Next Article in Journal
Approach to Risk Performance Reasoning with Hidden Markov Model for Bauxite Shipping Process Safety by Handy Carriers
Previous Article in Journal
A New Tooth Profile Modification Method of Cycloidal Gears in Precision Reducers for Robots
 
 
Font Type:
Arial Georgia Verdana
Font Size:
Aa Aa Aa
Line Spacing:
Column Width:
Background:
Article

A Modified Car-following Model Considering Traffic Density and Acceleration of Leading Vehicle

1
School of Highway, Chang’an University, Xi’an 710064, Shannxi, China
2
College of Civil Engineering, Anhui Jianzhu University, Hefei 230601, Anhui, China
*
Author to whom correspondence should be addressed.
Appl. Sci. 2020, 10(4), 1268; https://doi.org/10.3390/app10041268
Submission received: 20 January 2020 / Revised: 7 February 2020 / Accepted: 10 February 2020 / Published: 13 February 2020
(This article belongs to the Section Mechanical Engineering)

Abstract

Featured Application

This work can be used in autonomous driving control systems to alleviate traffic congestion.

Abstract

Although the difference between the velocity of two successive vehicles is considered in the full velocity difference model (FVDM), more status information from preceding vehicles affecting the behavior of car-following has not been effectively utilized. For improving the performance of the FVDM, an extended modified car-following model taking into account traffic density and the acceleration of a leading vehicle (DAVD, density and acceleration velocity difference model) is presented under the condition of vehicle-to-vehicle (V2V) communications. Stability in the developed model is derived through applying linear stability theory. The curves of neutral stability for the improved model indicate that when the driver pays more attention to the traffic status in front, the traffic flow stability region is larger. Numerical simulation illustrates that traffic flow disturbance could be suppressed by gaining more information on preceding vehicles.

1. Introduction

Due to fast progress of urban motorization, today traffic congestion is considered as a common and serious problem. According to the records traffic congestion has caused nearly 7 billion hours of travel delay in 471 urban areas of the United States in 2014, which is more than two times longer than that recorded in 1982 [1,2,3]. The frequent deceleration and acceleration of vehicles while driving will not only block the traffic but can also lead to unwanted environmental pollution. Hence, great efforts have been made to alleviate traffic congestion based on car-following models.
A car-following model, as a microscopic model [4,5,6,7,8,9,10,11], describes how a car which follows another car responds to the changes in preceding traffic conditions on a one-way street that limits overtaking. Since the introduction of the car-following model by Pipes in 1953 [12], many researchers have studied various factors influencing drivers’ car-following behaviors from different points. Based on a driver’s stimulus response mechanism, the optimal velocity model (OVM) was put forward by Bando et al. [8]. The OVM can be defined as:
x ¨ n = a { V ( Δ x n ) x ˙ n } ,
where a describes driver sensitivity; ∆ x n = xn+1(t) − xn(t) means the headway of two successive cars;
V(∆ x n ) denotes the optimal velocity function considering preceding headway change; x ˙ n is vehicle velocity n; x ¨ n is vehicle acceleration n. Although this model is able to well explain different traffic flow processes like the frequent stopping and going of vehicles and instability of traffic flow, Helbing and Tilch suggested that the OVM produces excessive accelerations and decelerations. Therefore, motivated by pedestrian dynamics, they proposed a generalized force model (GFM) considering the difference of negative velocities [13]. The GFM can be defined as:
x ¨ n = a [ V ( Δ x n ( t ) ) x ˙ n ( t ) ] + λ H ( Δ x ˙ n ( t ) ) Δ x ˙ n ( t ) ,
where H(∙) denotes the function of Heaviside and λ is relative velocity response intensity. However, the GFM ignores the effect of positive velocity difference, which misleads the vehicle moving delay calculation. To make up for this deficiency of this model, Jiang et al. [9] developed the full velocity difference model (FVDM), which considers both negative and positive differences in velocity. The kinematic function of the model can be expressed as:
x ¨ n = a [ V ( Δ x n ( t ) ) x ˙ n ( t ) ] + λ Δ x ˙ n ( t ) ,
The numerical simulations confirm that the FVDM can describe vehicle start delays and disturbance propagations.
After that, many variants of the FVDM [14,15,16,17,18,19,20,21,22,23,24] were developed based on velocity differences. Considering the influence of lateral separation distance between two successive vehicles, Jin et al. established the non-lane-based full velocity difference car-following model (NLBCFM) [14,15]. Tang et al. explored the relationship between the driver’s attribution and driving behavior and redefined a novel car-following model by introducing a driver personality parameter [16]. Peng and Cheng found that drivers would adjust their anticipation of optimal velocity beforehand by assessing future traffic conditions [18]. Therefore, an anticipation optimal velocity model (AOVM) was introduced. Yu and Shi investigated the effect of vehicular gap fluctuation on the flow of traffic [19]. By adding the space gap perturbation factor, the modified model further improves traffic flow stability, decreasing the consumption of energy. Numerous researchers have made efforts to consider many properties of traffic flow, and to construct lots of improved models from different points of view.
However, by the progress of intelligent transportation systems (ITS), especially for vehicle communication and automatic cruise control (ACC) [25], a vehicle can acquire more information from infrastructures and other vehicles than before, so as to adjust the driving condition. Based on that, some scholars have tried to utilize these messages to build a more adaptable car-following model [26,27,28,29,30,31,32,33,34,35,36,37,38,39,40]. Tang et al. found that under the guidance of the forecast information produced by ITS, traffic flow stability would be improved [26]. After analyzing the car-following data, Yu et al. used the ACC strategy to consider relative velocity difference with memory and put forward an extended model to illustrate the transition of traffic congestion [27]. Chen et al. observed that before updating the state information of the leading vehicle a driver will drive according to past memory [28]. Thus, they modified the full velocity difference (FVD) model from the perspective of the backward-looking effect and the memory of the driver. To enhance traffic flow efficiency, Jia et al. established an enhanced cooperative car-following model by combining vehicle-to-infrastructure (V2I) and vehicle-to-vehicle (V2V) communications [38]. They mainly focused on mitigating the impact of traffic waves stemming from some realistic communication limitations such as packet loss and probabilistic transmission delay. By adding the consensus control algorithm, the time-varying communication delays are taken into account in the improved model. Zhao et al. discussed how to use a car’s location information in a V2V communication environment to calculate conflicts between two traffic flows at un-signalized intersections [37]. A modified car-following driving strategy taking into consideration the conflict gap was developed.
Herein, we find that most variants of the FVD model only consider the feedback of the driver on adjacent preceding vehicle driving behavior. Explanation of the driver’s reaction to the traffic status ahead in the real world is difficult. For example, at a signal-controlled intersection, even when the preceding vehicle is far enough, the driver will decelerate appropriately due to the queuing of the vehicles in front. Conversely, if the average headway of preceding vehicles is large and the velocity of the front cars is high, the driver will still maintain a tight car-following status, even if the space gap to the front vehicle is small. Meanwhile, the preceding vehicle’s accelerations will influence the driver’s operation. Additionally, when the preceding vehicle brakes, the red stop signal acts as a stimulus that causes the driver to decelerate. Hence, without being concerned about the communication transmission restrictions, this study aims to establish an improved FVD model via considering the traffic flow density in front as associated with the acceleration of the preceding vehicle. Based on the information of the equipped vehicles provided by the V2V communication system, this model can more realistically reflect the driver’s feedback when grasping the road conditions ahead.
In the next section, a modified version of the car-following model is developed. Section 3 describes linear stability and traffic flow development analyses. Section 4 discusses numerical simulation. Conclusions are drawn in Section 5.

2. The Extended Model

In the V2V communication environment, the external stimulus information that affects car-following behavior mainly includes two aspects. One is the direct stimulation, which comes from the preceding vehicle; the driver reacts directly according to his observation of their distance from and the acceleration of the preceding car. The other is the indirect stimulation, which represents the traffic density that is able to reflect the traffic congestion level; when a driver perceives traffic flow density in front, he will make some adjustments in advance, enabling a reduction in the frequency of acceleration and deceleration and thus maintaining a relatively stable driving status. The response to this stimulus depends on the perception of state information of leading vehicles. However, as an important macro parameter, traffic flow density is difficult to obtain beforehand. This is because the acquisition of traffic density requires a real-time counting of the vehicles distributed on each lane per kilometer. In fact, it is difficult to guarantee a precise performance through traditional survey methods, including access methods, remote sensing images and geomagnetic vehicle detectors. Fortunately, communication between vehicles favors the calculation of the average of the headway, which is inversely proportional to the traffic flow density. Therefore, to enhance the stability of driving, a modified model for car-following, called the density and acceleration velocity difference (DAVD) model, is proposed through adding traffic flow density and acceleration difference feedback parameters into the FVD model. The kinematic equation of the model is expressed as:
d 2 x n ( t ) d t 2 = α { ( 1 p ) V [ Δ x n ( t ) ] + p V ( 1 / k ) v n ( t ) } + β a n + 1 ( t ) + λ Δ v n ( t ) ,
where α is driver sensitivity to headway; β denotes response intensity of the acceleration of the preceding vehicle; λ is relative velocity sensitive coefficient o; x n (t) and v n (t) are the location and velocity of car n at time t, respectively; an+1(t) is leading vehicle n+1 acceleration; ∆x = xn+1(t) − xn(t) is space headway from car n to car n+1; ∆ v n = vn+1(t) − vn(t) is the difference of velocity between two successive vehicles; k is traffic flow density, so, 1/k = j = 0 m 1 x n + j (t)/m is described as the average of the headway; p is the influence coefficient of traffic density, and its value determines the extent to which the driver perceives the traffic state ahead. So, the extended model may be rearranged as:
d 2 x n ( t ) d t 2 = α { ( 1 p ) V [ Δ x n ( t ) ] + p V [ 1 m j = 0 m 1 Δ x n + j ( t ) ] v n ( t ) } + β a n + 1 ( t ) + λ Δ v n ( t ) ,
When the value of p is 0 or m is 1, the state of car-following is only under the effect of headway, acceleration and the velocity difference of the preceding vehicle. In this case, as β is 0, this model is transformed into the FVD model. V(∙) is the function of optimal velocity, which adopts the same equation that was proposed and calibrated by Helbing and Tilch [13]. The OV formula is defined as:
V ( Δ x n ( t ) ) = V 1 + V 2 tanh ( C 1 ( Δ x n ( t ) l c ) C 2 ) ,
where V 1 = 6.75 m/s, V 2 = 7.91 m/s, C 1 = 0.13 m−1, C 2 = 1.57, lc means vehicle length, which is taken as 5 m in this model.

3. Liner Stability Analysis

Many macroscopic and microscopic traffic models apply the stability analysis method for the theoretical investigation of the effects of different external conditions on the traffic flow. Through the linear stability analysis, it is possible to calculate the stability interval of the modified car-following model. It can also assess the influence of traffic density and the acceleration of the preceding car on traffic flow kinetics when parameters are changed.
N vehicles are assumed to be distributed on a single-lane ring road, with circular road length L and steady initial fleet state, then all vehicles move with similar car spacing h and fixed optimal velocity V(h). Thus, steady-state solution can be obtained as:
x n 0 ( t ) = h n + V ( h ) t ,   h = L / N ,
where x n 0 (t) is the location of car n at time t.
By linearizing the original nonlinear system, the stability condition of this steady-state solution is obtained. First, y n (t) is assumed as a minor deviation from the steady-state x n 0 (t), the position of the vehicle after the disturbance is added as:
x n ( t ) = x n 0 ( t ) + y n ( t ) ,
By the substitution of Equation (7) and Equation (8) into Equation (5), followed by linearization gives:
d 2 y n ( t ) d t 2 = α { ( 1 p ) V [ h + Δ y n ( t ) ] + p V [ 1 m j = 0 m 1 ( h + Δ y n + j ( t ) ) ] ( V ( h ) + d y n ( t ) d t ) } + β d 2 y n + 1 ( t ) d t 2 + λ d Δ y n ( t ) d t ,
Introducing finite increment formula into Equation (9), the equation is rewritten as:
d 2 y n ( t ) d t 2 = α { ( 1 p ) V ( h ) Δ y n ( t ) + p V ( h ) [ 1 m j = 0 m 1 Δ y n + j ( t ) ] d y n ( t ) d t } + β d 2 y n + 1 ( t ) d t 2 + λ d Δ y n ( t ) d t ,
where V ( h ) = d V ( Δ x n ) d Δ x n and ∆ x n = h, which is the optimal velocity function’s first order partial derivative at the headway h.
The solution of Equation (10) is obtained by expanding the Fourier series with y n (t) = A exp (ikn + zt) as an orthonormal set. The equation transformed is:
z 2 = α { ( 1 p ) V ( h ) ( e i k 1 ) + p V ( h ) [ 1 m j = 0 m 1 ( e i k ( j + 1 ) e i k j ) ] z } + β z 2 e i k + λ z ( e i k 1 )
Expanding z into a power series form z = z 1 (ik) + z 2 (ik)2 + … and using Taylor series to expand the exponent e x = 1 + x + x 2 /2 + …, then substituting it into Equation (11), we have a new power series equation that contains only first and second-order terms after rounding off the high-order terms, as follows:
α ( V ( h ) z 1 ) ( i k ) + ( α ( 1 2 V ( h ) ( 1 + ( m 1 ) p ) z 2 ) + λ z 1 + ( β 1 ) z 1 2 ) ( i k ) 2 = 0 ,
When the first and second coefficients of the power series are 0, Equation (12) is established. Therefore, the solution of z 1 , z 2 is derived as:
{ z 1 = V ( h ) z 2 = V ( h ) { α [ 1 + ( m 1 ) p ] + 2 λ + 2 V ( h ) ( β 1 ) } 2 α ,
Since y n (t) is the interference from steady traffic flow, when the amplitude of y n (t) is increased with time evolution, the car-following state is unstable. Therefore, for small disturbances with long wavelengths, the oscillation of this model will be reduced if z 2 > 0. Thus, the uniform traffic flow tends to the steady state in the condition that:
V ( h ) < α [ 1 + ( m 1 ) p ] + 2 λ 2 ( 1 β ) ,
In other words, the critical stability curve is given by:
α = 2 [ ( 1 β ) V ( h ) λ ] 1 + ( m 1 ) p ,
When p = 0, β = 0 or m = 1, β = 0, stable condition is similar to that obtained from the FVD model, as Equation (16). Therefore, in this paper, the FVD model is assumed to be a special case of the DAVD model.
V ( h ) < α 2 + λ ,
Critical stability curves obtained for different values of each parameter in headway-sensitivity space are shown in Figure 1. Headway-sensitivity space can be separated into upper and lower areas in each critical stability curve, representing stable and unstable regions, respectively, and the density waves emerge. It is easy to find that the parameters including β, p, m, are highly related with the critical curve, which means that the traffic density and leading vehicle acceleration can affect car-following state stability. As shown in Figure 1a, a greater value of β increase the stable region. This finding shows that the stability of traffic flow is enhanced by the introduction of the response intensity of the acceleration of the preceding vehicle. In Figure 1b,c, the unstable regions gradually decrease as p or m increase, implying that when drivers pay more attention to the traffic ahead, they will tend to slow down the vehicle speed to maintain smooth driving. Therefore, traffic flow stability is enhanced when the traffic density information of more preceding vehicles is included.
To further analyze the stability characteristics of the improved model, the critical stability curves of the FVD and DAVD models have been conducted. It is obviously seen from Figure 2 that the range of stability in the developed model is wider than that obtained from the FVD model. This is because when more traffic density and preceding vehicle acceleration are considered, the driver can predict the driving state ahead and select an appropriate speed in advance. The driver does not frequently change the velocity based solely on the stimulation of the headway space. Thus, the effect of the headway on driving is weakened, so that the sensitivity threshold of the headway required to maintain the stability of driving is reduced, which makes the stability region of the DAVD model become larger.

4. Numerical Simulation and Discussion

Here, we have conducted numerical simulations to verify the properties of the DAVD model presented in Equation (5).
Situation 1:
The initial simulation environment is built as follows: overall vehicle number is N = 50, which are distributed on a single lane ring road with length L = 1000 m. The initial position of car n is settled as:
{ x n ( 0 ) = 1 , n = 1 x n ( 0 ) = ( n 1 ) L / N , n = 2 , 3 , , N ,
According to Equation (17), the first car’s position is 1 m instead of 0 m, and the other vehicles are evenly distributed at the same distance of 20 m. Therefore, the initial small disturbance is set up as: the initial gap between the cars 50 and 1 is 21 m, and the initial gap between the cars 1 and 2 is 19 m. Based on the velocity optimal function as in Equation (6), the initial velocity of car n is vn(0) = V(L/N). Update rules for position and velocity are:
{ v n ( t + Δ t ) = v n ( t ) + Δ t d 2 x n ( t ) d t 2 x n ( t + Δ t ) = x n ( t ) + Δ t v n ( t ) + v n ( t + Δ t ) 2 ,
To compare with the FVD model, the relevant parameters of this model in the simulation are consistent with those in the literature [9], α = 0.41, λ = 0.5, time step ∆t = 0.1 s.
The DAVD model experiments are performed under the different parameters affecting the headway evolution. Figure 3 shows traffic density waves at time intervals of t = 0–500 s and t = 1800–2000 s. In Figure 3a,b, the DAVD model is transformed into the FVD model corresponding to the case of β = 0, p = 0, m = 1. It is obviously found that the initial disturbances adding into the uniform traffic flow propagate backwards faster and faster, and meanwhile the fluctuation range of the headway is becoming larger. Eventually, the uniform flow develops into a chaotic traffic flow. When the communication is interrupted in the real world, the influence coefficient of traffic density in the DAVD model decreases, and only the state of the preceding vehicle can be observed. In this case, the parameters of the DAVD model are reset to β = 0.1, p = 0.1, m = 1. Comparing to Figure 3a,b, the traffic congestion is well alleviated in Figure 3c,d. Before the time steps of t = 500s, the vibration magnitude of the headway is inapparent, which means the propagation speed of the perturbations has decreased in this case. After t = 1800s, although the waves of stop-and-go in traffic flow gradually appear and continue to propagate, the density waves amplitude is decreased. Figure 3e,f indicate that the oscillation amplitude of the headway is significantly reduced at different time intervals. In addition, density waves almost disappear with the increase of the parameters β, p, m. Therefore, Figure 3 demonstrates that under the influence of external disturbances, the traffic flow in the model will quickly return to a methodic and stable state with increasing attention to acceleration and traffic density information.
To further prove the behavior of the DAVD model in different cases, the standard deviations of the velocity distributions are obtained to reflect the discreteness of the vehicle speed distribution and measure traffic flow stability at various values of parameters. Figure 4 and Figure 5 show the variation of the velocity standard deviation and the standard deviation of each car’s velocity under three different parameters, respectively. In Figure 4, the standard deviation curves of patterns (a) and (b) can be divided into three stages, which are slowly rising, rising rapidly and tending to stabilize. In contrast, the curve of pattern (c) is similar to a straight line and the value of standard deviation is close to 0. From the perspective of each car, the fluctuation range of each car’s velocity of patterns (a) and (b) is larger than pattern (c). Therefore, it can be concluded that assigning more weights to factors of traffic density and acceleration of front vehicles has a positive effect on centralizing the velocity distribution and reducing the formation of kink-antikink waves.
Stability characteristic of the DAVD model can also be certificated by the hysteresis loops of three patterns, shown in Figure 6. As shown, pattern (b) exhibits smaller size and more concentration of hysteresis loops than pattern (a). Moreover, under the control of pattern (c), the velocity and headway space of vehicles are stable and hysteresis loops shrink to one point. It means that by increasing attention to the traffic situation ahead, density waves can be effectively suppressed.
Situation 2:
Different from simulation 1, the initial environment is that 250 vehicles of simulation 2 are randomly distributed on a 4-kilometer single-lane ring road. At the same time, update rules for position and velocity still follow Equation (18). Under the control of the DAVD model, the simulation results are shown in Figure 7 and Figure 8, which is the whole evolution process of traffic flow from disturbance to stabilization.
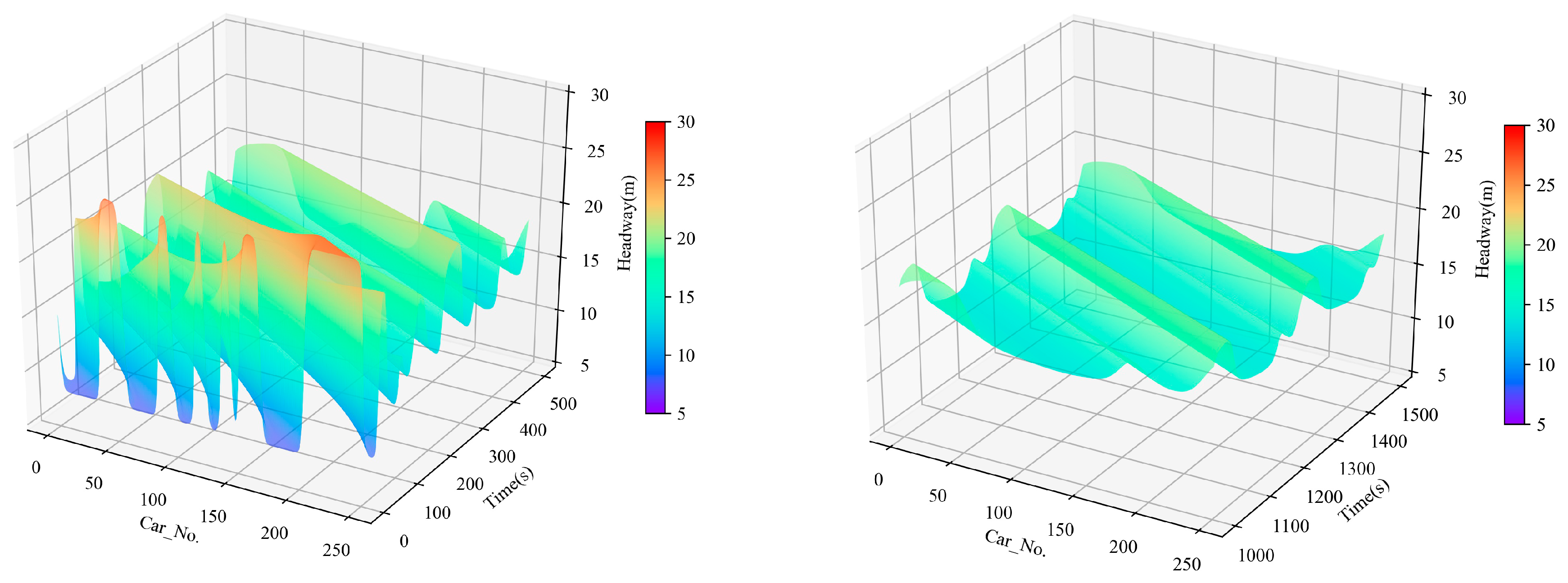
Obviously, even if the vehicles are not evenly distributed and the scale of simulation continues to increase, the amplitude of the headway gradually weakens under the intervention of the DAVD model.
All in all, the simulation results illustrate that taking into account the acceleration and traffic density of preceding vehicles with the FVD model can effectively suppress the effect of external disturbance and enhance traffic flow stability, which complies with theoretical analytical results.

5. Conclusions

By the emergence of intelligent traffic systems, the driver can receive more information about preceding cars under the V2V communication condition. Therefore, the DAVD model, which considers the traffic density and acceleration of the leading vehicle, is proposed to alleviate traffic congestion and reduce travel delays. Then, by linear stability analyses, the stability condition of the modified model is derived, which reveals that the traffic flow stable region will be extended when β, p and m increase.
Furthermore, we performed numerical simulations to evaluate kinetic properties of traffic flow under the control of the DAVD model. The results including analysis of density waves, the standard deviation of velocity distribution and hysteresis loops demonstrate that the oscillation amplitudes of headway and velocity are suppressed as the sensitivity of driver to traffic density and acceleration is increased, and higher numbers of preceding vehicles that can communicate improves the performance of the model. Therefore, perceiving the traffic density and acceleration of the preceding vehicle is favorable for the stabilization of traffic flow and the prevention of homogeneous flow from developing into a congested flow.
The improved model presented here does not consider different feedbacks of drivers on the acceleration and deceleration of the preceding car. In addition, car-following behavior will be limited by the conditions of road traffic facilities. As such, the effect of asymmetric dynamic characteristics and road facilities environment will be studied in the future research.

Author Contributions

Conceptualization, X.C. and J.W.; funding acquisition, J.W.; methodology, X.C; validation, X.C. and C.C.; writing—original draft, X.C. writing—review and editing, X.C., J.W. and C.C. All authors have read and agreed to the published version of the manuscript.

Funding

This research was funded by National Key Research Development Program of China (Grant Nos. 2018YFB1600904-2), the Fundamental Research Funds for the Central Universities (Grant Nos. 300102218410) and Supported by Xi’an Special Funds for Urban Construction Program (Grant Nos. SZJJ2019-22).

Acknowledgments

The authors are grateful to hardware support given by Nanjing Innovative Data Technologies, Inc. The authors would like to thank the anonymous reviewers for their invaluable comments.

Conflicts of Interest

The authors declare no conflicts of interest.

References

  1. Ewing, R.; Tian, G.; Lyons, T. Does compact development increase or reduce traffic congestion? Cities 2018, 72, 94–101. [Google Scholar] [CrossRef]
  2. Jiang, Y.; Kang, R.; Li, D.; Gao, S.; Havlin, S. Spatio-temporal propagation of traffic jams in urban traffic networks. arXiv 2017, arXiv:1075.08269. [Google Scholar]
  3. Schrank, D.; Eisele, B.; Lomax, T.; Bak, J. 2015 Urban Mobility Scorecard; Texas A&M Transportation Institute: College Station, TX, USA, 2015. [Google Scholar]
  4. Lenz, H.; Wagner, C.; Sollacher, R. Multi-anticipative car-following model. Eur. Phys. J. B 1999, 7, 331–335. [Google Scholar] [CrossRef]
  5. Nagatani, T. Density waves in traffic flow. Phys. Rev. E 2000, 61, 3564–3570. [Google Scholar] [CrossRef] [PubMed]
  6. Nagatani, T. Modified KdV equation for jamming transition in the continuum models of traffic. Phys. A Stat. Mech. Appl. 1998, 261, 599–607. [Google Scholar] [CrossRef]
  7. Sun, C.; Luo, Y.; Li, J. Urban traffic infrastructure investment and air pollution: Evidence from the 83 cities in China. J. Clean. Prod. 2018, 172, 488–496. [Google Scholar] [CrossRef]
  8. Bando, M.; Hasebe, K.; Nakayama, A.; Shibata, A.; Sugiyama, Y. Dynamical model of traffic congestion and numerical simulation. Phys. Rev. E 1995, 51, 1035–1042. [Google Scholar] [CrossRef]
  9. Jiang, R.; Wu, Q.; Zhu, Z. Full velocity difference model for a car-following theory. Phys. Rev. E 2001, 64. [Google Scholar] [CrossRef]
  10. Ge, H.X.; Cheng, R.J.; Li, Z.P. Two velocity difference model for a car following theory. Phys. A Stat. Mech. Appl. 2008, 387, 5239–5245. [Google Scholar] [CrossRef]
  11. Li, Z.-P.; Liu, Y.C. A velocity-difference-separation model for car-following theory. Chin. Phys. 2006, 15, 1570. [Google Scholar] [CrossRef]
  12. Pipes, L.A. An operational analysis of traffic dynamics. J. Appl. Phys. 1953, 24, 274–281. [Google Scholar] [CrossRef]
  13. Helbing, D.; Tilch, B. Generalized force model of traffic dynamics. Phys. Rev. E 1998, 58, 133–138. [Google Scholar] [CrossRef]
  14. Jin, S.; Wang, D.H.; Yang, X.R. Non-lane-based car-following model with visual angle information. Transp. Res. Rec. 2011, 2249, 7–14. [Google Scholar] [CrossRef]
  15. Jin, S.; Wang, D.; Tao, P.; Li, P. Non-lane-based full velocity difference car following model. Phys. A Stat. Mech. Appl. 2010, 389, 4654–4662. [Google Scholar] [CrossRef]
  16. Tang, T.Q.; He, J.; Yang, S.C.; Shang, H.Y. A car-following model accounting for the driver’s attribution. Phys. A Stat. Mech. Appl. 2014, 413, 583–591. [Google Scholar] [CrossRef]
  17. Zhu, W.X.; Zhang, L.D. A speed feedback control strategy for car-following model. Phys. A Stat. Mech. Appl. 2014, 413, 343–351. [Google Scholar] [CrossRef]
  18. Peng, G.H.; Cheng, R.J. A new car-following model with the consideration of anticipation optimal velocity. Phys. A Stat. Mech. Appl. 2013, 392, 3563–3569. [Google Scholar] [CrossRef]
  19. Yu, S.; Shi, Z. An extended car-following model considering vehicular gap fluctuation. Measurement 2015, 70, 137–147. [Google Scholar] [CrossRef]
  20. Xin, Q.; Yang, N.; Fu, R.; Yu, S.; Shi, Z. Impacts analysis of car following models considering variable vehicular gap policies. Phys. A Stat. Mech. Appl. 2018, 501, 338–355. [Google Scholar] [CrossRef]
  21. Li, X.; Luo, X.; He, M.; Chen, S. An improved car-following model considering the influence of space gap to the response. Phys. A Stat. Mech. Appl. 2018, 509, 536–545. [Google Scholar] [CrossRef]
  22. Guo, L.; Zhao, X.; Yu, S.; Li, X.; Shi, Z. An improved car-following model with multiple preceding cars’ velocity fluctuation feedback. Phys. A Stat. Mech. Appl. 2017, 471, 436–444. [Google Scholar] [CrossRef]
  23. Sun, D.; Kang, Y.; Yang, S. A novel car following model considering average speed of preceding vehicles group. Phys. A Stat. Mech. Appl. 2015, 436, 103–109. [Google Scholar] [CrossRef]
  24. Yu, S.; Zhao, X.; Xu, Z.; Shi, Z. An improved car-following model considering the immediately ahead car’s velocity difference. Phys. A Stat. Mech. Appl. 2016, 461, 446–455. [Google Scholar] [CrossRef]
  25. Wu, X.; Zhao, X.; Song, H.; Xin, Q.; Yu, S. Effects of the prevision relative velocity on traffic dynamics in the ACC strategy. Phys. A Stat. Mech. Appl. 2019, 515, 446–455. [Google Scholar] [CrossRef]
  26. Tang, T.Q.; Li, C.Y.; Huang, H.J. A new car-following model with the consideration of the driver’s forecast effect. Phys. Lett. Sect. A Gen. At. Solid State Phys. 2010, 374, 3951–3956. [Google Scholar] [CrossRef]
  27. Yu, S.; Tang, J.; Xin, Q. Relative velocity difference model for the car-following theory. Nonlinear Dyn. 2018, 91, 1415–1428. [Google Scholar] [CrossRef]
  28. Chen, C.; Cheng, R.; Ge, H. An extended car-following model considering driver’s sensory memory and the backward looking effect. Phys. A Stat. Mech. Appl. 2019, 525, 278–289. [Google Scholar] [CrossRef]
  29. Li, T.; Hui, F.; Zhao, X. An improved car-following model considering the impact of safety messages. Mod. Phys. Lett. B 2018, 32, 32. [Google Scholar] [CrossRef]
  30. Sun, Y.; Ge, H.; Cheng, R. An extended car-following model under V2V communication environment and its delayed-feedback control. Phys. A Stat. Mech. Appl. 2018, 508, 349–358. [Google Scholar] [CrossRef]
  31. Saifuzzaman, M.; Zheng, Z. Incorporating human-factors in car-following models: A review of recent developments and research needs. Transp. Res. Part C Emerg. Technol. 2014, 48, 379–403. [Google Scholar] [CrossRef]
  32. Ou, H.; Tang, T.Q. An extended two-lane car-following model accounting for inter-vehicle communication. Phys. A Stat. Mech. Appl. 2018, 495, 260–268. [Google Scholar] [CrossRef]
  33. Li, Z.; Li, W.; Xu, S.; Qian, Y. Stability analysis of an extended intelligent driver model and its simulations under open boundary condition. Phys. A Stat. Mech. Appl. 2015, 419, 526–536. [Google Scholar] [CrossRef]
  34. Zhao, J.; Li, P. An extended car-following model with consideration of vehicle to vehicle communication of two conflicting streams. Phys. A Stat. Mech. Appl. 2017, 473, 178–187. [Google Scholar] [CrossRef]
  35. Xin, Q.; Fu, R.; Yuan, W.; Liu, Q.; Yu, S. Predictive intelligent driver model for eco-driving using upcoming traffic signal information. Phys. A Stat. Mech. Appl. 2018, 508, 806–823. [Google Scholar] [CrossRef]
  36. Zhu, W.; Zhang, L. A new car-following model for autonomous vehicles flow with mean expected velocity field. Phys. A Stat. Mech. Appl. 2018, 492, 2154–2165. [Google Scholar]
  37. Talebpour, A.; Mahmassani, H.S. Influence of connected and autonomous vehicles on traffic flow stability and throughput. Transp. Res. Part C Emerg. Technol. 2016, 71, 143–163. [Google Scholar] [CrossRef]
  38. Jia, D.; Ngoduy, D. Enhanced cooperative car-following traffic model with the combination of V2V and V2I communication. Transp. Res. Part B Methodol. 2016, 90, 172–191. [Google Scholar] [CrossRef]
  39. Jia, D.; Ngoduy, D. Platoon based cooperative driving model with consideration of realistic inter-vehicle communication. Transp. Res. Part C Emerg. Technol. 2016, 68, 245–264. [Google Scholar] [CrossRef]
  40. Hua, X.D.; Wang, W.; Wang, H. A car-following model with the consideration of vehicle-to-vehicle communication technology. Wuli Xuebao/Acta Phys. Sin. 2016, 65, 010502. [Google Scholar]
Figure 1. Critical stability curves for various parameter values: (a) λ = 0.1, p = 0.1, m = 3; (b) λ = 0.1, β = 0.1, m = 3; (c) λ = 0.1, β = 0.1, p = 0.1.
Figure 1. Critical stability curves for various parameter values: (a) λ = 0.1, p = 0.1, m = 3; (b) λ = 0.1, β = 0.1, m = 3; (c) λ = 0.1, β = 0.1, p = 0.1.
Applsci 10 01268 g001
Figure 2. The critical stability curves for different model: the parameters of the full velocity difference (FVD) model are λ = 0.1, β = 0, p = 0; the parameters of the density and acceleration velocity difference (DAVD) model are λ = 0.1, β = 0.05, p = 0.05.
Figure 2. The critical stability curves for different model: the parameters of the full velocity difference (FVD) model are λ = 0.1, β = 0, p = 0; the parameters of the density and acceleration velocity difference (DAVD) model are λ = 0.1, β = 0.05, p = 0.05.
Applsci 10 01268 g002
Figure 3. Evolution of space-time evolution in headway for different parameters.: (a,b) β = 0, p = 0, m = 1; (c,d) β = 0.1, p = 0.1, m = 1; (e,f) β = 0.2, p = 0.2, m = 5.
Figure 3. Evolution of space-time evolution in headway for different parameters.: (a,b) β = 0, p = 0, m = 1; (c,d) β = 0.1, p = 0.1, m = 1; (e,f) β = 0.2, p = 0.2, m = 5.
Applsci 10 01268 g003
Figure 4. Standard deviation values of velocity distributions simulated by various parameter values: (a) β = 0, p = 0, m = 1; (b) β = 0.1, p = 0.1, m = 1; (c) β = 0.2, p = 0.2, m = 5.
Figure 4. Standard deviation values of velocity distributions simulated by various parameter values: (a) β = 0, p = 0, m = 1; (b) β = 0.1, p = 0.1, m = 1; (c) β = 0.2, p = 0.2, m = 5.
Applsci 10 01268 g004
Figure 5. Standard deviation of the velocity of each car simulated with various parameter values.
Figure 5. Standard deviation of the velocity of each car simulated with various parameter values.
Applsci 10 01268 g005
Figure 6. Hysteresis loops of traffic flow.
Figure 6. Hysteresis loops of traffic flow.
Applsci 10 01268 g006
Figure 7. Evolution of headway with non-uniform vehicle distribution: the parameters of the DAVD model is β = 0.2, p = 0.2, m = 5.
Figure 7. Evolution of headway with non-uniform vehicle distribution: the parameters of the DAVD model is β = 0.2, p = 0.2, m = 5.
Applsci 10 01268 g007aApplsci 10 01268 g007b
Figure 8. Evolution of the velocity standard deviation with large experimental scales.
Figure 8. Evolution of the velocity standard deviation with large experimental scales.
Applsci 10 01268 g008

Share and Cite

MDPI and ACS Style

Cao, X.; Wang, J.; Chen, C. A Modified Car-following Model Considering Traffic Density and Acceleration of Leading Vehicle. Appl. Sci. 2020, 10, 1268. https://doi.org/10.3390/app10041268

AMA Style

Cao X, Wang J, Chen C. A Modified Car-following Model Considering Traffic Density and Acceleration of Leading Vehicle. Applied Sciences. 2020; 10(4):1268. https://doi.org/10.3390/app10041268

Chicago/Turabian Style

Cao, Xudong, Jianjun Wang, and Chenchen Chen. 2020. "A Modified Car-following Model Considering Traffic Density and Acceleration of Leading Vehicle" Applied Sciences 10, no. 4: 1268. https://doi.org/10.3390/app10041268

APA Style

Cao, X., Wang, J., & Chen, C. (2020). A Modified Car-following Model Considering Traffic Density and Acceleration of Leading Vehicle. Applied Sciences, 10(4), 1268. https://doi.org/10.3390/app10041268

Note that from the first issue of 2016, this journal uses article numbers instead of page numbers. See further details here.

Article Metrics

Back to TopTop