Multi-Temporal Land Cover Change Mapping Using Google Earth Engine and Ensemble Learning Methods
Abstract
1. Introduction
- To acquire the median composite imagery and their three derivative indices for the years 2010 and 2020 using GEE;
- To map and evaluate the accuracies of the LC changes using RF and XGBoost ELMs;
- To compare the accuracy and identify the best performing method for mapping LC;
- To quantify and validate the LC changes in Kaski District, Nepal.
2. Study Area and Data
2.1. Study Area
2.2. Data
2.2.1. Satellite Data
2.2.2. Spectral Indices
- 1.
- NDVI is the normalized difference between the NIR band and the red band. NIR bands are more sensitive to vegetation [58] and are used to perceive the vegetation’s richness. It is calculated as shown in Equation (1).
- 2.
- 2.
- MNDWI is the normalized difference between SWIR1 and green bands. It accurately segregates the water body mitigating the built-up noise [61]. It is calculated as shown in Equation (3).
2.2.3. LC Label Scheme
2.2.4. Reference Data
3. Methodology
3.1. Ensemble Learning Methods
3.1.1. Random Forest Algorithm
3.1.2. Extreme Gradient Boosting Algorithm
3.2. Accuracy Assessment
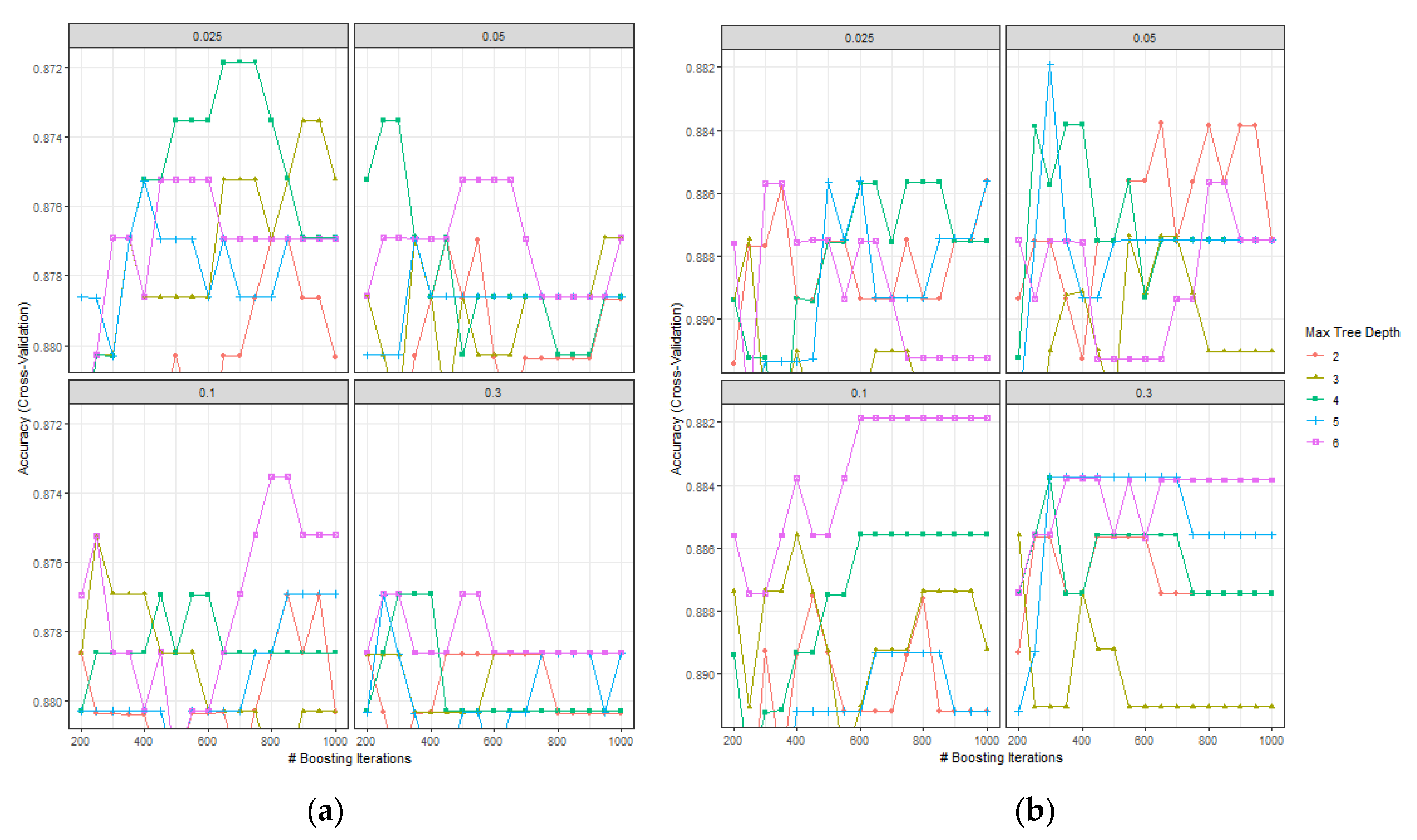
4. Results
5. Discussion
Author Contributions
Funding
Conflicts of Interest
Appendix A


| Year | 2010 | 2020 |
|---|---|---|
| nrounds | 200 | 200 |
| eta | 0.0025 | 0.1 |
| max_depth | 2 | 2 |
| Imagery | RF Classifier Reference | XGBoost Classifier Reference | |||||||||
|---|---|---|---|---|---|---|---|---|---|---|---|
| 1 | 2 | 3 | 4 | 5 | 1 | 2 | 3 | 4 | 5 | ||
| Landsat 5 (2010) Prediction | 1 | 0 | 0 | 0 | 0 | 1 | 0 | 0 | 0 | 1 | 0 |
| 2 | 0 | 7 | 0 | 1 | 3 | 0 | 8 | 0 | 1 | 0 | |
| 3 | 0 | 0 | 44 | 0 | 0 | 0 | 0 | 46 | 1 | 1 | |
| 4 | 1 | 2 | 2 | 35 | 0 | 1 | 1 | 1 | 32 | 1 | |
| 5 | 2 | 1 | 1 | 4 | 46 | 2 | 1 | 0 | 5 | 47 | |
| Landsat 8 (2020) Prediction | 1 | 4 | 0 | 0 | 1 | 3 | 5 | 0 | 0 | 2 | 3 |
| 2 | 2 | 8 | 0 | 4 | 0 | 1 | 8 | 0 | 3 | 0 | |
| 3 | 0 | 0 | 48 | 2 | 0 | 0 | 0 | 47 | 2 | 0 | |
| 4 | 1 | 0 | 1 | 36 | 0 | 1 | 0 | 2 | 35 | 1 | |
| 5 | 2 | 0 | 0 | 1 | 23 | 2 | 0 | 0 | 2 | 22 | |
References
- Bothara, J.; Ingham, J.; Dizhur, D. Earthquake risk reduction efforts in Nepal. In Integrating Disaster Science and Management; Elsevier: Amsterdam, The Netherlands, 2018; pp. 177–203. ISBN 9780128120569. [Google Scholar] [CrossRef]
- United Nations Department of Economic and Social Affairs Least Developed Country Category: Nepal Profile Department of Economic and Social Affairs. Available online: https://www.un.org/development/desa/dpad/least-developed-country-category-nepal.html (accessed on 10 October 2020).
- Subedi, S.; Bahadur Poudyal Chhetri, M. Impacts of the 2015 Gorkha Earthquake: Lessons Learnt from Nepal. Earthq. Impact Community Vulnerability Resil. 2019, 38. [Google Scholar] [CrossRef]
- Acharya, T.D.; Lee, D.H. Landslide Susceptibility Mapping using Relative Frequency and Predictor Rate along Araniko Highway. KSCE J. Civ. Eng. 2019, 23, 763–776. [Google Scholar] [CrossRef]
- Morell, K.D.; Sandiford, M.; Rajendran, C.P.; Rajendran, K.; Alimanovic, A.; Fink, D.; Sanwal, J. Geomorphology reveals active décollement geometry in the central Himalayan seismic gap. Lithosphere 2015, 7, 247–256. [Google Scholar] [CrossRef]
- Parajuli, J.; Haynes, K.E. Transportation network analysis in Nepal: A step toward critical infrastructure protection. J. Transp. Secur. 2018, 11, 101–116. [Google Scholar] [CrossRef]
- Venkatesh, K.; Ramesh, H. Impact of land use land cover change on run off generation in Tungabhadra river basin. ISPRS Ann. Photogramm. Remote Sens. Spat. Inf. Sci. 2018, 4, 367–374. [Google Scholar] [CrossRef]
- Subedi, A.; Poudel, P.; Acharya, T.D. Temporal shift of bagmati river over 25 years using landsat. In Proceedings of the International Archives of the Photogrammetry, Remote Sensing and Spatial Information Sciences—ISPRS Archives, Dhulikhel, Nepal, 10–11 December 2019; Volume 42, pp. 137–141. [Google Scholar]
- Venkatesh, K.; Ramesh, H.; Das, P. Modelling stream flow and soil erosion response considering varied land practices in a cascading river basin. J. Environ. Manag. 2020, 264, 110448. [Google Scholar] [CrossRef]
- Wagle, N.; Acharya, T.D. Past and present practices of topographic base map database update in Nepal. ISPRS Int. J. Geo-Inf. 2020, 9, 397. [Google Scholar] [CrossRef]
- Pang, R.; Huang, H.; Acharya, T.D. Spatiotemporal changes of riverbed and surrounding environment in Yongding river (Beijing section) in the past 40 years. J. Imaging Sci. Technol. 2020, 64. [Google Scholar] [CrossRef]
- Henderson-Sellers, A. (Ed.) Chapter 12 Human effects on climate through the large-scale impacts of land-use change. In World Survey of Climatology; Elsevier: Amsterdam, The Netherlands, 1995; Volume 16, pp. 433–475. ISBN 0168-6321. [Google Scholar]
- Acharya, T.D.; Lee, D.H. Remote Sensing and Geospatial Technologies for Sustainable Development: A Review of Applications. Sensors Mater. 2019, 31, 3931. [Google Scholar] [CrossRef]
- Pandey, P.C.; Koutsias, N.; Petropoulos, G.P.; Srivastava, P.K.; Ben Dor, E. Land use/land cover in view of earth observation: Data sources, input dimensions, and classifiers—A review of the state of the art. Geocarto Int. 2019, 1–32. [Google Scholar] [CrossRef]
- Acharya, T.D.; Yang, I.T.; Lee, D.H. Land Cover Classification of Imagery from Landsat Operational Land Imager Based on Optimum Index Factor. Sensors Mater. 2018, 30, 1753. [Google Scholar] [CrossRef]
- Mayaux, P.; Eva, H.; Brink, A.; Achard, F.; Belward, A. Remote Sensing of Land-Cover and Land-Use Dynamics. In Earth Observation of Global Change: The Role of Satellite Remote Sensing in Monitoring the Global Environment; Springer: Dordrecht, The Netherlands, 2008; pp. 85–108. ISBN 9781402063572. [Google Scholar]
- Wulder, M.A.; White, J.C.; Goward, S.N.; Masek, J.G.; Irons, J.R.; Herold, M.; Cohen, W.B.; Loveland, T.R.; Woodcock, C.E. Landsat continuity: Issues and opportunities for land cover monitoring. Remote Sens. Environ. 2008, 112, 955–969. [Google Scholar] [CrossRef]
- Alam, A.; Bhat, M.S.; Maheen, M. Using Landsat satellite data for assessing the land use and land cover change in Kashmir valley. GeoJournal 2019, 0123456789. [Google Scholar] [CrossRef]
- Hansen, M.C.; Loveland, T.R. A review of large area monitoring of land cover change using Landsat data. Remote Sens. Environ. 2012, 122, 66–74. [Google Scholar] [CrossRef]
- Berhane, T.M.; Lane, C.R.; Mengistu, S.G.; Christensen, J.; Golden, H.E.; Qiu, S.; Zhu, Z.; Wu, Q. Land-cover changes to surface-water buffers in the midwestern USA: 25 years of landsat data analyses (1993–2017). Remote Sens. 2020, 12, 754. [Google Scholar] [CrossRef]
- Potapov, P.; Hansen, M.C.; Kommareddy, I.; Kommareddy, A.; Turubanova, S.; Pickens, A.; Adusei, B.; Tyukavina, A.; Ying, Q. Landsat analysis ready data for global land cover and land cover change mapping. Remote Sens. 2020, 12, 426. [Google Scholar] [CrossRef]
- Lin, Y.; Zhang, L.; Wang, N.; Zhang, X.; Cen, Y.; Sun, X. A change detection method using spatial-temporal-spectral information from Landsat images. Int. J. Remote Sens. 2020, 41, 772–793. [Google Scholar] [CrossRef]
- Rathnayake, W.M.C.; Jones, S.; Soto-Berelov, M. Mapping land cover change over a 25-year period (1993–2018) in Sri Lanka using landsat time-series. Land 2020, 9, 27. [Google Scholar] [CrossRef]
- Shi, X.; Deng, Z.; Ding, X.; Li, L. Land cover classification combining Sentinel-1 and Landsat 8 imagery driven by Markov random field with amendment reliability factors. Eurasip J. Wirel. Commun. Netw. 2020, 2020. [Google Scholar] [CrossRef]
- Damtea, W.; Kim, D.; Im, S. Spatiotemporal analysis of land cover changes in the chemoga basin, Ethiopia, using Landsat and google earth images. Sustainability 2020, 12, 3607. [Google Scholar] [CrossRef]
- Senf, C.; Laštovička, J.; Okujeni, A.; Heurich, M.; van der Linden, S. A generalized regression-based unmixing model for mapping forest cover fractions throughout three decades of Landsat data. Remote Sens. Environ. 2020, 240. [Google Scholar] [CrossRef]
- Ha, T.V.; Tuohy, M.; Irwin, M.; Tuan, P.V. Monitoring and mapping rural urbanization and land use changes using Landsat data in the northeast subtropical region of Vietnam. Egypt. J. Remote Sens. Sp. Sci. 2020, 23, 11–19. [Google Scholar] [CrossRef]
- Acharya, T.D.; Subedi, A.; Lee, D.H. Evaluation of machine learning algorithms for surface water extraction in a landsat 8 scene of nepal. Sensors (Switzerland) 2019, 19, 2769. [Google Scholar] [CrossRef] [PubMed]
- Acharya, T.D.; Subedi, A.; Lee, D.H. Evaluation of water indices for surface water extraction in a landsat 8 scene of Nepal. Sensors (Switzerland) 2018, 18, 2580. [Google Scholar] [CrossRef] [PubMed]
- Kulkarni, A.D.; Lowe, B. Random Forest Algorithm for Land Cover Classification. Int. J. Recent Innov. Trends Comput. Commun. 2016, 4, 58–63. [Google Scholar]
- Acharya, T.D.; Yang, I.T.; Lee, D.H. Land cover classification using a KOMPSAT-3A multi-spectral satellite image. Appl. Sci. 2016, 6, 371. [Google Scholar] [CrossRef]
- Brodley, C.E.; Friedl, M.A. Decision tree classification of land cover from remotely sensed data. Remote Sens. Environ. 1997, 61, 399–409. [Google Scholar] [CrossRef]
- Nomura, K.; Mitchard, E.T.A. More than meets the eye: Using Sentinel-2 to map small plantations in complex forest landscapes. Remote Sens. 2018, 10, 1693. [Google Scholar] [CrossRef]
- Xie, S.; Liu, L.; Zhang, X.; Yang, J.; Chen, X.; Gao, Y. Automatic land-cover mapping using landsat time-series data based on google earth engine. Remote Sens. 2019, 11, 3023. [Google Scholar] [CrossRef]
- Sidhu, N.; Pebesma, E.; Câmara, G. Using Google Earth Engine to detect land cover change: Singapore as a use case. Eur. J. Remote Sens. 2018, 51, 486–500. [Google Scholar] [CrossRef]
- Noi Phan, T.; Kuch, V.; Lehnert, L.W. Land cover classification using google earth engine and random forest classifier-the role of image composition. Remote Sens. 2020, 12, 2411. [Google Scholar] [CrossRef]
- Oliphant, A.J.; Thenkabail, P.S.; Teluguntla, P.; Xiong, J.; Gumma, M.K.; Congalton, R.G.; Yadav, K. Mapping cropland extent of Southeast and Northeast Asia using multi-year time-series Landsat 30-m data using a random forest classifier on the Google Earth Engine Cloud. Int. J. Appl. Earth Obs. Geoinf. 2019, 81, 110–124. [Google Scholar] [CrossRef]
- Phalke, A.R.; Özdoğan, M.; Thenkabail, P.S.; Erickson, T.; Gorelick, N.; Yadav, K.; Congalton, R.G. Mapping croplands of Europe, Middle East, Russia, and Central Asia using Landsat, Random Forest, and Google Earth Engine. ISPRS J. Photogramm. Remote Sens. 2020, 167, 104–122. [Google Scholar] [CrossRef]
- Li, Q.; Qiu, C.; Ma, L.; Schmitt, M.; Zhu, X.X. Mapping the land cover of africa at 10 m resolution from multi-source remote sensing data with google earth engine. Remote Sens. 2020, 12, 602. [Google Scholar] [CrossRef]
- Zeng, H.; Wu, B.; Wang, S.; Musakwa, W.; Tian, F.; Mashimbye, Z.E.; Poona, N.; Syndey, M. A Synthesizing Land-cover Classification Method Based on Google Earth Engine: A Case Study in Nzhelele and Levhuvu Catchments, South Africa. Chin. Geogr. Sci. 2020, 30, 397–409. [Google Scholar] [CrossRef]
- Shelestov, A.; Lavreniuk, M.; Kussul, N.; Novikov, A.; Skakun, S. Exploring Google earth engine platform for big data processing: Classification of multi-temporal satellite imagery for crop mapping. Front. Earth Sci. 2017, 5, 1–10. [Google Scholar] [CrossRef]
- Abdi, A.M. Land cover and land use classification performance of machine learning algorithms in a boreal landscape using Sentinel-2 data. GIScience Remote Sens. 2020, 57, 1–20. [Google Scholar] [CrossRef]
- Jamali, A. Land use land cover modeling using optimized machine learning classifiers: A case study of Shiraz, Iran. Model. Earth Syst. Environ. 2020. [Google Scholar] [CrossRef]
- Talukdar, S.; Singha, P.; Mahato, S.; Shahfahad; Pal, S.; Liou, Y.A.; Rahman, A. Land-use land-cover classification by machine learning classifiers for satellite observations-A review. Remote Sens. 2020, 12, 1135. [Google Scholar] [CrossRef]
- Breiman, L. Arcing classifiers. Ann. Stat. 1998, 26. [Google Scholar] [CrossRef]
- Breiman, L. Bagging predictors. Mach. Learn. 1996, 24. [Google Scholar] [CrossRef]
- Nurfadila, J.S.; Baja, S.; Neswati, R.; Rukmana, D.; Zylshal, Z. Initial Results on Landuse/Landcover Classification Using Pixel-Based Random Forest Algorithm on Sentinel-2 Imagery over Enrekang Region. In Proceedings of the IOP Conference Series: Earth and Environmental Science, Kyoto, Japan, 17–21 September 2019; Volume 280. [Google Scholar]
- Georganos, S.; Grippa, T.; Vanhuysse, S.; Lennert, M.; Shimoni, M.; Wolff, E. Very High Resolution Object-Based Land Use-Land Cover Urban Classification Using Extreme Gradient Boosting. IEEE Geosci. Remote Sens. Lett. 2018, 15, 607–611. [Google Scholar] [CrossRef]
- Isaac, E.; Easwarakumar, K.S.; Isaac, J. Urban landcover classification from multispectral image data using optimized AdaBoosted random forests. Remote Sens. Lett. 2017, 8. [Google Scholar] [CrossRef]
- GENESIS Consultancy Pvt. Ltd. Report on Impact of Settlement Pattern, Land–Use Practice and Options in High Risk Areas, Pokhara Sub-Metropolitan City; Report for UNDP/ERRRP UNDP/ERRRP’s Earthquake Risk Reduction and Recovery Preparedness Program for Nepal; GENESIS Consultancy Pvt. Ltd.: Lalitpur, Nepal, 2009. [Google Scholar]
- U.S. Geological Survey. Landsat 8 Data Users Handbook; U.S. Geological Survey: Reston, VA, USA, 2016; Volume 8. [Google Scholar]
- USGS Landsat Mission- Landsat 5. Available online: https://www.usgs.gov/core-science-systems/nli/landsat/landsat-5?qt-science_support_page_related_con=0#qt-science_support_page_related_con (accessed on 10 October 2020).
- Landsat 4-7 Surface Reflectance Quality Assessment. Available online: https://www.usgs.gov/core-science-systems/nli/landsat/landsat-4-7-surface-reflectance-quality-assessment?qt-science_support_page_related_con=1#qt-science_support_page_related_con (accessed on 10 October 2020).
- USGS Landsat Surface Reflectance Quality Assessment. Available online: https://landsat.usgs.gov/landsat-surface-reflectance-quality-assessment (accessed on 10 October 2020).
- USGS CFMask Algorithm. Available online: https://www.usgs.gov/land-resources/nli/landsat/cfmask-algorithm (accessed on 10 October 2020).
- Hennig, T.A.; Kretsch, J.L.; Pessagno, C.J.; Salamonowicz, P.H.; Stein, W.L. The shuttle radar topography mission. Lect. Notes Comput. Sci. (Incl. Subser. Lect. Notes Artif. Intell. Lect. Notes Bioinform.) 2001, 2181, 65–77. [Google Scholar] [CrossRef]
- Farr, T.G.; Rosen, P.A.; Caro, E.; Crippen, R.; Duren, R.; Hensley, S.; Kobrick, M.; Paller, M.; Rodriguez, E.; Roth, L.; et al. The shuttle radar topography mission. Rev. Geophys. 2007, 45. [Google Scholar] [CrossRef]
- Measuring Vegetation (NDVI & EVI). Available online: https://earthobservatory.nasa.gov/features/MeasuringVegetation/measuring_vegetation_2.php (accessed on 10 October 2020).
- Macarof, P.; Statescu, F. Comparasion of NDBI and NDVI as Indicators of Surface Urban Heat Island Effect in Landsat 8 Imagery: A Case Study of Iasi. Present Environ. Sustain. Dev. 2017, 11, 141–150. [Google Scholar] [CrossRef]
- Krishna, H. Study of normalized difference built-up (NDBI) index in automatically mapping urban areas from Landsat TM imagery. Int. J. Eng. Sci. 2018, 7, 1–8. [Google Scholar]
- Feyisa, G.L.; Meilby, H.; Fensholt, R.; Proud, S.R. Automated Water Extraction Index: A new technique for surface water mapping using Landsat imagery. Remote Sens. Environ. 2014, 140, 23–35. [Google Scholar] [CrossRef]
- Breiman, L. Random forests. Mach. Learn. 2001, 45, 5–32. [Google Scholar] [CrossRef]
- Chen, T.; Guestrin, C. XGBoost: A scalable tree boosting system. In Proceedings of the 22nd ACM Sigkdd International Conference on Knowledge Discovery and Data Mining, 13–17 August 2016; pp. 785–794. [Google Scholar] [CrossRef]
- Rwanga, S.S.; Ndambuki, J.M. Accuracy Assessment of Land Use/Land Cover Classification Using Remote Sensing and GIS. Int. J. Geosci. 2017, 8, 611–622. [Google Scholar] [CrossRef]
- Cohen, J. A Coefficient of Agreement for Nominal Scales. Educ. Psychol. Meas. 1960, 20, 37–46. [Google Scholar] [CrossRef]
- Sasaki, Y. The truth of the F-measure The truth of the F-measure. Teach Tutor Mater 2015, 1–6. Available online: https://www.cs.odu.edu/~mukka/cs795sum09dm/Lecturenotes/Day3/F-measure-YS-26Oct07.pdf (accessed on 10 October 2020).
- Powers, D. Ailab Evaluation: From precision, recall and F-measure to ROC, informedness, markedness & correlation. J. Mach. Learn. Technol 2011, 2, 2229–3981. [Google Scholar] [CrossRef]
- Cuba, N. Research note: Sankey diagrams for visualizing land cover dynamics. Landsc. Urban Plan. 2015, 139, 163–167. [Google Scholar] [CrossRef]
- Uddin, K.; Shrestha, H.L.; Murthy, M.S.R.; Bajracharya, B.; Shrestha, B.; Gilani, H.; Pradhan, S.; Dangol, B. Development of 2010 national land cover database for the Nepal. J. Environ. Manag. 2015, 148, 82–90. [Google Scholar] [CrossRef] [PubMed]











| S. No. | Landsat 5 Bands | Landsat 8 Bands | Wavelength Range | Band Name |
|---|---|---|---|---|
| 1 | B1 | 0.435–0.451 | Coastal Aerosol | |
| 2 | B1 | B2 | 0.452–0.512 | Blue |
| 3 | B2 | B3 | 0.533–0.590 | Green |
| 4 | B3 | B4 | 0.636–0.673 | Red |
| 5 | B4 | B5 | 0.851–0.879 | NIR |
| 6 | B5 | B6 | 1.566–1.651 | SWIR1 |
| 7 | B7 | B7 | 2.107–2.294 | SWIR2 |
| 8 | Pixel_QA | Pixel_QA 1 |
| LC Label | LC Class |
|---|---|
| 1 | built-up |
| 2 | Water |
| 3 | Forest |
| 4 | Rocky/barren |
| 5 | Cultivation |
| Unlabeled (masked) | Snow 1 |
| Predicted | Reference | |
|---|---|---|
| Event | No Event | |
| event | A | B |
| No event | C | D |
| 2010 LC Maps | 2020 LC Maps | |||
|---|---|---|---|---|
| RF Classifier | XGBoost Classifier | RF Classifier | XGBoost Classifier | |
| Overall accuracy | 0.8792 | 0.8926 | 0.875 | 0.8603 |
| Kappa | 0.8305 | 0.8483 | 0.8289 | 0.8088 |
| No information rate | 0.3289 | 0.3289 | 0.3603 | 0.3603 |
| 2010 LC Maps | 2020 LC Maps | |||||||
|---|---|---|---|---|---|---|---|---|
| RF Classifier | XGBoost Classifier | RF Classifier | XGBoost Classifier | |||||
| Accuracy Matrices | F1 Score | Producer Accuracy | F1 Score | Producer Accuracy | F1 Score | Producer Accuracy | F1 Score | Producer Accuracy |
| Built-up | NaN | 0 | NaN | 0.00 | 0.47 | 0.44 | 0.53 | 0.56 |
| Water | 0.67 | 0.70 | 0.84 | 0.80 | 0.73 | 1.00 | 0.80 | 1.00 |
| Forest | 0.97 | 0.93 | 0.97 | 0.98 | 0.97 | 0.98 | 0.96 | 0.96 |
| Rocky/barren | 0.88 | 0.88 | 0.84 | 0.80 | 0.88 | 0.82 | 0.84 | 0.78 |
| Cultivation | 0.88 | 0.92 | 0.90 | 0.96 | 0.88 | 0.88 | 0.84 | 0.84 |
Publisher’s Note: MDPI stays neutral with regard to jurisdictional claims in published maps and institutional affiliations. |
© 2020 by the authors. Licensee MDPI, Basel, Switzerland. This article is an open access article distributed under the terms and conditions of the Creative Commons Attribution (CC BY) license (http://creativecommons.org/licenses/by/4.0/).
Share and Cite
Wagle, N.; Acharya, T.D.; Kolluru, V.; Huang, H.; Lee, D.H. Multi-Temporal Land Cover Change Mapping Using Google Earth Engine and Ensemble Learning Methods. Appl. Sci. 2020, 10, 8083. https://doi.org/10.3390/app10228083
Wagle N, Acharya TD, Kolluru V, Huang H, Lee DH. Multi-Temporal Land Cover Change Mapping Using Google Earth Engine and Ensemble Learning Methods. Applied Sciences. 2020; 10(22):8083. https://doi.org/10.3390/app10228083
Chicago/Turabian StyleWagle, Nimisha, Tri Dev Acharya, Venkatesh Kolluru, He Huang, and Dong Ha Lee. 2020. "Multi-Temporal Land Cover Change Mapping Using Google Earth Engine and Ensemble Learning Methods" Applied Sciences 10, no. 22: 8083. https://doi.org/10.3390/app10228083
APA StyleWagle, N., Acharya, T. D., Kolluru, V., Huang, H., & Lee, D. H. (2020). Multi-Temporal Land Cover Change Mapping Using Google Earth Engine and Ensemble Learning Methods. Applied Sciences, 10(22), 8083. https://doi.org/10.3390/app10228083

