Talbot Algorithm with a Trapezoidal Wave in the 2.5D Airborne Transient Electromagnetic Method in Marine Investigations
Abstract
1. Introduction
2. Methods
2.1. Airborne TEM System and Waveform of Current Source
2.2. Inverse Laplace Transform Algorithm
2.2.1. Vertical Component of Magnetic Field in the (, s) Domain
2.2.2. Laplace Inversion Algorithm
- G-S algorithm
- Talbot algorithm
3. Performance of the Laplace Inversion Algorithm
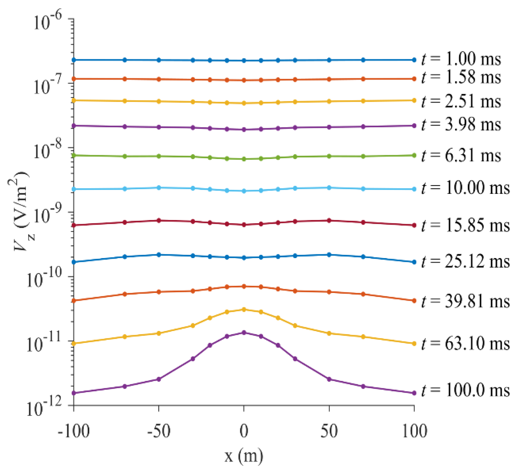
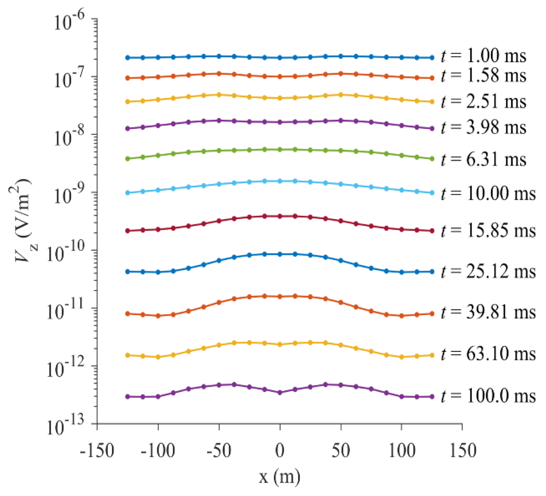
3.1. Model 1: Homogeneous Sea Half-Space
3.2. Model 2: Two-Layered Marine Geology Model
4. Simulation Models in Marine Investigations
4.1. Model 1: Subsea Tunnel
4.2. Model 2: Rugged Seabed
5. Conclusions
Author Contributions
Funding
Conflicts of Interest
References
- Dickinson, J.E.; Pool, D.; Groom, R.; Davis, L. Inference of lithologic distributions in an alluvial aquifer using airborne transient electromagnetic surveys. Geophysics 2010, 75, WA149–WA161. [Google Scholar] [CrossRef]
- Yang, D.; Oldenburg, D.W. Three-dimensional inversion of airborne time-domain electromagnetic data with applications to a porphyry deposit. Geophysics 2012, 77, B23–B34. [Google Scholar] [CrossRef]
- Asten, M.W.; Duncan, A.C. The quantitative advantages of using B-field sensors in time-domain EM measurement for mineral exploration and unexploded ordnance search. Geophysics 2012, 77, WB137–WB148. [Google Scholar] [CrossRef]
- Yu, C.; Liu, X.; Liu, J.; Li, E.; Yue, P.; Yan, S. Application of Transient Electromagnetic Method for Investigating the Water-Enriched Mined-Out Area. Appl. Sci. 2018, 8, 1800. [Google Scholar] [CrossRef]
- Qamar, A.; Ul Haq, I.; Alhaisoni, M.; Qadri, N.N. Detecting Grounding Grid Orientation: Transient Electromagnetic Approach. Appl. Sci. 2019, 9, 5270. [Google Scholar] [CrossRef]
- Yu, L.; Evans, R.; Edwards, R. Transient electromagnetic responses in seafloor with triaxial anisotropy. Geophys. J. Int. 1997, 129, 292–304. [Google Scholar] [CrossRef]
- Vrbancich, J.; Fullagar, P.; Smith, R. Testing the limits of AEM bathymetry with a floating TEM system. Geophysics 2010, 75, WA163–WA177. [Google Scholar] [CrossRef]
- Liu, C.; Lin, J. Transient electromagnetic response modeling of magnetic source on seafloor and the analysis of seawater effect. Chin. J. Geophys. 2006, 49, 1726–1736. [Google Scholar] [CrossRef]
- Jørgensen, F.; Scheer, W.; Thomsen, S.; Sonnenborg, T.O.; Hinsby, K.; Schamper, C.; Burschil, T.; Roth, B.; Kirsch, R.; Auken, E. Transboundary geophysical mapping of geological elements and salinity distribution critical for the assessment of future sea water intrusion in response to sea level rise. Hydrol. Earth Syst. Sci. 2012, 16, 1845–1862. [Google Scholar] [CrossRef]
- Swidinsky, A.; Hölz, S.; Jegen, M. On mapping seafloor mineral deposits with central loop transient electromagnetics. Geophysics 2012, 77, E171–E184. [Google Scholar] [CrossRef]
- Ezersky, M.G.; Frumkin, A. Evaluation and mapping of Dead Sea coastal aquifers salinity using Transient Electromagnetic (TEM) resistivity measurements. Comptes Rendus Geosci. 2017, 349, 1–11. [Google Scholar] [CrossRef]
- Edwards, R. Two-dimensional modeling of a towed in-line electric dipole-dipole sea-floor electromagnetic system: The optimum time delay or frequency for target resolution. Geophysics 1988, 53, 846–853. [Google Scholar] [CrossRef]
- McMillan, M.S.; Schwarzbach, C.; Haber, E.; Oldenburg, D.W. 3D parametric hybrid inversion of time-domain airborne electromagnetic data. Geophysics 2015, 80, K25–K36. [Google Scholar] [CrossRef]
- Zhang, B.; Yin, C.; Ren, X.; Liu, Y.; Qi, Y. Adaptive finite element for 3D time-domain airborne electromagnetic modeling based on hybrid posterior error estimation. Geophysics 2018, 83, WB71–WB79. [Google Scholar] [CrossRef]
- Balch, S.; Boyko, W.; Paterson, N. The AeroTEM airborne electromagnetic system. Lead. Edge 2003, 22, 562–566. [Google Scholar] [CrossRef]
- Mollidor, L.; Tezkan, B.; Bergers, R.; Löhken, J. Float-transient electromagnetic method: In-loop transient electromagnetic measurements on Lake Holzmaar, Germany. Geophys. Prospect. 2013, 61, 1056–1064. [Google Scholar] [CrossRef]
- Leppin, M. Electromagnetic modeling of 3-D sources over 2-D inhomogeneities in the time domain. Geophysics 1992, 57, 994–1003. [Google Scholar] [CrossRef]
- Mitsuhata, Y.; Uchida, T.; Amano, H. 2.5-D inversion of frequency-domain electromagnetic data generated by a grounded-wire source. Geophysics 2002, 67, 1753–1768. [Google Scholar] [CrossRef]
- Xiong, B. 2.5 D forward for the transient electromagnetic response of a block linear resistivity distribution. J. Geophys. Eng. 2011, 8, 115–121. [Google Scholar] [CrossRef]
- Silic, J.; Paterson, R.; FitzGerald, D. 2.5 D vs 1D AEM Forward and Inversion Methods at a Survey Scale: A Case Study. ASEG Ext. Abstr. 2018, 2018, 1–8. [Google Scholar]
- Everett, M.; Edwards, R. Transient marine electromagnetics: The 2.5-D forward problem. Geophys. J. Int. 1993, 113, 545–561. [Google Scholar] [CrossRef]
- Wang, H.; Luo, Y. Algorithm of a 2.5-Dimensional Finite Element Mothed for Transient Electromagnetic with a Central Loop. Chin. J. Geophys. 2003, 46, 1227–1240. [Google Scholar] [CrossRef]
- Qiang, J.; Zhou, J.; Cai, H. Synthetic Study of 2.5-D ATEM based on Finite Element Method. In Proceedings of the Near Surface Geophysics Asia Pacific Conference, Beijing, China, 17–19 July 2013; pp. 573–577. [Google Scholar]
- Ye, Y.; Li, Y.; Deng, J.; Li, Z. 2.5 D induced polarization forward modeling using the adaptive finite-element method. Appl. Geophys. 2014, 11, 500–507. [Google Scholar] [CrossRef]
- Anderson, W.L. Fourier cosine and sine transforms using lagged convolutions in double-precision (subprograms DLAGFO/DLA/GF1). US Geol. Surv. Open File Rep. 1993, 83–320. [Google Scholar] [CrossRef]
- Kong, F. Evaluation of Fourier cosine/sine transforms using exponentially positioned samples. J. Appl. Geophys. 2012, 79, 46–54. [Google Scholar] [CrossRef]
- Hassanzadeh, H.; Pooladi-Darvish, M. Comparison of different numerical Laplace inversion methods for engineering applications. Appl. Math. Comput. 2007, 189, 1966–1981. [Google Scholar] [CrossRef]
- Li, J.; Farquharson, C.G.; Hu, X. Three effective inverse Laplace transform algorithms for computing time-domain electromagnetic responses. Geophysics 2016, 81, E113–E128. [Google Scholar] [CrossRef]
- Kuhlman, K.L. Review of inverse Laplace transform algorithms for Laplace-space numerical approaches. Numer. Algorithms 2013, 63, 339–355. [Google Scholar] [CrossRef]
- Knight, J.H.; Raiche, A. Transient electromagnetic calculations using the Gaver-Stehfest inverse Laplace transform method. Geophysics 1982, 47, 47–50. [Google Scholar] [CrossRef]
- Sørensen, K.I.; Auken, E. SkyTEM-A new high-resolution helicopter transient electromagnetic system. Explor. Geophys. 2004, 35, 191–199. [Google Scholar] [CrossRef]
- Du, S.; Zhang, Y.; Pei, Y.; Jiang, K.; Rong, L.; Yin, C.; Ji, Y.; Xie, X. Study of transient electromagnetic method measurements using a superconducting quantum interference device as B sensor receiver in polarizable survey area. Geophysics 2018, 83, E111–E116. [Google Scholar] [CrossRef]
- Xiao, P.; Wu, X.; Shi, Z.; Li, J.; Liu, L.; Fang, G. Helicopter TEM parameters analysis and system optimization based on time constant. J. Appl. Geophys. 2018, 150, 84–92. [Google Scholar] [CrossRef]
- Smith, R.S.; Annan, A.P. Using an induction coil sensor to indirectly measure the B-field response in the bandwidth of the transient electromagnetic method. Geophysics 2000, 65, 1489–1494. [Google Scholar] [CrossRef]
- Liu, L.; Shi, Z.; Wu, K.; Geng, Z.; Fang, G. A bipolar half-sine current inverter for airship-borne electromagnetic (AEM) surveying. IEEE Trans. Ind. Electron. 2017, 64, 9477–9486. [Google Scholar] [CrossRef]
- Fitterman, D.V.; Stewart, M.T. Transient electromagnetic sounding for groundwater. Geophysics 1986, 51, 995–1005. [Google Scholar] [CrossRef]
- Hohmann, G.W. Numerical modeling for electromagnetic methods of geophysics. In Electromagnetic Methods in Applied Geophysics; Society of Exploration Geophysicists: Tulsa, OK, USA, 1988; Volume 1, pp. 313–363. [Google Scholar]
- Niu, Z. Principle of Time Domain Electromagnetic Method; Central South University of Technology Press: Changsha, China, 2007. [Google Scholar]
- Liu, G. Effect of transmitter current waveform on airborne TEM response. Explor. Geophys. 1998, 29, 35–41. [Google Scholar] [CrossRef]
- Abate, J.; Whitt, W. A unified framework for numerically inverting Laplace transforms. Inf. J. Comput. 2006, 18, 408–421. [Google Scholar] [CrossRef]
- Defreitas, C.L.; Kane, S.J. The noise handling properties of the Talbot algorithm for numerically inverting the Laplace transform. J. Algorithms Comput. Technol. 2018, 13, 1–14. [Google Scholar] [CrossRef]
- Wang, M.; Luo, W. New algorithm for inverse Laplace transform and its application in calculation of time domain electromagnetic response. Prog. Geophys. 2018, 33, 740–747. [Google Scholar]
- Nabighian, M. Electromagnetic Methods in Applied Geophysics, Volume 1–Theory; Society of Exploration Geophysicists: Tulsa, OK, USA, 1988. [Google Scholar]











© 2020 by the authors. Licensee MDPI, Basel, Switzerland. This article is an open access article distributed under the terms and conditions of the Creative Commons Attribution (CC BY) license (http://creativecommons.org/licenses/by/4.0/).
Share and Cite
Li, B.; Gao, H.; Zhao, H.; Yang, L.; Chen, H. Talbot Algorithm with a Trapezoidal Wave in the 2.5D Airborne Transient Electromagnetic Method in Marine Investigations. Appl. Sci. 2020, 10, 1812. https://doi.org/10.3390/app10051812
Li B, Gao H, Zhao H, Yang L, Chen H. Talbot Algorithm with a Trapezoidal Wave in the 2.5D Airborne Transient Electromagnetic Method in Marine Investigations. Applied Sciences. 2020; 10(5):1812. https://doi.org/10.3390/app10051812
Chicago/Turabian StyleLi, Boya, Huotao Gao, Huaqiao Zhao, Lijuan Yang, and Haitao Chen. 2020. "Talbot Algorithm with a Trapezoidal Wave in the 2.5D Airborne Transient Electromagnetic Method in Marine Investigations" Applied Sciences 10, no. 5: 1812. https://doi.org/10.3390/app10051812
APA StyleLi, B., Gao, H., Zhao, H., Yang, L., & Chen, H. (2020). Talbot Algorithm with a Trapezoidal Wave in the 2.5D Airborne Transient Electromagnetic Method in Marine Investigations. Applied Sciences, 10(5), 1812. https://doi.org/10.3390/app10051812
 
        
