Experimental Study on Stress Corrosion Index Governing Time-Dependent Degradation of Rock Strength
Abstract
1. Introduction
2. Materials and Methods
2.1. Determination of Stress Corrosion Index thouhgh Constant Stress-Rate Tests
2.2. Mechanical Properties of Tested Material
2.3. Test Methods
2.3.1. Brazilian Tension Test
2.3.2. Three-Point Flexural Test
2.3.3. Short-Beam Compression Test
2.3.4. Single-Shear Test
2.3.5. Torsion Test of Rectangular Section Specimens
2.3.6. Circumferentially Notched Cylindrical Specimen Test
3. Results
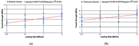
3.1. Tension Tests
3.2. In-Plane Shear Tests
3.3. Out-of-Plane Shear Tests
4. Discussion
5. Conclusions
Author Contributions
Funding
Acknowledgments
Conflicts of Interest
References
- Atkinson, B.K. Subcritical crack growth in geological materials. J. Geophys. Res. 1984, 89, 4077–4114. [Google Scholar] [CrossRef]
- Atkinson, B.K.; Meredith, P.C. The theory of subcritical crack growth with applications to minerals and rocks. In Fracture Mechanics of Rock, 1st ed.; Atkinson, B.K., Ed.; Academic Press: Cambridge, MA, USA, 1987. [Google Scholar]
- Scholz, C.H. Static fatigue of quartz. J. Geophys. Res. 1972, 77, 2104–2114. [Google Scholar] [CrossRef]
- Martin, R.J. Time-dependent crack growth in quartz and its application to the creep of rocks. J. Geophys. Res. 1972, 77, 1405–1419. [Google Scholar] [CrossRef]
- Swain, M.V.; Williams, J.S.; Lawn, B.R.; Beek, J.J.H. A comparative study of the fracture of various silica modifications using the Hertzian test. J. Mater. Sci. 1973, 8, 1153–1164. [Google Scholar] [CrossRef]
- Atkinson, B.K. A fracture mechanics study of subcritical tensile cracking of quartz in wet environments. Pure Appl. Geophys. 1979, 117, 1011–1024. [Google Scholar] [CrossRef]
- Atkinson, B.K. Subcritical crack propagation in rocks: Theory, experimental results and applications. J. Struct. Geol. 1982, 4, 41–56. [Google Scholar] [CrossRef]
- Costin, L.S. Time-dependent deformation and failure. In Fracture Mechanics of Rock, 1st ed.; Atkinson, B.K., Ed.; Academic Press: Cambridge, MA, USA, 1987. [Google Scholar]
- Sano, O.; Ito, I.; Terada, M. Influence of strain rate on dilatancy and strength of Oshima granite under uniaxial compression. J. Geophys. Res. 1981, 86, 9299–9311. [Google Scholar] [CrossRef]
- Ko, T.Y.; Kemeny, J. Subcritical crack growth in rocks under shear loading. J. Geophys. Res. 2011, 116, B01407. [Google Scholar] [CrossRef]
- Rinehart, J.S. Dynamic Fracture Strength of Rocks. In Proceedings of the 7th US Symposium on Rock Mechanics, Pennsylvania, PA, USA, 14–16 June 1965. [Google Scholar]
- Green, S.J.; Perkins, R.D. Uniaxial Compression Tests at Varying Strain Rates on Three Geologic Materials. In Proceedings of the 10th US Symposium on Rock Mechanics, Austin, TX, USA, 20–22 May 1968. [Google Scholar]
- Grady, D.E.; Kipp, M.E. Dynamic rock fragmentation. In Fracture Mechanics of Rock, 1st ed.; Atkinson, B.K., Ed.; Academic Press: Cambridge, MA, USA, 1987. [Google Scholar]
- Bazant, Z.P.; Bai, S.P.; Gettu, R. Fracture of rock: Effect of loading rate. Eng. Fract. Mech. 1993, 45, 393–398. [Google Scholar] [CrossRef]
- Zhang, Z.X.; Kou, S.Q.; Jiang, L.G.; Lindqvist, P.A. Effects of loading rates on rock fracture: Fracture characteristics and energy partitioning. Int. J. Rock Mech. Min. Sci. 2000, 37, 745–762. [Google Scholar] [CrossRef]
- Fukui, K.; Okubo, S.; Ogawa, A. Some aspects of loading rate dependency of Sanjome andesite strengths. Int. J. Rock Mech. Min. Sci. 2006, 41, 1215–1219. [Google Scholar] [CrossRef]
- Zhang, Q.B.; Zhao, J. Quasi-static and dynamic fracture behaviour of rock materials: Phenomena and mechanisms. Int. J. Fract. 2014, 189, 1–32. [Google Scholar] [CrossRef]
- Kemeny, J. The time-dependent reduction of sliding cohesion due to rock bridges along discontinuities: A fracture mechanics approach. Rock Mech. Rock Engng. 2003, 36, 27–38. [Google Scholar] [CrossRef]
- Swanson, P.L. Subcritical crack propagation in Westerly granite: An investigation into the double torsion method. Int. J. Rock Mech. Min. Sci. Geomech. Abstr. 1981, 18, 445–449. [Google Scholar] [CrossRef]
- Nara, Y.; Kaneko, K. Study of subcritical crack growth in andesite using the double torsion test. Int. J. Rock Mech. Min. Sci. 2005, 42, 521–530. [Google Scholar] [CrossRef]
- Nara, Y.; Morimoto, K.; Yoneda, T.; Hiroyoshi, N.; Kaneko, K. Effects of humidity and temperature on subcritical crack growth in sandstone. Int. J. Solids Struct. 2011, 48, 1130–1140. [Google Scholar] [CrossRef]
- Ko, T.Y.; Kemeny, J. Determination of the subcritical crack growth parameters in rocks using the constant stress-rate test. Int. J. Rock Mech. Min. Sci. 2013, 59, 166–178. [Google Scholar] [CrossRef]
- Yuan, H.; Wang, F.; Liu, Y.; Bian, H.; Chen, W.; Wang, Y. Time-dependent behavior of subcritical crack growth for rock plate: Experimental and numerical study. Int. J. Distrib. Sens. Netw. 2018, 14, 1–10. [Google Scholar] [CrossRef]
- Errandonea, D.; Ferrer-Roca, C.; Martínez-Garcia, D.; Segura, A.; Gomis, O.; Muñoz, A.; Rodríguez-Hernández, P.; López-Solano, J.; Alconchel, S.; Sapiña, F. High-pressure x-ray diffraction and ab initio study of Ni2Mo3N, Pd2Mo3N, Pt2Mo3N, Co3Mo3N, and Fe3Mo3N: Two families of ultra-incompressible bimetallic interstitial nitrides. Phys. Rev. B. 2010, 82, 174105. [Google Scholar] [CrossRef]
- Ugural, A.C.; Fenster, S.K. Torsion of prismatic bars. In Advanced Strength and Applied Elasticity, 4th ed.; Ugural, A.C., Fenster, S.K., Eds.; Prentice Hall: Upper Saddle Rive, NJ, USA, 2003. [Google Scholar]
- Tada, H.; Paris, P.C.; Irwin, G.R. The Stress Analysis of Cracks Handbook, 3rd ed.; ASME Press: New York, NY, USA, 2000. [Google Scholar]
- Gudmundsson, A. Rock Fractures in Geological Processes, 1st ed.; Cambridge University Press: Cambridge, UK, 2011. [Google Scholar]
- Hanaor, D.A.H.; Hu, L.; Kan, W.H.; Proust, G.; Foley, M.; Karaman, I.; Radovic, M. Compressive performance and crack propagation in Al alloy/Ti2AlC composites. Mater. Sci. Eng. A 2016, 672, 247–256. [Google Scholar] [CrossRef]
- Kundu, T. Fundamentals of Fracture Mechanics, 1st ed.; CRC Press: Boca Raton, FL, USA, 2008. [Google Scholar]
- Healy, D.; Jones, R.R.; Holdsworth, R.E. Three-dimensional brittle shear fracturing by tensile crack interaction. Nature 2006, 439, 64–67. [Google Scholar] [CrossRef] [PubMed]
- Hashiba, K.; Okubo, S.; Fukui, K. A new testing method for investigating the loading rate dependency of peak and residual rock strength. Int. J. Rock Mech. Min. Sci. 2006, 43, 894–904. [Google Scholar] [CrossRef]
- Lankford, J. The role of tensile microfracture in the strain rate dependence of compressive strength of fine-grained limestone-analogy with strong ceramics. Int. J. Rock Mech. Min. Sci. Geomech. Abstr. 1981, 18, 173–175. [Google Scholar] [CrossRef]
- Brantut, N.; Heap, M.J.; Meredith, P.G.; Baud, P. Time-dependent cracking and brittle creep in crustal rocks: A review. J. Struct. Geol. 2013, 52, 17–43. [Google Scholar] [CrossRef]


















| Property | σc [MPa] | σt [MPa] | E [GPa] | ν | K [GPa] | Φ [°] | C |
|---|---|---|---|---|---|---|---|
| Value | 118.0 | 6.4 | 24.3 | 0.36 | 28.9 | 50.6 | 22.7 |
| Rock Type | Test | n |
|---|---|---|
| Tage tuff | Uniaxial compression | 42 |
| Uniaxial tension | 46 | |
| Indirect tension | 45 | |
| Sanjome andesite | Uniaxial compression | 35–38 |
| Uniaxial tension | 36–39 | |
| Indirect tension | 39–41 | |
| Akiyoshi marble | Uniaxial compression | 64 |
© 2020 by the authors. Licensee MDPI, Basel, Switzerland. This article is an open access article distributed under the terms and conditions of the Creative Commons Attribution (CC BY) license (http://creativecommons.org/licenses/by/4.0/).
Share and Cite
Ko, T.Y.; Lee, S.S. Experimental Study on Stress Corrosion Index Governing Time-Dependent Degradation of Rock Strength. Appl. Sci. 2020, 10, 2175. https://doi.org/10.3390/app10062175
Ko TY, Lee SS. Experimental Study on Stress Corrosion Index Governing Time-Dependent Degradation of Rock Strength. Applied Sciences. 2020; 10(6):2175. https://doi.org/10.3390/app10062175
Chicago/Turabian StyleKo, Tae Young, and Sean Seungwon Lee. 2020. "Experimental Study on Stress Corrosion Index Governing Time-Dependent Degradation of Rock Strength" Applied Sciences 10, no. 6: 2175. https://doi.org/10.3390/app10062175
APA StyleKo, T. Y., & Lee, S. S. (2020). Experimental Study on Stress Corrosion Index Governing Time-Dependent Degradation of Rock Strength. Applied Sciences, 10(6), 2175. https://doi.org/10.3390/app10062175

