Lifting Activity Assessment Using Kinematic Features and Neural Networks
Abstract
1. Introduction
2. Materials and Methods
2.1. Participants
2.2. Data Recordings
2.3. Experimental Procedures
2.4. Definition of Lifting Cycle
2.5. Center of Mass and Lifting Energy Consumption (Lec)
2.6. Jerk
2.7. Neural Networks Design and Mapping Functions
- SET1 contained energy data derived from the CoM of the whole body-load complex (LECk_Tot, LECp_Tot and LECM_Tot);
- SET2 contained energy data derived from the CoM of the upper body-load complex (LECk_Upp+L, LECp_Upp+L and LECM_Upp+L);
- SET3 contained jerk data derived from lower limbs (Jknee);
- SET4 contained jerk data derived from upper limbs (Jelbow);
- SET5 contained jerk data derived from trunk (Jtrunk);
- SET6 contained all jerk data (Jknee, Jelbow, Jtrunk);
- SET7 contained both energy and jerk data derived from upper body and load (LECk_Upp+L, LECp_Upp+L, LECM_Upp+L, Jelbow and Jtrunk);
- SET8 contained all energy and jerk data (all extracted features).
2.8. Statistical Analysis
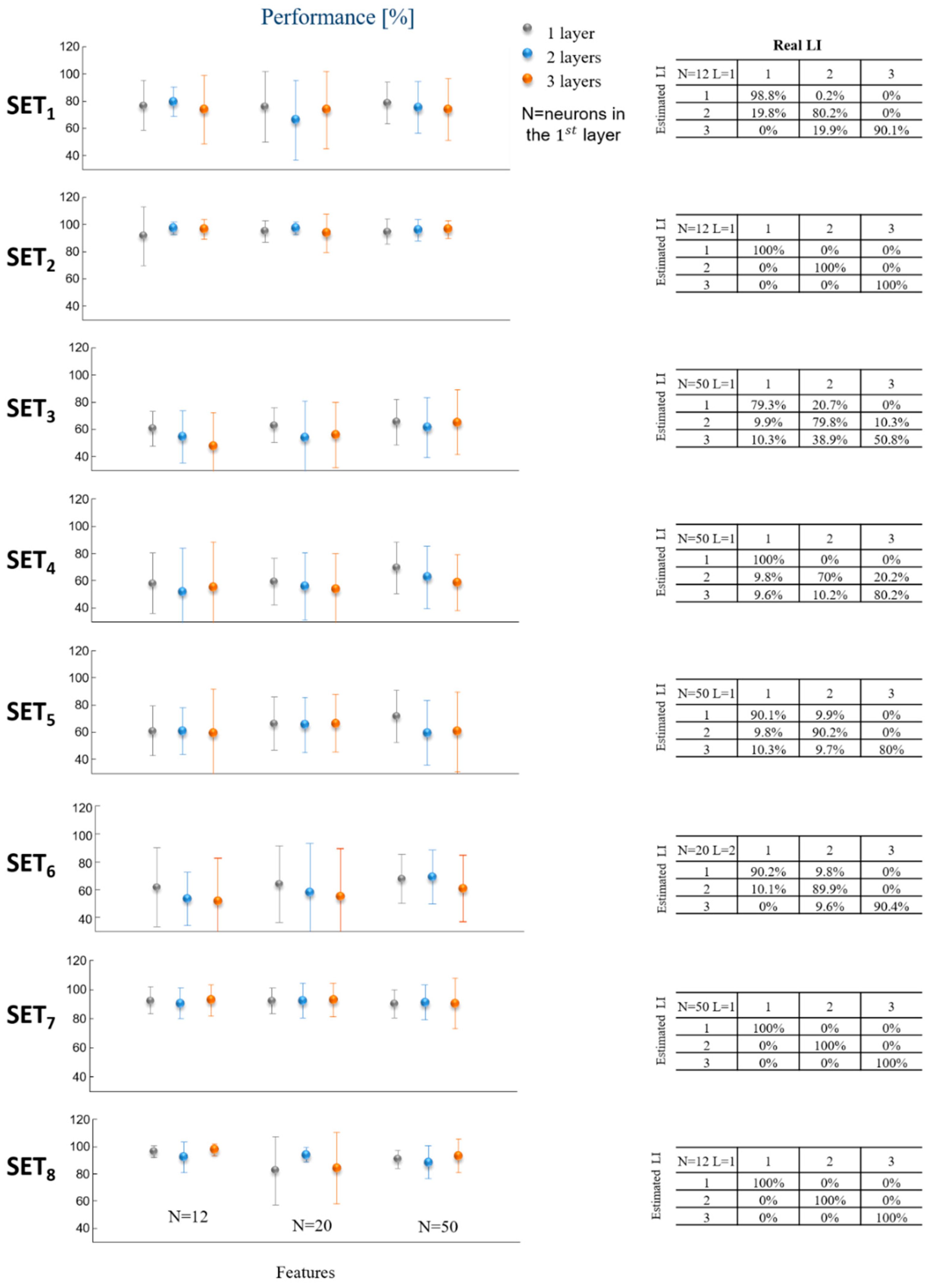
3. Results
3.1. Kinematic Feature Analysis
- LI = 1 vs. LI = 2 and LI = vs. LI = 3 (p < 0.05) for Jtrunk
- LI = 1 vs. LI = 3 and LI = 2 vs. LI = 3 (p < 0.05) for Jelbow
- LI = 1 vs. LI = 2and LI = 2 vs. LI = 3 (p < 0.05); LI = 1 vs. LI = 3 (p < 0.001) for Jknee
3.2. Mapping of Kinematic Features on Li Levels
- SET1 vs. all SETi;
- SET2 vs. SET3, SET4, SET5, SET6;
- SET3 vs. SET1, SET2, SET7, SET8;
- SET4 vs. SET1, SET2, SET7, SET8;
- SET5 vs. SET1, SET2, SET7, SET8;
- SET6 vs. SET1, SET2, SET7, SET8;
- SET7 vs. all SETi excepted SET2;
- SET8 vs. all SETi excepted SET2.
4. Discussion
Limitations and Future Developments
5. Conclusions
Author Contributions
Funding
Conflicts of Interest
Ethical Approval
References
- National Research Council (US) and Institute of Medicine (US) Panel on Musculoskeletal Disorders and the Workplace. Musculoskeletal Disorders and the Workplace: Low Back and Upper Extremities. Washington (DC): National Academies Press (US). 2001. Available online: https://www.nap.edu/catalog/10032/musculoskeletal-disorders-and-the-workplace-low-back-and-upper-extremities (accessed on 14 March 2020).
- Griffith, L.E.; Shannon, H.S.; Wells, R.P.; Walter, S.D.; Cole, D.C.; Côté, P.; Frank, J.; Hogg-Johnson, S.; Langlois, L.E. Individual participant data meta-analysis of mechanical workplace risk factors and low back pain. Am. J. Public Health 2012, 102, 309–318. [Google Scholar] [CrossRef]
- Waters, T.R.; Lu, M.; Piacitelli, L.A.; Werren, D.; Deddens, J.A. Efficacy of the revised NIOSH lifting equation to predict low back pain due to manual lifting: Expanded crosssectional analysis. J. Occup. Environ. Med. 2011, 53, 1061–1067. [Google Scholar] [CrossRef]
- Hartvigsen, J.; Bakketeig, L.S.; Leboeuf-Yde, C.; Engberg, M.; Lauritzen, T. The association between physical workload and low back pain clouded by the “healthy worker” effect: Population-based cross-sectional and 5-year prospective questionnaire study. Spine 2001, 26, 1788–1792. [Google Scholar] [CrossRef]
- Garg, A.; Boda, S.; Hegmann, K.T.; Moore, J.S.; Kapellusch, J.M.; Bhoyar, P.; Thiese, M.S.; Merryweather, A.; Deckow-Schaefer, G.; Bloswick, D.; et al. The NIOSH lifting equation and low-back pain, Part 1: Association with low-back pain in the backworks prospective cohort study. Hum. Factors 2014, 56, 6–28. [Google Scholar] [CrossRef]
- Lin, C.J.; Cheng, C.F. Lifting speed preferences and their effects on the maximal lifting capacity. Ind. Health 2017, 55, 27–34. [Google Scholar] [CrossRef]
- Waters, T.R.; Putz-Anderson, V.; Garg, A.; Fine, L.J. Revised NIOSH Equation for the Design and Evaluation of Manual Lifting Tasks. Ergonomics 1993, 36, 749–776. [Google Scholar] [CrossRef]
- Waters, T.R.; Putz-Anderson, V.; Garg, A. Applications Manual for the Revised NIOSH Lifting Equation. Cincinnati, OH: U.S. Department of Health and Human Services Public Health Service, Centers for Disease Control and Prevention. Natl. Inst. Occup. Saf. Health Div. Biomed. Behav. Sci. 1994, 94–110. Available online: https://stacks.cdc.gov/view/cdc/5434 (accessed on 20 January 2020).
- Waters, T.R.; Baron, S.L.; Piacitelli, L.; Anderson, V.; Skov, T.; Haring-Sweeney, M.; Walk, D.K.; Fine, L.J. Evaluation of the Revised NIOSH Lifting Equation. Spine 1999, 24, 386–395. [Google Scholar] [CrossRef]
- Marras, W.S.; Fine, L.J.; Ferguson, S.A.; Waters, T.R. The effectiveness of commonly used lifting assessment methods to identify industrial jobs associated with elevated risk of low-back disorders. Ergonomics 1999, 42, 229–245. [Google Scholar] [CrossRef] [PubMed]
- Lavender, S.A.; Li, Y.C.; Natarajan, R.N.; Andersson, G.B. Does the asymmetry multiplier in the 1991 NIOSH lifting equation adequately control the biomechanical loading of the spine? Ergonomics 2009, 52, 71–79. [Google Scholar] [CrossRef] [PubMed]
- Dempsey, P.G. Usability of the revised NIOSH lifting equation. Ergonomics 2002, 45, 817–828. [Google Scholar] [CrossRef] [PubMed]
- Elfeituri, F.E.; Taboun, S.M. An evaluation of the NIOSH Lifting Equation: A psychophysical and biomechanical investigation. Int. J. Occup. Saf. Ergon. 2002, 8, 243–258. [Google Scholar] [CrossRef] [PubMed]
- Dempsey, P.G.; Fathallah, F.A. Application issues and theoretical concerns regarding the 1991 NIOSH equation asymmetry multiplier. Int. J. Ind. Ergon. 1999, 23, 181–191. [Google Scholar] [CrossRef]
- Wang, M.; Garg, A.; Chang, Y.; Shin, Y.; Yeh, W.; Lee, C. The relationship between low back discomfort ratings and the NIOSH lifting index. Hum. Factors 1998, 40, 509–515. [Google Scholar] [CrossRef]
- Nussbaum, M.; Chaffin, D.; Page, G. A biomechanical investigation of the asymmetric multiplier in the revised NIOSH lifting equation. In Proceedings of the Human Factors and Ergonomics Society 39th Annual Meeting (709–713), Santa Monica, CA, USA, 19–21 April 2018. [Google Scholar]
- Karwowski, W.; Brokaw, N. Implications of the proposed revisions in a draft of the revised NIOSH lifting guide (1991) for job redesign: A field study. In Proceedings of the 36th Annual Meeting of the Human Factors Society, Atlanta, GA, USA, 12–16 October 1992; Human Factors Society: Santa Monica, CA, USA, 1995; pp. 659–663. [Google Scholar]
- Sesek, R.; Gilkey, D.; Drinkaus, P.; Bloswick, D.S.; Herron, R. Evaluation and quantification of manual materials handling risk factors. Int. J. Occup. Saf. Ergon. 2003, 9, 271–287. [Google Scholar] [CrossRef] [PubMed]
- Dempsey, P.G.; Burdorf, A.; Fathallah, F.A.; Sorock, G.S.; Hashemi, L. Influence of measurement accuracy on the application of the 1991 NIOSH equation. Appl. Ergon. 2001, 32, 91–99. [Google Scholar] [CrossRef]
- Ranavolo, A.; Draicchio, F.; Varrecchia, T.; Silvetti, A.; Iavicoli, S. Erratum: Alberto, R. Wearable Monitoring Devices for Biomechanical Risk Assessment at Work: Current Status and Future Challenges—A Systematic Review. Int. J. Environ. Res. Public Health 2018, 15, 2569. [Google Scholar] [CrossRef]
- Alberto, R.; Draicchio, F.; Varrecchia, T.; Silvetti, A.; Iavicoli, S. Wearable Monitoring Devices for Biomechanical Risk Assessment at Work: Current Status and Future Challenges-A Systematic Review. Int. J. Environ. Res. Public Health 2018, 15, 2001. [Google Scholar] [CrossRef]
- Hegde, N.; Bries, M.; Sazonov, E. A Comparative Review of Footwear-BasedWearable Systems. Electronics 2016, 5, 48. [Google Scholar] [CrossRef]
- Moufawad, E.L.; Achkar, C.; Lenbole-Hoskovec, C.; Paraschiv-Ionescu, A.; Major, K.; Büla, C.; Aminian, K. Classification and characterization of postural transitions using instrumented shoes. Med. Biol. Eng. Comput. 2018, 56, 1403–1412. [Google Scholar] [CrossRef]
- Liu, K.; Liu, Y.; Yan, J.; Sun, Z. Nondestructive Estimation of Muscle Contributions to STS Training with Different Loadings Based onWearable Sensor System. Sensors 2018, 18, 971. [Google Scholar]
- Liu, T.; Inoue, Y.; Shibata, K. A wearable ground reaction force sensor system and its application to the measurement of extrinsic gait variability. Sensors 2010, 10, 10240–10255. [Google Scholar] [CrossRef] [PubMed]
- Li, G.; Buckle, P. Evaluating Change in Exposure to Risk for Musculoskeletal Disordersea Practical Tool. HSE Books, Suffolk [Online]. 1999; 74p, CRR251. Available online: http://www.hse.gov.uk/research/crr_pdf/1999/crr99251.pdf (accessed on 27 October 2005).
- Zurada, J.; Karwowski, W.; Marras, W.S. A neural network-based system for classification of industrial jobs with respect to risk of low back disorders due to workplace design. Appl. Ergon. 1997, 28, 49–58. [Google Scholar] [CrossRef]
- Chen, C.L.; Kaber, D.B.; Dempsey, P.G. A new approach to applying feedforward neural networks to the prediction of musculoskeletal disorder risk. Appl. Ergon. 2000, 31, 269–282. [Google Scholar] [CrossRef]
- Chen, C.L.; Kaber, D.B.; Dempsey, P.G. Using feedforward neural networks and forward selection of input variables for an ergonomics data classification problem. Hum. Factors Ergon. Manuf. 2004, 14, 31–49. [Google Scholar] [CrossRef]
- Varrecchia, T.; De Marchis, C.; Rinaldi, M.; Draicchio, F.; Serrao, M.; Schmid, M.; Conforto, S.; Ranavolo, A. Lifting activity assessment using surface electromyographic features and neural networks. Int. J. Ind. Ergon. 2018, 66, 1–9. [Google Scholar] [CrossRef]
- Asensio-Cuesta, S.; Diego-Mas, J.A.; Alcaide-Marzal, J. Applying generalised feedforward neural networks to classifying industrial jobs in terms of risk of low back disorders. Int. J. Ind. Ergon. 2010, 40, 629–635. [Google Scholar] [CrossRef]
- Ranavolo, A.; Mari, S.; Conte, C.; Serrao, M.; Silvetti, A.; Iavicoli, S.; Draicchio, F. A new muscle co-activation index for biomechanical load evaluation in work activities. Ergonomics 2015, 58, 966–979. [Google Scholar] [CrossRef]
- Ranavolo, A.; Varrecchia, T.; Iavicoli, S.; Marchesi, A.; Rinaldi, M.; Serrao, M.; Conforto, S.; Cesarelli, M.; Draicchio, F. Surface electromyography for risk assessment in work activities designed using the “revised NIOSH lifting equation”. Int. J. Ind. Ergon. 2018, 68, 34–45. [Google Scholar] [CrossRef]
- Ranavolo, A.; Varrecchia, T.; Rinaldi, M.; Silvetti, A.; Serrao, M.; Conforto, S.; Draicchio, F. Mechanical lifting energy consumption in work activities designed by means of the “revised NIOSH lifting equation”. Ind. Health 2017, 55, 444–454. [Google Scholar] [CrossRef]
- Wu, G.; van der Helm, F.C.; Veeger, H.E.; Makhsous, M.; Van Roy, P.; Anglin, C.; Nagels, J.; Karduna, A.R.; McQuade, K.; Wang, X.; et al. International Society of Biomechanics. ISB Recommendation on Definitions of Joint Coordinate Systems of Various Joints for the Reporting of Human Joint Motion. Part II.; Shoulder, Elbow, Wrist and Hand. J. Biomech. 2005, 38, 981–992. [Google Scholar] [CrossRef] [PubMed]
- Sakata, K.; Kogure, A.; Hosoda, M.; Isozaki, K.; Masuda, T.; Morita, S. Evaluation of the age-related changes in movement smoothness in the lower extremity joints during lifting. Gait Posture 2010, 31, 27–31. [Google Scholar] [CrossRef] [PubMed]
- Rumelhart, D.E.; Hinton, G.E.; Williams, R.J. Learning internal representations by error propagation. In Parallel Distributed Processing; MIT Press: Cambridge, MA, USA, 1986; Volume 1, pp. 318–362. [Google Scholar]
- De Looze, M.P.; Bosch, T.; Krause, F.; Stadler, K.S.; O’Sullivan, L.W. Exoskeletons for industrial application and their potential effects on physical work load. Ergonomics 2016, 59, 671–681. [Google Scholar] [CrossRef] [PubMed]
- Waters, T.R.; Dick, R.B.; Davis-Barkley, J.; Krieg, E.F. A cross-sectional study of risk factors for musculoskeletal symptoms in the workplace using data from the General Social Survey (GSS). J. Occup. Environ. Med. 2007, 49, 172–184. [Google Scholar] [CrossRef]
- Naing, L.; Winn, T.; Rusli, B.N. Practical issues in calculating the sample size for prevalence studies. Arch. Orofac. Sci. 2006, 1, 9–14. [Google Scholar]
- Markham, I.S.; Rakes, T.R. The effect of sample size and variability of data on the comparative performance of artificial neural networks and regression. Comput. Oper. Res. 1998, 25, 251–263. [Google Scholar] [CrossRef]
- Fillingim, R.B.; King, C.D.; Ribeiro-Dasilva, M.C.; Rahim-Williams, B.; Riley, J.L. Sex, gender, and pain: A review of recent clinical and experimental findings. J. Pain 2009, 10, 447–485. [Google Scholar] [CrossRef]
- Hunter, S.K. Sex differences in human fatigability: Mechanisms and insight to physiological responses. Acta Physiol. (Oxf.) 2014, 210, 768–789. [Google Scholar] [CrossRef]
- Sullivan, B.E.; Carroll, C.C.; Jemiolo, B.; Trappe, S.W.; Magnusson, S.P.; Dossing, S.; Kjaer, M.; Trappe, T.A. Effect of acute resistance exercise and sex on human patellar tendon structural and regulatory mRNA expression. J. Appl. Physiol. (1985) 2009, 106, 468–475. [Google Scholar] [CrossRef][Green Version]
- Johansen, T.; Samani, A.; Antle, D.; Côté, J.N.; Madeleine, P. Gender effects on the coordination of subdivisions of the trapezius muscle during a repetitive box-folding task. Eur. J. Appl. Physiol. 2013, 113, 175–182. [Google Scholar] [CrossRef]



| LC (kg) | H (cm) | HM | V (cm) | VM | D (cm) | DM | A (°) | AM | F (lift/min) | FM | C | CM | L (kg) | RWL | LI |
|---|---|---|---|---|---|---|---|---|---|---|---|---|---|---|---|
| 23 kg | 25 | 1 | 75 | 1 | 25 | 1 | 0 | 1 | ≤2 | 1 | good | 1 | 23 | 23 | 1 |
| 23 kg | 50 | 0.5 | 75 | 1 | 25 | 1 | 0 | 1 | ≤2 | 1 | good | 1 | 23 | 11.5 | 2 |
| 23 kg | 63 | 0.4 | 30 | 0.87 | 45 | 0.92 | 0 | 1 | ≤2 | 1 | good | 1 | 22.09 | 7.36 | 3 |
| SET1 | SET2 | SET3 | SET4 | SET5 | SET6 | SET7 | SET8 | ||||||||||||||||||
|---|---|---|---|---|---|---|---|---|---|---|---|---|---|---|---|---|---|---|---|---|---|---|---|---|---|
| Sensitivity | N = 12 L = 1 | 70.39 | ± | 21.05 | 96.59 | ± | 2.53 | 56.62 | ± | 10.57 | 63.35 | ± | 9.02 | 55.10 | ± | 10.27 | 68.16 | ± | 12.04 | 90.93 | ± | 3.74 | 96.05 | ± | 3.35 |
| N = 12 L = 2 | 73.43 | ± | 9.52 | 97.11 | ± | 2.54 | 57.99 | ± | 9.06 | 53.42 | ± | 22.75 | 60.00 | ± | 11.22 | 56.85 | ± | 20.88 | 93.37 | ± | 4.81 | 91.19 | ± | 14.39 | |
| N = 12 L = 3 | 79.27 | ± | 6.41 | 95.99 | ± | 3.98 | 64.12 | ± | 10.24 | 55.55 | ± | 9.38 | 55.44 | ± | 12.77 | 45.89 | ± | 17.73 | 90.66 | ± | 13.74 | 97.42 | ± | 3.58 | |
| N = 20 L = 1 | 72.19 | ± | 18.02 | 93.24 | ± | 3.29 | 56.90 | ± | 13.51 | 60.99 | ± | 9.69 | 59.76 | ± | 12.93 | 59.10 | ± | 22.68 | 92.19 | ± | 7.22 | 81.65 | ± | 18.42 | |
| N = 20 L = 2 | 67.62 | ± | 11.62 | 95.81 | ± | 2.52 | 56.17 | ± | 17.36 | 52.14 | ± | 15.20 | 60.38 | ± | 14.20 | 63.21 | ± | 21.01 | 89.65 | ± | 9.99 | 92.72 | ± | 5.67 | |
| N = 20 L = 3 | 69.42 | ± | 23.04 | 96.26 | ± | 3.02 | 50.61 | ± | 18.79 | 59.21 | ± | 15.82 | 64.91 | ± | 18.93 | 55.74 | ± | 22.69 | 93.27 | ± | 6.61 | 85.84 | ± | 22.46 | |
| N = 50 L = 1 | 72.46 | ± | 11.45 | 93.52 | ± | 5.19 | 66.33 | ± | 18.02 | 65.54 | ± | 15.84 | 68.01 | ± | 16.14 | 73.68 | ± | 9.00 | 92.11 | ± | 7.18 | 89.42 | ± | 4.75 | |
| N = 50 L = 2 | 71.38 | ± | 10.15 | 94.64 | ± | 3.60 | 64.55 | ± | 12.64 | 62.51 | ± | 15.32 | 53.21 | ± | 18.73 | 70.34 | ± | 14.77 | 90.18 | ± | 7.76 | 90.00 | ± | 6.27 | |
| N = 50 L = 3 | 65.67 | ± | 28.14 | 95.77 | ± | 4.02 | 62.85 | ± | 17.43 | 70.27 | ± | 16.27 | 57.74 | ± | 5.95 | 62.57 | ± | 20.18 | 91.61 | ± | 6.71 | 91.40 | ± | 11.74 | |
| Specificity | N = 12 L = 1 | 88.43 | ± | 4.68 | 96.83 | ± | 4.23 | 75.21 | ± | 9.52 | 79.06 | ± | 4.45 | 77.74 | ± | 7.68 | 80.11 | ± | 7.58 | 96.36 | ± | 2.25 | 98.03 | ± | 1.40 |
| N = 12 L = 2 | 88.82 | ± | 4.75 | 98.55 | ± | 1.43 | 74.91 | ± | 8.26 | 75.89 | ± | 6.97 | 78.66 | ± | 6.91 | 74.09 | ± | 18.33 | 95.69 | ± | 3.54 | 96.44 | ± | 3.89 | |
| N = 12 L = 3 | 88.92 | ± | 6.10 | 98.13 | ± | 1.95 | 79.52 | ± | 2.06 | 70.83 | ± | 11.09 | 79.51 | ± | 6.62 | 70.23 | ± | 15.05 | 96.19 | ± | 5.36 | 98.92 | ± | 1.26 | |
| N = 20 L = 1 | 88.14 | ± | 6.30 | 97.49 | ± | 1.73 | 76.45 | ± | 8.45 | 78.98 | ± | 5.84 | 81.50 | ± | 4.77 | 82.16 | ± | 7.75 | 96.37 | ± | 2.77 | 91.57 | ± | 7.26 | |
| N = 20 L = 2 | 83.08 | ± | 8.55 | 98.59 | ± | 0.87 | 73.05 | ± | 13.37 | 73.19 | ± | 13.62 | 81.65 | ± | 6.93 | 75.00 | ± | 17.70 | 96.30 | ± | 4.06 | 96.99 | ± | 1.61 | |
| N = 20 L = 3 | 86.90 | ± | 6.97 | 96.97 | ± | 5.16 | 74.84 | ± | 9.94 | 72.92 | ± | 13.68 | 82.65 | ± | 7.15 | 75.29 | ± | 10.91 | 96.53 | ± | 3.34 | 89.72 | ± | 17.94 | |
| N = 50 L = 1 | 88.76 | ± | 5.30 | 97.32 | ± | 2.11 | 81.11 | ± | 14.68 | 80.57 | ± | 9.17 | 83.13 | ± | 13.42 | 82.40 | ± | 7.32 | 95.34 | ± | 4.15 | 95.50 | ± | 1.69 | |
| N = 50 L = 2 | 87.78 | ± | 3.47 | 97.90 | ± | 1.93 | 80.21 | ± | 7.80 | 77.47 | ± | 11.59 | 76.32 | ± | 7.44 | 83.55 | ± | 10.40 | 95.67 | ± | 2.85 | 94.59 | ± | 4.16 | |
| N = 50 L = 3 | 89.61 | ± | 4.65 | 98.21 | ± | 2.00 | 76.01 | ± | 9.62 | 79.81 | ± | 12.39 | 78.53 | ± | 5.16 | 78.52 | ± | 11.71 | 95.54 | ± | 4.05 | 96.80 | ± | 3.52 | |
© 2020 by the authors. Licensee MDPI, Basel, Switzerland. This article is an open access article distributed under the terms and conditions of the Creative Commons Attribution (CC BY) license (http://creativecommons.org/licenses/by/4.0/).
Share and Cite
Varrecchia, T.; De Marchis, C.; Draicchio, F.; Schmid, M.; Conforto, S.; Ranavolo, A. Lifting Activity Assessment Using Kinematic Features and Neural Networks. Appl. Sci. 2020, 10, 1989. https://doi.org/10.3390/app10061989
Varrecchia T, De Marchis C, Draicchio F, Schmid M, Conforto S, Ranavolo A. Lifting Activity Assessment Using Kinematic Features and Neural Networks. Applied Sciences. 2020; 10(6):1989. https://doi.org/10.3390/app10061989
Chicago/Turabian StyleVarrecchia, Tiwana, Cristiano De Marchis, Francesco Draicchio, Maurizio Schmid, Silvia Conforto, and Alberto Ranavolo. 2020. "Lifting Activity Assessment Using Kinematic Features and Neural Networks" Applied Sciences 10, no. 6: 1989. https://doi.org/10.3390/app10061989
APA StyleVarrecchia, T., De Marchis, C., Draicchio, F., Schmid, M., Conforto, S., & Ranavolo, A. (2020). Lifting Activity Assessment Using Kinematic Features and Neural Networks. Applied Sciences, 10(6), 1989. https://doi.org/10.3390/app10061989

