Next Article in Journal
Energy Efficient and Reliable Routing Algorithm for Wireless Sensors Networks
Next Article in Special Issue
Leakage Current Reduction in Single-Phase Grid-Connected Inverters—A Review
Previous Article in Journal
Karst Spring Recharge Areas and Discharge Relationship by Oxygen-18 and Deuterium Isotopes Analyses: A Case Study in Southern Latium Region, Italy
Previous Article in Special Issue
Emulation Strategies and Economic Dispatch for Inverter-Based Renewable Generation under VSG Control Participating in Multiple Temporal Frequency Control
 
 
Font Type:
Arial Georgia Verdana
Font Size:
Aa Aa Aa
Line Spacing:
Column Width:
Background:
Article

Adaptive Performance Tuning for Voltage-Sourced Converters with Frequency Responses

1
Key Laboratory of Distributed Energy Storage and Micro-Grid of Hebei Province, North China Electric Power University, Baoding 071000, China
2
State Key Laboratory of Alternate Electrical Power System with Renewable Energy Sources, North China Electric Power University, Beijing 102206, China
*
Author to whom correspondence should be addressed.
Appl. Sci. 2020, 10(5), 1884; https://doi.org/10.3390/app10051884
Submission received: 10 February 2020 / Revised: 2 March 2020 / Accepted: 3 March 2020 / Published: 10 March 2020
(This article belongs to the Special Issue Advancing Grid-Connected Renewable Generation Systems 2019)

Abstract

Renewable generation brings both new energies and significant challenges to the evolving power system. To cope with the loss of inertia caused by inertialess power electronic interfaces (PEIs), the concept of the virtual synchronous generator (VSG) has been proposed. The PEIs under VSG control could mimic the external properties of the traditional synchronous generators. Therefore, the frequency stability of the entire system could be sustained against disturbances mainly caused by demand changes. Moreover, as the parameters in the emulation control processes are adjustable rather than fixed, the flexibility could be enhanced by proper tuning. This paper presents a parameter tuning method adaptive to the load deviations. First, the concept and implementation of the VSG algorithm performing an inertia response (IR) and primary frequency responses (PFR) are introduced. Then, the simplification of the transfer function of the dynamic system of the stand-alone VSG-PEI is completed according to the distributed poles and zeros. As a result, the performance indices during the IR and PFR stages are deduced by the inverse Laplace transformation. Then, the composite influences on the performances by different parameters (including the inertia constant, the speed droop, and the load deviations) are analyzed. Based on the composite influences and the time sequences, an adaptive parameter tuning method is presented. The feasibility of the proposed method is verified by simulation.

1. Introduction

Renewable generation (RG), such as the solar PV (photovoltaic) and wind power, has been widely utilized in the last decades due to the depleted fossil fuels and the environment concerns [1,2,3]. Compared to traditional power plants, renewable generation units are more scalable to be either equipped close to the demand or concentrated into renewable plants. Voltage-sourced converters (VSCs) are commonly equipped for the integration of renewable generation, which provides fast and accurate adjustments on generation profiles [4,5]. The solar PV and wind power can be categorized as inverter-based generation (IBG) because inverters are required to regulate their outputs [6,7,8]. According to the BP energy outlook 2018, by 2040, there would be strong growth in the share of renewables, reaching 25% of total energy consumption in an evolving transition scenario [9,10]. Therefore, with the increasing penetration of renewable generation and the consequent displacement of traditional synchronous generators (SGs), the current power system has been undergoing an intrinsic transition toward converter-dominated grids.
However, the fast power electronic interfaces (PEIs) (which are tens or hundreds of times faster than system frequency) also incur problems as they have almost no inertia. The overall inertia is an important indicator to evaluate system strength. On the one hand, when frequency events happen, inertia response (IR) could slow down the change of the range of frequency (ROCOF). On the other hand, it buys time for the activation of the primary frequency response (PFR, which kicks in when the frequency deviation crosses a preset deadband) and mitigates the nadir [11]. In the meantime, the parallel operation involving SGs and the PEI-based RG could cause unstable operation because their responses activate at very different paces. Moreover, for the paralleled RG units, autonomous operation and proportional load share are also hard to achieve [12,13,14,15,16,17].
The critical problem for high-penetration IBG integration is caused by its incompatible characteristics with the synchronous machines. In other words, the IBG units could not provide IR and PFR jointly and collaboratively with the SGs. As the current power system is still dominated by the synchronous machines, it is desired to make the IBG compatible in current power systems. Under this background, the concept of the virtual synchronous generator (VSG) is proposed [18,19,20,21,22,23,24]. The VSG concept is to modify the highly programmable supplementary controllers of the VSC interfaces and mimic the external characteristics of the traditional SGs [18]. By the VSG control, the emulation of IR and PFR can be implemented [18,19,20,21,22,23,24].
However, as one of the major advantages for power converters is its ability of fast response, the fixed inertia property may limit the response time and flexibility. So, there is a tradeoff between fast response and frequency stability [22,25,26]. As the parameters of PEIs are tunable rather than predominated by physical equipment, VSG-IBG units could also alter their external properties for advanced performances. Continuous changes and the step change of virtual inertia parameters are designed to minimize the frequency deviation and energy support [27,28,29]. However, the parameter settings are straightforward but arbitrary. In [30], quantitative performance analysis is presented for the inertia response provided by the capacitors in the DC links. From its results, the designs for capacitance and DC voltage are completed. However, the capacitors can only provide short-term inertia response. As the frequency response involves two stages, including the inertial response and the primary frequency response, then the virtual inertia constant, virtual speed droop, and the load disturbances should be considered.
In this paper, an adaptive method of parameter tuning for VSG-based VSCs providing both inertia response (IR) and PFR for counteracting the load disturbances is presented based on quantitative performance analysis. The contributions of this work could be summarized as follows:
(1) The analysis of frequency response dynamics, based on the simplification of the transfer function down to the second-order form, is conducted. Performance indices are proposed, and the frequency responses influenced by different parameters are analyzed.
(2) It is noted that the performance indices are influenced by composite parameters, but the hierarchical stages of IR and PFR operate in chronological order. Therefore, a parameter tuning algorithm is designed in which the parameters are also determined following a chronological sequence.
(3) The adaptive parameter tuning approach is verified when load disturbances in different magnitudes happen. The proposed parameter approach could be used to enhance the flexibility and response time as well as maintain the required frequency stability.
The rest of the paper is organized as follows: Section 2 presents the VSG algorithm to perform frequency response. Section 3 analyzes the parameter influence. Through analyzing the composite influence on system performances by different parameters, Section 4 proposes a parameter tuning algorithm by consideration of the time sequence of performance indices in the multiple frequency control stages. Section 5 verifies the proposed algorithm by simulation.

2. Implementation of VSG Algorithm to Emulate Frequency Control

The system frequency indicates the overall power balance between the generation and the demand at any instantaneous time. In the traditional SG-dominated power system, the active power-frequency control is a series of multiple temporal stages. The stage of IR is naturally provided by all SGs from the direct coupling between mechanical and electrical parts. The stage of PFR is spontaneously provided by the SGs with headroom from the turbine-speed governor systems [31]. The properties of IR and PFR are summarized in Table 1.
For the PEI-based IBG, the external characteristics are largely determined by the supplementary controller. In inchoate studies, among the VSG implementations in different orders, the simplest second-order model is with better stability in transients [32] and can be combined with virtually any VSC control strategies based on the conventional cascade structure [33]. By the modification of the supplementary controller, the VSG algorithm enables the PEIs to function in the same way as SGs with the ability to perform IR and PFR.
The inertia response of the SGs is instantaneous without prerequisite measurements. For traditional SGs, the inertia is provided by the kinetic energy stored in the rotation equipment. The inertia constant HSG indicates the inertia property, which can be expressed as
H S G = J S G ω r 2 2 V A b a s e
where J is the moment of inertia, ω r is the angular speed of the rotor, and VAbase is the rated power. Similar to HSG, the virtual inertia constant Hvir of PEIs can be expressed as the ratio of the provided energy to the rated power
H v i r = J v i r ω m 2 2 V A b a s e
where Jvir is the virtual moment of inertia and ω m is the virtual angular speed. The inertia response follows Newton’s law of motion, which can be expressed as the swing equation
P m P e = d Δ ω r / d t M + D Δ ω r
where M = 2Hvir, D is the damping coefficient of the load, Pm and Pe are the virtual mechanical and electrical power, and ω r is the virtual angular speed. When the swing equation is represented by the inertia constant, all the parameters are per-unit values.
The PFR of SGs is provided by the turbine–governor system. In per-unit value, the droop property is
Δ Y = 1 R × 1 1 + s T G × 1 + s F H P T R H ( 1 + s T C H ) ( 1 + s T R H ) Δ ω r
where R is the speed droop, Y is the valve position, and TG is the time constant of the speed governor. For a typical steam turbine, TCH is the time constant of main inlet volumes and steam chest; TRH is the time constant of the reheater; and FHP is the fraction of the total turbine power generated by high-pressure (HP) sections. The control structure of the active power-frequency loop is shown in Figure 1.
The IR and PFR provided by VSG-PEIs is shown in Figure 2. The inertia and primary frequency response are autonomously delivered to stabilize the system frequency after load disturbances. The key performance indices involve the magnitude of ROCOF, the frequency nadir, the settling time, and the settling frequency.

3. Simplification and Performance Analysis

The emulation of IR and PFR is derived from the mechanism imitation of the swing equation and the speed governor. The effect of the closed-loop transfer function of the VSI based on the cascade control structure is assumed to be fast and accurate. The high-order transfer function of IR and PFR can be simplified by the dominant poles and zeros according to control theory. By the inverse Laplace transformation, the performance indices of the dynamic responses in the time domain can be deduced.
As the frequency is a common factor, when there is a load change, it is reflected instantaneously throughout the whole system by a change in frequency. For a step change of demand Δ P L , the transfer function from Δ P L to the virtual angular speed of rotor Δ ω m is
G ( s ) = Δ ω m Δ P L = R ( 1 + s T G ) ( 1 + s T C H ) ( 1 + s T R H ) ( 2 H s + D ) ( 1 + s T G ) ( 1 + s T C H ) ( 1 + s T R H ) R + s F H P T R H + 1
where s is the Laplace operator.
For traditional SGs, the typical parameters are shown in Table 2.
The pole-zero map of the transfer function is shown in Figure 3.
From the transfer function G(s), the zeros are fixed on the real axis. With the increasing of H, the poles P3 and P4 tend to approach the zeros Z2 and Z3. As P3 and P4 are fast poles and very close to Z2 and Z3, the dynamic responses are determined by the dominant zeros Z1 and the slow poles P1 and P2 [34].
Simplifying the system by Z1, P1, and P2, the system transfer function is
G ( s ) = R ( 1 + s T R H ) ( 2 H s + D ) ( 1 + s T R H ) R + s F H P T R H + 1 = K s + z 1 s 2 + 2 ζ ω n s + ω n 2
where ω n and ζ are the undamped natural frequency and damping ratio,
K = 1 2 H ,   z 1 = 1 T R H ,   ω n = 1 + R D 2 H R T R H ζ = 2 H R + T R H D R + F H P T R H 4 H R T R H × 2 H R T R H 1 + R D
When the system is subjected to a step increase in demand,
Δ P L = Δ p s .
By taking the inverse Laplace transformation, the dynamic response of the frequency deviation in the time domain is
Δ f ( t ) = K Δ p × [ z 1 ω n 2 + A e ζ ω n t sin ( ω d t + β ) ]
where
ω d = ω n 1 ζ 2 A = ( z 1 ζ ω n ω d ω n ) 2 + ( z 1 ω n ) 2 β = arctan [ z 1 ω d ω n ( z 1 ζ ω n ) ] + π
Assuming the original state of the system frequency is 1.0 pu, the dynamic response of the system frequency is
f ( t ) = 1 + K Δ p × [ z 1 ω n 2 + A e ζ ω n t sin ( ω d t + β ) ] .
From Equation (11), system performance indices during IR and PFR can be derived. First, the rate of change of frequency (ROCOF) is
R O C O F = K Δ p × [ A ζ ω n e ζ ω n t sin ( ω d t + β ) A ω d e ζ ω n t cos ( ω d t + β ) ] .
Further, when t = 0, ROCOF reaches its maximum value, which can be expressed as
R O C O F max = K Δ p × ( A ζ ω n sin β A ω d cos β ) ,
the peak time tpeak, or the time when the frequency reaches a nadir, can be expressed as
t p e a k = 1 ω d ( arctan 1 ζ 2 ζ β ) .
Substituting Equation (14) for Equation (11), then the peak frequency fpeak, or the frequency nadir, is
f p e a k = 1 + K Δ p × z 1 ω n 2 + K Δ p A e ζ ω n t p e a k 1 ζ 2
and the quasi-steady-state frequency fss is
f s s = 1 + K Δ p × z 1 ω n 2 = 1 R D R + 1 Δ p .
The settling time ts can be defined as the dynamic response entering the 2% quasi-steady-state error band,
| f ( t s ) f s s 1 f s s | = 2 % .
Then, the settling time can be expressed as
t s = 1 ζ ω n ln z 1 50 A ω n 2 .
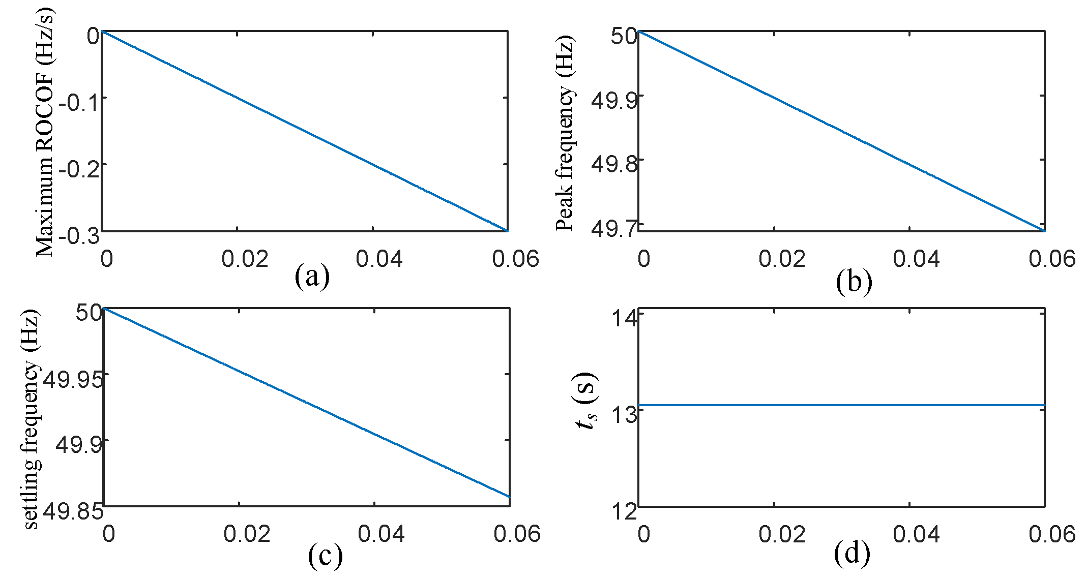
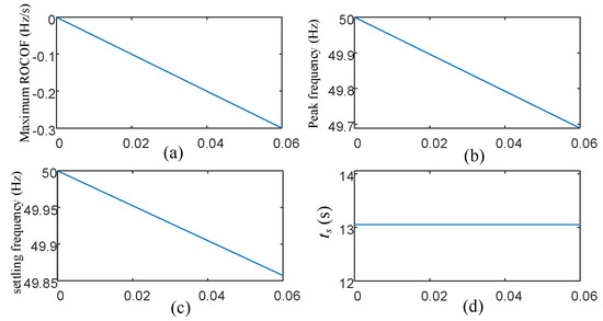
From the expressions of the deduced indices, the performance of IR and PFR provided by VSG-PEIs is determined by three parameters: the inertia constant H, the speed droop R, and the step change of load Δ p . The performance properties affected by a single parameter are shown in Figure 4, Figure 5 and Figure 6.
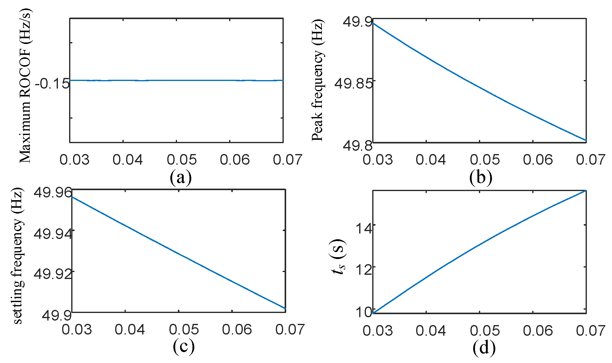
Figure 4 shows the influences of the inertia constant H to the performance indices. In Figure 4, H increases from 3 to 100. The load change is set to be 0.03 pu, and the parameters of R and D remain constant.
From Figure 4a,b, the increasing in inertia constant H leads to the decreased magnitude of the ROCOF and the nadir. However, the increasing H would extend the duration of the dynamic response and slow down the later frequency control stages, as shown in Figure 4d. Therefore, there is a tradeoff for the determination of H. From Figure 4c, the settling frequency is irrelative to H.
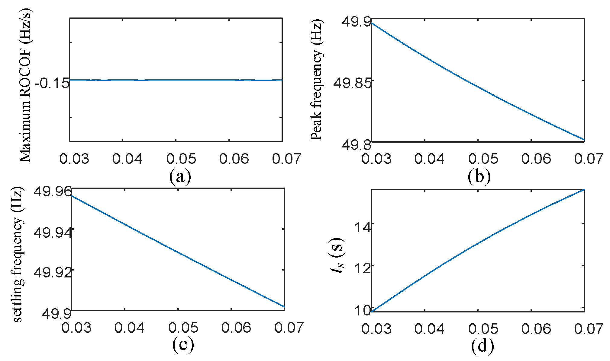
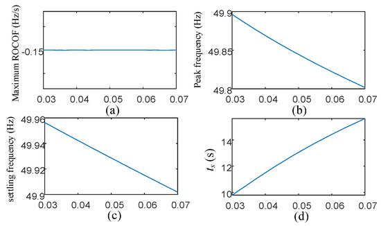
Figure 5 shows the influence of the speed droop R to the performance indices. In Figure 3 and Figure 4, R increases from 0.03 to 0.07. The load change is set to be 0.03 pu, and the parameters of H and D remain constant.
From Figure 5a, percentage R does not influence the magnitude of the ROCOF. From Figure 5b, the nadir gets worse as R increases. From Figure 5d, the changes in percentage R do not alter the settling time very much. From Figure 5c, the increase of R would decrease the settling frequency, since the speed droop R indicates the amount of power supported for a specific frequency deviation, and the lower R indicates more supportive power to stabilize the frequency. Therefore, PFR would further suppress the ROCOF and improve the frequency nadir.
Figure 6 shows the influence of load deviation Δ p on the performance indices. In Figure 3 and Figure 5, Δ p increases from 0 to 0.06 (pu), while the parameters of H, R, and D remain constant.
From Figure 6a–c, with the increasing of load deviation, the magnitude ROCOF, the peak frequency, and the settling frequency gets worse. From Figure 6d, the load deviation does not influence the settling time.

4. Composite Performance Analysis and Adaptive Performance Tuning

From the expressions and properties before, in the process of IR and PFR, the performance is determined by composite influences by different parameters, including the inertia constant H and the speed droop R, as well as the load deviation Δ p .
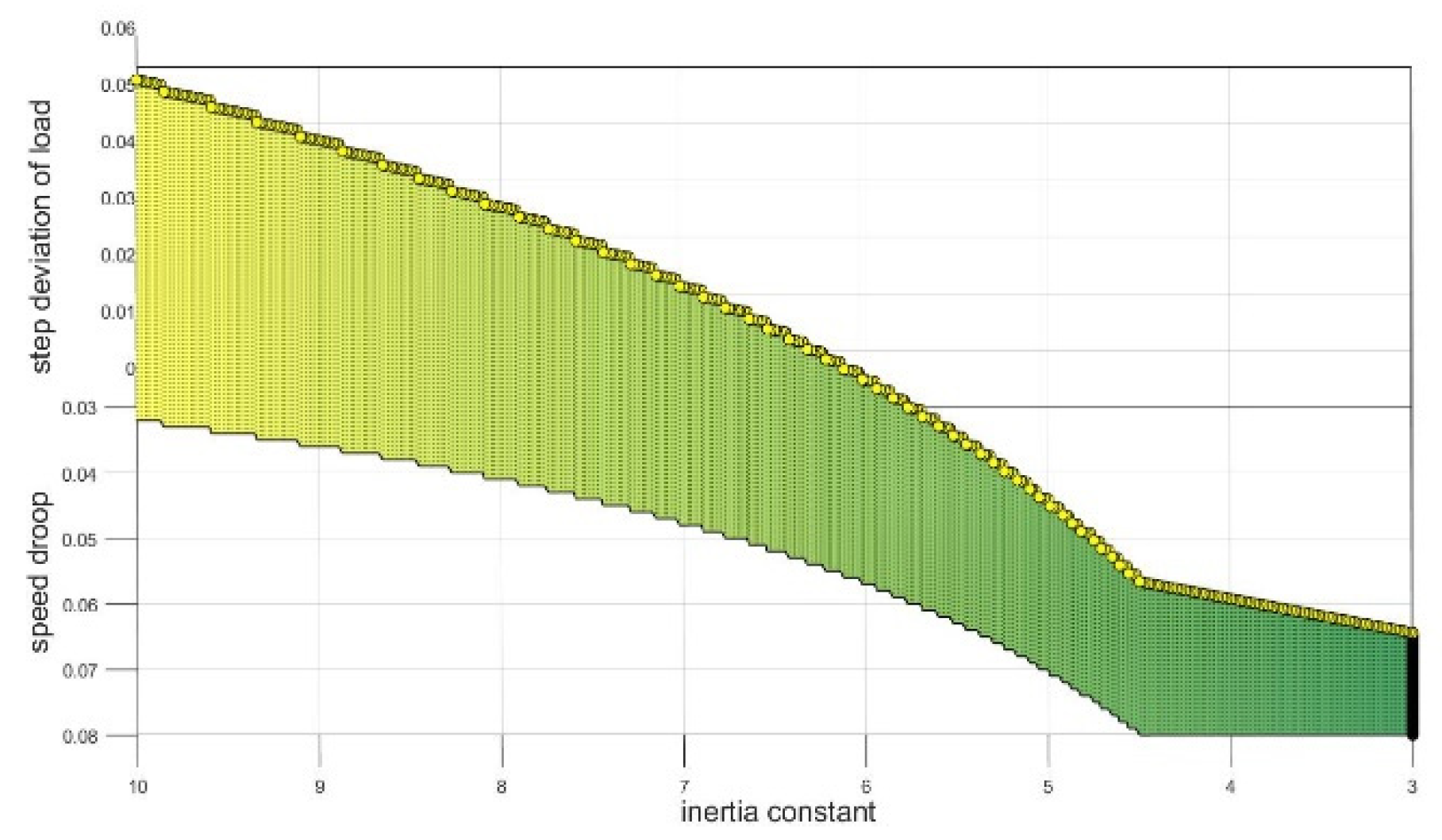
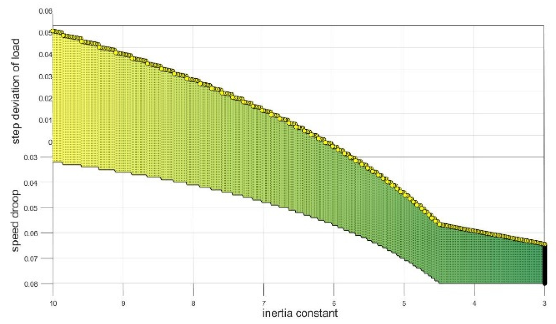
In order to analyze the composite influences, four key performance indices (the magnitude of ROCOF, the frequency nadir, the settling frequency, and the settling time) are chosen. Figure 7, Figure 8, Figure 9 and Figure 10 show the relations between the performance indices and the varying parameters. The range selections are set as follows: H varies from 3 to 10, R varies from 0.03 to 0.08, and the step increase of load varies from 0 to 0.06.

4.1. Composite Parameter Influences on Performance Indices

Figure 7 shows the composite influences on the magnitude of the ROCOF. In Figure 7a, the inertia constant and the load deviation vary while the speed droop remains constant. In Figure 7b, the speed droop and the load deviation vary while the inertia constant remains constant. It shows that the ROCOF is determined by the inertia constant H and the load deviation Δ p .
Figure 8 shows the composite influences on the peak frequency. In Figure 8a, the inertia constant and the load deviation vary while the speed droop remains constant. In Figure 8b, the speed droop and the load deviation vary while the inertia constant remains constant. It shows that the peak frequency is determined by all these three parameters.
Figure 9 shows the composite influences on the settling frequency. In Figure 9a, the inertia constant and the load deviation vary while the speed droop remains constant. In Figure 9b, the speed droop and the load deviation vary while the inertia constant remains constant. It shows that the settling frequency is determined by the speed droop R and the load deviation Δ p .
Figure 10 shows the composite influences on the settling time. In Figure 10a, the inertia constant and the load deviation vary while the speed droop remains constant. In Figure 10b, the speed droop and the load deviation vary while the inertia constant remains constant. It shows that the settling time is determined by the speed droop R and the inertia constant H.

4.2. Supported Energy and Power during IR and PFR

In the process of IR, the kinetic energy stored in the rotating equipment of SGs is provided to suppress the ROCOF. Correspondingly, when IBG provides IR, kinetic energy (such as rotating blades in wind turbines) or virtual kinetic energy (such as the spare generation availability, the electrostatic energy in capacitors, or the storage energy) is provided. The provided energy by the VSG-PEI can be expressed as
Δ E ( t ) = 1 2 J v i r ( ω t 2 ω 0 2 )
where ω t and ω 0 are virtual angular speed and its initial value, Jvir is the virtual moment of inertia. From Equation (19), the provided energy is related to the inertia constant Hvir and the frequency.
For an IBG unit with a VA base of 15,000 watts, under different inertia constants, the provided energy is shown in Figure 11 (R = 0.05, D = 1, Δ p = 0.03). From Figure 11, the IBG with larger virtual inertia constant provides more energy during the frequency response. This is because the IR activates instantaneously and faster than the activation of the PFR. Therefore, there is a tradeoff in the design of H. Although the larger H indicates better nadir and settling frequency, it requires more energy from the PEIs.
From the previous sections, the virtual moment of inertia Jvir is determined by the inertia constant H. In steady state, the settling frequency is determined by the speed droop R (when D and Δ p are considered as constants). Therefore, the provided energy at the settling time varies according to the H and R settlings, as shown in Figure 12. From Figure 12, the supported energy increases with the increase of H and R.
In steady state, the provided power in the PFR loop can be expressed as
p P F R = 1 / R D + 1 / R × Δ p
where Δ p is the PFR power and Δ p is the step deviation of the load. From the expression, there is also a tradeoff between the speed droop R and the frequency deviation. In parallel operation with other PFR players, the speed droop R is inversely proportional to the supportive power. In a stand-alone scenario, the smaller speed droop R can improve the settling frequency, but it requires a little more power.
It is noted that the supportive kinetic energy from traditional SGs is from and recharged by the primary energy input. The primary energy sources for the SGs (such as coal, nuclear) are abundant and persistent. However, the primary input for renewable generation is stochastic and fluctuant. The stored energy in capacitors or batteries can only provide frequency responses in a limited time-span, and after the responses, their operation status needs to be restored for self-stability. In the view of time, the IR and its support energy are short-term, while the PFR and its support power are long-term. Under a specific grid code, the provided energy and power from PEIs should be designed to be as low as possible to avoid the oversized headroom and financial costs. Consequently, the desired H and R should be set as the lowest values in their satisfying ranges.

4.3. Adaptive Parameter Tuning

In power systems, the disturbances are mainly caused by the loss of the load, and large disturbances, which are represented by the step changes of the load, range from 0.03 to 0.05 pu [11,22]. In some renewable-rich countries (such as Germany, the United States, and the UK), the system operators have made grid codes for renewables to provide ancillary services [35]. For example, the prescribed limit for ROCOF is 0.125 Hz/s [36]. In addition, in this material, the maximum ROCOF and PFR delivery time in its case study are set to be 0.5 Hz/s and 10 s, respectively. In another research, the maximum frequency deviation Δ f m a x is set as 0.2 Hz [30]. It is noted that if the ROCOF exceeds 1 Hz/s, the frequency relay would be tripped and incur a large disturbance to a power system [37]. Generally, the delivery of PFR is required to be within 10–30 s, and the PFR capacity should always limit the frequency between 49.5 and 50.5 Hz. The conventional standards (when the nominal frequency is 50 Hz) are summarized in Table 3.
It is noted that the stages of IR and PFR activate in chronological order. Therefore, based on the composite effects and the preset standards, a flowchart of parameter design for VSG-PEIs is shown in Figure 13. In step A, the standards for ROCOF and the frequency nadir are input. In step B, the satisfying range of H is obtained according to the standard of the ROCOF. In step C, the satisfying range of R is obtained by the nadir requirement. In step D, the desired H and R are determined by checking the settling time and frequency.

5. Simulation

In this section, the proposed VSG emulation strategies and the parameter tuning approach are verified in simulation through MATLAB/Simulink. Based on the predetermined standards of the performance indices shown in Table 4, the parameters in the simulation are shown in Table 5.

5.1. Parameter Determination

When the step deviation of the load varies from 0 to 0.06 pu, the boundary values of the inertia constant H and the speed droop R to meet the above standards are selected as the desired parameters, which are shown in Figure 14.
By the parameter settings, the theological performances of the simplified dynamic system are shown in Figure 15.

5.2. Simulation Results and Analysis

When subjected to a step increase of load from 0.01 to 0.06 pu, respectively, the simulation results of the frequency and the ROCOF of the dynamic systems are shown in Figure 16. With the increase of load deviation, the nadir and ROCOF get worse. Clearly, the fixed parameter settings cannot satisfy the standards because they are not adaptive to load changes.
Correspondingly, when the proposed method of adaptive tuning is activated, the parameter settings are determined by the load changes measured by sensors. Under the preset performance standards, the parameter settings for varying step increase of the load are calculated and shown in Figure 17. With the increase of the demand, the inertia constants H increases while the percentage R decreases accordingly.
By the adaptive parameter settings, the frequency and ROCOF responses of the dynamic system are shown in Figure 18. Although the step change of the demand varies, the frequency nadir and the magnitude of the ROCOF both satisfy the preset standards. Consequently, the proposed method of adaptive parameter tuning is verified.

6. Conclusions

Based on the quantitative analysis of the performance indices in the IR and PFR stages, this paper proposes a parameter tuning method adaptive to load changes for VSG-PEIs performing frequency control. From the previous, the conclusions are made.
(1) The frequency responses of PEIs include two stages: the inertia response and the primary frequency response. When subjected to load disturbances, the transfer function of the dynamic system of VSG-PEIs performing frequency response can be derived from the control structures.
(2) By the properties of the fast and slow poles and zeros, the dynamic system can be simplified into a second-order system. The performance indices are deduced by the inverse Laplace transformation.
(3) In the frequency response, the maximum deviation and the magnitude of the ROCOF are two key indices that determine the performance. The magnitude of the ROCOF is determined by the load deviation and the inertia constant. The nadir is determined by the load step, the inertia constant, and the speed droop.
(4) By the properties of the performance indices, adaptive parameter tuning can be implemented. The inertia constant is obtained by the ROCOF standard and the measurement of the load step. Then, the speed droop R is obtained by the nadir standard and the inherited setting of H. Finally, the desired H and R are checked to satisfy the standards of the settling frequency and time.
By the simulation results, the parameter settings of the VSG-PEIs are adaptive to the step change of the demand. Consequently, the proposed method can fully satisfy the predetermined standards in various conditions.
In parallel scenario, as the overall properties of frequency response are determined by all the responsive sources (in the same way as the frequency response dominated by online synchronous machines in traditional power systems), the calculated inertia and speed droop characteristics can be used to (1) examine the overall frequency stability and (2) allocate parameter references for coordinative operation.

Author Contributions

This study was carried out by W.Z. under the supervision of X.Y. The editing was mostly done by H.H. All authors have read and agreed to the published version of the manuscript.

Funding

This research was funded by National Natural Science Foundation of China-Hebei on the project of “Research on inertia characteristics and control strategy for primary frequency and voltage regulation of DFIG” (no. E201802134).

Conflicts of Interest

The authors declare no conflict of interest.

References

  1. Yan, X.; Zhang, W. Review of VSG control-enabled universal compatibility architecture for future power systems with high-penetration renewable generation. Appl. Sci. 2019, 9, 1484. [Google Scholar] [CrossRef]
  2. Lopes, J.A.P.; Hatziargyriou, N.; Mutale, J.; Djapic, P.; Jenkins, N. Integrating distributed generation into electric power systems: A review of drivers, challenges and opportunities. Electr. Power Syst. Res. 2007, 77, 1189–1203. [Google Scholar] [CrossRef]
  3. Piano, S.L.; Mayumi, K. Toward an integrated assessment of the performance of photovoltaic power stations for electricity generation. Appl. Energy 2017, 186, 167–174. [Google Scholar] [CrossRef]
  4. Zhang, W.; Liang, H.; Bin, Z.; Li, W.; Guo, R. Review of DC technology in future smart distribution grid. In Proceedings of the IEEE PES Innovative Smart Grid Technologies, Tianjin, China, 21–24 May 2012. [Google Scholar]
  5. Guarnieri, M. More Light on Information [Historical]. IEEE Ind. Electron. Mag. 2015, 9, 58–61. [Google Scholar] [CrossRef]
  6. Falahi, G.; Huang, A. Low voltage ride through control of modular multilevel converter based HVDC systems. In Proceedings of the IECON 2014-40th Annual Conference of the IEEE Industrial Electronics Society, Dallas, TX, USA, 29 October–1 November 2014. [Google Scholar]
  7. Cheng, M.; Zhu, Y. The state of the art of wind energy conversion systems and technologies: A review. Energy Conv. Manag. 2014, 88, 332–347. [Google Scholar] [CrossRef]
  8. CWEA. Statistical Brief of Wind Power Lifting Capacity in China in 2018. Available online: http://www.cwea.org.cn/news_lastest_detail.html?id=217 (accessed on 31 December 2019).
  9. U.S. Energy Information Administration. Annual Energy Outlook 2019. Available online: https://www.eia.gov/outlooks/aeo/pdf/aeo2019.pdf (accessed on 31 December 2019).
  10. BP. BP Energy Outlook 2018. Available online: https://www.bp.com/en/global/corporate/energyeconomics/energyoutlook.html (accessed on 31 December 2019).
  11. Delille, G.; Francois, B.; Malarange, G. Dynamic frequency control support by energy storage to reduce the impact of wind and solar generation on isolated power system’s inertia. IEEE Trans. Sustain. Energy 2012, 3, 931–939. [Google Scholar] [CrossRef]
  12. Rocabert, J.; Luna, A.; Blaabjerg, F.; Rodríguez, P. Control of Power Converters in AC Microgrids. IEEE Trans. Power Electron. 2012, 27, 4734–4749. [Google Scholar] [CrossRef]
  13. Peng, F.Z.; Li, Y.W.; Tolbert, L.M. Control and protection of power electronics interfaced distributed generation systems in a customer-driven microgrid. In Proceedings of the IEEE Power Energy Society General Meeting, Calgary, AB, Canada, 26–30 July 2009; pp. 1–8. [Google Scholar]
  14. Chiang, S.J.; Yen, C.Y.; Chang, K.T. A multimodule parallelable series-connected PWM voltage regulator. IEEE Trans. Ind. Electron. 2001, 48, 506–516. [Google Scholar] [CrossRef]
  15. Yu, X.; Khambadkone, A.M.; Wang, H.; Terence, S.T.S. Control of parallel-connected power converters for low-voltage microgrid-part I: A hybrid control architecture. IEEE Trans. Power Electron. 2010, 25, 2962–2970. [Google Scholar] [CrossRef]
  16. Vilathgamuwa, D.M.; Chiang, L.P.; Li, Y. Protection of microgrids during utility voltage sags. IEEE Trans. Ind. Electron. 2006, 53, 1427–1436. [Google Scholar] [CrossRef]
  17. Chowdhury, S.; Chowdhury, S.P.; Crossley, P. Microgrids and Active Distribution Networks; Institution of Engineering and Technology: London, UK, 2009. [Google Scholar]
  18. Beck, H.-P.; Hesse, R. Virtual synchronous machine. In Proceedings of the 9th International Confeference Electrical Power Quality Utilisation, Barcelona, Spain, 9–11 October 2007; pp. 1–6. [Google Scholar]
  19. Driesen, J.; Visscher, K. Virtual synchronous generators. In Proceedings of the IEEE Power Energy Society General Meeting-Conversion and Delivery of Electrical Energy 21st Century, Pittsburgh, PA, USA, 20–24 July 2008; pp. 1–3. [Google Scholar]
  20. Zhong, Q.; Weiss, G. Synchronverters: Inverters that mimic synchronous generators. IEEE Trans. Ind. Electron. 2011, 58, 1259–1267. [Google Scholar] [CrossRef]
  21. Wu, H.; Ruan, X.; Yang, D.; Chen, X.; Zhao, W.; Lv, Z.; Zhong, Q. Small-signal modeling and parameters design for virtual synchronous generators. IEEE Trans. Ind. Electron. 2016, 63, 4292–4303. [Google Scholar] [CrossRef]
  22. Liu, J.; Miura, Y.; Ise, T. Comparison of dynamic characteristics between virtual synchronous generator and droop control in inverter-based distributed generators. IEEE Trans. Power Electron. 2016, 31, 3600–3611. [Google Scholar] [CrossRef]
  23. D’Arco, S.; Suul, J.A. Equivalence of virtual synchronous machines and frequency-droops for converter-based microgrids. IEEE Trans. Smart Grid 2014, 5, 394–395. [Google Scholar] [CrossRef]
  24. Hirase, Y.; Sugimoto, K.; Sakimoto, K.; Ise, T. Analysis of resonance in microgrids and effects of system frequency stabilization using a virtual synchronous generator. IEEE J. Emerg. Sel. Top. Power Electron. 2016, 4, 1287–1298. [Google Scholar] [CrossRef]
  25. Fan, B.; Peng, J.; Duan, J.; Yang, Q.; Liu, W. Distributed control of multiple-bus microgrid with paralleled distributed generators. IEEE/CAA J. Autom. Sin. 2019, 6, 676–684. [Google Scholar] [CrossRef]
  26. Duan, J.; Wang, C.; Xu, H.; Liu, W.; Peng, J.-C.; Jiang, H. Distributed control of inverter-interfaced microgrids with bounded transient line currents. IEEE Trans. Ind. Inform. 2018, 14, 2052–2061. [Google Scholar] [CrossRef]
  27. Torres, M.A.L.; Lopes, L.A.C.; Moran, L.A.T.; Espinoza, J.R.C. Self-tuning virtual synchronous machine: A control strategy for energy storage systems to support dynamic frequency control. IEEE Trans. Energy Conv. 2014, 29, 833–840. [Google Scholar] [CrossRef]
  28. Li, D.; Zhu, Q.; Lin, S.; Bian, X.Y. A self-adaptive inertia and damping combination control of VSG to support frequency stability. IEEE Trans. Energy Conv. 2017, 32, 397–398. [Google Scholar] [CrossRef]
  29. Alipoor, J.; Miura, Y.; Ise, T. Power system stabilization using virtual synchronous generator with alternating moment of inertia. IEEE J. Emerg. Sel. Top. Power Electron. 2015, 3, 451–458. [Google Scholar] [CrossRef]
  30. Fang, J.; Li, H.; Tang, Y.; Blaabjerg, F. Distributed power system virtual inertia implemented by grid-connected power converters. IEEE Trans. Power Electron. 2018, 33, 8488–8499. [Google Scholar] [CrossRef]
  31. Kundur, P. Power System Stability and Control; McGrawHill: New York, NY, USA, 1993. [Google Scholar]
  32. Alsiraji, H.A.; El-Shatshat, R. Comprehensive assessment of virtual synchronous machine based voltage source converter controllers. IET Gener. Transm. Distrib. 2017, 11, 1762–1769. [Google Scholar] [CrossRef]
  33. D’Arco, S.; Suul, J.A. Virtual synchronous machines-classification of implementations and analysis of equivalence to droop controllers for microgrid. In Proceedings of the IEEE Powertech Grenoble Conference, Grenoble, France, 1 June 2013. [Google Scholar]
  34. Franklin, G.F.; Powell, J.D.; Emami-Naeini, A. Feedback Control of Dynamic System, 7th ed.; Pearson Prentice Hall: Upper Saddle River, NJ, USA, 2014. [Google Scholar]
  35. Ullah, N.R.; Thiringer, T.; Karlsson, D. Voltage and transient stability support by wind farms complying with the E.ON netz grid code. IEEE Trans. Power Syst. 2007, 22, 1647–1656. [Google Scholar] [CrossRef]
  36. Prakash, V.; Bhakar, R.; Tiwari1, H.; Sharma, K.C. Inertia and primary frequency response assessment under uncertain photovoltaic generation. In Proceedings of the 2018 8th IEEE India International Conference on Power Electronics (IICPE), Jaipur, India, 13–15 December 2018. [Google Scholar]
  37. Frack, P.F.; Mercado, P.E.; Molina, M.G.; Watanabe, E.H.; De Doncker, R.W.; Stagge, H. Control strategy for frequency control in autonomous microgrids. IEEE J. Emerg. Sel. Top. Power Electron. 2015, 3, 1046–1055. [Google Scholar] [CrossRef]
Figure 1. Control structure of active power-frequency control.
Figure 1. Control structure of active power-frequency control.
Applsci 10 01884 g001
Figure 2. Multiple temporal stages of frequency response.
Figure 2. Multiple temporal stages of frequency response.
Applsci 10 01884 g002
Figure 3. Pole-zero map of the transfer function.
Figure 3. Pole-zero map of the transfer function.
Applsci 10 01884 g003
Figure 4. Inertia constant influence on performance indices: (a) maximum ROCOF, (b) peak frequency, (c) settling frequency, and (d) settling time.
Figure 4. Inertia constant influence on performance indices: (a) maximum ROCOF, (b) peak frequency, (c) settling frequency, and (d) settling time.
Applsci 10 01884 g004
Figure 5. Speed droop influence on performance indices: (a) maximum ROCOF, (b) peak frequency, (c) settling frequency, and (d) settling time.
Figure 5. Speed droop influence on performance indices: (a) maximum ROCOF, (b) peak frequency, (c) settling frequency, and (d) settling time.
Applsci 10 01884 g005
Figure 6. The influence of load deviation on performance indices: (a) maximum ROCOF, (b) peak frequency, (c) settling frequency, and (d) settling time.
Figure 6. The influence of load deviation on performance indices: (a) maximum ROCOF, (b) peak frequency, (c) settling frequency, and (d) settling time.
Applsci 10 01884 g006
Figure 7. Composite influence on the ROCOF.
Figure 7. Composite influence on the ROCOF.
Applsci 10 01884 g007aApplsci 10 01884 g007b
Figure 8. Composite influence on the peak frequency.
Figure 8. Composite influence on the peak frequency.
Applsci 10 01884 g008
Figure 9. Composite influence on the peak frequency.
Figure 9. Composite influence on the peak frequency.
Applsci 10 01884 g009
Figure 10. Composite influence on the peak frequency.
Figure 10. Composite influence on the peak frequency.
Applsci 10 01884 g010aApplsci 10 01884 g010b
Figure 11. Energy provided by inertia property.
Figure 11. Energy provided by inertia property.
Applsci 10 01884 g011
Figure 12. Energy provided by varying H and R at the settling time.
Figure 12. Energy provided by varying H and R at the settling time.
Applsci 10 01884 g012
Figure 13. Flowchart of adaptive parameter tuning.
Figure 13. Flowchart of adaptive parameter tuning.
Applsci 10 01884 g013
Figure 14. Desired values for H and R.
Figure 14. Desired values for H and R.
Applsci 10 01884 g014
Figure 15. Theological performances of the simplified dynamic system.
Figure 15. Theological performances of the simplified dynamic system.
Applsci 10 01884 g015aApplsci 10 01884 g015b
Figure 16. Dynamic responses without adaptive parameters.
Figure 16. Dynamic responses without adaptive parameters.
Applsci 10 01884 g016
Figure 17. Adaptive parameter determination according to various demands.
Figure 17. Adaptive parameter determination according to various demands.
Applsci 10 01884 g017
Figure 18. Dynamic responses with adaptive parameter tuning.
Figure 18. Dynamic responses with adaptive parameter tuning.
Applsci 10 01884 g018
Table 1. Properties of inertia response (IR) and primary frequency responses (PFR). ROCOF: change of the range of frequency, SGs: synchronous generators.
Table 1. Properties of inertia response (IR) and primary frequency responses (PFR). ROCOF: change of the range of frequency, SGs: synchronous generators.
IRPFR
Time scaleInstantaneousSeconds-30 s
ActivationROCOFFrequency deviation crosses a preset deadband
ReferenceNaturally providedFrequency deviation
Control parameterHPercentage R
ParticipantsAll SGsAll SGs with headroom
ExecutorRotating equipmentSpeed governor
Energy resourceKineticPrimary energy input
Table 2. Typical parameters of an SG with a reheat steam turbine.
Table 2. Typical parameters of an SG with a reheat steam turbine.
ParameterValueUnitParameterValueUnit
R0.05puFHP0.3pu
H5puTRH7s
D1puTCH0.3s
TG0.2s
Table 3. Performance indices for IR and PFR.
Table 3. Performance indices for IR and PFR.
Performance IndicesStandard
Maximum ROCOF magnitude0.125–0.5 Hz/s
Frequency nadir/peak magnitude0.2–0.5 Hz
Settling frequency49.5–50.5 Hz
PFR delivery timeBetween 10–30 s
Table 4. Predetermined standards of performance indices.
Table 4. Predetermined standards of performance indices.
Performance IndicesStandard
Maximum ROCOF magnitudeWithin 0.5 Hz/s
Frequency nadir/peak magnitudeWithin 0.2 Hz
PFR delivery timeWithin 20 s
Table 5. Parameters in simulation.
Table 5. Parameters in simulation.
ParameterValueUnitParameterValueUnit
Vdc800VH5pu
Vac0.22kVD1pu
L10mHPercentage R5pu
C350µFVoltage droop3%pu
f50HzLoad step0.03pu
fpwm5000HzStep time1s
VAbase15,000W

Share and Cite

MDPI and ACS Style

Zhang, W.; Yan, X.; Huang, H. Adaptive Performance Tuning for Voltage-Sourced Converters with Frequency Responses. Appl. Sci. 2020, 10, 1884. https://doi.org/10.3390/app10051884

AMA Style

Zhang W, Yan X, Huang H. Adaptive Performance Tuning for Voltage-Sourced Converters with Frequency Responses. Applied Sciences. 2020; 10(5):1884. https://doi.org/10.3390/app10051884

Chicago/Turabian Style

Zhang, Weichao, Xiangwu Yan, and Hanyan Huang. 2020. "Adaptive Performance Tuning for Voltage-Sourced Converters with Frequency Responses" Applied Sciences 10, no. 5: 1884. https://doi.org/10.3390/app10051884

APA Style

Zhang, W., Yan, X., & Huang, H. (2020). Adaptive Performance Tuning for Voltage-Sourced Converters with Frequency Responses. Applied Sciences, 10(5), 1884. https://doi.org/10.3390/app10051884

Note that from the first issue of 2016, this journal uses article numbers instead of page numbers. See further details here.

Article Metrics

Back to TopTop