Ethylenediamine and Pentaethylene Hexamine Modified Bamboo Sawdust by Radiation Grafting and Their Adsorption Behavior for Phosphate
Abstract
:1. Introduction
2. Materials and Methods
2.1. Materials
2.2. Preparation of BS-GMA-EDA-Q and BS-GMA-PHEA-Q Adsorbent
2.2.1. EB Radiation Grafting
2.2.2. Preparation of BS-GMA-EDA-Q and BS-GMA-PHEA-Q Adsorbent
2.3. Characterization
2.4. Batch Adsorption Experiments
3. Results
3.1. Synthesis of the BS-GMA-EDA-Q and BS-GMA-PHEA-Q
3.2. Characterization
3.2.1. FTIR Spectra
3.2.2. SEM Photographs
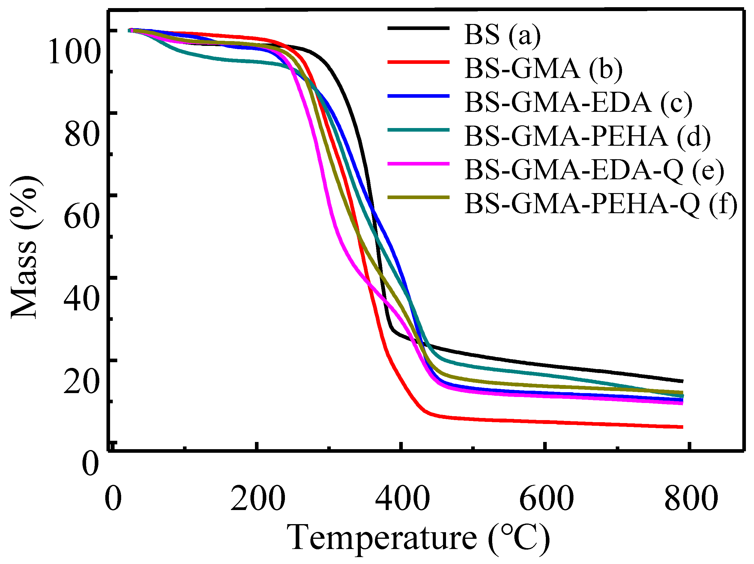
3.2.3. TG Analysis
3.2.4. XPS Analysis
3.3. Phosphate Adsorption in Batch Experiments
3.3.1. Effect of pH
3.3.2. Adsorption Kinetics
3.3.3. Adsorption Isotherms
3.4. Regeneration
4. Conclusions
- (1)
- After quaternization, BS-GMA-EDA-Q and BS-GMA-PEHA-Q showed a high adsorption capacity for phosphate. The adsorption capacity was independent to pH.
- (2)
- The adsorption kinetics of BS-GMA-EDA-Q and BS-GMA-PEHA-Q well obeyed the pseudo-second-order model. The phosphate uptake reached equilibrium within 180 min.
- (3)
- BS-GMA-EDA-Q and BS-GMA-PEHA-Q adsorbents for phosphate removal well obeyed the Langmuir model. The maximum phosphate adsorption capacities of BS-GMA-EDA-Q and BS-GMA-PEHA-Q were 85.25 and 152.21 mg/g, respectively.
- (4)
- The repeated use showed that the adsorption performance of the BS-GMA-EDA-Q and BS-GMA-PEHA-Q adsorbents displayed a negligible decrease after five cycles. Therefore, the BS-GMA-EDA-Q and BS-GMA-PEHA-Q adsorbents exhibit good recyclability and can be used repeatedly in practical applications.
Author Contributions
Funding
Institutional Review Board Statement
Informed Consent Statement
Data Availability Statement
Conflicts of Interest
References
- Zhang, L.; Liu, Y.; Li, Z. Effects of reduced severity of ammonium sulfite pretreatment on bamboo for high cellulose recovery. RSC Adv. 2019, 9, 30489–30495. [Google Scholar] [CrossRef] [Green Version]
- Xiong, W.; Hu, D. Fabrication of phosphonium bamboo cellulose by triphenylphosphine: Preparation, characterization, and adsorption of Acid Black 24. Environ. Sci. Pollut. Res. 2019, 26, 1880–1891. [Google Scholar] [CrossRef]
- Alchouron, J.; Navarathna, C.; Chludil, H.D. Assessing South American Guadua chacoensis bamboo biochar and Fe3O4 nanoparticle dispersed analogues for aqueous arsenic(V) remediation. Sci. Total Environ. 2020, 706, 135943. [Google Scholar] [CrossRef] [PubMed]
- Guan, M.; An, X.; Liu, H. Cellulose nanofiber (CNF) as a versatile filler for the preparation of bamboo pulp based tissue paper handsheets. Cellulose 2019, 26, 2613–2624. [Google Scholar] [CrossRef]
- Zhang, Q.; Ning, L.; Shen, Y. Study on shielding effectiveness, electrical conductivity and thermal property of bamboo-plastic shielding composite based on Ni-Fe-P coated bamboo fibers. Mater. Lett. 2020, 268, 127578. [Google Scholar] [CrossRef]
- Huang, C.; Tang, S.; Zhang, W.; Tao, Y.; Lai, C.; Li, X.; Yong, Q. Unveiling the structural properties of lignin-carbohydrate complexes in bamboo residues and its functionality as antioxidants and immunostimulants. ACS Sustain. Chem. Eng. 2018, 6, 12522–12531. [Google Scholar] [CrossRef]
- Su, Y.; Dong, H.; Li, M. Isolation of the Flavonoid from Bamboo Residues and Its Application as Metal Ion Sensor in vitro. Polymers 2019, 11, 1377. [Google Scholar] [CrossRef] [Green Version]
- Chen, H.; Cheng, Y.; Zhu, Z.; He, H.; Zhu, Y. Adsorption of Pb(II) from Aqueous Solution by Mercerized Moso Bamboo Chemically Modified with Pyromellitic Dianhydride. J. Environ. Eng. 2020, 146, 04019127. [Google Scholar] [CrossRef]
- Zhao, X.; Zeng, T.; Li, X.; Hu, Z.; Gao, H.; Xie, Z. Modeling and mechanism of the adsorption of copper ion onto natural bamboo sawdust. Carbohydr. Polym. 2012, 89, 185–192. [Google Scholar] [CrossRef]
- Hata, M.; Amano, Y.; Thiravetyan, P.; Machida, M. Preparation of Bamboo Chars and Bamboo Activated Carbons to Remove Color and COD from Ink Wastewater. Water Environ. Res. 2016, 88, 87–96. [Google Scholar] [CrossRef]
- Jawad, A.H.; Abdulhameed, A.S. Statistical modeling of methylene blue dye adsorption by high surface area mesoporous activated carbon from bamboo chip using KOH-assisted thermal activation. Energy Ecol. Environ. 2020, 5, 456–469. [Google Scholar] [CrossRef]
- Reddy, P.; Krushnamurty, K.; Mahammadunnisa, S.K. Preparation of activated carbons from bio-waste: Effect of surface functional groups on methylene blue adsorption. Int. J. Environ. Sci. Technol. 2015, 12, 1363–1372. [Google Scholar] [CrossRef] [Green Version]
- Zhang, J.; Shang, T.; Jin, X.; Gao, J.; Zhao, Q. Study of chromium(VI) removal from aqueous solution using nitrogen-enriched activated carbon based bamboo processing residues. RSC Adv. 2015, 5, 784–790. [Google Scholar] [CrossRef]
- Hou, Y.; Yan, S.; Huang, G.; Yang, Q.; Huang, S.; Cai, J. Fabrication of N-doped carbons from waste bamboo shoot shell with high removal efficiency of organic dyes from water. Bioresour. Technol. 2020, 303, 122939. [Google Scholar] [CrossRef] [PubMed]
- Peng, X.; Hu, F.; Zhang, T.; Qiu, F.; Dai, H. Amine-functionalized magnetic bamboo-based activated carbon adsorptive removal of ciprofloxacin and norfloxacin: A batch and fixed-bed column study. Bioresour. Technol. 2017, 249, 924–934. [Google Scholar] [CrossRef]
- Zhou, S.K.; Liu, Y.J.; Jiang, H.Y.; Deng, W.J.; Zeng, G.M. Adsorption of U(VI) from Aqueous Solution by a Novel Chelating Adsorbent Functionalized with Amine Groups: Equilibrium, Kinetic, and Thermodynamic Studies. Environ. Eng. Sci. 2017, 35, 1–9. [Google Scholar] [CrossRef]
- Wang, S.; Wang, L.; Kong, W.; Ren, J.; Liu, C.; Wang, K.; Sun, R.; She, D. Preparation, characterization of carboxylated bamboo fibers and their adsorption for lead(II) ions in aqueous solution. Cellulose 2013, 20, 2091–2100. [Google Scholar] [CrossRef]
- Zhang, X.; Zhao, J.; Cheng, L.; Lu, C.; Wang, Y.; He, X.; Zhang, W. Acrylic acid grafted and acrylic acid/sodium humate grafted bamboo cellulose nanofibers for Cu2+ adsorption. RSC Adv. 2014, 4, 55195–55201. [Google Scholar] [CrossRef]
- Hou, C.; Wu, Y.; Wang, T.; Gao, X. Preparation of Quaternized Bamboo Cellulose and Its Implication in Direct Air Capture of CO2. Energy Fuel. 2019, 33, 1745–1752. [Google Scholar] [CrossRef]
- Zhao, J.; Wang, L.; Xiao, J.; Tao, M.; Zhang, W. Removal of anionic azo dyes from aqueous solutions by quaternary ammonium salt-functionalized fibers with adjustable surface micro environments. React. Funct. Polym. 2020, 154, 104684. [Google Scholar] [CrossRef]
- Du, J.F.; Dong, Z.; Pi, Y.; Yang, X.; Zhao, L. Fabrication of Cotton Linter-Based Adsorbents by Radiation Grafting Polymerization for Humic Acid Removal from Aqueous Solution. Polymers 2019, 11, 962. [Google Scholar] [CrossRef] [Green Version]
- Yu, X.; Tong, S.; Ge, M.; Wu, L.; Song, W. Synthesis and characterization of multi-amino-functionalized cellulose for arsenic adsorption. Carbohyd. Polym. 2013, 92, 380–387. [Google Scholar] [CrossRef]
- Xu, C.; Yu, T.; Peng, J.; Zhao, L.; Li, J.; Zhai, M. Efficient Adsorption Performance of Lithium Ion onto Cellulose Microspheres with Sulfonic Acid Groups. Quantum Beam Sci. 2020, 4, 6. [Google Scholar] [CrossRef] [Green Version]
- Du, J.F.; Dong, Z.; Yang, X.; Zhao, L. Facile fabrication of sodium styrene sulfonate-grafted ethylene- vinyl alcohol copolymer as adsorbent for ammonium removal from aqueous solution. Environ. Sci. Pollut. Res. 2018, 25, 27235–27244. [Google Scholar] [CrossRef] [PubMed]
- Hao, H.; Wang, Y.; Shi, B. NaLa(CO3)2 hybridized with Fe3O4 for efficient phosphate removal: Synthesis and adsorption mechanistic study. Water Res. 2019, 155, 1–11. [Google Scholar] [CrossRef]
- Wang, B.; Zhang, W.; Li, L.; Guo, W.; Hong, Z. Novel talc encapsulated lanthanum alginate hydrogel for efficient phosphate adsorption and fixation. Chemosphere 2020, 256, 127124. [Google Scholar] [CrossRef] [PubMed]
- Asaoka, S.; Kawakami, K.; Saito, H. Adsorption of phosphate onto lanthanum-doped coal fly ash—Blast furnace cement composite. J. Hazard. Mater. 2020, 406, 124780. [Google Scholar] [CrossRef] [PubMed]
- Wang, Y.C.; Peng, J.; Li, J.Q.; Zhai, M.L. PVDF based ion exchange membrane prepared by radiation grafting of ethyl styrenesulfonate and sequent hydrolysis. Radiat. Phys. Chem. 2017, 130, 252–258. [Google Scholar] [CrossRef]
- Chattopadhyay, D.; Umrigar, K. Chemical Modification of Waste Cotton Linters for Oil Spill Cleanup Application. J. Inst. Eng. India Ser. E 2017, 98, 103–120. [Google Scholar] [CrossRef]
- Lv, X.; Li, Y.; Yang, M. Humidity sensitive properties of copolymer of quaternary ammonium salt with polyether-salt complex. Polym. Adv. Technol. 2009, 20, 509–513. [Google Scholar] [CrossRef]
- Deng, S.; Zheng, Y.; Xu, F.; Wang, B.; Huang, J.; Yu, G. Highly efficient sorption of perfluorooctane sulfonate and perfluorooctanoate on a quaternized cotton prepared by atom transfer radical polymerization. Chem. Eng. J. 2012, 193, 154–160. [Google Scholar] [CrossRef]
- Liang, R.H.; Li, Y.; Huang, L.; Wang, X.D.; Hu, X.; Liu, C.M.; Chen, M.S.; Chen, J. Pb2+ adsorption by ethylenediamine-modified pectins and their adsorption mechanisms. Carbohyd. Polym. 2020, 234, 115911. [Google Scholar] [CrossRef]
- Hu, G.W.; Wang, Y.; Ma, J.; Qiu, J.Y.; Peng, J.; Li, J.Q.; Zhai, M.L. A novel amphoteric ion exchange membrane synthesized by radiation-induced graftingα-methylstyrene and N, N-dimethylaminoethyl methacrylate for vanadium redox flow battery application. J. Membr. Sci 2012, 407–408, 184–192. [Google Scholar] [CrossRef]
- Cao, W.; Wang, Z.; Zeng, Q.; Shen, C. 13C NMR and XPS characterization of anion adsorbent with quaternary ammonium groups prepared from rice straw, corn stalk and sugarcane bagasse. Appl. Surf. Sci. 2016, 389, 404–410. [Google Scholar] [CrossRef]
- Kavakli, C.; Kavakli, P.A.; Turan, B.D.; Hamurcu, A.; Guven, O. Quaternized dimethylaminoethyl methacrylate strong base anion exchange fibers for As(V) adsorption. Radiat. Phys. Chem. 2014, 102, 84–95. [Google Scholar] [CrossRef]
- Du, J.F.; Dong, Z.; Lin, Z.; Yang, X.; Zhao, L. Radiation Synthesis of Pentaethylene Hexamine Functionalized Cotton Linter for Effective Removal of Phosphate: Batch and Dynamic Flow Mode Studies. Materials 2019, 12, 3393. [Google Scholar] [CrossRef] [PubMed] [Green Version]
- Tejada-Tovar, C.; Villaboni-Ortiz, A.; Ortega-Toro, R.; Mancilla-Bonilla, H.; Espinoza-Leon, F. Potential Use of Residual Sawdust of Eucalyptus globulus Labill in Pb (II) Adsorption: Modelling of the Kinetics and Equilibrium. Appl. Sci. 2021, 11, 3125. [Google Scholar] [CrossRef]
- Ma, Z.; Li, Q.; Yue, Q.; Gao, B.; Li, W.; Xu, X.; Zhong, Q. Adsorption removal of ammonium and phosphate from water by fertilizer controlled release agent prepared from wheat straw. Chem. Eng. J. 2011, 171, 1209–1217. [Google Scholar] [CrossRef]
- Alorabi, A.Q.; Alharthi, F.A.; Azizi, M.; Al-Zaqri, N.; Elmarghany, A.; Abdelshafeek, K. Removal of Lead(II) from Synthetic Wastewater by Lavandula Pubescens Decne Biosorbent: Insight into Composition-Adsorption Relationship. Appl. Sci. 2020, 10, 7450. [Google Scholar] [CrossRef]
- Qiao, H.; Mei, L.; Chen, G.; Liu, H.; Peng, C.; Ke, F.; Hou, R.; Wan, X.; Cai, H. Adsorption of nitrate and phosphate from aqueous solution using amine cross-linked tea wastes. Appl. Surf. Sci. 2019, 483, 114–122. [Google Scholar] [CrossRef]
- Mahdy, A.M.; Salem, M.Z.M.; Ali, A.M.; Ali, H.M. Optimum Operating Conditions for the Removal of Phosphate from Water Using of Wood-Branch Nanoparticles from Eucalyptus camaldulensis. Materials 2020, 13, 1851. [Google Scholar] [CrossRef] [Green Version]
- Bajpai, S.K.; Rohit, V.K.; Namdeo, M. Removal of phosphate anions from aqueous solutions using polypyrrole-coated sawdust as a novel sorbent. J. App. Polym. Sci. 2010, 111, 3081–3088. [Google Scholar] [CrossRef]
- Duan, P.; Xu, X.; Shang, Y.; Gao, B.; Li, F. Amine-crosslinked Shaddock Peel embedded with hydrous zirconium oxide nano-particles for selective phosphate removal in competitive condition. J. Taiwan Inst. Chem. Eng. 2017, 80, 650–662. [Google Scholar] [CrossRef]
- Fan, C.H.; Zhang, Y.C. Adsorption isotherms, kinetics and thermodynamics of nitrate and phosphate in binary systems on a novel adsorbent derived from corn stalks. J. Geochem. Explor. 2018, 188, 95–100. [Google Scholar] [CrossRef]
- Zhang, J.; Shan, W.; Ge, J.; Shen, Z.; Lei, L.; Wang, W. Kinetic and Equilibrium Studies of Liquid-Phase Adsorption of Phosphate on Modified Sugarcane Bagasse. J. Environ. Eng. 2012, 138, 252–258. [Google Scholar] [CrossRef]
- Xu, X.; Gao, B.Y.; Yue, Q.Y.; Zhong, Q.Q. Preparation of agricultural by-product based anion exchanger and its utilization for nitrate and phosphate removal. Bioresour. Technol. 2010, 101, 8558–8564. [Google Scholar] [CrossRef] [PubMed]
- Benyoucef, S.; Amrani, M. Removal of Phosphate from Aqueous Solution with Modified Sawdust. Procedia Eng. 2012, 33, 58–69. [Google Scholar] [CrossRef] [Green Version]










| Model | Parameters | BS-GMA-EDA-Q | BS-GMA-PEHA-Q |
|---|---|---|---|
| pseudo-first-order kinetics | k1 (h−1) | 0.0458 | 0.0421 |
| qe (mg/g) | 22.266 | 21.177 | |
| R2 | 0.9843 | 0.9616 | |
| pseudo-second-order kinetics | k2 (g/(mg·min)) | 0.0025 | 0.0021 |
| qe (mg/g) | 24.504 | 23.981 | |
| R2 | 0.9995 | 0.9995 | |
| Weber–Morris | Kid1 | 3.401 | 2.8049 |
| I1 | −2.094 | −0.6285 | |
| R2 | 0.9557 | 0.9860 | |
| Kid2 | 1.1673 | 1.1649 | |
| I2 | 9.8019 | 8.3497 | |
| R2 | 0.9278 | 0.9775 |
| Adsorbents | Langmuir | Freundlich | ||||
|---|---|---|---|---|---|---|
| Qm (mg/g) | KL | R2 | KF (mg·L−1) | n | R2 | |
| BS-GMA-EDA-Q | 85.985 | 0.0620 | 0.9972 | 23.055 | 4.0297 | 0.9752 |
| BS-GMA-PEHA-Q | 152.21 | 0.0296 | 0.9931 | 13.209 | 2.1187 | 0.9568 |
| Adsorbent | Max Adsorption Capacity (mg/g) | pH | Reference |
|---|---|---|---|
| woody sawdust nanoparticles | 50 | 7 | [41] |
| polypyrrole-coated sawdust | 17.33–30.39 | [42] | |
| amine-crosslinked Shaddock Peel | 59.89 | 3 | [43] |
| diethylamine modified Cellulose | 22.88 | 6.8 | [44] |
| modified sugar-cane bagasse | 21.3 | 7 | [45] |
| wheat straw anion exchanger | 52.80 | [46] | |
| Amine crosslinked tea waste | 98.72 | 6 | [47] |
| BS-GMA-EDA-Q | 85.25 | 7 | This paper |
| Modified aleppo pine sawdust | 116.25 | [40] | |
| BS-GMA-PEHA-Q | 152.21 | 7 | This paper |
Publisher’s Note: MDPI stays neutral with regard to jurisdictional claims in published maps and institutional affiliations. |
© 2021 by the authors. Licensee MDPI, Basel, Switzerland. This article is an open access article distributed under the terms and conditions of the Creative Commons Attribution (CC BY) license (https://creativecommons.org/licenses/by/4.0/).
Share and Cite
Du, J.; Xiong, H.; Dong, Z.; Yang, X.; Zhao, L.; Yang, J. Ethylenediamine and Pentaethylene Hexamine Modified Bamboo Sawdust by Radiation Grafting and Their Adsorption Behavior for Phosphate. Appl. Sci. 2021, 11, 7854. https://doi.org/10.3390/app11177854
Du J, Xiong H, Dong Z, Yang X, Zhao L, Yang J. Ethylenediamine and Pentaethylene Hexamine Modified Bamboo Sawdust by Radiation Grafting and Their Adsorption Behavior for Phosphate. Applied Sciences. 2021; 11(17):7854. https://doi.org/10.3390/app11177854
Chicago/Turabian StyleDu, Jifu, Houhua Xiong, Zhen Dong, Xin Yang, Long Zhao, and Jun Yang. 2021. "Ethylenediamine and Pentaethylene Hexamine Modified Bamboo Sawdust by Radiation Grafting and Their Adsorption Behavior for Phosphate" Applied Sciences 11, no. 17: 7854. https://doi.org/10.3390/app11177854
APA StyleDu, J., Xiong, H., Dong, Z., Yang, X., Zhao, L., & Yang, J. (2021). Ethylenediamine and Pentaethylene Hexamine Modified Bamboo Sawdust by Radiation Grafting and Their Adsorption Behavior for Phosphate. Applied Sciences, 11(17), 7854. https://doi.org/10.3390/app11177854

