; Fresina, M.; Bandini, G.; Cavo, M.; Versura, P.; Campos, E.C. Ocular Surface Analysis in Hematological Patients before and after Allogeneic Hematopoietic Stem Cell Transplantation: Implication for Daily Clinical Practice. Eye 2017, 31, 1417–1426. [Google Scholar] [CrossRef] [Green Version]
- Giannaccare, G.; Versura, P.; Bonifazi, F.; Sessa, M.; Campos, E.C. Comparison among Different Diagnostic Criteria for Chronic Ocular Graft-versus-Host Disease Applied with and without Pre-Transplant Ophthalmological Examination. Eye (Lond) 2019, 33, 154–160. [Google Scholar] [CrossRef]
- Glucksberg, H.; Storb, R.; Fefer, A.; Buckner, C.D.; Neiman, P.E.; Clift, R.A.; Lerner, K.G.; Thomas, E.D. Clinical Manifestations of Graft-versus-Host Disease in Human Recipients of Marrow from HL-A-Matched Sibling Donors. Transplantation 1974, 18, 295–304. [Google Scholar] [CrossRef]
- Sj, L. Classification Systems for Chronic Graft-versus-Host Disease. Blood 2017, 129, 30–37. [Google Scholar] [CrossRef]
- Schiffman, R.M.; Christianson, M.D.; Jacobsen, G.; Hirsch, J.D.; Reis, B.L. Reliability and Validity of the Ocular Surface Disease Index. Arch. Ophthalmol. 2000, 118, 615–621. [Google Scholar] [CrossRef]
- Ogawa, Y.; Kim, S.K.; Dana, R.; Clayton, J.; Jain, S.; Rosenblatt, M.I.; Perez, V.L.; Shikari, H.; Riemens, A.; Tsubota, K. International Chronic Ocular Graft-vs-Host-Disease (GVHD) Consensus Group: Proposed Diagnostic Criteria for Chronic GVHD (Part I). Sci. Rep. 2013, 3, 3419. [Google Scholar] [CrossRef]
- Versura, P.; Bavelloni, A.; Blalock, W.; Fresina, M.; Campos, E.C. A Rapid Standardized Quantitative Microfluidic System Approach for Evaluating Human Tear Proteins. Mol. Vis. 2012, 18, 2526–2537. [Google Scholar] [PubMed]
- Versura, P.; Bavelloni, A.; Grillini, M.; Fresina, M.; Campos, E.C. Diagnostic performance of a tear protein panel in early dry eye. Mol. Vis. 2013, 19, 1247–1257. [Google Scholar] [PubMed]
- Pezzotta, S.; Rossi, G.C.; Scudeller, L.; Antoniazzi, E.; Bianchi, P.E.; Perotti, C.; Del Fante, C. A Cross-Sectional Study on Vision-Related Quality of Life in Patients with Ocular GvHD. Bone Marrow Transplant. 2015, 50, 1224–1226. [Google Scholar] [CrossRef] [Green Version]
- Giannaccare, G.; Pellegrini, M.; Bernabei, F.; Scorcia, V.; Campos, E. Ocular Surface System Alterations in Ocular Graft-versus-Host Disease: All the Pieces of the Complex Puzzle. Graefe’s Arch. Clin. Exp. Ophthalmol. 2019, 257, 1341–1351. [Google Scholar] [CrossRef]
- Filipovich, A.H.; Weisdorf, D.; Pavletic, S.; Socie, G.; Wingard, J.R.; Lee, S.J.; Martin, P.; Chien, J.; Przepiorka, D.; Couriel, D.; et al. National Institutes of Health Consensus Development Project on Criteria for Clinical Trials in Chronic Graft-versus-Host Disease: I. Diagnosis and Staging Working Group Report. Biol. Blood Marrow Transplant. 2005, 11, 945–956. [Google Scholar] [CrossRef] [PubMed] [Green Version]
- Rapoport, Y.; Freeman, T.; Koyama, T.; Engelhardt, B.G.; Jagasia, M.; Savani, B.N.; Tran, U.; Kassim, A.A. Validation of International Chronic Ocular Graft-Versus-Host Disease (GVHD) Group Diagnostic Criteria as a Chronic Ocular GVHD-Specific Metric. Cornea 2017, 36, 258–263. [Google Scholar] [CrossRef]
- Hagan, S.; Martin, E.; Enríquez-de-Salamanca, A. Tear Fluid Biomarkers in Ocular and Systemic Disease: Potential Use for Predictive, Preventive and Personalised Medicine. EPMA J. 2016, 7, 15. [Google Scholar] [CrossRef] [PubMed] [Green Version]
- Di Zazzo, A.; Micera, A.; De Piano, M.; Cortes, M.; Bonini, S. Tears and Ocular Surface Disorders: Usefulness of Biomarkers. J. Cell. Physiol. 2019, 234, 9982–9993. [Google Scholar] [CrossRef]
- Versura, P.; Giannaccare, G.; Vukatana, G.; Mulè, R.; Malavolta, N.; Campos, E.C. Predictive Role of Tear Protein Expression in the Early Diagnosis of Sjögren’s Syndrome. Ann. Clin. Biochem. 2018, 55, 561–570. [Google Scholar] [CrossRef] [PubMed]
- Roda, M.; Ciavarella, C.; Giannaccare, G.; Versura, P. Biomarkers in Tears and Ocular Surface: A Window for Neurodegenerative Diseases. Eye Contact Lens 2020, 46 (Suppl. 2), S129–S134. [Google Scholar] [CrossRef]
- Roy, N.S.; Wei, Y.; Kuklinski, E.; Asbell, P.A. The Growing Need for Validated Biomarkers and Endpoints for Dry Eye Clinical Research. Investig. Ophthalmol. Vis. Sci. 2017, 58, BIO1–BIO19. [Google Scholar] [CrossRef] [Green Version]
- Zhou, L.; Beuerman, R.W. The Power of Tears: How Tear Proteomics Research Could Revolutionize the Clinic. Expert Rev. Proteom. 2017, 14, 189–191. [Google Scholar] [CrossRef] [Green Version]
- Roda, M.; Corazza, I.; Bacchi Reggiani, M.L.; Pellegrini, M.; Taroni, L.; Giannaccare, G.; Versura, P. Dry Eye Disease and Tear Cytokine Levels-A Meta-Analysis. Int. J. Mol. Sci. 2020, 21, 3111. [Google Scholar] [CrossRef]
- Budde, H.; Papert, S.; Maas, J.-H.; Reichardt, H.M.; Wulf, G.; Hasenkamp, J.; Riggert, J.; Legler, T.J. Prediction of Graft-versus-Host Disease: A Biomarker Panel Based on Lymphocytes and Cytokines. Ann. Hematol. 2017, 96, 1127–1133. [Google Scholar] [CrossRef] [PubMed]
- Leotta, S.; Sapienza, G.; Camuglia, M.G.; Avola, G.; Marco, A.D.; Moschetti, G.; Curto Pelle, A.; Markovic, U.; Milone, G.A.; Cupri, A.; et al. Preliminary Results of a Combined Score Based on SIL2-Rα and TIM-3 Levels Assayed Early after Hematopoietic Transplantation. Front. Immunol. 2019, 10, 3158. [Google Scholar] [CrossRef] [PubMed]
- Presland, R.B. Application of Proteomics to Graft-versus-Host Disease: From Biomarker Discovery to Potential Clinical Applications. Expert Rev. Proteom. 2017, 14, 997–1006. [Google Scholar] [CrossRef] [PubMed]
- Weissinger, E.M.; Basílio-Queirós, D.; Metzger, J.; Bieling, L.M.; Ganser, A. Proteomics for Hematopoietic Stem Cell Transplantation. Expert Rev. Proteom. 2020, 17, 201–206. [Google Scholar] [CrossRef] [PubMed]
- Giaccone, L.; Faraci, D.G.; Butera, S.; Lia, G.; Di Vito, C.; Gabrielli, G.; Cerrano, M.; Mariotti, J.; Dellacasa, C.; Felicetti, F.; et al. Biomarkers for Acute and Chronic Graft versus Host Disease: State of the Art. Expert Rev. Hematol. 2021, 14, 79–96. [Google Scholar] [CrossRef]
- Willcox, M.D.P.; Argüeso, P.; Georgiev, G.A.; Holopainen, J.M.; Laurie, G.W.; Millar, T.J.; Papas, E.B.; Rolland, J.P.; Schmidt, T.A.; Stahl, U.; et al. TFOS DEWS II Tear Film Report. Ocul. Surf. 2017, 15, 366–403. [Google Scholar] [CrossRef] [Green Version]
- Dartt, D.A. Tear Lipocalin: Structure and Function. Ocul. Surf. 2011, 9, 126–138. [Google Scholar] [CrossRef] [Green Version]
- Bjerrum, K.B. The Ratio of Albumin to Lactoferrin in Tear Fluid as a Diagnostic Tool in Primary Sjögren’s Syndrome. Acta Ophthalmol. Scand. 1997, 75, 507–511. [Google Scholar] [CrossRef]
- Klaeger, A.J.; Whitcher, J.P.; Daniels, T.E. Tear Lysozyme Activity in Frozen Schirmer Strips and Salivary Gland Biopsy as Parameters of Lacrimal Gland Function. Ocul. Immunol. Inflamm. 1999, 7, 3–6. [Google Scholar] [CrossRef] [PubMed]
- Ponzini, E.; Scotti, L.; Grandori, R.; Tavazzi, S.; Zambon, A. Lactoferrin Concentration in Human Tears and Ocular Diseases: A Meta-Analysis. Investig. Ophthalmol. Vis. Sci. 2020, 61, 9. [Google Scholar] [CrossRef] [PubMed]
- Mann, A.; Campbell, D.; Mirza, Z.; Hunt, O.; Wolffsohn, J.S.; Tighe, B.J. Clinical and Biochemical Analysis of the Ageing Tear Film. Br. J. Ophthalmol. 2019. [Google Scholar] [CrossRef]
- Balasubramanian, S.A.; Pye, D.C.; Willcox, M.D.P. Levels of Lactoferrin, Secretory IgA and Serum Albumin in the Tear Film of People with Keratoconus. Exp. Eye Res. 2012, 96, 132–137. [Google Scholar] [CrossRef]
- Runström, G.; Mann, A.; Tighe, B. The Fall and Rise of Tear Albumin Levels: A Multifactorial Phenomenon. Ocul. Surf. 2013, 11, 165–180. [Google Scholar] [CrossRef] [PubMed]
- Hassan, M.I.; Waheed, A.; Yadav, S.; Singh, T.P.; Ahmad, F. Zinc Alpha 2-Glycoprotein: A Multidisciplinary Protein. Mol. Cancer Res. 2008, 6, 892–906. [Google Scholar] [CrossRef] [Green Version]
- Giannaccare, G.; Blalock, W.; Fresina, M.; Vagge, A.; Versura, P. Intolerant Contact Lens Wearers Exhibit Ocular Surface Impairment despite 3 Months Wear Discontinuation. Graefe’s Arch. Clin. Exp. Ophthalmol. 2016, 254, 1825–1831. [Google Scholar] [CrossRef] [PubMed]
- Jung, J.H.; Ji, Y.W.; Hwang, H.S.; Oh, J.W.; Kim, H.C.; Lee, H.K.; Kim, K.P. Proteomic Analysis of Human Lacrimal and Tear Fluid in Dry Eye Disease. Sci. Rep. 2017, 7, 13363. [Google Scholar] [CrossRef] [Green Version]
- Ananthi, S.; Venkatesh Prajna, N.; Lalitha, P.; Valarnila, M.; Dharmalingam, K. Pathogen Induced Changes in the Protein Profile of Human Tears from Fusarium Keratitis Patients. PLoS ONE 2013, 8, e53018. [Google Scholar] [CrossRef] [Green Version]
- Kandhavelu, J.; Demonte, N.L.; Namperumalsamy, V.P.; Prajna, L.; Thangavel, C.; Jayapal, J.M.; Kuppamuthu, D. Aspergillus Flavus Induced Alterations in Tear Protein Profile Reveal Pathogen-Induced Host Response to Fungal Infection. J. Proteom. 2017, 152, 13–21. [Google Scholar] [CrossRef] [PubMed]
- Parthiban, N.; Sampath, N.L.; JeyaMaheshwari, J.; Prajna, N.V.; Lalitha, P.; Dharmalingam, K. Quantitative Profiling of Tear Proteome Reveals down Regulation of Zinc Alpha-2 Glycoprotein in Aspergillus Flavus Keratitis Patients. Exp. Eye Res. 2019, 186, 107700. [Google Scholar] [CrossRef] [PubMed]
- Zou, X.; Wang, S.; Zhang, P.; Lu, L.; Zou, H. Quantitative Proteomics and Weighted Correlation Network Analysis of Tear Samples in Adults and Children With Diabetes and Dry Eye. Transl. Vis. Sci. Technol. 2020, 9, 8. [Google Scholar] [CrossRef]
- Baker, G.R.C.; Morton, M.; Rajapaska, R.S.; Bullock, M.; Gullu, S.; Mazzi, B.; Ludgate, M. Altered Tear Composition in Smokers and Patients with Graves Ophthalmopathy. Arch. Ophthalmol. 2006, 124, 1451–1456. [Google Scholar] [CrossRef] [Green Version]
- Ogawa, Y. Sjögren’s Syndrome, Non-Sjögren’s Syndrome, and Graft-Versus-Host Disease Related Dry Eye. Investig. Ophthalmol. Vis. Sci. 2018, 59, DES71–DES79. [Google Scholar] [CrossRef] [PubMed]


| Demographic Data | Patient Number | % vs. Total | ||
|---|---|---|---|---|
| Females | 40 | 39.2 | ||
| Males | 62 | 60.8 | ||
| Age (yrs.) all | 47.5 (18–65) [44.6–50.3] | |||
| Females | 49.0(21–61) [45–53] | |||
| Males | 47 (18–65) [41–50] | |||
| Haematological History | ||||
| Disorders | ||||
![]() | ALL | 26 | 25.4 | |
| SCMs | AML | 30 | 29.4 | |
| MDS | 10 | 9.8 | ||
| CML | 6 | 5.8 | ||
![]() | HL | 10 | 9.8 | |
| LPDs | NHL | 12 | 11.7 | |
| MM | 6 | 5.8 | ||
| CLL | 2 | 1.9 | ||
| Time from diagnosis to HSCT (days) | 265 (123–2432) [183–421] | |||
| Previous chemotherapy | ||||
| ≤3 cycles | 62 | 60.7 | ||
| >3 cycles | 40 | 39.3 | ||
| HSCT Parameter | ||||
| Donor characteristics | ||||
| Age (yrs) | 29 (0–56) [27–33] | |||
| MUD | 80 | 78.4 | ||
| MRD | 22 | 21.6 | ||
| HLA mismatch | 58 | 56.8 | ||
| Sex mismatch | 45 | 41.1 | ||
| Conditioning regimen | ||||
| Reduced | 24 | 23.5 | ||
| Mieloablative | 78 | 76.6 | ||
| Stem Cell source | ||||
| Bone marrow | 28 | 27.4 | ||
| Peripheral Blood | 68 | 66.6 | ||
| Cord Blood | 6 | 5.8 | ||
| Ocular Parameter | Not oGVHD | oGVHD | p |
|---|---|---|---|
| OSDI score | 12.0 (0–58.0) | 17.0 (0–50.0) | 0.3 |
| [8.0–17.0] | [9.3–20.6] | ||
| Schirmer test (mm length 5′) | 20.0 (3.0–40.0) | 18.0 (2.0–40.0) | 0.3 |
| [19.1–30.0] | [15.0–24.6] | ||
| TBUT (seconds) | 7.5 (2.0–15.0) | 7.0 (1.0–15.00) | 0.4 |
| [6.1–8.2] | [6.0–8.2] | ||
| NEI score corneal staining | 1.0 (0–10.0) | 1.5 (0–12.0) | 0.4 |
| [1.0–2.0] | [1.2–3.1] |
| Protein Name | Pre-HSCT (μg/μL) | Post-HSCT (μg/μL) | p |
|---|---|---|---|
| Total protein (TP) | 7.4 (2.7–16.6) | 5.5 (1.3–11.2) | <0.0001 |
| [6.7–8.1] | [4.9–5.8] | ||
| Albumin (ALB) | 0.9 (0.1–2.6) | 1.1 (0.1–3.1) | 0.5 |
| [0.7–1.1] | [0.9–1.5] | ||
| Lysozyme-C (LYS-C) | 2.2 (0.5–5.7) | 1.8 (0.3–4.5) | <0.001 |
| [2.0–2.4] | [1.6–2.0] | ||
| Lactoferrin (LACTO) | 1.6 (0.1–4.0) | 1.2 (0.1–2.9) | <0.0001 |
| [1.4–2.0] | [1.1–1.4] | ||
| Lipocalin-1 (LIPOC-1) | 1.6 (0.5–3.0) | 1.3 (0.4–2.5) | 0.05 |
| [1.5–1.7] | [1.1–1.6] | ||
| Transferrin (TRANSF) | 0.2 (0.1–1.4) | 0.5 (0.1–1.4) | <0.0001 |
| [0.2–0.2] | [0.4–0.5] | ||
| Zinc-alpha-2-glycoprotein (ZAG-2) | 0.4 (0.1–1.1) | 0.2 (0.1–0.7) | <0.0001 |
| [0.3–0.5] | [0.1–0.2] |
| No oGVHD | oGVHD | |||||
|---|---|---|---|---|---|---|
| Tear Protein | Pre-HSCT (μg/μL) | Post-HSCT (μg/μL) | p | Pre-HSCT (μg/μL) | Post-HSCT (μg/μL) | p |
| TP | 7.2 (2.7–14.5) | 5.8 (2.5–11.1) | <0.001 | 7.4 (3.2–16.2) | 4.8 (1.3–11.2) | <0.0001 |
| [6.7–8.1] | [4.9–5.8] | [6.8–8.6] | [3.8–5.7] | |||
| ALB | 0.9 (0.1–2.6) | 1.3 (0.1–3.1) | 0.5 | 0.9 (0.1–2.5) | 1.1 (0.1–2.6) | 0.5 |
| [0.7–1.1] | [0.8–1.5] | [0.7–1.2] | [0.7–1.4] | |||
| LYS-C | 2.2 (0.4–4.5) | 1.8 (0.7–4.5) | <0.001 | 2.0 (1.2–5.7) | 1.8 (0.3–4.4) | <0.1 |
| [2.0–2.5] | [1.6–2.1] | [1.8–2.4] | [1.4–2.0] | |||
| LACTO | 1.1 (0.1–3.7) | 1.2 (0.4–2.8) | <0.01 | 1.9 (0.4–4.0) | 1.2 (0.1–2.9) | <0.0001 |
| [1.2–1.8] | [1.1–1.4] | [1.4–2.3] | [1.0–1.5] | |||
| LIPOC-1 | 1.5 (0.5–2.3) | 1.3 (0.3–2.5) | 0.07 | 1.6 (0.6–3.0) | 1.5 (0.5–2.1) | 0.1 |
| [1.2–1.7] | [1.9–1.6] | [1.5–1.8] | [1.1–1.7] | |||
| TRANSF | 0.2 (0.1–0.5) | 0.4 (0.1–0.8) | <0.0001 | 0.2 (0.1–1.4) | 0.7 (0.1–1.4) | <0.001 |
| [0.1–0.2] | [0.3–0.5] | [0.2–0.2] | [0.5–0.7] | |||
| ZAG-2 | 0.4 (0.1–0.7) | 0.2 (0.1–0.7) | <0.001 | 0.5 (0.1–1.1) | 0.2 (0.1–0.5) | <0.001 |
| [0.3–0.4] | [0.1–0.2] | [0.5–0.6] | [0.1–0.3] | |||
| Factor | Cut-Off (μg/μL) | OR 95% CI | p | RR 95% CI | p |
|---|---|---|---|---|---|
| Δ pre-post-TP | ≥−1.86 | 4.49 [1.9–10.5] | <0.001 | 2.1 [1.3–3.1] | <0.001 |
| Δ pre-post-LACTO | ≥−0.45 | 3.08 [1.3–7.6] | <0.01 | 1.8 [1.1–3.1] | 0.01 |
| Δ pre-post-TRANSF | >0.34 | 15.7 [4.1–52.2] | 0.0001 | 3.8 [1.9–7.6] | 0.0001 |
| Δ pre-post-ZAG-2 | ≥−0.23 | 11.1 [2.7–45.6] | <0.001 | 2.3 [1.5–3.4] | <0.001 |
Publisher’s Note: MDPI stays neutral with regard to jurisdictional claims in published maps and institutional affiliations. |
© 2021 by the authors. Licensee MDPI, Basel, Switzerland. This article is an open access article distributed under the terms and conditions of the Creative Commons Attribution (CC BY) license (https://creativecommons.org/licenses/by/4.0/).
Share and Cite
Ciavarella, C.; Astolfi, G.; Valsecchi, N.; Barbato, F.; Arpinati, M.; Bonifazi, F.; Versura, P. Longitudinal Tear Protein Changes Correlate with Ocular Chronic GVHD Development in Allogeneic Hematopoietic Stem Cell Transplant Patients. Appl. Sci. 2021, 11, 8221. https://doi.org/10.3390/app11178221
Ciavarella C, Astolfi G, Valsecchi N, Barbato F, Arpinati M, Bonifazi F, Versura P. Longitudinal Tear Protein Changes Correlate with Ocular Chronic GVHD Development in Allogeneic Hematopoietic Stem Cell Transplant Patients. Applied Sciences. 2021; 11(17):8221. https://doi.org/10.3390/app11178221
Chicago/Turabian StyleCiavarella, Carmen, Gloria Astolfi, Nicola Valsecchi, Francesco Barbato, Mario Arpinati, Francesca Bonifazi, and Piera Versura. 2021. "Longitudinal Tear Protein Changes Correlate with Ocular Chronic GVHD Development in Allogeneic Hematopoietic Stem Cell Transplant Patients" Applied Sciences 11, no. 17: 8221. https://doi.org/10.3390/app11178221
APA StyleCiavarella, C., Astolfi, G., Valsecchi, N., Barbato, F., Arpinati, M., Bonifazi, F., & Versura, P. (2021). Longitudinal Tear Protein Changes Correlate with Ocular Chronic GVHD Development in Allogeneic Hematopoietic Stem Cell Transplant Patients. Applied Sciences, 11(17), 8221. https://doi.org/10.3390/app11178221



