Numerical Characterisation of the Aeroacoustic Signature of Propeller Arrays for Distributed Electric Propulsion
Abstract
1. Introduction
2. Towards the Unconventional HEP Aircraft Integrated Design
3. Propeller Aeroacoustics: Theoretical Background
4. Numerical Solver
4.1. Aerodynamic Solver
4.2. Aeroacoustic Solver
5. Results and Discussion
5.1. Aerodynamic Results
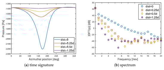
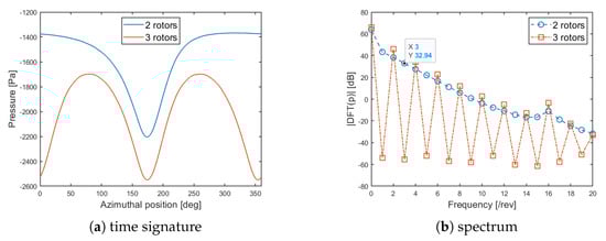
5.2. Aeroacoustic Results
6. Conclusions
Author Contributions
Funding
Conflicts of Interest
Abbreviations
| BWB | Blended-Wing-Body |
| BLI | Boundary Layer Injection |
| DOC | Direct Operational Costs |
| DP | Distributed Propulsion |
| DEP | Distributed Electric Propulsion |
| MCRDO | Multidisciplinary Conceptual Robust Design Optimisazion |
| FRIDA | Framework for Integrated Design of Aircraft |
| BEM | Boundary-Element-Method |
| HEP | Hybrid-Electric-Propelled |
| SPL | Sound Pressure Level |
| OASPL | OverAll Sound Pressure Level |
| H2020 | Horizon 2020 |
| ARTEM | Aircraft noise Reduction Technologies and related Environmental iMpact |
| DLR | Deutsches Zentrum für Luft- und Raumfahrt |
| BPF | Blade-Passage Frequency |
| NACA | National Advisory Committee for Aeronautics |
| DFT | Discrete Fourier Transform |
| variables | |
| Wake induced velocity components | |
| Induced angle of attack | |
| Effective angle of attack | |
| Lift coefficient | |
| Drag coefficient | |
| Moment coefficient | |
| Number of blades | |
| Hub radius | |
| c | Blade chord |
| Blade root | |
| d | Rotor diameter |
| Blade taper ratio | |
| Pitch angle [deg] | |
| T | Period of the tonal noise |
| Rotational speed | |
| Velocity | |
| Potential | |
| Incident potential | |
| Scattered potential | |
| Body surface | |
| Near wake surface | |
| Far wake surface | |
| G | Fundamental solution |
| Normal velocity | |
| Body velocity | |
| Outward unit normal | |
| Induced normal velocity | |
| Velocity induced by the far wake | |
| Potential jump across the wake surface | |
| Thickness noise | |
| Loading noise | |
| Distance between observer and source | |
| Observer position | |
| Source position | |
| Undisturbed speed of sound | |
| Undisturbed medium density | |
| Undisturbed medium pressure | |
| M | Mach number |
| Emission time | |
| t | Time |
| Delay | |
| Tip-clearance |
References
- AIRBUS. Global Market Forecast, Growing Horizons 2017/2036; Technical Report; AIRBUS: Leiden, The Netherlands, 2017. [Google Scholar]
- International Civil Aviation Organization. 2019 Environmental Report—AVIATION AND ENVIRONMENT; Technical Report; International Civil Aviation Organization: Montreal, QC, Canada, 2019. [Google Scholar]
- European Union. Flightpath 2050; Europe’s Vision for Aviation; Technical Report; European Union: Brussels, Belgium, 2011. [Google Scholar] [CrossRef]
- Ploetner, K.; Rothfeld, R.; Urban, M.; Hornung, M.; Tay, G.; Oguntona, O. Technological and Operational Scenarios on Aircraft Fleet–Level towards ATAG and IATA 2050 Emission Targets. In Proceedings of the 17th AIAA Aviation Technology, Integration and Operations Conference, Denver, CO, USA, 5–9 June 2017. [Google Scholar]
- Epstein, A. Aeropropulsion for Commercial Aviation in the Twenty-First Century and Research Direction Needed. AIAA J. 2014, 52, 901–911. [Google Scholar] [CrossRef]
- The National Academies of Sciences, Engineering, Medicine. Commercial Aircraft Propulsion and Energy System Research; Technical Report; The National Academies of Sciences, Engineering, Medicine: Washington, DC, USA, 2016. [Google Scholar] [CrossRef]
- Kim, H. Distributed Propulsion Vehicles. In Proceedings of the 27th International Congress of the Aeronautical Sciences, ICAS 2010, Nice, France, 19–24 September 2010. [Google Scholar]
- Centracchio, F.; Rossetti, M.; Iemma, U. Approach to the Weight Estimation in the Conceptual Design of Hybrid-Electric-Powered Unconventional Regional Aircraft. J. Adv. Transp. 2018, 15. [Google Scholar] [CrossRef]
- Qin, N.; Vavalle, A.; Le Moigne, A.; Laban, M.; Hackett, K.; Weinerfelt, P. Aerodynamic considerations of blended wing body aircraft. Prog. Aerosp. Sci. 2004, 40, 321–343. [Google Scholar] [CrossRef]
- Kim, H.; Brown, G.V.; Felder, J.L. Distributed Turboelectric Propulsion for Hybrid Wing Body Aircraft. In Proceedings of the 2008 International Powered Lift Conference, London, UK, 20–24 July 2008. [Google Scholar]
- Kim, H.D.; Perry, A.T.; Ansell, P.J. A Review of Distributed Electric Propulsion Concepts for Air Vehicle Technology. In Proceedings of the 2018 AIAA/IEEE Electric Aircraft Technologies Symposium (EATS), Cincinnati, OH, USA, 12–14 July 2018; pp. 1–21. [Google Scholar]
- Synodinos, A.; Self, R.; Torija, A. Preliminary noise assessment of aircraft with distributed electric propulsion. In Proceedings of the 2018 AIAA/IEEE Aeroacoustics Conference, AIAA AVIATION Forum, Atlanta, GA, USA, 25–29 June 2018. [Google Scholar]
- Ko, A.; Schetz, J.A.; Mason, W.H. Assessment of the Potential Advantages of Distributed–Propulsion for Aircraft. Int. J. Sustain. Eng. 2018, 11, 122–134. [Google Scholar] [CrossRef]
- Ko, A.; Schetz, J.; Mason, W. Assessment of the Potential Advantages of Distributes Propulsion for Aircraft. In Proceedings of the 16th International Symposium on Air Breathing Engines—ISABE 2003, Cleveland, OH, USA, 31 August–5 September 2003. [Google Scholar]
- Wick, A.T.; Hooker, J.R.; Hardin, C.J. Integrated Aerodynamic Benefits of Distributed Propulsion. In Proceedings of the 25th AIAA/CEAS Aeroacoustic Conference, Delft, The Netherlands, 20–23 May 2019. [Google Scholar]
- Peters, A.; Spakovszky, Z. Rotor Interaction Noise in Counter-Rotating Propfan Propulsion Systems; ASME International: New York, NY, USA, 2010. [Google Scholar]
- Stuermer, A.; Jianping, Y. Aerodynamic and Aeroacoustic Installation Effects for Pusher–Configuration CROR Propulsion Systems. In Proceedings of the 28th AIAA Applied Aerodynamic Conference, Chicago, IL, USA, 28 June–1 July 2010. [Google Scholar]
- Shukla, D.; Komerath, N. Multirotor Drone Aerodynamic Interaction Investigation. Drones 2018, 2, 43. [Google Scholar] [CrossRef]
- Tinney, C.E.; Sirohi, J. Multirotor Drone Noise at Static Thrust. AIAA J. 2018, 56, 2816–2826. [Google Scholar] [CrossRef]
- Zhongqi, J.; Seongkyu, L. Acoustic Analysis of a Quadrotor eVTOL Design via High–Fedelity Simulations. In Proceedings of the 25th AIAA/CEAS Aeroacoustic Conference, Delft, The Netherlands, 20–23 May 2019. [Google Scholar]
- McKay, R.S.; Kingan, M.J. Multirotor Unmanned Aerial System Propeller Noise Caused by Unsteady Blade Motion. In Proceedings of the 25th AIAA/CEAS Aeroacoustic Conference, Delft, The Netherlands, 20–23 May 2019. [Google Scholar]
- Zhou, W.; Ning, Z.; Li, H.; Hu, H. An experimental investigation on rotor-to-rotor interactions of small UAV propellers. In Proceedings of the 35th AIAA Applied Aerodynamics Conference, Denver, CO, USA, 5–9 June 2017; p. 3744. [Google Scholar]
- Chirico, G.; Barakos, G.; Bown, N. Numerical aeroacoustic analysis of propeller design. Aeronaut. J. 2018, 122, 283–315. [Google Scholar] [CrossRef]
- Smith, D.A.; Filippone, A.; Bojdo, N. A Parametric Study of Open Rotor Noise. In Proceedings of the 25th AIAA/CEAS Aeroacoustic Conference, Delft, The Netherlands, 20–23 May 2019. [Google Scholar]
- Yeongmin, J.; Jardin, T.; Jacob, M.C.; Moschetta, J.M. Prediction of Noise from Low Reynolds Number Rotors with Different Number of Blades using Non–Linear Vortex Lattice Method. In Proceedings of the 25th AIAA/CEAS Aeroacoustic Conference, Delft, The Netherlands, 20–23 May 2019. [Google Scholar]
- Roger, M. On combined propeller synchronization and edge scattering for the noise reduction of distributed propulsion systems. In Proceedings of the 26th International Congress on Sound and Vibration, Montreal, QC, Canada, 7–11 July 2019. [Google Scholar]
- Iemma, U.; Pisi Vitagliano, F.; Centracchio, F. Multi-objective design optimization of sustainable commercial aircraft: Performance and costs. Int. J. Sustain. Eng. 2017, 10, 147–157. [Google Scholar] [CrossRef]
- Iemma, U.; Pisi Vitagliano, F.; Centracchio, F. A multi-objective design optimisation of eco-friendly aircraft: The impact of noise fees on airplanes sustainable development. Int. J. Sustain. Eng. 2018, 11, 122–134. [Google Scholar] [CrossRef]
- Adkins, C.; Liebeck, R. Design of Optimum Propellers. J. Propuls. Power 1994, 10, 676–682. [Google Scholar] [CrossRef]
- Falzone, A. Prop Design. Available online: https://propdesign.jimdo.com/ (accessed on 8 April 2020).
- Farassat, F. Derivation of Formulations 1 and 1A of Farassat; Technical Report TM-2007-214853; NASA: Washington, DC, USA, 2007. [Google Scholar]
- Community Research and Development Information Service. ARTEM: Aircraft noise Reduction Technologies and related Environmental iMpact. Available online: https://cordis.europa.eu/project/id/769350 (accessed on 8 April 2020).
- Hubbard, H.H. Aeroacoustics of Flight Vehicles: Theory and Practice. In Noise Sources; Technical Report TR-903052; NASA: Washington, DC, USA, 1991; Volume 1. [Google Scholar]
- Gennaretti, M.; Bernardini, G. Novel boundary integral formulation for blade-vortex interaction aerodynamics of helicopter rotors. AIAA J. 2007, 45, 1169–1176. [Google Scholar] [CrossRef]
- Bernardini, G.; Serafini, J.; Colella, M.M.; Gennaretti, M. Analysis of a structural-aerodynamic fully-coupled formulation for aeroelastic response of rotorcraft. Aerosp. Sci. Technol. 2013, 29, 175–184. [Google Scholar] [CrossRef]
- Gennaretti, M.; Luceri, L.; Morino, L. A unified boundary integral methodology for aerodynamics and aeroacoustics of rotors. J. Sound Vib. 1997, 200, 467–489. [Google Scholar] [CrossRef]
- Morino, L.; Bernardini, G. Singularities in BIEs for the Laplace equation; Joukowski trailing-edge conjecture revisited. Eng. Anal. Bound. Elem. 2001, 25, 805–818. [Google Scholar] [CrossRef]
- Gennaretti, M.; Bernardini, G.; Serafini, J.; Romani, G. Rotorcraft comprehensive code assessment for blade–vortex interaction conditions. Aerosp. Sci. Technol. 2018, 80, 232–246. [Google Scholar] [CrossRef]
- Gennaretti, M.; Bernardini, G.; Hartjes, S.; Scandroglio, A.; Riviello, L.; Paolone, E. Experimental/numerical acoustic correlation of helicopter unsteady MANOEUVRES. In Proceedings of the 42nd European Rotorcraft Forum, Lille, France, 5–8 September 2016. [Google Scholar]














| Variable | Value |
|---|---|
| Wing area | 270 m |
| Total length | 29.3 m |
| Total span | 32.4 m |
| Take-off weight | 33 t |
| Variable | Value |
|---|---|
| No. of blades, | 16, evenly spaced |
| Hub radius, | 0.124 m |
| Chord, c | 0.297 m |
| Blade root, | 0.123 m |
| Diameter, d | 1.484 m |
| Blade taper ratio, | 1.0 |
| Pitch angle, [deg] |
© 2020 by the authors. Licensee MDPI, Basel, Switzerland. This article is an open access article distributed under the terms and conditions of the Creative Commons Attribution (CC BY) license (http://creativecommons.org/licenses/by/4.0/).
Share and Cite
Bernardini, G.; Centracchio, F.; Gennaretti, M.; Iemma, U.; Pasquali, C.; Poggi, C.; Rossetti, M.; Serafini, J. Numerical Characterisation of the Aeroacoustic Signature of Propeller Arrays for Distributed Electric Propulsion. Appl. Sci. 2020, 10, 2643. https://doi.org/10.3390/app10082643
Bernardini G, Centracchio F, Gennaretti M, Iemma U, Pasquali C, Poggi C, Rossetti M, Serafini J. Numerical Characterisation of the Aeroacoustic Signature of Propeller Arrays for Distributed Electric Propulsion. Applied Sciences. 2020; 10(8):2643. https://doi.org/10.3390/app10082643
Chicago/Turabian StyleBernardini, Giovanni, Francesco Centracchio, Massimo Gennaretti, Umberto Iemma, Claudio Pasquali, Caterina Poggi, Monica Rossetti, and Jacopo Serafini. 2020. "Numerical Characterisation of the Aeroacoustic Signature of Propeller Arrays for Distributed Electric Propulsion" Applied Sciences 10, no. 8: 2643. https://doi.org/10.3390/app10082643
APA StyleBernardini, G., Centracchio, F., Gennaretti, M., Iemma, U., Pasquali, C., Poggi, C., Rossetti, M., & Serafini, J. (2020). Numerical Characterisation of the Aeroacoustic Signature of Propeller Arrays for Distributed Electric Propulsion. Applied Sciences, 10(8), 2643. https://doi.org/10.3390/app10082643

