Optical Wave Guiding and Spectral Properties of Micro/Nanofibers Used for Quantum Sensing and Quantum Light Generation
Abstract
1. Introduction
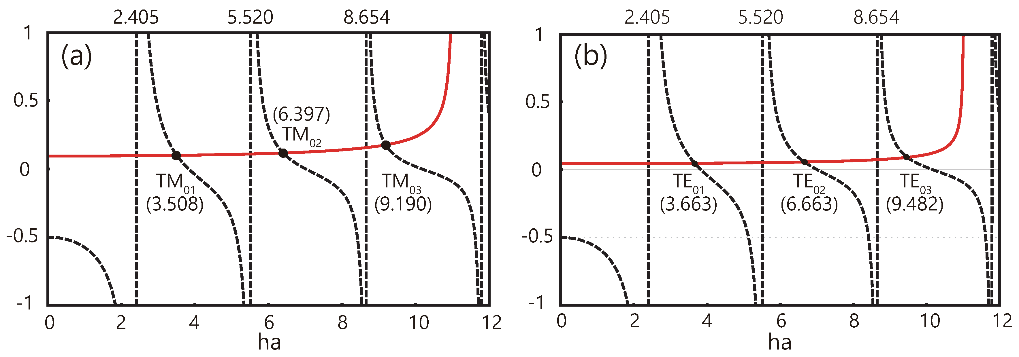
2. Light Propagation in Step-Index Cylindrical Wires
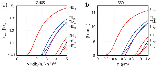
3. Propagation Constant and Fundamental Mode HE
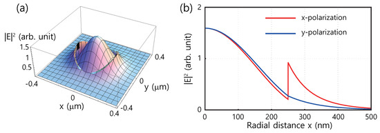
4. Fraction of Power Propagating Inside and Outside a Micro/Nanofiber
5. Group Velocity and Group Velocity Dispersion (GVD)
6. Spontaneous Four-Wave Mixing (SFWM)
7. Joint Spectrum
8. Conclusions
Author Contributions
Funding
Conflicts of Interest
References
- Snyder, A.W.; Love, J.D. Optical Waveguide Theory; Chapman and Hall: New Tork, NY, USA, 1983. [Google Scholar]
- Tong, L.; Gattass, R.; Ashcom, J.B.; He, S.; Lou, J.; Shen, M.; Maxwell, I.; Mazur, E. Subwavelength-diameter silica wires for low-loss optical wave guiding. Nature 2003, 426, 816–819. [Google Scholar] [CrossRef] [PubMed]
- Tong, L.; Lou, J.; Mazur, E. Single-mode guiding properties of subwavelength-diameter silica and silicon wire waveguides. Opt. Express 2004, 12, 1025–1035. [Google Scholar] [CrossRef] [PubMed]
- Tong, L.; Sumetsky, M. Subwavelength and Nanometer Diameter Optical Fiber; Springer: Dordrecht, The Netherlands, 2009. [Google Scholar]
- Aksenov, V.A.; Voloshin, V.V.; Vorob’ev, I.L. Losses in single-mode optical fibers occuring in isolated bends of small radius: Rectangular profile of refractive index. J. Commun. Technol. Electron. 2004, 49, 690–698. [Google Scholar]
- Tong, L.; Hu, L.; Zhang, J.; Qiu, J.; Yang, Q.; Lou, J.; Shen, Y.; He, J.; Ye, Z. Photonic nanowires directly drawn from bulk glasses. Opt. Express 2006, 14, 82–87. [Google Scholar] [CrossRef] [PubMed]
- Chen, Y.; Zheng, R.; Lu, Y.; Ming, H. Fiber-optic surface plasmon resonant sensor with low-index anti-oxidation coating. Chin. Opt. Express 2011, 9, 100605. [Google Scholar] [CrossRef]
- Jing, J.Y.; Wang, Q.; Wang, B.T. Refractive index sensing characteristics of Carbon nanotube-deposited photonic crystal fiber SPR sensor. Opt. Fiber Technol. 2018, 43, 137–144. [Google Scholar] [CrossRef]
- Polynkin, P.; Polynkin, A.; Peyghambarian, N.; Mansuripur, M. Evanescent field-based optical fiber sensing device for measuring the refractive index of liquid in microfluidic channels. Opt. Lett. 2005, 30, 1273–1275. [Google Scholar] [CrossRef]
- Kien, F.L.; Balykin, V.I.; Hakuta, K. Scattering of an evanescent light field by a single cesium atom near a nanofiber. Phys. Rev. A 2006, 73, 013819. [Google Scholar] [CrossRef]
- Nayak, K.P.; Melentiev, P.N.; Morinaga, M.; Kien, F.L.; Balykin, V.I.; Hakuta, K. Optical nanofiber as an efficient tool for manipulating and probing atomic fluorescence. Opt. Express 2007, 15, 5431–5438. [Google Scholar] [CrossRef]
- Sagúe, G.; Vetsch, E.; Alt, W.; Meschede, D.; Rauschenbeutel, A. Cold-Atom Physics Using Ultrathin Optical Fibers: Light-Induced Dipole Forces and Surface Interactions. Phys. Rev. Lett. 2007, 99, 163602. [Google Scholar] [CrossRef]
- Sagúe, G.; Baade, A.; Rauschenbeutel, A. Blue-detuned evanescent field surface traps for neutral atoms based on mode interference in ultra-thin optical fibres. New J. Phys. 2008, 10, 113008. [Google Scholar] [CrossRef]
- Lou, J.; Tong, L.; Ye, Z. Modeling of silica nanowires for optical sensing. Opt. Express 2005, 13, 2135–2140. [Google Scholar] [CrossRef] [PubMed]
- Brambilla, G.; Xu, F.; Horak, P.; Jung, Y.; Koizumi, F.; Sessions, N.; Koukharenko, E.; Feng, X.; Murugan, G.; Wilkinson, J.; et al. Optical fiber nanowires and microwires: Fabrication and applications. Adv. Opt. Photonics 2009, 1, 107–161. [Google Scholar] [CrossRef]
- Brambilla, G. Optical Microfibre Devices. Opt. Laser Technol. 2016, 78, 76–80. [Google Scholar] [CrossRef]
- Zhang, L.; Lou, J.; Tong, L. Micro/nanofiber optical sensors. Photon. Sens. 2011, 1, 31–42. [Google Scholar] [CrossRef]
- Zhang, H.; Wang, S.; Gong, Y.; Liu, T.; Xu, T.; Zhang, Y. A Quantitative Robustness Evaluation Model for Optical Fiber Sensor Networks. J. Light. Technol. 2013, 31, 1240–1246. [Google Scholar] [CrossRef]
- Wang, Q.; Zhao, W.M. Comprehensive Review of Lossy Mode Resonance-based Fiber Optic Sensors. Opt. Laser. Eng. 2018, 100, 47–60. [Google Scholar] [CrossRef]
- Qian, Y.; Zhao, Y.; Wu, Q.L.; Yang, Y. Review of Salinity Measurement Technology Based on Optical Fiber Sensors. Sens. Actuators B Chem. 2018, 260, 86–105. [Google Scholar] [CrossRef]
- Guo, X.; Ying, Y.B.; Tong, L. Photonic nanowires: From subwavelength waveguides to optical sensors. Acc. Chem. Res. 2014, 47, 656–666. [Google Scholar] [CrossRef]
- Yan, S.C.; Xu, F. A review on optical microfibers in fluidic applications. J. Micromech. Microeng. 2017, 27, 093001. [Google Scholar] [CrossRef]
- Tong, L. Micro/nanofibre optical sensors: Challenges and prospects. Sensor 2018, 18, 903. [Google Scholar] [CrossRef] [PubMed]
- Kien, F.L.; Balykin, V.I.; Hakuta, K. Atom trap and waveguide using a two-color evanescent light field around a subwavelength-diameter optical fiber. Phys. Rev. A 2004, 70, 063403. [Google Scholar] [CrossRef]
- Murugan, G.S.; Brambilla, G.; Wilkinson, J.S.; Richardson, D.J. Optical propulsion of individual and clustered microspheres along sub-micron optical wires. Jpn. J. Appl. Phys. 2006, 47, 6716. [Google Scholar] [CrossRef]
- Huang, K.; Yang, S.; Tong, L. Modeling of evanescent coupling between two parallel optical nanowires. Appl. Opt. 2007, 46, 1429–1434. [Google Scholar] [CrossRef] [PubMed]
- Kien, F.L.; Gupta, S.D.; Nayak, K.P. Nanofiber-mediated radiative transfer between two distant atoms. Phys. Rev. A 2005, 72, 063815. [Google Scholar] [CrossRef]
- Nayak, K.P.; Sadgrove, M.; Yalla, R.; Kien, F.L.; Hakuta, K. Nanofiber quantum photonics. J. Opt. 2018, 20, 073001. [Google Scholar] [CrossRef]
- Sumetsky, M.; Dulashko, Y.; Fini, J.M.; Hale, A.; DiGiovanni, D.J. The microfiber loop resonator: Theory, experiment, and application. J. Light. Technol. 2006, 24, 242. [Google Scholar] [CrossRef]
- Xu, F.; Brambilla, G. Demonstration of a refractometric sensor based on optical microfiber coil resonator. Appl. Phys. Lett. 2008, 92, 101126. [Google Scholar] [CrossRef]
- Ding, M.; Wang, P.; Brambilla, G. A microfiber coupler tip thermometer. Opt. Express 2012, 20, 5402–5408. [Google Scholar] [CrossRef]
- Wiedemann, U.; Karapetyan, K.; Dan, C.; Alt, W.; Irsen, S.; Meschese, D. Measurement of Submicrometre Diameters of Tapered Optical Fibres Using Harmonic Generation. Opt. Express 2010, 18, 7693–7704. [Google Scholar] [CrossRef]
- Wang, F.; Wang, K.; Yao, C.; Jia, Z.; Wang, S.; Wu, C.; Qin, G.; Ohishi, Y.; Qin, W. Tapered Fluorotellurite Fibers for Broadband Supercontinuum Generation. Opt. Lett. 2016, 41, 634–637. [Google Scholar] [CrossRef] [PubMed]
- Coillet, A.; Grelu, P. Third-harmonic generation in optical microfibers: From silica experiments to highly nonlinear glass prospects. Opt. Commun. 2012, 285, 3493–3497. [Google Scholar] [CrossRef]
- Li, Y.H.; Zhao, Y.Y.; Wang, L.J. Demonstration of almost octavespanning cascaded four-wave mixing in optical microfibers. Opt. Lett. 2012, 37, 3441–3443. [Google Scholar] [CrossRef] [PubMed]
- Tang, S.-H.; Wu, Z.-W.; Xu, F.; Lu, Y.-Q. Simulation of optical microfiber strain sensors based on four-wave mixing. IEEE Sens. 2016, 16, 3068–3074. [Google Scholar] [CrossRef]
- Fan, J.; Dogariu, A.; Wang, L.J. Generation of correlated photon pairs in a microstructure fiber. Opt. Lett. 2005, 30, 1530–1532. [Google Scholar] [CrossRef] [PubMed]
- Alibart, O.; Fulconis, J.; Wong, G.K.L.; Murdoch, S.G.; Wadsworth, W.J.; Rarity, J.G. Photon pair generation using four-wave mixing in a microstructured fibre: Theory versus experiment. New J. Phys. 2006, 8, 67. [Google Scholar] [CrossRef]
- Takesue, H.; Inoue, K. 1.5-μm band quantum-correlated photon pair generation in dispersion-shifted fiber: Suppression of noise photons by cooling fiber. Opt. Express 2005, 13, 7832–7839. [Google Scholar] [CrossRef]
- Chen, J.; Li, X.; Kuma, P. Two-photon-state generation via four-wave mixing in optical fibers. Phys. Rev. A 2005, 72, 033801. [Google Scholar] [CrossRef]
- Park, K.; Lee, D.; Ihn, Y.S.; Kim, Y.-H.; Shin, H. Observation of photon-pair generation in the normal group-velocity-dispersion regime with slight detuning from the pump wavelength. New J. Phys. 2018, 20, 103004. [Google Scholar] [CrossRef]
- Cui, L.; Li, X.; Guo, C.; Li, Y.H.; Xu, Z.Y.; Wang, L.J.; Fang, W. Generation of correlated photon pairs in micro/nano-fibers. Opt. Lett. 2013, 38, 5063–5066. [Google Scholar] [CrossRef]
- Kim, J.-H.; Ihn, Y.S.; Kim, Y.-H.; Shin, H. Photon-pair source working in a silicon-based detector wavelength range using tapered micro/nanofibers. Opt. Lett. 2019, 44, 447–450. [Google Scholar] [CrossRef] [PubMed]
- Klocek, P. Handbook of Infrared Optical Materials; Marcel Dekker: New Tork, NY, USA, 1983. [Google Scholar]
- Sagúe, G. Cold Atom Physics Using Ultra-Thin Optical Fibers. Ph.D. Thesis, University of Bonn, Bonn, Germany, 2008. [Google Scholar]
- Yariv, A. Optical Electronics; Chapman and Hall: New Tork, NY, USA, 1991. [Google Scholar]
- Kien, F.L.; Liang, J.Q.; Hakuta, K.; Balykin, V.A. Field intensity distributions and polarization orientations in a vacuum-clad subwavelength-diameter optical fiber. Opt. Commun. 2004, 242, 445–455. [Google Scholar] [CrossRef]
- Hartung, A.; Brueckner, S.; Bartelt, H. Limits of light guidance in optical nanofiber. Opt. Express 2010, 18, 3754–3761. [Google Scholar] [CrossRef] [PubMed]
- Bures, J.; Ghosh, R. Power density of the evanescent field in the vicinity of a tapered fiber. J. Opt. Soc. Am. A 1999, 16, 1992–1996. [Google Scholar] [CrossRef]
- Manolatou, C.; Johnson, S.G.; Fan, S.; Villeneuve, P.R.; Haus, H.A.; Joannopoulos, J.D. High-density integrated optics. J. Light. Technol. 1999, 17, 1682. [Google Scholar] [CrossRef]
- Kakarantzas, G.; Dimmick, T.E.; Birks, T.A.; Roux, R.L.; Rusell, P.S. Miniature all-fiber devices based on CO2 laser microstructuring of tapered fibers. Opt. Lett. 2001, 26, 1137–1139. [Google Scholar] [CrossRef]
- Qi, Z.M.; Matsuda, N.; Itoh, K.; Murabayashi, M.; Lavers, C.R. A design for improving the sensitivity of a Mach-Zehnder interferometer to chemical and biological measurands. Sens. Actuat. 2002, B81, 254–258. [Google Scholar] [CrossRef]
- Son, G.; Han, S.; Park, J.; Kwon, K.; Yu, K. High-efficiency broadband light coupling between optical fibers and photonic integrated circuit. Nanophotonics 2018, 7, 1845–1864. [Google Scholar] [CrossRef]
- Saleh, B.E.A.; Teich, M.C. Fundamentals of Photonics; John Wiley and Sons: New Tork, NY, USA, 1991. [Google Scholar]
- Hong, C.K.; Ou, Z.Y.; Mandel, L. Measurement of subpicosecond time intervals between two photons by interference. Phys. Rev. Lett. 1987, 59, 2044. [Google Scholar] [CrossRef]
- Law, C.K.; Wamsley, I.A.; Eberly, J.H. Continuous frequency entanglement: Effective finite Hilbert space and entropy control. Phys. Rev. Lett. 2000, 84, 5304. [Google Scholar] [CrossRef]
- Lvovsky, A.I.; Wasilewski, W.; Banaszek, K. Decomposing a pulsed optical parametric amplifier into independent squeezer. Phys. Rev. Lett. 2007, 54, 721–733. [Google Scholar] [CrossRef]
- U’Ren, A.B.; Silberhorn, C.; Erdmann, R.; Banaszek, K.; Grice, W.P.; Walmsley, I.A.; Raymer, M.G. Generation of pure-state single-photon wavepackets by conditional preparation based on spontaneous parametric downconversion. arXiv 2006, arXiv:quant-ph/0611019. [Google Scholar]
- Mosley, P.J.; Lundeen, J.S.; Smith, B.J.; Wasylczyk, P.; U’Ren, A.B.; Silberhorn, C.; Walmsley, I.A. Heralded generation of ultrafast single photons in pure quantum states. Phys. Rev. Lett. 2008, 100, 133601. [Google Scholar] [CrossRef] [PubMed]
- Cohen, O.; Lundeen, J.S.; Smith, B.J.; Puentes, G.; Mosley, P.J.; Walmsley, I.A. Tailored photon-pair generation in optical fiber. Phys. Rev. Lett. 2009, 102, 123603. [Google Scholar] [CrossRef]
- Cohen, O. Generation of Uncorrelated Photon-Pairs in Optical Fibers. Ph.D. Thesis, University of Oxford, Oxford, UK, 2009. [Google Scholar]

















© 2020 by the authors. Licensee MDPI, Basel, Switzerland. This article is an open access article distributed under the terms and conditions of the Creative Commons Attribution (CC BY) license (http://creativecommons.org/licenses/by/4.0/).
Share and Cite
Ihn, Y.S.; Kim, Z.; Lee, S.-Y. Optical Wave Guiding and Spectral Properties of Micro/Nanofibers Used for Quantum Sensing and Quantum Light Generation. Appl. Sci. 2020, 10, 715. https://doi.org/10.3390/app10020715
Ihn YS, Kim Z, Lee S-Y. Optical Wave Guiding and Spectral Properties of Micro/Nanofibers Used for Quantum Sensing and Quantum Light Generation. Applied Sciences. 2020; 10(2):715. https://doi.org/10.3390/app10020715
Chicago/Turabian StyleIhn, Yong Sup, Zaeill Kim, and Su-Yong Lee. 2020. "Optical Wave Guiding and Spectral Properties of Micro/Nanofibers Used for Quantum Sensing and Quantum Light Generation" Applied Sciences 10, no. 2: 715. https://doi.org/10.3390/app10020715
APA StyleIhn, Y. S., Kim, Z., & Lee, S.-Y. (2020). Optical Wave Guiding and Spectral Properties of Micro/Nanofibers Used for Quantum Sensing and Quantum Light Generation. Applied Sciences, 10(2), 715. https://doi.org/10.3390/app10020715

