Dual-Connected Synchronized Switch Damping for Vibration Control of Bladed Disks in Aero-Engines
Abstract
Featured Application
Abstract
1. Introduction
2. Principles of Local and Dual-Connected SSDI Techniques
2.1. Local Conventional SSDI
2.2. Dual-Connected SSDI
3. Design of Experiments
3.1. Implementation of the SSDI Circuit
3.2. Single-Beam Test Rig with Local SSDI
3.3. Double-Beam Test Rig with Dual-Connected SSDI
4. Experimental Results and Discussions
4.1. Single-Beam with Local SSDI
4.2. Double-Beam with Dual-Connected SSDI
5. Vibration Reduction of Bladed Disks by Dual-Connected SSDI
5.1. Dynamic Model
5.2. Forced Response Results
6. Conclusions
- The dual-connected configuration can increase the voltage inversion factor compared with the local configuration. The dual-connected SSDI generates a pair of self-equilibrium forces to the connected structures. The force applied to each structure is in opposite direction to the relative velocity thus plays the role of damping. The damping performance increases monotonously with the amplitude of the relative displacement. In this regard, the in-phase vibration cannot be damped by the proposed approach, and this can be a limitation in the general application. However, in the application of bladed disks, due to the complexity of the excitation and existing of many (20~30) blades, we can always avoid the worst working condition. This is one of the reasons why we think the dual-connected SSDI can be a good candidate for vibration reduction of bladed disks. Additionally, the dual-connected SSDI share the limitations with traditional local SSDI, such as the need of external power and the difficulty of reliably implanting piezoelectric materials into the blades.
- The dual-connected configuration can reduce at least half the number of switching shunts while maintain nearly the same performance as the conventional (local) SSDI, while applying to bladed disks. It not only reduces the vibration amplitude, but also mitigate the vibration localization. All the vibration peaks excited by multi-engine-order force can be effectively suppressed. Note that the proposed configuration does not extend the applicable frequency band of the SSDI technique. It basically shares the same frequency band of the local SSDI. As proved in the literature [24,25,26,27,28,29,30,31,32] that the SSDI can work in a relatively wide frequency band thus provides multi-modal damping. It is important to keep the voltage reverse happened in a very short time compared to the vibration period. To do this the inductance is chosen such that the oscillating frequency of the inductance with intrinsic capacitance is more than 20 times higher than the vibration frequency. The damping performance is also closely related to the modal electromechanical coupling factor (MEMCF) of the piezoelectric patch [39]. Once the geometric parameters of the piezoelectric patch are fixed, it can provide good MEMCF in a certain frequency band. For example, when elastic wave-length associated the vibration is too small or too long compared to the length of the patch, generally the MEMCF is very low [40]. One should be aware these general limitations of SSDI and piezo-based techniques during practical implementation.
- Future work can focus on the optional connection in blades in order to further reduce the number of switching elements.
Author Contributions
Funding
Conflicts of Interest
References
- Petrov, E.P.; Ewins, D.J. Effects of damping and varying. contact area at blade-disk joints in forced response analysis of bladed disk assemblies. J. Turbomach. 2006, 128, 403–410. [Google Scholar] [CrossRef]
- Griffin, J.H. A Review of Friction Damping of Turbine Blade Vibration. Int. J. Turbo Jet Engines 1990, 7, 297–308. [Google Scholar] [CrossRef]
- Zhang, D.; Fu, J.; Zhang, Q.; Hong, J. An effective numerical method for calculating nonlinear dynamics of structures with dry friction: Application to predict the vibration response of blades with underplatform dampers. Nonlinear Dyn. 2017, 88, 223–237. [Google Scholar] [CrossRef]
- Laxalde, D.; Thouverez, F.; Lombard, J. Forced Response Analysis of Integrally Bladed Disks with Friction Ring Dampers. J. Vib. Acoust. 2010, 132, 011013. [Google Scholar] [CrossRef]
- Yan, B.; Wang, K.; Hu, Z.; Wu, C.; Zhang, X. Shunt Damping Vibration Control Technology: A Review. Appl. Sci. 2017, 7, 494. [Google Scholar] [CrossRef]
- Gripp, J.A.B.; Rade, D.A. Vibration and noise control using shunted piezoelectric transducers: A review. Mech. Syst. Signal Process. 2018, 112, 359–383. [Google Scholar] [CrossRef]
- Forward, R.L. Electronic damping of vibrations in optical structures. Appl. Opt. 1979, 18, 690–697. [Google Scholar] [CrossRef]
- Hagood, N.W.; von Flotow, A. Damping of structural vibrations with piezoelectric materials and passive electrical networks. J. Sound Vib. 1991, 146, 243–268. [Google Scholar] [CrossRef]
- Min, J.B.; Duffy, K.P.; Choi, B.B.; Provenza, A.J.; Kray, N. Numerical modeling methodology and experimental study for piezoelectric vibration damping control of rotating composite fan blades. Comput. Struct. 2013, 128, 230–242. [Google Scholar] [CrossRef]
- Bachmann, F.; de Oliveira, R.; Sigg, A.; Schnyder, V.; Delpero, T.; Jaehne, R.; Bergamini, A.; Michaud, V.; Ermanni, P. Passive damping of composite blades using embedded piezoelectric modules or shape memory alloy wires: A comparative study. Smart Mater. Struct. 2012, 21, 075027. [Google Scholar] [CrossRef]
- Deng, P.; Li, L.; Li, C. Study on vibration of mistuned bladed disk with bi-periodic piezoelectric network. Proc. Inst. Mech. Eng. Part G: J. Aerosp. Eng. 2017, 231, 350–363. [Google Scholar] [CrossRef]
- Liu, J.; Li, L.; Fan, Y.; Deng, P. Research on vibration suppression of a mistuned blisk by a piezoelectric network. Chin. J. Aeronaut. 2018, 31, 286–300. [Google Scholar] [CrossRef]
- Li, L.; Deng, P.; Fan, Y. Dynamic characteristics of a cyclic-periodic structure with a piezoelectric network. Chin. J. Aeronaut. 2015, 28, 1426–1437. [Google Scholar] [CrossRef]
- Yu, H.; Wang, K.W. Vibration Suppression of Mistuned Coupled-Blade-Disk Systems Using Piezoelectric Circuitry Network. J. Vib. Acoust. 2009, 131, 021008. [Google Scholar] [CrossRef]
- Yu, H.; Wang, K.W. Piezoelectric Networks for Vibration Suppression of Mistuned Bladed Disks. J. Vib. Acoust. 2007, 129, 559. [Google Scholar] [CrossRef]
- Mokrani, B.; Bastaits, R.; Horodinca, M.; Romanescu, I.; Burda, I.; Viguié, R.; Preumont, A. Parallel Piezoelectric Shunt Damping of Rotationally Periodic Structures. Adv. Mater. Sci. Eng. 2015, 2015, 1–12. [Google Scholar] [CrossRef]
- Park, C.H.; Inman, D.J. Enhanced Piezoelectric Shunt Design. Shock Vib. 2003, 10, 127–133. [Google Scholar] [CrossRef]
- Vatavu, M.; Nastasescu, V.; Turcu, F.; Burda, I. Voltage-controlled synthetic inductors for resonant piezoelectric shunt damping: A comparative analysis. Appl. Sci. 2019, 9, 4777. [Google Scholar] [CrossRef]
- Giorgio, I.; Culla, A.; del Vescovo, D. Multimode vibration control using several piezoelectric transducers shunted with a multiterminal network. Arch. Appl. Mech. 2009, 79, 859–879. [Google Scholar] [CrossRef]
- Behrens, S.; Moheimani, S.O.R. Current Flowing Multiple-Mode Piezoelectric Shunt Dampener. In Proceedings of the Smart Structures and Materials 2002: Damping and Isolation, San Diego, CA, USA, 17–21 March 2002; Agnes, G.S., Ed.; 2002; pp. 217–226. [Google Scholar] [CrossRef]
- Slater, J.C.; Minkiewicz, G.R.; Blair, A.J. Forced Response of Bladed Disk Assemblies—A Survey. Shock Vib. Dig. 1999, 31, 17–24. [Google Scholar] [CrossRef]
- Xie, W.; Wang, X. Vibration Mode Localization in One-Dimensional Systems. AIAA J. 1997, 35, 1645–1652. [Google Scholar] [CrossRef]
- Ewins, D.J. Vibration Modes of Mistuned Bladed Disks. J. Eng. Power. 1976, 98, 349–355. [Google Scholar] [CrossRef]
- Richard, C.; Guyomar, D.; Audigier, D.; Ching, G. Semi-Passive Damping Using Continuous Switching of a Piezoelectric Device. In Proceedings of the Smart Structures and Materials 1999: Passive Damping and Isolation, Newport Beach, CA, USA, 1 March 1999; Hyde, T.T., Ed.; 1999; pp. 104–111. [Google Scholar] [CrossRef]
- Richard, C.; Guyomar, D.; Audigier, D.; Bassaler, H. Enhanced Semi-Passive Damping Using Continuous Switching of a Piezoelectric Device on an Inductor. In Proceedings of the Smart Structures and Materials 2000: Damping and Isolation, Newport Beach, CA, USA, 6–9 March 2000; Hyde, T.T., Ed.; 2000; pp. 288–299. [Google Scholar] [CrossRef]
- Corr, L.R.; Clark, W.W. Comparison of low-frequency piezoelectric switching shunt techniques for structural damping. Smart Mater. Struct. 2002, 11, 370–376. [Google Scholar] [CrossRef]
- Ji, H.; Qiu, J.; Cheng, J.; Inman, D. Application of a Negative Capacitance Circuit in Synchronized Switch Damping Techniques for Vibration Suppression. J. Vib. Acoust. 2011, 133, 041015. [Google Scholar] [CrossRef]
- Liu, J.; Li, L.; Huang, X.; Jezequel, L. Dynamic characteristics of the blisk with synchronized switch damping based on negative capacitor. Mech. Syst. Signal Process. 2017, 95, 425–445. [Google Scholar] [CrossRef]
- Liu, J.; Li, L.; Fan, Y.; Huang, X. A Modified Nonlinear Modal Synthesis Scheme for Mistuned Blisks with Synchronized Switch Damping. Int. J. Aerosp. Eng. 2018, 2018, 1–15. [Google Scholar] [CrossRef]
- Wu, Y.; Li, L.; Fan, Y.; Liu, J.; Gao, Q. A Linearised Analysis for Structures with Synchronized Switch Damping. IEEE Access. 2019, 7, 133668–133685. [Google Scholar] [CrossRef]
- Liu, J.; Li, L.; Fan, Y. A comparison between the friction and piezoelectric synchronized switch dampers for blisks. J. Intell. Mater. Syst. Struct. 2018, 29, 2693–2705. [Google Scholar] [CrossRef]
- Mokrani, B. Piezoelectric Shunt Damping of Rotationally Periodic Structures. Ph.D. Thesis, Free University of Brussels, Brussels, Belgium, January 2015. [Google Scholar]
- Lu, Y.; Tang, J. Electromechanical tailoring of structure with periodic piezoelectric circuitry. J. Sound Vib. 2012, 331, 3371–3385. [Google Scholar] [CrossRef]
- Li, L.; Jiang, Z.; Fan, Y.; Li, J. Creating the Coupled Band Gaps in Piezoelectric Composite Plates by Interconnected Electric Impedance. Materials 2018, 11, 1656. [Google Scholar] [CrossRef]
- Lossouarn, B.; Aucejo, M.; Deü, J.-F. Multimodal coupling of periodic lattices and application to rod vibration damping with a piezoelectric network. Smart Mater. Struct. 2015, 24, 045018. [Google Scholar] [CrossRef]
- Bao, B.; Lallart, M.; Guyomar, D. Manipulating elastic waves through piezoelectric metamaterial with nonlinear electrical switched Dual-connected topologies. Int. J. Mech. Sci. 2020, 172, 105423. [Google Scholar] [CrossRef]
- Wu, Y.G.; Li, L.; Fan, Y.; Ma, H.Y.; Wang, W.J.; Christen, J.-L.; Ichchou, M. Design of semi-active dry friction dampers for steady-state vibration: Sensitivity analysis and experimental studies. J. Sound Vib. 2019, 459, 114850. [Google Scholar] [CrossRef]
- Zhang, F.; Li, L.; Fan, Y.; Liu, J. Numerical Analysis and Experimental Verification of Synchronized Switching Damping Systems. In Proceedings of the ASME 2019 Conference on Smart Materials, Adaptive Structures and Intelligent Systems, Louisville, KY, USA, 9–11 September 2019. [Google Scholar] [CrossRef]
- Thomas, O.; Ducarne, J.; Deü, J.-F. Performance of piezoelectric shunts for vibration reduction. Smart Mater. Struct. 2012, 21, 015008. [Google Scholar] [CrossRef]
- Fan, Y.; Collet, M.; Ichchou, M.; Bareille, O.; Li, L. Wave Electromechanical Coupling Factor for the Guided Waves in Piezoelectric Composites. Materials 2018, 11, 1406. [Google Scholar] [CrossRef]






















| Parameter (unit) | Length (mm) | Width (mm) | Thickness (mm) | Elastic Modulus (Gpa) | Poisson’s Ratio | Density (kg/m3) |
|---|---|---|---|---|---|---|
| Value | 200 | 50 | 2 | 70 | 0.33 | 2700 |
| Parameter (unit) | Length (mm) | Width (mm) | Thickness (mm) | Elastic Modulus (GPa) | Density (kg/m3) | Force Factor (N/V) | Intrinsic Capacitance (nF) |
|---|---|---|---|---|---|---|---|
| Value | 43 | 35 | 0.5 | 66 | 7650 | 20 |
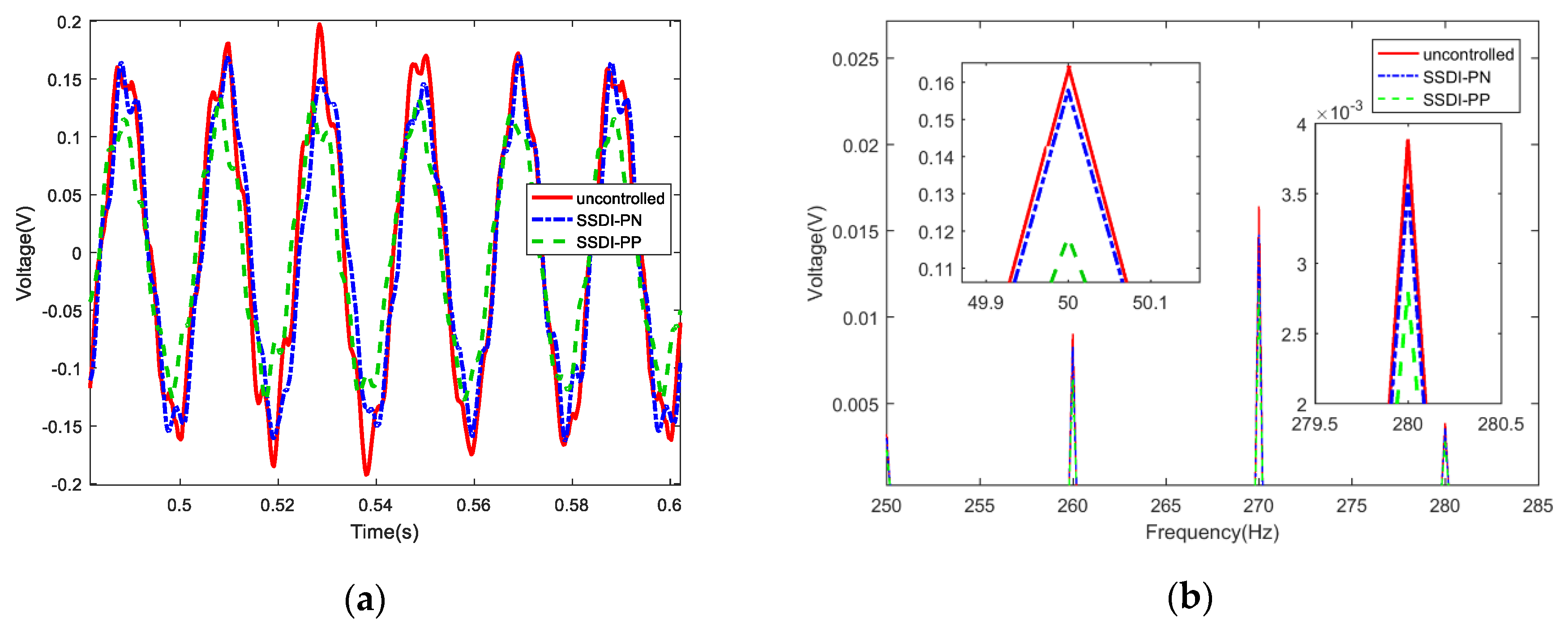
| Electric Circuits | 1st-Order Frequency (Hz) | Maximum Displacement (mV) | 2nd-Order Frequency (Hz) | Maximum Displacement * (mV) |
|---|---|---|---|---|
| Open-circuit | 50.05 | 164.6 | 280 | 3.891 |
| SSDI-PN | 50.1 | 158 | 280.4 | 3.558 |
| SSDI-PP | 50.1 | 118.5 | 280.4 | 2.801 |
| Variables | ||||||||||||
| Value | 24 | 1 | 12 | 1 | 1.5 | 30 | 0.05 | 0.01 | 0.05 | 1 | 0 |
© 2020 by the authors. Licensee MDPI, Basel, Switzerland. This article is an open access article distributed under the terms and conditions of the Creative Commons Attribution (CC BY) license (http://creativecommons.org/licenses/by/4.0/).
Share and Cite
Zhang, F.; Li, L.; Fan, Y.; Liu, J. Dual-Connected Synchronized Switch Damping for Vibration Control of Bladed Disks in Aero-Engines. Appl. Sci. 2020, 10, 1478. https://doi.org/10.3390/app10041478
Zhang F, Li L, Fan Y, Liu J. Dual-Connected Synchronized Switch Damping for Vibration Control of Bladed Disks in Aero-Engines. Applied Sciences. 2020; 10(4):1478. https://doi.org/10.3390/app10041478
Chicago/Turabian StyleZhang, Fengling, Lin Li, Yu Fan, and Jiuzhou Liu. 2020. "Dual-Connected Synchronized Switch Damping for Vibration Control of Bladed Disks in Aero-Engines" Applied Sciences 10, no. 4: 1478. https://doi.org/10.3390/app10041478
APA StyleZhang, F., Li, L., Fan, Y., & Liu, J. (2020). Dual-Connected Synchronized Switch Damping for Vibration Control of Bladed Disks in Aero-Engines. Applied Sciences, 10(4), 1478. https://doi.org/10.3390/app10041478

