Towards Environmentally Friendly Accelerometers Based on Bacterial Cellulose
Abstract
:1. Introduction
2. Materials and Methods
2.1. Materials
- CBP-GS010 films of BC, purchased from BioFaber (Mesagne, Italy), approximately A4 size.
- 1-Ethyl-3-Methylimidazolium tetrafluoro borate, EMIM-BF4, purchased from Alfa Aesar.
- Poly-(3,4-ethylene-dioxythiophene)-polystyrene-sulfonic acid, PEDOT-PSS, purchased from H.C. Starck (1.3 wt% dispersion in water, Baytron P AG).
2.2. Sample Preparation
2.3. Characterization Methods
3. Modeling
4. Results and Discussion
4.1. Composite Composition
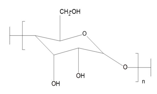
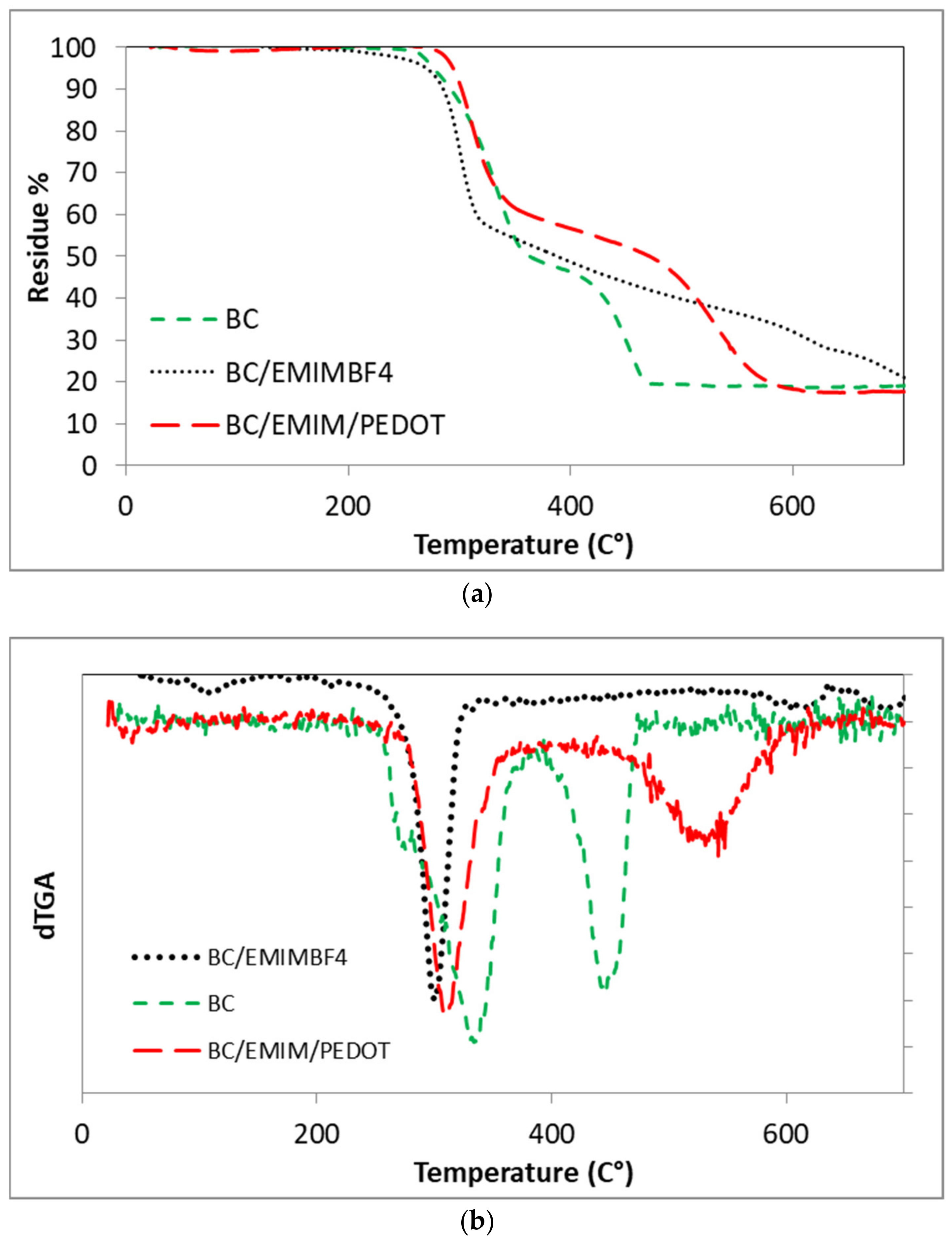
4.2. Structural, Thermal, and Mechanical Characterization
4.3. Mechanoelectrical Transduction
- A TIRA GmbH S503 shaker to impose a base motion of the sensor mounted in the cantilever configuration;
- A Keysight 33220A signal generator, required for driving the shaker;
- A digital oscilloscope (Agilent Infiniium MSO9064A), which is used both for a visual inspection of the relevant signals and their acquisition;
- Two Baumer 12U6460/S35A laser sensors. These are used to measure the displacements at the anchor and at the sensor tip, respectively;
- An accelerometer (model PCB333B40-SN51174) is mounted to the shaker moving plate and works as the reference.
4.4. The Investigation on the Mechanoelectrical Transduction Nature
- IEAPs are characterized by both electromechanical and mechanoelectrical transduction properties.
- An inversion of polarity between the mechanical signal and the electrical one is observed when the two transduction phenomena are investigated.
- The sign of the charges accumulated at each electrode depends on the nature of the prevailing mobile charges.
5. Conclusions
Author Contributions
Funding
Conflicts of Interest
References
- Carminati, M.; Ferrari, G.; Sampietro, M. Emerging miniaturized technologies for airborne particulate matter pervasive monitoring. Measurement 2017, 101, 250–256. [Google Scholar] [CrossRef]
- Naifar, S.; Trigona, C.; Bradai, S.; Baglio, S.; Kanoun, O. Characterization of a Smart Transducer for Axial Force Measurements in Vibrating Environments. Measurement. Measurement 2020, 16, 108157. [Google Scholar] [CrossRef]
- Benser, E.T. Trends in inertial sensors and applications. IEEE Int. Symp. Inert. Sens. Syst. (ISISS) 2015, 2015, 1–4. [Google Scholar]
- Lawrence, A.A. Modern Inertial Technology: Navigation, Guidance, and Control; Springer Science & Business Media: Berlin, Germany, 2012. [Google Scholar]
- Chaehoi, A.; Mailly, F.; Latorre, L.; Nouet, P. Experimental and finite-element study of convective accelerometer on CMOS. Sens. Actuators A Phys. 2006, 132, 78–84. [Google Scholar] [CrossRef] [Green Version]
- Trigona, C.; Ando, B.; Baglio, S. Design, fabrication, and characterization of BESOI-accelerometer exploiting photonic bandgap materials. IEEE Trans. Instrum. Meas. 2014, 63, 702–710. [Google Scholar] [CrossRef]
- Andò, B.; Baglio, S.; L’Episcopo, G.; Marletta, V.; Savalli, N.; Trigona, C. A BE-SOI MEMS for inertial measurement in geophysical applications. IEEE Trans. Instrum. Meas. 2011, 60, 1901–1908. [Google Scholar] [CrossRef]
- Nihtianov, S.; Luque, A. Smart Sensors and MEMS: Intelligent Sensing Devices and Microsystems for Industrial Applications, eds. Smart Sensors and MEMS: Intelligent Sensing Devices and Microsystems for Industrial Applications; Woodhead Publishing: Sawston, UK, 2018. [Google Scholar]
- Aydemir, A.; Terzioglu, Y.; Akin, T. A new design and a fabrication approach to realize a high performance three axes capacitive MEMS accelerometer. Sens. Actuators A Phys. 2016, 244, 324–333. [Google Scholar] [CrossRef]
- Giusa, F.; Maiorca, F.; Noto, A.; Trigona, C.; Andò, B.; Baglio, S. A diode-less mechanical voltage multiplier: A novel transducer for vibration energy harvesting. Sens. Actuators A Physical 2014, 212, 34–41. [Google Scholar] [CrossRef]
- Shen, Z.; Tan, C.Y.; Yao, K.; Zhang, L.; Chen, Y.F. A miniaturized wireless accelerometer with micromachined piezoelectric sensing element. Sens. Actuators A Phys. 2016, 241, 113–119. [Google Scholar] [CrossRef]
- Saranya, B.T.; Anjana, C.; Tina, B.S.; Seena, V. Polymer piezoresistive MEMS accelerometer with integrated ITO. In Proceedings of the 2017 IEEE 12th Nanotechnology Materials and Devices Conference (NMDC), Singapore, 2–4 October 2017; pp. 127–128. [Google Scholar]
- Wang, Y.; Ding, H.; Le, X.; Wang, W.; Xie, J. A MEMS piezoelectric in-plane resonant accelerometer based on aluminum nitride with two-stage microleverage mechanism. Sens. Actuators A Phys. 2017, 254, 126–133. [Google Scholar] [CrossRef]
- Bernstein, J. An overview of MEMS inertial sensing technology. Sens.-J. Appl. Sens. Technol. 2003, 20, 14–21. [Google Scholar]
- Baldé, C.P.; Forti, V.; Gray, V.; Kuehr, R.; Stegmann, P. The global e-Waste Monitor 2017: Quantities, Flows and Resources; United Nations University, International Telecommunication Union, and International Solid Waste Association: Tokyo, Japan, 2017. [Google Scholar]
- UN Report: Time to Seize Opportunity, Tackle Challenge of e-Waste. Available online: https://www.unenvironment.org/news-and-stories/press-release/un-report-time-seize-opportunity-tackle-challenge-e-waste (accessed on 22 August 2021).
- Roselli, L.; Mariotti, C.; Mezzanotte, P.; Alimenti, F.; Orecchini, G.; Virili, M.; Carvalho, N.B. Review of the present technologies concurrently contributing to the implementation of the Internet of Things (IoT) paradigm: RFID, Green Electronics, WPT and Energy Harvesting. Conference on Wireless Sensors and Sensor Networks (WiSNet). In Proceedings of the 2015 IEEE Topical Conference on Biomedical Wireless Technologies, Networks, and Sensing Systems (BioWireleSS), San Diego, CA, USA, 26–30 May 2015; pp. 1–3. [Google Scholar]
- Shahinpoor, M. Ionic Polymer Metal Composites (IPMCs)—Smart Multi-Functional Materials and Artificial Muscles; Royal Society of Chemistry: Cambridge, UK, 2016. [Google Scholar]
- Di Pasquale, G.; Fortuna, L.; Graziani, S.; La Rosa, M.; Nicolosi, D.; Sicurella, G.; Umana, E. All-organic motion sensors: Electromechanical modeling. IEEE Trans. Instrum. Meas. 2009, 58, 3731–3738. [Google Scholar] [CrossRef]
- Temmer, R.; Maziz, A.; Plesse, C.; Aabloo, A.; Vidal, F.; Tamm, T. In search of better electroactive polymer actuator materials: PPy versus PEDOT versus PEDOT-PPy composites. Smart Mater. Struct. 2013, 22, 104006. [Google Scholar] [CrossRef]
- Aabloo, A.; De Luca, V.; Di Pasquale, G.; Graziani, S.; Gugliuzzo, C.; Johanson, U.; Marino, C.; Pollicino, A.; Puglisi, R. A new class of ionic electroactive polymers based on green synthesis. Sens. Actuators A Phys. 2016, 249, 32–44. [Google Scholar] [CrossRef]
- Kim, S.S.; Jeon, J.H.; Kee, C.D.; Oh, I.K. Electro-active hybrid actuators based on freeze-dried bacterial cellulose and PEDOT:PSS. Smart Mater. Struct. 2013, 22, 085026. [Google Scholar] [CrossRef]
- Di Pasquale, G.; Graziani, S.; Pollicino, A.; Trigona, C. Green Inertial Sensors based on Bacterial Cellulose. In Proceedings of the 2019 IEEE Sensors Applications Symposium (SAS), Sophia Antipolis, France, 11–13 March 2019; pp. 1–4. [Google Scholar]
- Jung, Y.H.; Chang, T.H.; Zhang, H.; Yao, C.; Zheng, Q.; Yang, V.W.; Jiang, H. High-performance green flexible electronics based on biodegradable cellulose nanofibril paper. Nat. Commun. 2015, 6, 1–11. [Google Scholar] [CrossRef]
- Mahadeva, S.K.; Yun, S.; Kim, J. Flexible humidity and temperature sensor based on cellulose–polypyrrole nanocomposite. Sens. Actuators A Phys. 2011, 165, 194–199. [Google Scholar] [CrossRef]
- Iguchi, M.; Yamanaka, S.; Budhiono, A. Bacterial cellulose—A masterpiece of nature’s arts. J. Mater. Sci. 2000, 35, 261–270. [Google Scholar] [CrossRef]
- Gregory, D.A.; Tripathi, L.; Fricker, A.T.R.; Asare, E.; Orlando, I.; Raghavendran, V.; Roy, I. Bacterial cellulose: A smart biomaterial with diverse applications. Mater. Sci. Eng. R Rep. 2021, 145, 100623. [Google Scholar] [CrossRef]
- Yuen, J.D.; Shriver-Lake, L.C.; Walper, S.A.; Zabetakis, D.; Breger, J.C.; Stenger, D.A. Microbial nanocellulose printed circuit boards for medical sensing. Sensors 2020, 20, 2047. [Google Scholar] [CrossRef] [Green Version]
- Hosseini, H.; Kokabi, M.; Mousavi, S.M. Conductive bacterial cellulose/multiwall carbon nanotubes nanocomposite aerogel as a potentially flexible lightweight strain sensor. Carbohydr Pol. 2018, 201, 228–235. [Google Scholar] [CrossRef]
- Jeon, J.H.; Oh, I.K.; Kee, C.D.; Kim, S.J. Bacterial cellulose actuator with electrically driven bending deformation in hydrated condition. Sens. Actuators B Chem. 2010, 146, 307–313. [Google Scholar] [CrossRef]
- Di Pasquale, G.; Graziani, S.; Pollicino, A.; Trigona, C. Performance Characterization of a Biodegradable Deformation Sensor Based on Bacterial Cellulose. IEEE Trans. Instrum. Meas. 2019, 69, 2561–2569. [Google Scholar] [CrossRef]
- Mangayil, R.; Rajala, S.; Pammo, A.; Sarlin, E.; Luo, J.; Santala, V.; Karp, M.; Tuukkanen, S. Engineering and Characterization of Bacterial Nanocellulose Films as Low Cost and Flexible Sensor Material. ACS Appl. Mater. Interfaces 2017, 9, 19048–19056. [Google Scholar] [CrossRef] [PubMed]
- Esa, F.; Tasirin, S.M.; Rahman, N.A. Overview of bacterial cellulose production and application. Agric. Agric. Sci. Procedia 2014, 2, 113–119. [Google Scholar] [CrossRef] [Green Version]
- Wang, Y.H.; Song, P.; Li, X.; Ru, C.; Ferrari, G.; Balasubramanian, P.; Amabili, M.; Sun, Y.; Liu, X. A paper-based piezoelectric accelerometer. Micromachines 2018, 9, 1–12. [Google Scholar] [CrossRef] [PubMed] [Green Version]
- Kim, J.; Yun, S.; Ounaies, Z. Discovery of cellulose as a smart material. Macromolecules 2006, 39, 4202–4206. [Google Scholar] [CrossRef]
- Mano, J.F.; Silva, G.A.; Azevedo, H.S.; Malafaya, P.B.; Sousa, R.A.; Silva, S.S.; Boesel, L.F.; Oliveira, J.M.; Santos, T.C.; Marques, A.P.; et al. Natural origin biodegradable systems in tissue engineering and regenerative medicine: Present status and some moving trends. J. R. Soc. Interface 2006, 4, 999–1030. [Google Scholar] [CrossRef] [Green Version]
- Grau, G.; Frazier, E.J.; Subramanian, V. Printed unmanned aerial vehicles using paper-based electroactive polymer actuators and organic ion gel transistors. Microsyst. Nanoeng. 2016, 2, 16032. [Google Scholar] [CrossRef] [Green Version]
- Fernandes, I.D.A.A.; Pedro, A.C.; Ribeiro, V.R.; Bortolini, D.G.; Ozaki, M.S.C.; Maciel, G.M.; Haminiuk, C.W.I. Bacterial cellulose: From production optimization to new applications. Int. J. Biol. Macromol. 2020, 164, 2598–2611. [Google Scholar] [CrossRef]
- Spiridon, I.; Teaca, C.A.; Bodîrlău, R. Structural changes evidenced by FTIR spectroscopy in cellulose materials after pre-treatment with ionic liquid and enzymatic hydrolysis. BioResources 2011, 6, 400–413. [Google Scholar] [CrossRef]
- Trigona, C.; Di Pasquale, G.; Graziani, S.; Licciulli, A.; Nisi, R.; Pollicino, A. Geometrical and Thermal Influences on a Bacterial Cellulose-Based Sensing Element. Akta Imeko Spec. Issue MetroInd 2019, 4, 9. [Google Scholar]
















| Parameter | Value | Unit |
|---|---|---|
| m | 0.000035 | kg |
| k | 0.6 | N/m |
| d | 0.00044 | N/ms−1 |
| G | 0.07 | V/m |
| In | 9.56 × 10−16 | m4 |
| Emax | 3.4 × 109 | N/m2 |
| l | 0.0400 | m |
Publisher’s Note: MDPI stays neutral with regard to jurisdictional claims in published maps and institutional affiliations. |
© 2021 by the authors. Licensee MDPI, Basel, Switzerland. This article is an open access article distributed under the terms and conditions of the Creative Commons Attribution (CC BY) license (https://creativecommons.org/licenses/by/4.0/).
Share and Cite
Trigona, C.; Cerruto, S.; Graziani, S.; Di Pasquale, G.; Pollicino, A. Towards Environmentally Friendly Accelerometers Based on Bacterial Cellulose. Appl. Sci. 2021, 11, 7903. https://doi.org/10.3390/app11177903
Trigona C, Cerruto S, Graziani S, Di Pasquale G, Pollicino A. Towards Environmentally Friendly Accelerometers Based on Bacterial Cellulose. Applied Sciences. 2021; 11(17):7903. https://doi.org/10.3390/app11177903
Chicago/Turabian StyleTrigona, Carlo, Salvatore Cerruto, Salvatore Graziani, Giovanna Di Pasquale, and Antonino Pollicino. 2021. "Towards Environmentally Friendly Accelerometers Based on Bacterial Cellulose" Applied Sciences 11, no. 17: 7903. https://doi.org/10.3390/app11177903
APA StyleTrigona, C., Cerruto, S., Graziani, S., Di Pasquale, G., & Pollicino, A. (2021). Towards Environmentally Friendly Accelerometers Based on Bacterial Cellulose. Applied Sciences, 11(17), 7903. https://doi.org/10.3390/app11177903

