Single and Multivariate Statistics of Jet-Induced Pressure Fluctuations over an Infinite Plate
Abstract
1. Introduction
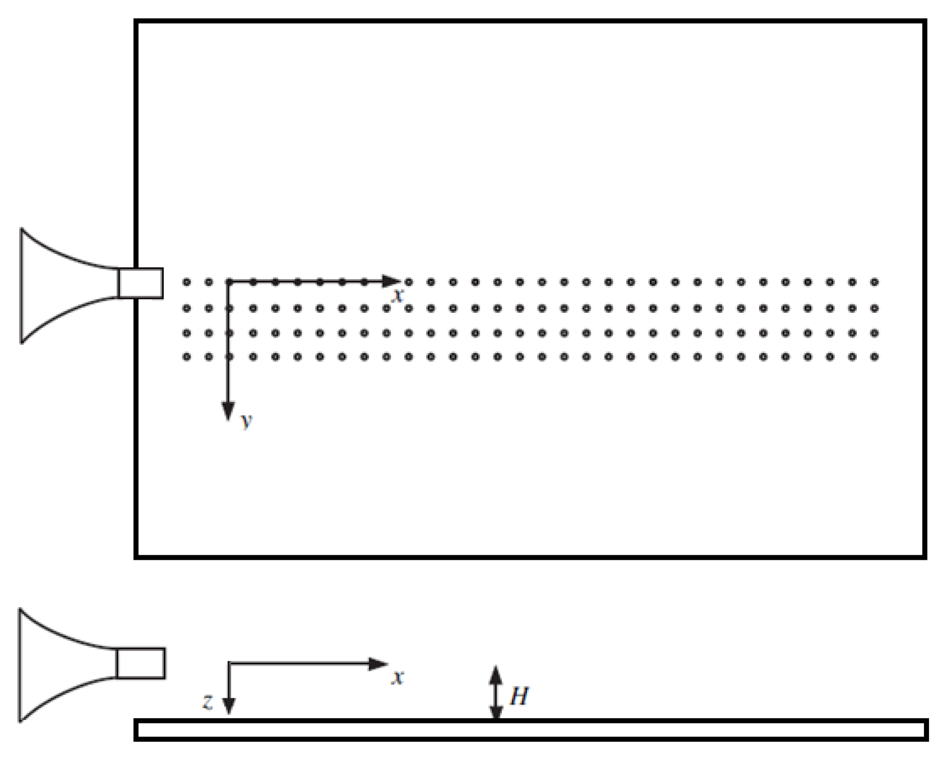
2. Experimental Setup
3. Results
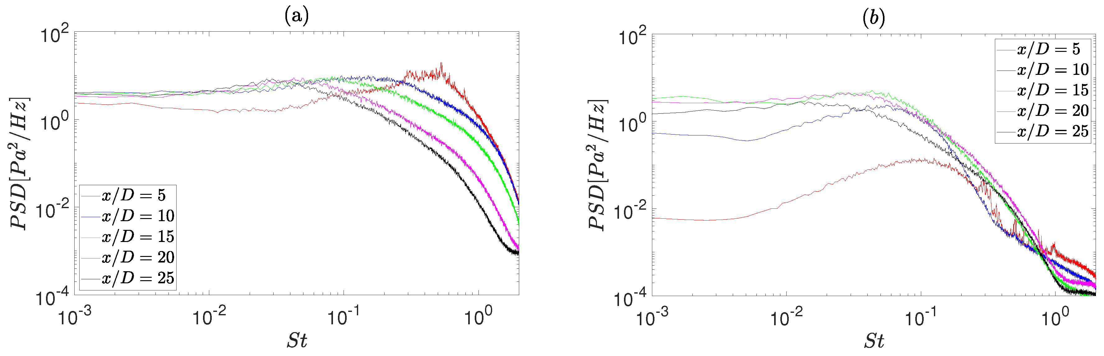
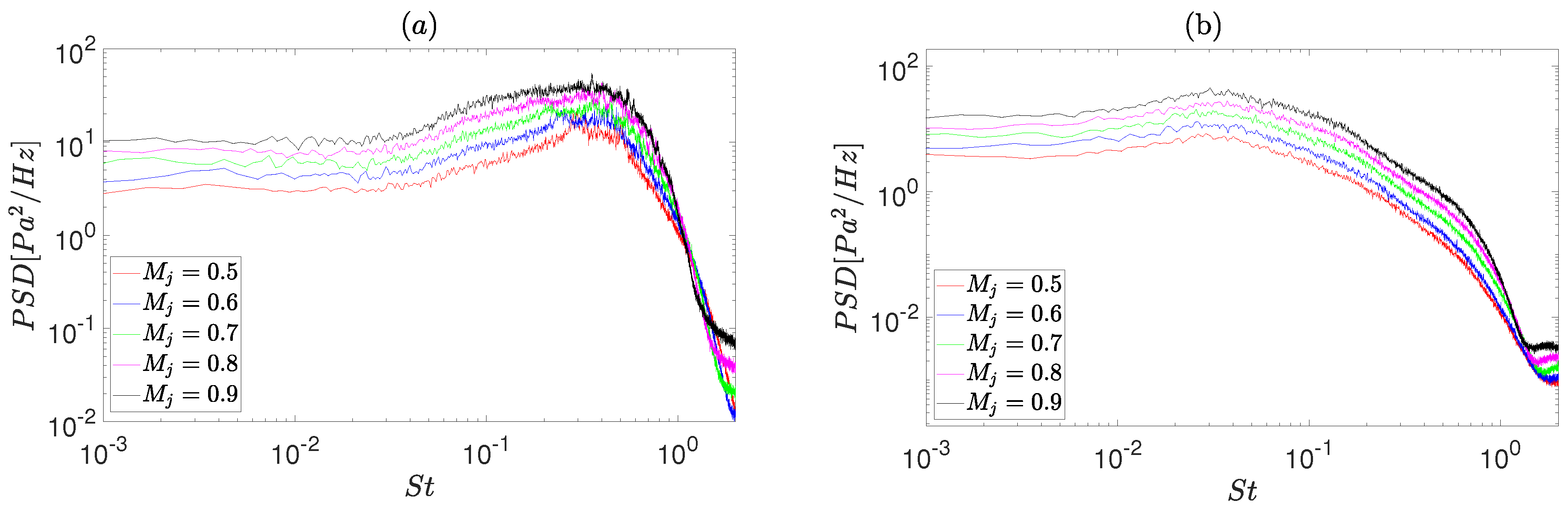
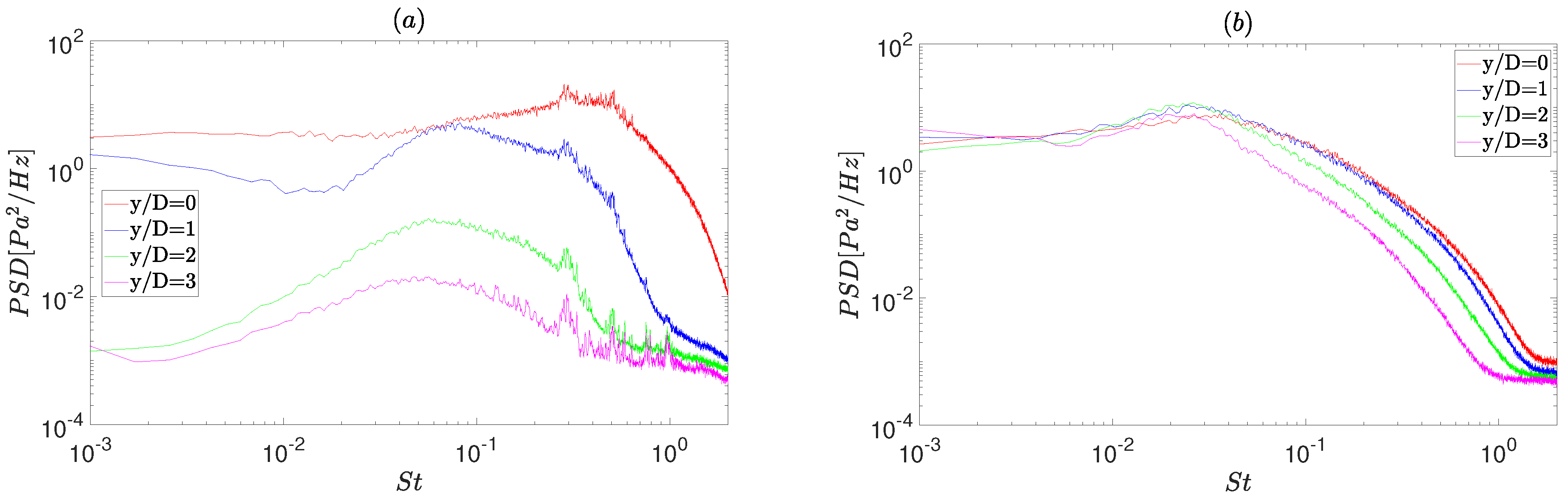
3.1. Single-Point Statistics
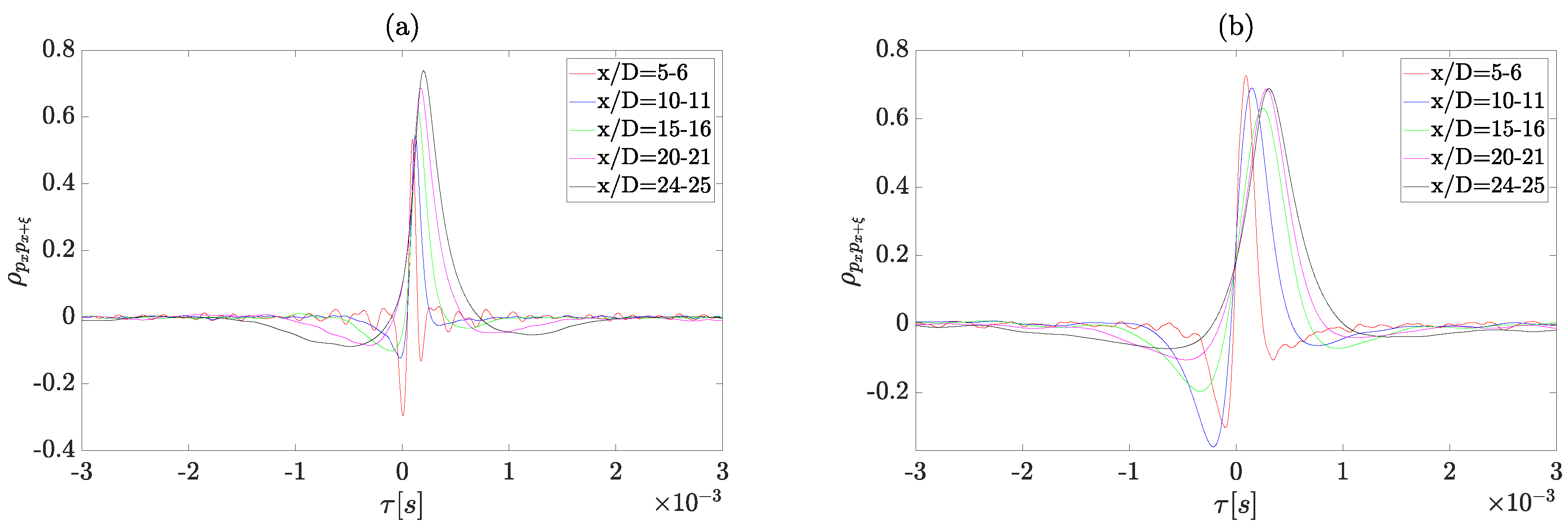
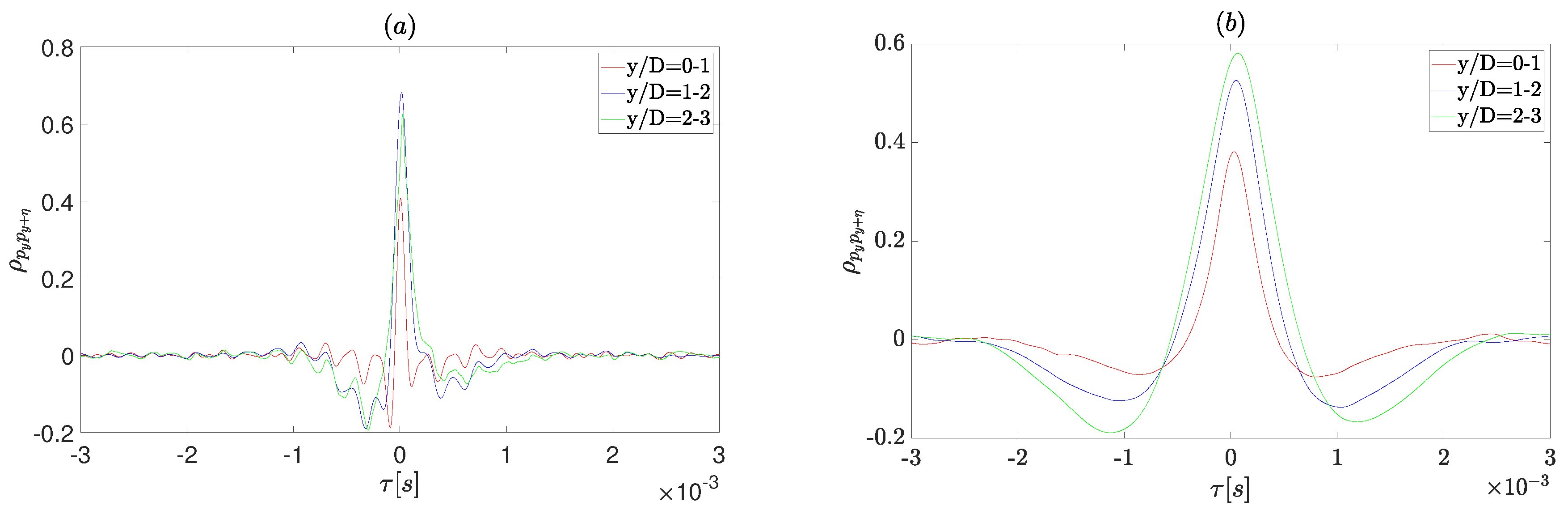
3.2. Two-Point Statistics
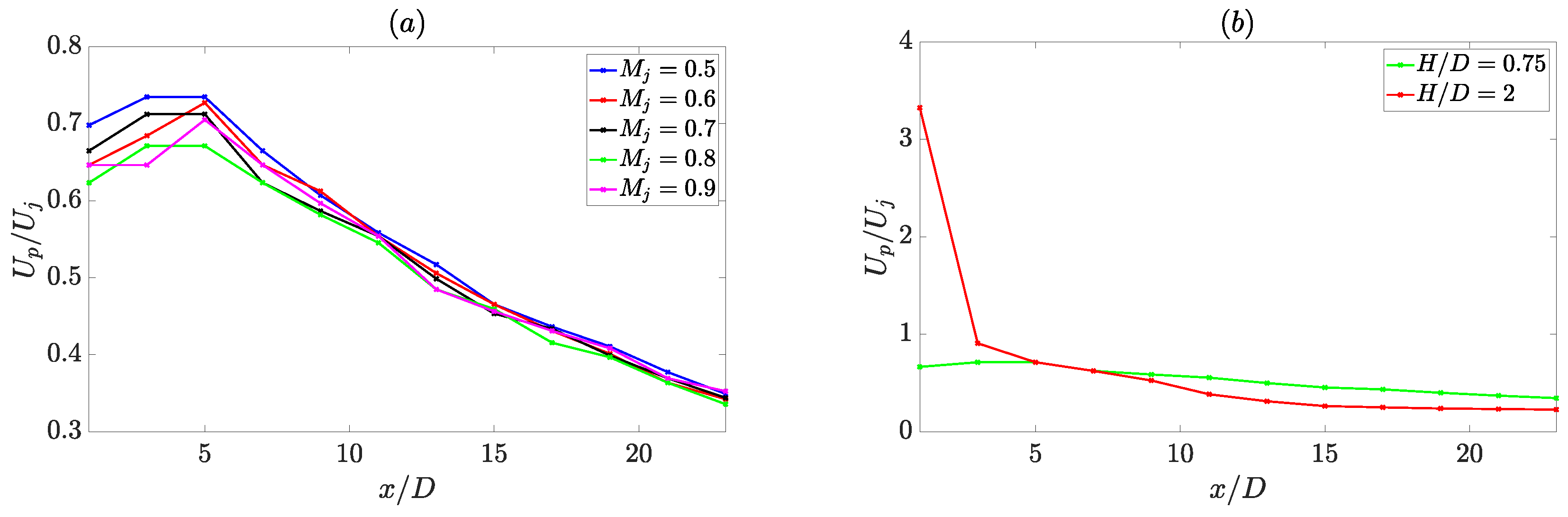
3.3. Wall-Pressure Phase Speed
3.4. Wavelet Analysis
4. Conclusions
Author Contributions
Funding
Conflicts of Interest
References
- Lighthill, M.J. On sound generated aerodynamically. I. General theory. Proc. R. Soc. Lond. A 1952, 211, 564–587. [Google Scholar]
- Head, M.; Fisher, R. Jet/surface interaction noise - Analysis of farfield low frequency augmentations of jet noise due to the presence of a solid shield. In Proceedings of the 3rd Aeroacoustics conference, Palo Alto, CA, USA, 20–23 July 1976. [Google Scholar] [CrossRef]
- Lyu, B.; Dowling, A.P. An experimental study of the effects of lobed nozzles on installed jet noise. Exp. Fluids 2019, 60, 176. [Google Scholar] [CrossRef]
- Lawrence, J.; Azarpeyvand, M.; Self, R.H. Interaction between a Flat Plate and a Circular Subsonic Jet. In Proceedings of the 17th AIAA/CEAS Aeroacoustics Conference (32nd AIAA Aeroacoustics Conference), Portland, OR, USA, 5–8 June 2011. [Google Scholar] [CrossRef]
- Huber, J.; Drochony, G.; Pintado-Peno, A.; Cléro, F.; Bodard, G. Large-Scale Jet Noise Testing, Reduction and Methods Validation “EXEJET”: 1. Project Overview and Focus on Installation. In Proceedings of the 20th AIAA/CEAS Aeroacoustics Conference, AIAA AVIATION Forum, AIAA 2014-3032, Atlanta, GA, USA, 16–20 June 2014. [Google Scholar] [CrossRef]
- Amiet, R.K. Noise due to turbulent flow past a trailing edge. J. Sound Vib. 1976, 46, 387–393. [Google Scholar] [CrossRef]
- Papamoschou, D.; Mayorlal, S. Experiments on shielding of jet noise by airframe surfaces. In Proceedings of the 15th AIAA/CEAS Aeroacoustics Conference (30th AIAA Aeroacoustics Conference), Miami, FL, USA, 11–13 May 2009. AIAA Paper 2009 2009-3326. [Google Scholar] [CrossRef]
- Cavalieri, A.V.G.; Jordan, P.; Wolf, W.R.; Gervais, Y. Scattering of wavepackets by a flat plate in the vicinity of a turbulent jet. J. Sound Vib. 2014, 333, 6516–6531. [Google Scholar] [CrossRef]
- Mancinelli, M.; Di Marco, A.; Camussi, R. Multivariate and conditioned statistics of velocity and wall pressure fluctuations induced by a jet interacting with a flat plate. J. Fluid Mech. 2017, 823, 134–165. [Google Scholar] [CrossRef]
- Proença, A.; Lawrence, J.L.T.; Self, R.H. Experimental study on the aerodynamics of a high subsonic jet interacting with a flat plate. In Proceedings of the 23rd ABCM International Congress of Mechanical Engineering, Rio de Janeiro, Brazil, 6–11 December 2015. [Google Scholar]
- Jordan, P.; Jaunet, V.; Towne, A.; Cavalieri, A.; Colonius, T.; Schmidt, O.; Agarwal, A. Jet–flap interaction tones. J. Fluid Mech. 2018, 853, 333–358. [Google Scholar] [CrossRef]
- Tyacke, J.C.; Wang, Z.N.; Tucker, P.G. LES-RANS of Installed Ultra-High-Bypass-Ratio Coaxial Jet Aeroacoustics with Flight Stream. AIAA J. 2019, 57, 1215–1236. [Google Scholar] [CrossRef]
- Meloni, S.; Mancinelli, M.; Camussi, R.; Huber, J. Wall-Pressure Fluctuations Induced by a Compressible Jet in Installed Configuration. AIAA J. 2020. [Google Scholar] [CrossRef]
- Di Marco, A.; Mancinelli, M.; Camussi, R. Pressure and velocity measurements of an incompressible moderate Reynolds number Jet interaction with a tangential flat plate. J. Fluid Mech. 2015, 770, 247–272. [Google Scholar] [CrossRef]
- Meloni, S.; Di Marco, A.; Mancinelli, M.; Camussi, R. Wall-pressure fluctuations induced by a compressible jet flow over a flat plate at different Mach numbers. Exp. Fluids 2019, 60, 48. [Google Scholar] [CrossRef]
- Meloni, S.; Di Marco, A.; Mancinelli, M.; Camussi, R. Experimental investigation of jet induced wall pressure fluctuations over a tangential flat plate at two Reynolds numbers. Sci. Rep. 2020, 10, 9140. [Google Scholar] [CrossRef] [PubMed]
- Meloni, S.; Di Marco, A.; Mancinelli, M.; Camussi, R. Parametric characterization of wall pressure fluctuations induced by a compressible jet flow interacting with a flat plate. In Proceedings of the 25th AIAA/CEAS Aeroacoustics Conference, Delft, The Netherlands, 20–23 May 2019. [Google Scholar] [CrossRef]
- Grizzi, S.; Camussi, R. Wavelet analysis of near-field pressure fluctuations generated by a subsonic jet. J. Fluid Mech. 2012, 698, 93–124. [Google Scholar] [CrossRef]
- Welch, P. The use of fast Fourier transform for the estimation of power spectra: A method based on time averaging over short, modified periodograms. IEEE Trans. Audio Electroacoust. 1967, 15, 70–73. [Google Scholar] [CrossRef]
- Mancinelli, M.; Camussi, R. An experimental investigation of the wall pressure field induced by a low and moderate Mach numbers jet on a tangential flat plate. In Proceedings of the 2018 AIAA/CEAS Aeroacoustics Conference, AIAA AVIATION Forum, AIAA 2018-3616, Atlanta, GA, USA, 25–29 June 2018. [Google Scholar]
- George, W.; Beuther, P.; Arndt, R. Pressure spectra in turbulent free shear flows. J. Fluid Mech. 1984, 148, 155–191. [Google Scholar] [CrossRef]
- Meloni, S.; Lawrence, J.; Proença, A.; Self, R.; Camussi, R. Wall pressure fluctuations induced by a single stream jet over a semi-finite plate. Int. J. Aeroacoust. 2020. [Google Scholar] [CrossRef]
- Mancinelli, M.T.; Jaunet, V.; Jordan, P.; Towne, A. Screech-tone prediction using upstream-travelling jet modes. Exp. Fluids 2019, 60, 22. [Google Scholar] [CrossRef]










| H/D | Free Jet Zone | Impact Zone | TBL-Like Zone |
|---|---|---|---|
| 0.75 | Not appreciable | 1D-7D | 7D-25D |
| 2 | 1D-10D | 10D-20D | 20D-25D |
© 2020 by the authors. Licensee MDPI, Basel, Switzerland. This article is an open access article distributed under the terms and conditions of the Creative Commons Attribution (CC BY) license (http://creativecommons.org/licenses/by/4.0/).
Share and Cite
Meloni, S.; Camussi, R.; Di Marco, A.; Mancinelli, M. Single and Multivariate Statistics of Jet-Induced Pressure Fluctuations over an Infinite Plate. Appl. Sci. 2020, 10, 4605. https://doi.org/10.3390/app10134605
Meloni S, Camussi R, Di Marco A, Mancinelli M. Single and Multivariate Statistics of Jet-Induced Pressure Fluctuations over an Infinite Plate. Applied Sciences. 2020; 10(13):4605. https://doi.org/10.3390/app10134605
Chicago/Turabian StyleMeloni, Stefano, Roberto Camussi, Alessandro Di Marco, and Matteo Mancinelli. 2020. "Single and Multivariate Statistics of Jet-Induced Pressure Fluctuations over an Infinite Plate" Applied Sciences 10, no. 13: 4605. https://doi.org/10.3390/app10134605
APA StyleMeloni, S., Camussi, R., Di Marco, A., & Mancinelli, M. (2020). Single and Multivariate Statistics of Jet-Induced Pressure Fluctuations over an Infinite Plate. Applied Sciences, 10(13), 4605. https://doi.org/10.3390/app10134605

