Evaluation of Ultimate Bearing Capacity of Pre-Stressed High-Strength Concrete Pipe Pile Embedded in Saturated Sandy Soil Based on In-Situ Test
Abstract
1. Introduction
2. Ground Conditions
3. Design of In-Situ Test
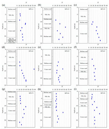
3.1. SPT
3.2. CPT
3.3. SLT
4. Results
4.1. Bearing Capacity Based on SPT
4.2. Bearing Capacity Based on CPT
4.3. Bearing Capacity Based on SLT
5. Discussion
6. Conclusions
- (1)
- For in-situ SPTs, three calculation methods, including the JGJ94-2008 method, Meyerhof method, and Schmertmann method, were adopted to calculate the UBC of a single PHC pipe pile based on in-situ SPTs. The calculated results of the three methods were similar, while the calculated UBC values were approximately 1.17~2.35 times and 1.15~3.24 times as much as the recommended values in the survey report for long piles with a length of 21 m and short piles with a length of 12.5 m, respectively.
- (2)
- The CPT with a double bridge probe was conducted to obtain the cone-tip resistance and sleeve friction close to SPT test points. The results were similar to the results calculated with in-situ SPTs, and the average value was 1.57 times and 1.81 times bigger than the value recommended in the survey report for long PHC pipe piles embedded in medium sand and short PHC pipe piles embedded in coarse sand, respectively.
- (3)
- The SLTs were conducted for three types of PHC pipe piles. It shows that the UBC based on SLTs was similar to the results acquired with SPTs and CPTs. However, it was 2.01 times and 2.24 times as much as the values recommended in the survey report for long and short PHC piles, respectively.
- (4)
- The conservative values recommended in the survey report were also calculated by the JGJ94 method based SPTs in the survey. The SPT blow counts (SPT-N) based on in-situ SPTs increased dramatically compared to the blow-count values in the survey report, especially in saturated sand layers at the position of 10 m below the ground. It might be caused by bentonite mud technology, which plays a significant role in preventing the drilling wall from collapsing.
Author Contributions
Funding
Acknowledgments
Conflicts of Interest
References
- Cai, G.; Liu, S.; Tong, L.; Du, G. Assessment of direct CPT and CPTU methods for predicting the ultimate bearing capacity of single piles. Eng. Geol. 2009, 104, 211–222. [Google Scholar] [CrossRef]
- Baziar, M.H.; Kashkooli, A.; Saeedi-Azizkandi, A. Prediction of pile shaft resistance using cone penetration tests (CPTs). Comput. Geotech. 2012, 45, 74–82. [Google Scholar] [CrossRef]
- Dai, G.; Gong, W. Application of bi-directional static loading test to deep foundations. J. Rock Mech. Geotech. Eng. 2012, 4, 269–275. [Google Scholar] [CrossRef]
- Momeni, E.; Nazir, R.; Armaghani, D.J.; Maizir, H. Prediction of pile bearing capacity using a hybrid genetic algorithm-based ANN. Measurement 2014, 57, 122–131. [Google Scholar] [CrossRef]
- Nejad, F.P.; Jaksa, M.B.; Kakhi, M.; McCabe, B. Prediction of pile settlement using artificial neural networks based on standard penetration test data. Comput. Geotech. 2009, 36, 1125–1133. [Google Scholar] [CrossRef]
- Momeni, E.; Maizir, H.; Gofar, N.; Nazir, R. Comparative Study on Prediction of Axial Bearing Capacity of Driven Piles in Granular Materials. J. Teknol. 2013, 61, 15–20. [Google Scholar] [CrossRef]
- Li, J.; Wang, X.; Guo, Y.; Yu, X. (Bill) Vertical bearing capacity of the pile foundation with restriction plate via centrifuge modelling. Ocean Eng. 2019, 181, 109–120. [Google Scholar] [CrossRef]
- Zhou, J.-J.; Yu, J.; Gong, X.-N.; Zhang, R.-H.; Yan, T.-L. Influence of soil reinforcement on the uplift bearing capacity of a pre-stressed high-strength concrete pile embedded in clayey soil. Soils Found. 2019, 59, 2367–2375. [Google Scholar] [CrossRef]
- Chen, Y.; Deng, A.; Lu, F.; Sun, H. Failure mechanism and bearing capacity of vertically loaded pile with partially-screwed shaft: Experiment and simulations. Comput. Geotech. 2020, 118, 103337. [Google Scholar] [CrossRef]
- Cai, Y.; Xu, B.; Cao, Z.; Geng, X.; Yuan, Z. Solution of the ultimate bearing capacity at the tip of a pile in inclined rocks based on the Hoek-Brown criterion. Int. J. Rock Mech. Min. Sci. 2020, 125, 104140. [Google Scholar] [CrossRef]
- Momeni, E. Axial Bearing Capacity of Piles and Modelling of Distribution of Skin Resistance with Depth. Master’s Thesis, Universiti Teknologi Malaysia, Skudai, Johor, Malaysia, 2012. [Google Scholar]
- Alkroosh, I.S.; Bahadori, M.; Nikraz, H.; Bahadori, A. Regressive approach for predicting bearing capacity of bored piles from cone penetration test data. J. Rock Mech. Geotech. Eng. 2015, 7, 584–592. [Google Scholar] [CrossRef]
- Zhang, N.; Arroyo, M.; Ciantia, M.O.; Gens, A.; Butlanska, J. Standard penetration testing in a virtual calibration chamber. Comput. Geotech. 2019, 111, 277–289. [Google Scholar] [CrossRef]
- Abu Kiefa, M.A. General Regression Neural Networks for Driven Piles in Cohesionless Soils. J. Geotech. Geoenviron. Eng. 1998, 124, 1177–1185. [Google Scholar] [CrossRef]
- Kuo, Y.-S.; Chong, K.-J.; Tseng, Y.-H.; Hsu, C.-W.; Lin, C.-S. Assessment on liquefaction potential of seabed soil in Chang-Bin Offshore wind farm considering parametric uncertainty of standard penetration tests. Eng. Geol. 2020, 267, 105497. [Google Scholar] [CrossRef]
- Seed, H.B.; Idriss, I.M. Simplified procedure for evaluating soil liquefaction potential. J. Soil Mech. Found. Div. ASCE 1971, 97, 1249–1273. [Google Scholar]
- Kanth, S.T.G.R.; Dash, S.K. Stochastic modeling of SPT n-value and evaluation of probability of liquefaction at guwahati city. J. Earthq. Tsunami 2008, 2, 175–196. [Google Scholar] [CrossRef]
- Zhang, X.; Lin, C.-M.; Dalrymple, R.W.; Gao, S.; Canas, D.T. Use of the Cone Penetration Testing (CPT) method to interpret late Quaternary tide-dominated successions: A case study from the eastern China coastal plain. Cont. Shelf Res. 2018, 161, 49–57. [Google Scholar] [CrossRef]
- Eslami, A.; Moshfeghi, S.; Molaabasi, H.; Eslami, M.M. CPT and CPTu Applications for Deep Foundation–Bearing Capacity. In Piezocone and Cone Penetration Test (CPTu and CPT) Applications in Foundation Engineering; Elsevier Butterworth-Heinemann: Oxford, UK, 2020; pp. 183–231. [Google Scholar] [CrossRef]
- Aoki, N.; De Alencar, D. An approximate method to estimate the bearing capacity of piles. In Proceedings of the 5th Pan-American Conference of Soil Mechanics and Foundation Engineering, Buenos Aires, Argentina, 17–22 November 1975; pp. 367–376. [Google Scholar]
- Clisby, M.B.; Scholters, R.M.; Corey, M.W.; Cole, H.A.; Teng, P.; Webb, J.D. An Evaluation of Pile Bearing Capacities; Mississippi State Highway Department: Jackson, MS, USA, 1978.
- Schmertmann, J.H. Guidelines for Cone Penetration Test, Performance and Design; Report FHWA-TS-78-209; Department of Transportation: Washington, DC, USA, 1978.
- De Kuiter, J.; Beringen, F.L. Pile foundations for large North Sea structures. Mar. Geotechnol. 1979, 3, 267–314. [Google Scholar] [CrossRef]
- Philipponnat, G. Methode pratique de calcul d’um pieu isole a l’aide du penetrometre statique. Rev. Fr. Geotech. 1980, 10, 55–64. [Google Scholar] [CrossRef]
- Bustamante, M.; Gianeselli, L. Pile Bearing Capacity Prediction by Means of Static Penetrometer CPT. In Proceedings of the 2nd European Symposium on Penetration Testing, ESOPT-II, Amsterdam, The Netherlands, 24–27 May 1982; pp. 493–500. Available online: https://www.cpt-robertson.com/PublicationsPDF/Pile%20Bearing%20Cap%2CCPT-LCPC%20Method-Bustamonte%20et%20al-ESOPT2-198.pdf (accessed on 1 June 2020).
- Tumay, M.T.; Fakhroo, M. Friction Pile Bearing Capacity Prediction in Cohesive Soils Using Electric Quasi-Static Penetration Tests; Interim Research Report 1; Louisiana Department of Transportation and Development: Baton Rouge, LA, USA, 1982.
- Prince, G.; Wardle, I.F. A comparison between cone penetration test results and the performance of small diameter instrumented piles in stiff clay. In Proceedings of the 2nd European Symposium on penetration testing, Amsterdam, The Netherlands, 24–27 May 1982; pp. 775–780. [Google Scholar]
- Eslami, A.; Fellenius, B.H. Pile capacity by direct CPT and CPTu methods applied to 102 case histories. Can. Geotech. J. 1997, 34, 886–904. [Google Scholar] [CrossRef]
- Ardalan, H.; Eslami, A.; Nariman-Zadeh, N. Piles shaft capacity from CPT and CPTu data by polynomial neural networks and genetic algorithms. Comput. Geotech. 2009, 36, 616–625. [Google Scholar] [CrossRef]
- Niazi, F.S.; Mayne, P.W. CPTu-based enhanced UniCone method for pile capacity. Eng. Geol. 2016, 212, 21–34. [Google Scholar] [CrossRef]
- Meyerhof, G.G. Penetration tests and bearing capacity of cohesionless soils. J. Soil Mech. Found. Div. 1956, 82, 1–19. [Google Scholar]
- ASTM D 4945-17, Standard Test Method for High-Strain Dynamic Testing of Deep Foundations; ASTM International: West Conshohocken, PA, USA, 2017.
- Likins, G.; Rausche, F. Correction of CAPWAP with Static Load Tests. In Procedings of the Seventh International Conference on Application of Stress Wave Theory to Piles; The Institute of Engineers Malaysia: Kuala Lumpur, Malaysia, 2004; pp. 153–165. Available online: https://www.pile.com/wp-content/uploads/2017/03/SW2004-SP08-CW_Correlation_final.pdf (accessed on 1 June 2020).
- Abu-Farsakh, M.Y.; Titi, H.H. Assessment of Direct Cone Penetration Test Methods for Predicting the Ultimate Capacity of Friction Driven Piles. J. Geotech. Geoenviron. Eng. 2004, 130, 935–944. [Google Scholar] [CrossRef]
- Shahin, M.A.; Jaksa, M.B.; Maier, H.R. Artificial neural network application in geotechnical engineering. Aust. Geomech. J. 2001, 36, 49–62. [Google Scholar]
- Roosta, M.; Ghaedi, M.; Daneshfar, A.; Sahraei, R.; Asghari, A. Optimization of the ultrasonic assisted removal of methylene blue by gold nanoparticles loaded on activated carbon using experimental design methodology. Ultrason. Sonochemistry 2014, 21, 242–252. [Google Scholar] [CrossRef]
- Roosta, M.; Ghaedi, M.; Shokri, N.; Daneshfar, A.; Sahraei, R.; Asghari, A. Optimization of the combined ultrasonic assisted/adsorption method for the removal of malachite green by gold nanoparticles loaded on activated carbon: Experimental design. Spectrochim. Acta Part A Mol. Biomol. Spectrosc. 2014, 118, 55–65. [Google Scholar] [CrossRef]
- Ghaedi, M.; Ansari, A.; Habibi, M.; Asghari, A. Removal of malachite green from aqueous solution by zinc oxide nanoparticle loaded on activated carbon: Kinetics and isotherm study. J. Ind. Eng. Chem. 2014, 20, 17–28. [Google Scholar] [CrossRef]
- Shahin, M.A. A review of artificial intelligence applications in shallow foundations. Int. J. Geotech. Eng. 2014, 9, 49–60. [Google Scholar] [CrossRef]
- Shahin, M.A. State-of-the-art review of some artificial intelligence applications in pile foundations. Geosci. Front. 2016, 7, 33–44. [Google Scholar] [CrossRef]
- Raza, A.; Qureshi, A.M.; Saleem, M.Q.; Maqbool, S. Phagocytosis-based camera-in-situ method for pile load testing. Autom. Constr. 2014, 45, 33–41. [Google Scholar] [CrossRef]
- Józefiak, K.; Zbiciak, A.; Maślakowski, M.; Piotrowski, T. Numerical Modelling and Bearing Capacity Analysis of Pile Foundation. Procedia Eng. 2015, 111, 356–363. [Google Scholar] [CrossRef]
- Teramoto, S.; Niimura, T.; Akutsu, T.; Kimura, M. Evaluation of ultimate behavior of actual large-scale pile group foundation by in-situ lateral loading tests and numerical analysis. Soils Found. 2018, 58, 819–837. [Google Scholar] [CrossRef]
- Spagnoli, G.; Scheller, P.; Doherty, P. In situ and laboratory tests on a novel offshore mixed-in-place pile for oil and gas platforms. J. Pet. Sci. Eng. 2016, 145, 502–509. [Google Scholar] [CrossRef]
- Nazir, A.; Azzam, W.R. Improving the bearing capacity of footing on soft clay with sand pile with/without skirts. Alex. Eng. J. 2010, 49, 371–377. [Google Scholar] [CrossRef]
- Phutthananon, C.; Jongpradist, P.; Yensri, P.; Jamsawang, P. Dependence of ultimate bearing capacity and failure behavior of T-shaped deep cement mixing piles on enlarged cap shape and pile strength. Comput. Geotech. 2018, 97, 27–41. [Google Scholar] [CrossRef]
- Jeong, S.; Ko, J.; Won, J.; Lee, K. Bearing capacity analysis of open-ended piles considering the degree of soil plugging. Soils Found. 2015, 55, 1001–1014. [Google Scholar] [CrossRef]
- Jafari, M.; Gharsallaoui, H.; Victor, K.H.; Holeyman, A. End bearing response of open-ended pipe piles embedded in rock. Int. J. Rock Mech. Min. Sci. 2019, 119, 46–57. [Google Scholar] [CrossRef]
- GB/T 50213. Standard for Geotechnical Testing Method. National Standard of the People’s Republic of China. 2019. Available online: http://www.waizi.org.cn/bz/66863.html (accessed on 2 August 2019).
- JGJ 94. Technical Code for Building Pile Foundations. National Standard of the People’s Republic of China. 2008. Available online: http://www.doc88.com/p-8969117080669.html (accessed on 1 June 2020).
- Kézdi, Á.; Rétháti, L. Bearing capacity and settlement of pile foundations. Soil Mech. Earthworks Found. Highw. Eng. 1988, 102, 183–226. [Google Scholar] [CrossRef]
- Schmertmann, J. Penetration testing in USA. Int. J. Rock Mech. Min. Sci. Géoméch. Abstr. 1976, 13, A111. [Google Scholar] [CrossRef]
- Lafuerza, S.; Canals, M.; Casamor, J.L.; Devincenzi, J. Characterization of deltaic sediment bodies based on in situ CPT/CPTU profiles: A case study on the Llobregat delta plain, Barcelona, Spain. Mar. Geol. 2005, 222–223, 497–510. [Google Scholar] [CrossRef]
- DBJ50-047. Code for Design of Building Foundation. Provincial Standard of Chongqing. 2006. Available online: https://www.doc88.com/p-0748393617481.html (accessed on 1 June 2020).












| Method | Soil Type | Pile Installation Type | References |
|---|---|---|---|
| Direct-SPT | Sand | Drilled | [31] |
| Direct-CPT | Sand-Clay | Driven | [21,22,23,26] |
| Drilled | [29] | ||
| Drilled or driven | [11,12,20,27] | ||
| Direct-CPTu | Sand-Clay | Driven | [28] |
| Soil Type | qc/N | Friction Ratio (%) | Ultimate End Bearing Capacity (kPa) | Ultimate Shaft Friction Capacity (kPa) |
|---|---|---|---|---|
| Clean sand with various densities | 0.3745 | 0.60 | 342.4 N | 2.03 N |
| Mixed sand with clay and silt | 0.2140 | 2.00 | 171.2 N | 4.28 N |
| Plastic clay | 0.1070 | 5.00 | 74.9 N | 5.35 N |
| Shell-containing sand and soft argillaceous limestone | 0.4280 | 0.25 | 385.2 N | 1.07 N |
| PHC Type | Concrete | Diameter (mm) | Thickness (mm) | Length (m) | Installation Procedure | Bearing Soil Layer | Maximum Load (kN) |
|---|---|---|---|---|---|---|---|
| C-type | C80 | 500 | 125 | 21 | Impact driving | ⑥ & ⑦ medium sand | 7000 |
| D-type | C80 | 500 | 125 | 12.5 | Impact driving | ④ coarse sand | 5000 |
| K-type | C80 | 500 | 125 | 21 | Impact driving | ⑥ & ⑦ medium sand | 5000 |
| Pile Type | Pile Number | End Load(kN) | Qmax (kN) | Ra (kN) |
|---|---|---|---|---|
| C-type | C-1# | 6300 | 5600 | 2800 |
| C-2# | 5600 | 4900 | 2450 | |
| C-3# | 5600 | 5600 | 2800 | |
| D-type | D-1# | 4000 | 3500 | 1750 |
| D-2# | 4000 | 3500 | 1750 | |
| D-3# | 4500 | 4000 | 2000 | |
| K-type | K-1# | 5000 | 4500 | 2250 |
| K-2# | 5000 | 5000 | 2500 | |
| K-3# | 5000 | 4500 | 2250 |
© 2020 by the authors. Licensee MDPI, Basel, Switzerland. This article is an open access article distributed under the terms and conditions of the Creative Commons Attribution (CC BY) license (http://creativecommons.org/licenses/by/4.0/).
Share and Cite
Wei, Y.; Wang, D.; Li, J.; Jie, Y.; Ke, Z.; Li, J.; Wong, T. Evaluation of Ultimate Bearing Capacity of Pre-Stressed High-Strength Concrete Pipe Pile Embedded in Saturated Sandy Soil Based on In-Situ Test. Appl. Sci. 2020, 10, 6269. https://doi.org/10.3390/app10186269
Wei Y, Wang D, Li J, Jie Y, Ke Z, Li J, Wong T. Evaluation of Ultimate Bearing Capacity of Pre-Stressed High-Strength Concrete Pipe Pile Embedded in Saturated Sandy Soil Based on In-Situ Test. Applied Sciences. 2020; 10(18):6269. https://doi.org/10.3390/app10186269
Chicago/Turabian StyleWei, Yingjie, Duli Wang, Jiawang Li, Yuxin Jie, Zundong Ke, Jianguang Li, and Tsunming Wong. 2020. "Evaluation of Ultimate Bearing Capacity of Pre-Stressed High-Strength Concrete Pipe Pile Embedded in Saturated Sandy Soil Based on In-Situ Test" Applied Sciences 10, no. 18: 6269. https://doi.org/10.3390/app10186269
APA StyleWei, Y., Wang, D., Li, J., Jie, Y., Ke, Z., Li, J., & Wong, T. (2020). Evaluation of Ultimate Bearing Capacity of Pre-Stressed High-Strength Concrete Pipe Pile Embedded in Saturated Sandy Soil Based on In-Situ Test. Applied Sciences, 10(18), 6269. https://doi.org/10.3390/app10186269

