Assessment of Strength Development at Hardened Stage on High-Strength Concrete Using NDT
Abstract
1. Introduction
2. Experimental Procedure
2.1. Materials
2.2. Experimental Design and Mix Proportions
2.3. Experimental Methods
2.3.1. Casting and Curing of Concrete Specimens
2.3.2. Fresh and Hardened Properties of Concrete
2.3.3. Temperature History and Maturity of Concrete
2.3.4. Rebound Test and Ultrasonic Pulse Velocity Estimation of Concrete Specimens
3. Results and Discussion
3.1. Fresh and Hardened Properties of Concrete
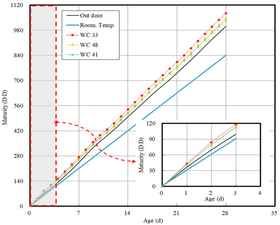
3.2. Temperature History and Maturity of Concrete
3.3. Results of NDT of Concrete
3.4. Discussion on Regression Equation of Concrete Strength Based on NDT
4. Conclusions
- (1)
- Overall, the core specimens exhibited higher compressive strengths than the cylinder mold specimens. As the W/C decreased, the maturity of concrete increased, thereby resulting in an increase in the maximum temperature history. Owing to the difference in maturity, the strengths of the core specimens were 5–10% higher than those of the cylinder molds, caused by differences in the initial temperature history.
- (2)
- The ultrasonic pulse velocity and rebound value increased until 7–14 days of age, but converged in a manner similar to that of the rebound value after 14 days. This appears to be due to the surface conditions and soundness of the internal structure.
- (3)
- The relationship between the rebound value and ultrasonic pulse velocity shows a parabolic correlation, but it is a low correlation of R2 = 0.68, and the difference is found to be larger with increasing compressive strength of concrete.
- (4)
- When the existing regression equations were compared and examined, we found that their values were within the ±20% error range for strengths <40 MPa, but their reliability significantly decreased for higher strengths over 40 MPa. Therefore, this study proposed a regression equation that can converge 40 MPa or more of experimental data, and has a reliability of ±20% error range in the range of 24–65 MPa compared with a previous study.
Author Contributions
Funding
Conflicts of Interest
References
- Lee, T.; Lee, J.; Kim, Y. Effects of admixtures and accelerators on the development of concrete strength for horizontal form removal upon curing at 10 °C. Constr. Build. Mater. 2020, 237, 117652. [Google Scholar] [CrossRef]
- Lee, J.; Lee, T. Influences of chemical composition and fineness on the development of concrete strength by curing conditions. Materials 2019, 12, 4061. [Google Scholar] [CrossRef] [PubMed]
- Lee, J.; Lee, T. Effects of high CaO fly ash and sulfate activator as a finer binder for cementless grouting material. Materials 2019, 12, 3664. [Google Scholar] [CrossRef] [PubMed]
- Guide to Formwork for Concrete; ACI: Farmington Hills, MI, USA, 2005; ACI 347-04.
- Ceb-Fip Model Code 1990: Design Code; Telford: London, UK, 1993.
- Execution of Concrete Structures; BSI: London, UK, 2010; BS EN 13670:2009.
- Korea Architectural Standard Specification; Architectural Institute of Korea: Seoul, Korea, 2009; KASS 5.
- Japanese Architectural Standard Specification Reinforced Concrete Work; Architectural Institute of Japan: Tokyo, Japan, 2009; JASS 5.
- Building Code Requirements for Structural Concrete; American Concrete Institute: Farmington Hills, MI, USA, 1999; ACI 318-99.
- Nondestructive Test Methods of Evaluation of Concrete in Structures; ACI Committee: Farmington Hills, MI, USA, 1998; ACI 228.2R-98.
- Solís-Carcaño, R.; Moreno, E. Evaluation of concrete made with crushed limestone aggregate based on ultrasonic pulse velocity. Constr. Build. Mater. 2008, 22, 1225–1231. [Google Scholar] [CrossRef]
- Price, W.F.; Haynes, J.P. In-situ strength testing of high strength concrete. Mag. Concr. Res. 1996, 48, 189–197. [Google Scholar] [CrossRef]
- Galan, A. Estimate of concrete strength by ultrasonic pulse velocity and damping constant. ACI J. 1967, 64, 678–684. [Google Scholar]
- Facaoaru, I. Non-destructive testing. Comparison between recommendations existing in some East European countries concerning the determination of concrete strength by surface hardness methods. Mater. Struct. 1976, 9, 207–210. [Google Scholar]
- Testing Concrete in Structures; BSI: Part 2: Nondestructive testing—Determination of rebound number, March 2013; EN 12504-2; Part 3: Determination of pull-out force, June 2005; EN 12504-3; Part 4: Determination of ultrasonic pulse velocity, May 2005; BSI: London, UK, 2005; EN 12504-4; ISSN 0335-3931.
- Breysse, D.; Balayssac, J.P. Strength assessment in reinforced concrete structures: From research to improved practices. Constr. Build. Mater. 2018, 182, 1–9. [Google Scholar] [CrossRef]
- Alwash, M.; Sbartai, Z.M.; Breysse, D. Nondestructive assessment of both mean strength and variability of concrete: A new bi-objective approach. Constr. Build. Mater. 2016, 113, 880–889. [Google Scholar] [CrossRef]
- Kazemi, M.; Madandoust, R.; Brito, J.D. Compressive strength assessment of recycled aggregate concrete using Schmidt rebound hammer and core testing. Constr. Build. Mater. 2019, 224, 630–638. [Google Scholar] [CrossRef]
- Bungey, J.H.; Millard, S.G.; Grantham, M.G. Testing of Concrete in Structures, 4th ed.; Taylor & Francis: London, UK, 2006; p. 352. [Google Scholar]
- In-Place Methods to Estimate Concrete Strength; ACI Committee: Farmington Hills, MI, USA, 2003; ACI 228.1R-03.
- Kolek, J. An appreciation of the Schmidt rebound hammer. Mag. Concr. Res. 1958, 10, 27–36. [Google Scholar] [CrossRef]
- Victor, D.J. Evaluation of hardened field concrete with rebound hammer. ACI Mater. J. 1963, 37, 407–411. [Google Scholar]
- Greene, G.W. Test hammer provides new method of evaluating hardened concrete. ACI J. Proc. 1954, 51, 249–256. [Google Scholar]
- Alwash, M.; Breysse, D.; Sbartaï, Z.M.; Szilágyi, K.; Borosnyói, A. Factors affecting the reliability of assessing the concrete strength by rebound hammer and cores. Constr. Build. Mater. 2017, 140, 354–363. [Google Scholar] [CrossRef]
- Qasrawi, H. Concrete strength by combined nondestructive methods simply and reliably predicted. Cem. Concr. Res. 2000, 30, 739–746. [Google Scholar] [CrossRef]
- Szilágyi, K.; Borosnyói, A.; Zsigovics, I. Extensive statistical analysis of the variability of concrete rebound hardness based on a large database of 60 years experience. Constr. Build. Mater. 2014, 53, 333–347. [Google Scholar] [CrossRef]
- Pereira, N.; Romao, X. Assessment of the concrete strength in existing buildings using finite population approach. Constr. Build. Mater. 2016, 110, 106–116. [Google Scholar] [CrossRef]
- Pereira, N.; Romao, X. Material strength safety factors for the seismic safety assessment of existing RC buildings. Constr. Build. Mater. 2016, 119, 319–328. [Google Scholar] [CrossRef]
- Masi, A.; Chiauzzi, L. An experimental study on the within-member variability of in situ concrete strength in RC building structures. Constr. Build. Mater. 2013, 47, 951–961. [Google Scholar] [CrossRef]
- Stewart, M.G. Workmanship and its influence on probabilistic models of concrete compressive strength. ACI Mater. J. 1995, 92, 361–372. [Google Scholar]
- Phoon, K.K.; Wee, T.H.; Loi, C.S. Development of statistical quality assurance criterion for concrete using ultrasonic pulse velocity method. ACI Mater. J. 1999, 96, 568–573. [Google Scholar]
- Ben-Zeitun, A.E. Use of pulse velocity to predict compressive strength of concrete. Int. J. Cem. Compos. Lightweight Concr. 1986, 8, 51–59. [Google Scholar] [CrossRef]
- Trtnik, G.; Kavcic, F.; Turk, G. Prediction of concrete strength using ultrasonic pulse velocity and artificial neural networks. Ultrasonics 2009, 49, 53–60. [Google Scholar] [CrossRef] [PubMed]
- Popovics, S.; Rose, J.L.; Popovics, J.S. The behavior of ultrasonic pulses in concrete. Cem. Concr. Res. 1990, 20, 259–270. [Google Scholar] [CrossRef]
- Lin, Y.; Kuo, S.; Hsiao, C.; Lai, C. Investigation of pulse velocity-strength relationship of hardened concrete. ACI Mater. J. 2007, 104, 344–350. [Google Scholar]
- Standard Test Method for Slump of Hydraulic-Cement Concrete, American Society of Testing and Materials; ASTM: West Conshohocken, PA, USA, 2015; ASTM C143/C143M; pp. 1–4.
- Standard Test Method for Air Content of Freshly Mixed Concrete by the Pressure Method; ASTM: West Conshohocken, PA, USA, 2017; ASTM C231/C231M.
- Standard Test Method for Compressive Strength of Concrete Cylinders Cast in Place in Cylindrical Molds; ASTM: West Conshohocken, PA, USA, 2015; ASTM C873/C873M.
- Standard Test Method for Compressive Strength of Cylindrical Concrete Specimens; ASTM: West Conshohocken, PA, USA, 2018; ASTM C39/C39M.
- Standard Practice for Estimating Concrete Strength by the Maturity Method; ASTM: West Conshohocken, PA, USA, 2019; ASTM C1074; pp. 1–10.
- Standard Test Method for Rebound Number of Hardened Concrete; ASTM: West Conshohocken, PA, USA, 2014; ASTM C805/C805M; pp. 1–4.
- Standard Test Method for Pulse Velocity through Concrete; ASTM: West Conshohocken, PA, USA, 2016; ASTM C597-16; pp. 1–4.
- Matias, K.; Karim, H. Determination of initial degree of hydration for improvement of early-age properties of concrete using ultrasonic wave propagation. Cem. Concr. Compos. 2006, 28, 299–306. [Google Scholar]
- Philippidis, T.P.; Aggelis, D.G. Experimental study of wave dispersion and attenuation in concrete. Ultrasonics 2005, 43, 584–595. [Google Scholar] [CrossRef]
- Elvery, R.H.; Ibrahim, L.A.M. Ultrasonic assessment of concrete strength at early ages. Mag. Concr. Res. 1976, 28, 181–190. [Google Scholar] [CrossRef]
- Velay-Lizancos, M.; Martinez-Lage, I.; Azenha, M.; Vázquez-Burgo, P. Influence of temperature in the evolution of compressive strength and in its correlations with UPV in eco-concretes with recycled materials. Constr. Build. Mater. 2016, 124, 276–286. [Google Scholar] [CrossRef]
- Pyzsniak, J. Method of concrete strength control in prefabricated slabs by ultrasound. Build. Sci. 1968, 2, 331–335. [Google Scholar] [CrossRef]
- Turgut, P. Evaluation of the ultrasonic pulse velocity data coming on the field. In Proceedings of the Fourth International Conference on NDE in Relation to Structural Integrity for Nuclear and Pressurised Components, London, UK, 6–8 December 2004. [Google Scholar]
- Kheder, G.F. Two stage procedure for assessment of in situ concrete strength using combined non-destructive testing. Mater. Struct. 1999, 32, 410–417. [Google Scholar] [CrossRef]














| Material | Property |
|---|---|
| Ordinary Portland cement (OPC) | ASTM Type I OPC Fineness: 320 m2/kg, density: 3150 kg/m3 |
| Fine aggregate | Washed sea sand Fineness modulus: 2.90, absorption: 1.00%, density: 2590 kg/m3 |
| Coarse aggregate | Crushed granite aggregate Size: 25 mm, absorption: 0.90%, density: 2600 kg/m3 |
| Chemical admixture | Polycarboxylate (PC)-based superplasticizer with retarder |
| Materials | Chemical Composition (%) | Loss on Ignition (LOI) 2 | |||||||
|---|---|---|---|---|---|---|---|---|---|
| CaO | SiO2 | Al2O3 | MgO | Fe2O3 | SO3 | K2O | Others | ||
| OPC 1 | 60.34 | 19.82 | 4.85 | 3.83 | 3.30 | 2.90 | 1.08 | 0.86 | 3.02 |
| Specimen ID | Water/Cement Ratios (W/C) | Curing Condition | Test Parameter |
|---|---|---|---|
| WC 48 WC 41 WC 33 | 0.48 0.41 0.33 | Casting specimens (water-curing after 1 d) Mock-up (air-curing) |
|
| Specimen ID | W/C 1 | S/a 2 (%) | Unit Weight (kg/m3) | PC 7 (C × Wt%) | |||
|---|---|---|---|---|---|---|---|
| W 3 | C 4 | S 5 | G 6 | ||||
| WC 48 | 0.48 | 48.0 | 165 | 340 | 863 | 938 | 0.8 |
| WC 41 | 0.41 | 46.0 | 165 | 400 | 802 | 945 | 0.8 |
| WC 33 | 0.33 | 43.0 | 165 | 500 | 714 | 950 | 0.8 |
| Type | Evaluation Parameter | Test Method |
|---|---|---|
| Engineering property analysis | Slump (mm) | ASTM C143 [36] |
| Air content (%) | ASTM C231 [37] | |
| Compressive strength (MPa) | ASTM C873 [38] | |
| ASTM C39 [39] |
| Type | Evaluation Parameter | Test Method |
|---|---|---|
| NDT | Rebound test (R) | ASTM C805 [41] |
| Ultrasonic pulse velocity (km/s) | ASTM C597 [42] |
| Mix No. | Slump (mm) | Air Content (%) | ||
|---|---|---|---|---|
| Initial | 60 min | Initial | 60 min | |
| WC 48 | 180 | 170 | 5.4 | 4.8 |
| WC 41 | 190 | 170 | 4.6 | 4.3 |
| WC 33 | 190 | 180 | 3.4 | 3.1 |
© 2020 by the authors. Licensee MDPI, Basel, Switzerland. This article is an open access article distributed under the terms and conditions of the Creative Commons Attribution (CC BY) license (http://creativecommons.org/licenses/by/4.0/).
Share and Cite
Lee, T.; Lee, J.; Choi, H. Assessment of Strength Development at Hardened Stage on High-Strength Concrete Using NDT. Appl. Sci. 2020, 10, 6261. https://doi.org/10.3390/app10186261
Lee T, Lee J, Choi H. Assessment of Strength Development at Hardened Stage on High-Strength Concrete Using NDT. Applied Sciences. 2020; 10(18):6261. https://doi.org/10.3390/app10186261
Chicago/Turabian StyleLee, Taegyu, Jaehyun Lee, and Hyeonggil Choi. 2020. "Assessment of Strength Development at Hardened Stage on High-Strength Concrete Using NDT" Applied Sciences 10, no. 18: 6261. https://doi.org/10.3390/app10186261
APA StyleLee, T., Lee, J., & Choi, H. (2020). Assessment of Strength Development at Hardened Stage on High-Strength Concrete Using NDT. Applied Sciences, 10(18), 6261. https://doi.org/10.3390/app10186261

