Tin and Antimony as Soil Pollutants along Railway Lines—A Case Study from North-Western Croatia
Abstract
:1. Introduction
2. Materials and Methods
2.1. Study Area
2.2. Sampling and Data Collection
2.3. Soil Properties Analysis
2.4. Sample Preparation for Analysis of Bioavailable and Total Sb and Sn Concentrations
2.5. HR-ICP-MS Analysis
2.6. Statistical Analysis
3. Results and Discussion
3.1. Distribution of Sb and Sn in Soil Near Railway Tracks
3.2. Bioavailable Concentrations of Sn and Sb in Soils
3.3. Properties That Affect the Content of Sn and Sb in the Soil
3.3.1. Influence of Soil Properties
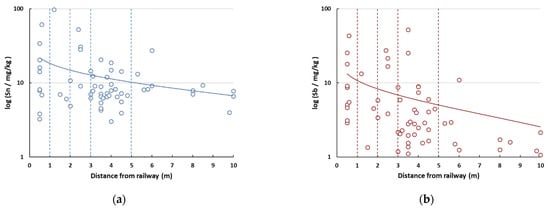
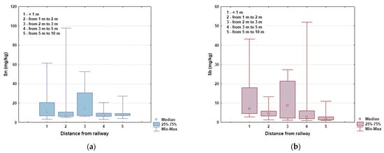
3.3.2. Influence of Distance from Railway
3.3.3. Influence of Site Functionality
3.3.4. Influence of Site Topography
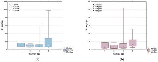
3.3.5. Influence of Railway Age
3.4. Anthropogenic Sources of Soil Pollution with Sn and Sb
4. Conclusions
Supplementary Materials
Author Contributions
Funding
Institutional Review Board Statement
Informed Consent Statement
Data Availability Statement
Conflicts of Interest
References
- Adriano, D.C. Other Trace Elements. In Trace Elements in Terrestrial Environments: Biogeochemistry, Bioavailability, and Risk of Metals; Adriano, D.C., Ed.; Springer: New York, NY, USA, 2001; pp. 759–796. [Google Scholar]
- Filella, M.; Belzile, N.; Chen, Y.-W. Antimony in the Environment: A Review Focused on Natural Waters. Earth-Sci. Rev. 2002, 57, 125–176. [Google Scholar] [CrossRef]
- Clemente, R. Chapter 18: Antimony. In Heavy Metals in Soils—Trace Metals and Metalloids in Soils and Their Bioavailability; Alloway, B.J., Ed.; Springer Science + Business Media: Dordrecht, Germany, 2013; pp. 497–506. [Google Scholar]
- Alloway, B.J. Chapter 24: Tin. In Heavy Metals in Soils—Trace Metals and Metalloids in Soils and Their Bioavailability; Alloway, B.J., Ed.; Springer Science + Business Media: Dordrecht, Germany, 2013; pp. 551–558. [Google Scholar]
- Filella, M.; Williams, P.A.; Belzile, N. Antimony in the Environment: Knowns and Unknowns. Environ. Chem. 2009, 6, 95–105. [Google Scholar] [CrossRef] [Green Version]
- Ashley, P.M.; Graham, B.P.; Tighe, M.K.; Wolfenden, B.J. Antimony and Arsenic Dispersion in the Macleay River Catchment, New South Wales: A Study of the Environmental Geochemical Consequences. Aust. J. Earth Sci. 2007, 54, 83–103. [Google Scholar] [CrossRef]
- Yao, C.; Jiang, X.; Che, F.; Wang, K.; Zhao, L. Antimony Speciation and Potential Ecological Risk of Metal(loid)s in Plain Wetlands in the Lower Yangtze River Valley, China. Chemosphere 2019, 218, 1114–1121. [Google Scholar] [CrossRef]
- Bagherifam, S.; Brown, T.C.; Fellows, C.M.; Naidu, R. Bioavailability of Arsenic and Antimony in Terrestrial Ecosystems: A Review. Pedosphere 2019, 29, 681–720. [Google Scholar] [CrossRef]
- Chillrud, S.N.; Grass, D.; Ross, J.M.; Coulibaly, D.; Slavkovich, V.; Epstein, D.; Sax, S.N.; Pederson, D.; Johnson, D.; Spengler, J.D.; et al. Steel Dust in the New York City Subway System as a Source of Manganese, Chromium, and Iron Exposures for Transit Workers. J. Urban Health Bull. N. Y. Acad. Med. 2005, 82, 33–42. [Google Scholar] [CrossRef]
- Burkhardt, M.; Rossi, L.; Boller, M. Diffuse Release of Environmental Hazards by Railways. Desalination 2008, 226, 106–113. [Google Scholar] [CrossRef]
- Lorenzo, R.; Kaegi, R.; Gehrig, R.; Grobéty, B. Particle Emissions of a Railway Line Determined by Detailed Single Particle Analysis. Atmos. Environ. 2006, 40, 7831–7841. [Google Scholar] [CrossRef] [Green Version]
- Bukowiecki, N.; Gehrig, R.; Hill, M.; Lienemann, P.; Zwicky, C.N.; Buchmann, B.; Weingartner, E.; Baltensperger, U. Iron, Manganese and Copper Emitted by Cargo and Passenger Trains in Zürich (Switzerland): Size-Segregated Mass Concentrations in Ambient Air. Atmos. Environ. 2007, 41, 878–889. [Google Scholar] [CrossRef]
- Gehrig, R.; Hill, M.; Lienemann, P.; Zwicky, C.N.; Bukowiecki, N.; Weingartner, E.; Baltensperger, U.; Buchmann, B. Contribution of Railway Traffic to Local PM10 Concentrations in Switzerland. Atmos. Environ. 2007, 41, 923–933. [Google Scholar] [CrossRef]
- Dzierżanowski, K.; Gawroński, S.W. Heavy Metal Concentration in Plants Growing on the Vicinity of Railroad Tracks: A Pilot Study. Chall. Mod. Technol. 2012, 3, 42–45. [Google Scholar]
- Wiłkomirski, B.; Suska-Malawska, M.; Sudnik-Wójcikowska, B.; Staszewski, T. The Selected Trace Elements in Soil of Railway Stations in North-Eastern Poland. Rocz. Świętokrzyski. Ser B–Nauki Przyr. 2013, 34, 171–180. [Google Scholar]
- Staszewski, T.; Malawska, M.; Studnik-Wójcikowska, B.; Galera, H.; Wiłkomirski, B. Soil and Plants Contamination with Selected Heavy Metals in the Area of a Railway Junction. Arch. Environ. Prot. 2015, 41, 35–42. [Google Scholar] [CrossRef] [Green Version]
- Murray, P.; Ge, Y.; Hendershot, W.H. Evaluating Three Trace Metal Contaminated Sites: A Field and Laboratory Investigation. Environ. Pollut. 2000, 107, 127–135. [Google Scholar] [CrossRef]
- Pollock, S.Z.; Clair, C.C.S. Railway-Associated Attractants as Potential Contaminants for Wildlife. Environ. Manag. 2020, 66, 16–29. [Google Scholar] [CrossRef]
- Chen, Z.; Wang, K.; Ai, Y.W.; Li, W.; Gao, H.; Fang, C. The Effects of Railway Transportation on the Enrichment of Heavy Metals in the Artificial Soil on Railway Cut Slopes. Environ. Monit. Assess. 2014, 186, 1039–1049. [Google Scholar] [CrossRef]
- Chen, Z.; Ai, Y.; Fang, C.; Wang, K.; Li, W.; Liu, S.; Li, C.; Xiao, J.; Huang, Z. Distribution and Phytoavailability of Heavy Metal Chemical Fractions in Artificial Soil on Rock Cut Slopes alongside Railways. J. Hazard. Mater. 2014, 273, 165–173. [Google Scholar] [CrossRef]
- Chen, Z.; Liu, X.; Ai, Y.; Chen, J.; Luo, X.; Chen, J.; Zhong, S. Effects and Mechanisms of Revegetation Modes on Cadmium and Lead Pollution in Artificial Soil on Railway Rock-Cut Slopes. Sci. Total Environ. 2018, 644, 1602–1611. [Google Scholar] [CrossRef]
- Liu, H.; Chen, L.-P.; Ai, Y.-W.; Yang, X.; Yu, Y.-H.; Zuo, Y.-B.; Fu, G.-Y. Heavy Metal Contamination in Soil alongside Mountain Railway in Sichuan, China. Environ. Monit. Assess. 2009, 152, 25–33. [Google Scholar] [CrossRef]
- Ma, J.-H.; Chu, C.-J.; Li, J.; Song, B. Heavy Metal Pollution in Soils on Railroad Side of Zhengzhou-Putian Section of Longxi-Haizhou Railroad, China. Pedosphere 2009, 19, 121–128. [Google Scholar] [CrossRef]
- Meng, X.; Ai, Y.; Li, R.; Zhang, W. Effects of Heavy Metal Pollution on Enzyme Activities in Railway Cut Slope Soils. Environ. Monit. Assess. 2018, 190, 197. [Google Scholar] [CrossRef]
- Zhang, H.; Wang, Z.; Zhang, Y.; Hu, Z. The Effects of the Qinghai–Tibet Railway on Heavy Metals Enrichment in Soils. Sci. Total Environ. 2012, 439, 240–248. [Google Scholar] [CrossRef] [PubMed]
- Zhang, H.; Zhang, Y.; Wang, Z.; Ding, M. Heavy Metal Enrichment in the Soil along the Delhi–Ulan Section of the Qinghai–Tibet Railway in China. Environ. Monit. Assess. 2013, 185, 5435–5447. [Google Scholar] [CrossRef] [PubMed]
- Šeda, M.; Šíma, J.; Volavka, T.; Vondruška, J. Contamination of Soils with Cu, Na and Hg Due to the Highway and Railway Transport. Eurasian J. Soil Sci. 2017, 6, 59–64. [Google Scholar] [CrossRef]
- Kowarik, I. Development of Vegetation on Urban Land. Examples from Berlin (West). Tuexenia 1986, 6, 75–98. [Google Scholar]
- Alok Gude, L. Heavy Metal Detection from Sewage Irrigated Soil beside Railway Tracks in Mumbai. Kongunadu Res. J. 2017, 4, 121–128. [Google Scholar] [CrossRef]
- Akoto, O.; Ephraim, J.H.; Darko, G. Heavy Metals Pollution in Surface Soils in the Vicinity of Abundant Railway Servicing Workshop in Kumasi, Ghana. Int. J. Environ. Res. 2008, 2, 359–364. [Google Scholar]
- Baltrėnas, P.; Vaitiekūnas, P.; Bačiulytė, Ž. Investigation of Soil’s Contamination with Heavy Metals by Railway Transport. J. Environ. Eng. Landsc. Manag. 2009, 17, 244–251. [Google Scholar] [CrossRef]
- Vaiškūnaitė, R.; Jasiūnienė, V. The Analysis of Heavy Metal Pollutants Emitted by Railway Transport. Transport 2020, 35, 213–223. [Google Scholar] [CrossRef]
- Malawska, M.; Wilkomirski, B. Analysis of Soil Pollution by Polichlorinated Biphenyls (PCBs) and Heavy Metals (Cd, Pb) along Railroads. Rocz. Panstw. Zakl. Hig. 1997, 48, 343–349. [Google Scholar]
- Malawska, M.; Wilkomirski, B. Soil and Plant Contamination with Heavy Metals in the Area of the Old Railway Junction Tarnowskie Góry and near Two Main Railway Routes. Rocz. Panstw. Zakl. Hig. 2000, 51, 259–267. [Google Scholar]
- Malawska, M.; Wiłkomirski, B. An Analysis of Soil and Plant (Taraxacum officinale) Contamination with Heavy Metals and Polycyclic Aromatic Hydrocarbons (PAHs) in the Area of the Railway Junction Iława Główna, Poland. Water Air Soil Pollut. 2001, 127, 339–349. [Google Scholar] [CrossRef]
- Mazur, Z.; Radziemska, M.; Maczuga, O.; Makuch, A. Heavy Metal Concentrations in Soil and Moss (Pleurozium schreberi) near Railroad Lines in Olsztyn (Poland). Fresen. Environ. Bull. 2013, 22, 955–961. [Google Scholar]
- Mętrak, M.; Chmielewska, M.; Sudnik-Wójcikowska, B.; Wiłkomirski, B.; Staszewski, T.; Suska-Malawska, M. Does the Function of Railway Infrastructure Determine Qualitative and Quantitative Composition of Contaminants (PAHs, Heavy Metals) in Soil and Plant Biomass? Water Air Soil Pollut. 2015, 226, 253. [Google Scholar] [CrossRef]
- Radziemska, M.; Fronczyk, J.; Mazur, Z.; Vaverková, M. Impact of Railway Transport on Soil and Pleurozium schreberi Contamination with Heavy Metals. Infrastruct. Ecol. Rural Areas 2016, 1, 45–57. [Google Scholar] [CrossRef]
- Radziemska, M.; Gusiatin, Z.M.; Kowal, P.; Bęś, A.; Majewski, G.; Jeznach-Steinhagen, A.; Mazur, Z.; Liniauskienė, E.; Brtnický, M. Environmental Impact Assessment of Risk Elements from Railway Transport with the Use of Pollution Indices, a Biotest and Bioindicators. Hum. Ecol. Risk Assess. Int. J. 2021, 27, 517–540. [Google Scholar] [CrossRef]
- Wierzbicka, M.; Bemowska-Kałabun, O.; Gworek, B. Multidimensional Evaluation of Soil Pollution from Railway Tracks. Ecotoxicology 2015, 24, 805–822. [Google Scholar] [CrossRef] [Green Version]
- Wiłkomirski, B.; Sudnik-Wójcikowska, B.; Galera, H.; Wierzbicka, M.; Malawska, M. Railway Transportation as a Serious Source of Organic and Inorganic Pollution. Water Air Soil Pollut. 2011, 218, 333–345. [Google Scholar] [CrossRef] [PubMed] [Green Version]
- Barcan, V.S.; Kovnatsky, E.F.; Smetannikova, M.S. Absorption of Heavy Metals in Wild Berries and Edible Mushrooms in an Area Affected by Smelter Emissions. Water Air Soil Pollut. 1998, 103, 173–195. [Google Scholar] [CrossRef]
- Kazantsev, I. Rail Transport Is a Source of Soil Contamination with Heavy Metals. Samara J. Sci. 2015, 2, 94–96. [Google Scholar] [CrossRef]
- Stojic, N.; Pucarevic, M.; Stojic, G. Railway Transportation as a Source of Soil Pollution. Transp. Res. Part D Transp. Environ. 2017, 57, 124–129. [Google Scholar] [CrossRef]
- Bobryk, N. Spreading and Accumulation of Heavy Metals in Soils of Railway-Side Areas. Vìsn. Dnìpropetr. Unìv. Ser. Bìol. Ekol. 2015, 23, 183–189. [Google Scholar] [CrossRef] [Green Version]
- Bobryk, N.; Kryvtsova, M.; Nikolajchuk, V.; Voloshchuk, I. Response of Soil Microflora to Impact of Heavy Metals in Zones of Influence of Railway Transport. Vìsn. Dnìpropetr. Unìv. Ser. Bìol. Ekol. 2016, 24, 151–156. [Google Scholar] [CrossRef]
- Samarska, A.V.; Zelenko, Y.V. Assessment of the Railway Influence on the Heavy Metal Accumulation in Soil. Sci. Transp. Prog. Bull. Dnipropetrovsk Natl. Univ. Railw. Transp. 2018, 4, 25–35. [Google Scholar] [CrossRef]
- Samarska, A.V.; Zelenko, Y.V. The Patterns of Spreading and Accumulating Heavy Metals in the Railway Infrastructure Soils. Railw. Transp. Ukr. 2018, 3, 13–21. [Google Scholar]
- Cima, F. Tin: Environmental Pollution and Health Effects. In Encyclopedia of Environmental Health; Elsevier: Amsterdam, The Netherlands, 2019; pp. 65–75. [Google Scholar] [CrossRef]
- Cooper, R.G.; Harrison, A.P. The Exposure to and Health Effects of Antimony. Indian J. Occup. Environ. Med. 2009, 13, 3–10. [Google Scholar] [CrossRef] [PubMed]
- Herath, I.; Vithanage, M.; Bundschuh, J. Antimony as a Global Dilemma: Geochemistry, Mobility, Fate and Transport. Environ. Pollut. 2017, 223, 545–559. [Google Scholar] [CrossRef]
- Rüdel, H. Case Study: Bioavailability of Tin and Tin Compounds. Ecotox. Environ. Saf. 2003, 56, 180–189. [Google Scholar] [CrossRef]
- Malawska, M.; Wilkomirski, B. An Analysis of Polychlorinated Biphenyls (PCBs) Content in Soil and Plant Leaves (Taraxacum officinale) in the Area of the Railway Junction Iława Główna. Toxicol. Environ. Chem. 1999, 70, 509–515. [Google Scholar] [CrossRef]
- Brooks, K.M. Polycyclic Aromatic Hydrocarbon Migration from Creosote-Treated Railway Ties into Ballast and Adjacent Wetlands; Research Paper FPL-RP-617; U.S. Department of Agriculture, Forest Service, Forest Products Laboratory: Madison, WI, USA, 2004.
- Ikarashi, Y.; Kaniwa, M.; Tsuchiya, T. Monitoring of Polycyclic Aromatic Hydrocarbons and Water-Extractable Phenols in Creosotes and Creosote-Treated Woods Made and Procurable in Japan. Chemosphere 2005, 60, 1279–1287. [Google Scholar] [CrossRef]
- Jarvis, N.J.; Almqvist, S.; Stenström, J.; Börjesson, E.; Jonsson, E.; Torstensson, L. Modelling the Leaching of Imazapyr in a Railway Embankment. Pest Manag. Sci. 2006, 62, 940–946. [Google Scholar] [CrossRef] [PubMed]
- Kohler, M.; Künniger, T.; Schmid, P.; Gujer, E.; Crockett, R.; Wolfensberger, M. Inventory and Emission Factors of Creosote, Polycyclic Aromatic Hydrocarbons (PAH), and Phenols from Railroad Ties Treated with Creosote. Environ. Sci. Technol. 2000, 34, 4766–4772. [Google Scholar] [CrossRef]
- Schweinsberg, F.; Abke, W.; Rieth, K.; Rohmann, U.; Zullei-Seibert, N. Herbicide Use on Railway Tracks for Safety Reasons in Germany? Toxicol. Lett. 1999, 107, 201–205. [Google Scholar] [CrossRef]
- Wilkomirski, B.; Galera, H.; Sudnik-Wojcikowska, B.; Staszewski, T.; Malawska, M. Railway Tracks—Habitat Conditions, Contamination, Floristic Settlement—A Review. Environ. Nat. Resour. Res. 2012, 2, 86–95. [Google Scholar] [CrossRef]
- Eze, I.C.; Jeong, A.; Schaffner, E.; Rezwan, F.I.; Ghantous, A.; Foraster, M.; Vienneau, D.; Kronenberg, F.; Herceg, Z.; Vineis, P.; et al. Genome-Wide DNA Methylation in Peripheral Blood and Long-Term Exposure to Source-Specific Transportation Noise and Air Pollution: The SAPALDIA Study. Environ. Health Perspect. 2020, 128, 067003. [Google Scholar] [CrossRef]
- Barrientos, R.; Ascensão, F.; Beja, P.; Pereira, H.M.; Borda-de-Água, L. Railway Ecology vs. Road Ecology: Similarities and Differences. Eur. J. Wildl. Res. 2019, 65, 12. [Google Scholar] [CrossRef]
- Premec, B. Railway Network Map of Croatia 2020. Available online: https://www.hzinfra.hr/wp-content/uploads/2020/08/HZ_MREZA-PRUGA-27-8-2020.pdf (accessed on 5 February 2021).
- Zaninović, K.; Gajić-Čapka, M.; Perčec Tadić, M.; Vučetić, M.; Milković, J.; Bajić, A.; Cindrić, K.; Cvitan, L.; Katušin, Z.; Kaučić, D.; et al. Climate Atlas of Croatia 1961–1990, 1971–2000; Državni Hidrometeorološki Zavod: Zagreb, Croatia, 2008. [Google Scholar]
- HRN ISO 11277. Soil Quality—Determination of Particle Size Distribution in Mineral Soil Material—Method by Sieving and Sedimentation (ISO 11277:2009) 2011. Available online: http://31.45.242.218/HZN/Todb.nsf/wFrameset2?OpenFrameSet&Frame=Down&Src=%2FHZN%2FTodb.nsf%2Fcd07510acb630f47c1256d2c006ec863%2Fb23c712f88d6b685c1257809005388c0%3FOpenDocument%26AutoFramed (accessed on 6 June 2020).
- FAO. Guidelines for Soil Description, 4th ed.; FAO UN: Rome, Italy, 2006. [Google Scholar]
- HRN ISO 10390 Soil Quality—Determination of PH (ISO 10390:2005) 2005. Available online: http://31.45.242.218/HZN/Todb.nsf/wFrameset2?OpenFrameSet&Frame=Down&Src=%2FHZN%2FTodb.nsf%2F66011c0bda2bd4dfc1256cf300764c2d%2F0e782f7e2e6cb750c1256fbd002d42ec%3FOpenDocument%26AutoFramed (accessed on 6 June 2020).
- JDPZ. Tjurin Method. Chemical Methods of Soil Research; JDPZ: Belgrade, Serbia, 1966. [Google Scholar]
- Gračanin, M.; Ilijanić, L. Introduction to Plant Ecology; Školska knjiga: Zagreb, Croatia, 1977. [Google Scholar]
- Novozamsky, I.; Lexmond, T.M.; Houba, V.J.G. A Single Extraction Procedure of Soil for Evaluation of Uptake of Some Heavy Metals by Plants. Int. J. Environ. Anal. Chem. 1993, 51, 47–58. [Google Scholar] [CrossRef]
- Fiket, Ž.; Mikac, N.; Kniewald, G. Mass Fractions of Forty-Six Major and Trace Elements, Including Rare Earth Elements, in Sediment and Soil Reference Materials Used in Environmental Studies. Geostand. Geoanalytical Res. 2017, 41, 123–135. [Google Scholar] [CrossRef]
- Salminen, R.; Batista, M.J.; Bidovec, M.; Demetriades, A.; De Vivo, B.; De Vos, W.; Duris, M.; Gilucis, A.; Gregorauskiene, V.; Halamic, J.; et al. Geochemical Atlas of Europe. Part 1—Background Information, Methodology and Maps 2005. Available online: http://weppi.gtk.fi/publ/foregsatlas/maps_table.php (accessed on 17 June 2021).
- Popp, J.N.; Boyle, S.P. Railway Ecology: Underrepresented in Science? Basic Appl. Ecol. 2017, 19, 84–93. [Google Scholar] [CrossRef]
- Carvalho, P.C.S.; Neiva, A.M.R.; Silva, M.M.V.G. Assessment to the Potential Mobility and Toxicity of Metals and Metalloids in Soils Contaminated by Old Sb–Au and As–Au Mines (NW Portugal). Environ. Earth Sci. 2012, 65, 1215–1230. [Google Scholar] [CrossRef]
- Gál, J.; Hursthouse, A.; Cuthbert, S. Bioavailability of Arsenic and Antimony in Soils from an Abandoned Mining Area, Glendinning (SW Scotland). J. Environ. Sci. Health Part A 2007, 42, 1263–1274. [Google Scholar] [CrossRef]
- Flynn, H.C.; Meharg, A.A.; Bowyer, P.K.; Paton, G.I. Antimony Bioavailability in Mine Soils. Environ. Pollut. 2003, 124, 93–100. [Google Scholar] [CrossRef]
- Okkenhaug, G.; Zhu, Y.-G.; Luo, L.; Lei, M.; Li, X.; Mulder, J. Distribution, Speciation and Availability of Antimony (Sb) in Soils and Terrestrial Plants from an Active Sb Mining Area. Environ. Pollut. 2011, 159, 2427–2434. [Google Scholar] [CrossRef] [PubMed]
- Johnson, C.A.; Moench, H.; Wersin, P.; Kugler, P.; Wenger, C. Solubility of Antimony and Other Elements in Samples Taken from Shooting Ranges. J. Environ. Qual. 2005, 34, 248–254. [Google Scholar] [CrossRef] [Green Version]
- Wang, J.; Liu, T.; Sun, W.; Chen, Q. Bioavailable Metal(loid)s and Physicochemical Features Co-Mediating Microbial Communities at Combined Metal(loid) Pollution Sites. Chemosphere 2020, 260, 127619. [Google Scholar] [CrossRef] [PubMed]
- Hiller, E.; Pilková, Z.; Filová, L.; Jurkovič, Ľ.; Mihaljevič, M.; Lacina, P. Concentrations of Selected Trace Elements in Surface Soils near Crossroads in the City of Bratislava (the Slovak Republic). Environ. Sci. Pollut. Res. 2021, 28, 5455–5471. [Google Scholar] [CrossRef] [PubMed]
- Dousova, B.; Lhotka, M.; Buzek, F.; Cejkova, B.; Jackova, I.; Bednar, V.; Hajek, P. Environmental Interaction of Antimony and Arsenic near Busy Traffic Nodes. Sci. Total Environ. 2020, 702, 134642. [Google Scholar] [CrossRef] [PubMed]
- Földi, C.; Sauermann, S.; Dohrmann, R.; Mansfeldt, T. Traffic-Related Distribution of Antimony in Roadside Soils. Environ. Pollut. 2018, 237, 704–712. [Google Scholar] [CrossRef] [PubMed]
- Hjortenkrans, D.S.T.; Bergbäck, B.G.; Häggerud, A.V. Transversal Immission Patterns and Leachability of Heavy Metals in Road Side Soils. J. Environ. Monit. 2008, 10, 739–746. [Google Scholar] [CrossRef] [PubMed]
- Yalcin, M.G.; Battaloglu, R.; Ilhan, S.; Tümüklü, A.; Topuz, D. Heavy Metal Contamination along the Nigde-Adana Highway, Turkey. Asian J. Chem. 2007, 19, 1506–1518. [Google Scholar]
- Zanello, S.; Melo, V.F.; Nagata, N. Study of Different Environmental Matrices to Access the Extension of Metal Contamination along Highways. Environ. Sci. Pollut. Res. 2018, 25, 5969–5979. [Google Scholar] [CrossRef] [PubMed]
- Yan, G.; Mao, L.; Liu, S.; Mao, Y.; Ye, H.; Huang, T.; Li, F.; Chen, L. Enrichment and Sources of Trace Metals in Roadside Soils in Shanghai, China: A Case Study of Two Urban/Rural Roads. Sci. Total Environ. 2018, 631–632, 942–950. [Google Scholar] [CrossRef]
- OG (Official Gazette) 09/2014 Ordinance on the Protection of Agricultural Land against Pollution. Available online: https://narodne-novine.nn.hr/clanci/sluzbeni/2014_01_9_167.html (accessed on 15 July 2021).
- OG (Official Gazette) 20/2018 Law on Agricultural Land. Available online: https://narodne-novine.nn.hr/clanci/sluzbeni/2018_03_20_402.html (accessed on 15 July 2021).
- OG (Official Gazette) 115/2018 Law on Amendments to the Law on Agricultural Land. Available online: https://narodne-novine.nn.hr/clanci/sluzbeni/2018_12_115_2253.html (accessed on 15 July 2021).
- OG (Official Gazette) 47/2019 Ordinance on Methodology for Monitoring the Condition of Agricultural Land. Available online: https://narodne-novine.nn.hr/clanci/sluzbeni/2019_05_47_918.html (accessed on 15 July 2021).
- ECHA (European Chemicals Agency) Substance Infocard: Antimony. Available online: https://echa.europa.eu/hechar/substance-information/-/substanceinfo/100.028.314 (accessed on 29 July 2020).
- ECHA (European Chemicals Agency) Substance Infocard: Tin. Available online: https://echa.europa.eu/hr/substance-information/-/substanceinfo/100.028.310 (accessed on 29 July 2020).
- US EPA Priority Pollutant List 2014. Available online: https://www.epa.gov/sites/production/files/2015-09/documents/priority-pollutant-list-epa.pdf (accessed on 19 November 2021).
- Soil Remediation Circular. Rijkswaterstaat, Ministry of Infrastructure and Water Management. 2013. Available online: https://rwsenvironment.eu/subjects/soil/legislation-and/soil-remediation/ (accessed on 19 November 2021).
- Kabata-Pendias, A. Behavioural Properties of Trace Metals in Soils. Appl. Geochem. 1993, 8, 3–9. [Google Scholar] [CrossRef]
- Nakamaru, Y.M.; Martín Peinado, F.J. Effect of Soil Organic Matter on Antimony Bioavailability after the Remediation Process. Environ. Pollut. 2017, 228, 425–432. [Google Scholar] [CrossRef]
- Ptak, C.; McBride, M. Organically Complexed Iron Enhances Bioavailability of Antimony to Maize (Zea mays) Seedlings in Organic Soils: Complexed Iron Enhances Bioavailability of Antimony to Maize. Environ. Toxicol. Chem. 2015, 34, 2732–2738. [Google Scholar] [CrossRef] [PubMed]
- Wang, X.; Li, F.; Yuan, C.; Li, B.; Liu, T.; Liu, C.; Du, Y.; Liu, C. The Translocation of Antimony in Soil-Rice System with Comparisons to Arsenic: Alleviation of Their Accumulation in Rice by Simultaneous Use of Fe(II) and NO3−. Sci. Total Environ. 2019, 650, 633–641. [Google Scholar] [CrossRef] [PubMed]
- Zhang, P.; Wu, T.-L.; Ata-Ul-Karim, S.T.; Ge, Y.-Y.; Cui, X.; Zhou, D.-M.; Wang, Y.-J. Influence of Soil Properties and Aging on Antimony Toxicity for Barley Root Elongation. Bull. Environ. Contam. Toxicol. 2020, 104, 714–720. [Google Scholar] [CrossRef] [PubMed]
- Li, J.; Wang, Q.; Oremland, R.S.; Kulp, T.R.; Rensing, C.; Wang, G. Microbial Antimony Biogeochemistry: Enzymes, Regulation, and Related Metabolic Pathways. Appl. Environ. Microbiol. 2016, 82, 5482–5495. [Google Scholar] [CrossRef] [PubMed] [Green Version]
- Houba, V.J.G.; Lexmond, T.M.; Novozamsky, I.; van der Lee, J.J. State of the Art and Future Developments in Soil Analysis for Bioavailability Assessment. Sci. Total Environ. 1996, 178, 21–28. [Google Scholar] [CrossRef]
- Houba, V.J.G.; Temminghoff, E.J.M.; Gaikhorst, G.A.; van Vark, W. Soil Analysis Procedures Using 0.01 M Calcium Chloride as Extraction Reagent. Commun. Soil Sci. Plant Anal. 2000, 31, 1299–1396. [Google Scholar] [CrossRef]
- Sahuquillo, A.; Rigol, A.; Rauret, G. Overview of the Use of Leaching/Extraction Tests for Risk Assessment of Trace Metals in Contaminated Soils and Sediments. TrAC Trends Anal. Chem. 2003, 22, 152–159. [Google Scholar] [CrossRef]
- Pueyo, M.; López-Sánchez, J.F.; Rauret, G. Assessment of CaCl2, NaNO3 and NH4NO3 Extraction Procedures for the Study of Cd, Cu, Pb and Zn Extractability in Contaminated Soils. Anal. Chim. Acta 2004, 504, 217–226. [Google Scholar] [CrossRef]
- Ettler, V.; Mihaljevič, M.; Šebek, O.; Nechutný, Z. Antimony Availability in Highly Polluted Soils and Sediments—A Comparison of Single Extractions. Chemosphere 2007, 68, 455–463. [Google Scholar] [CrossRef] [PubMed]
- Diquattro, S.; Garau, G.; Mangia, N.P.; Drigo, B.; Lombi, E.; Vasileiadis, S.; Castaldi, P. Mobility and Potential Bioavailability of Antimony in Contaminated Soils: Short-Term Impact on Microbial Community and Soil Biochemical Functioning. Ecotoxicol. Environ. Saf. 2020, 196, 110576. [Google Scholar] [CrossRef]
- Egodawatta, L.P.; Holland, A.; Koppel, D.; Jolley, D.F. Interactive Effects of Arsenic and Antimony on Ipomoea aquatica Growth and Bioaccumulation in Co-Contaminated Soil. Environ. Pollut. 2020, 259, 113830. [Google Scholar] [CrossRef] [PubMed]
- Xu, Z.; Yang, Z.; Zhu, T.; Shu, W. Toxicity of Soil Antimony to Earthworm Eisenia fetida (Savingy) before and after the Aging Process. Ecotoxicol. Environ. Saf. 2021, 207, 111278. [Google Scholar] [CrossRef]
- Bureć-Drewniak, W.; Jaroń, I.; Kucharzyk, J.; Narkiewicz, W.; Pasieczna, A. Investigation of Tin and Molybdenum Concentrations in the Soils in the Southern Part of the Silesian Upland. E3S Web Conf. 2013, 1, 08005. [Google Scholar] [CrossRef]
- Rieuwerts, J.S.; Thornton, I.; Farago, M.E.; Ashmore, M.R. Factors Influencing Metal Bioavailability in Soils: Preliminary Investigations for the Development of a Critical Loads Approach for Metals. Chem. Speciat. Bioavailab. 1998, 10, 61–75. [Google Scholar] [CrossRef] [Green Version]
- Young, S.D. Chapter 3: Chemistry of Heavy Metals and Metalloids in Soils. In Heavy Metals in Soils—Trace Metals and Metalloids in Soils and Their Bioavailability; Alloway, B.J., Ed.; Springer Science + Business Media: Dordrecht, Germany, 2013; pp. 51–95. [Google Scholar]
- Vo, P.T.; Ngo, H.H.; Guo, W.; Zhou, J.L.; Listowski, A.; Du, B.; Wei, Q.; Bui, X.T. Stormwater Quality Management in Rail Transportation—Past, Present and Future. Sci. Total Environ. 2015, 512–513, 353–363. [Google Scholar] [CrossRef]
- Månsson, N.S.; Hjortenkrans, D.S.T.; Bergbäck, B.G.; Sörme, L.; Häggerud, A.V. Sources of Antimony in an Urban Area. Environ. Chem. 2009, 6, 160–169. [Google Scholar] [CrossRef] [Green Version]
- Wan, D.; Han, Z.; Yang, J.; Yang, G.; Liu, X. Heavy Metal Pollution in Settled Dust Associated with Different Urban Functional Areas in a Heavily Air-Polluted City in North China. Int. J. Environ. Res. Public. Health 2016, 13, 1119. [Google Scholar] [CrossRef] [PubMed] [Green Version]








| No. of Locality | Locality | Sn (mg/kg) | Sb (mg/kg) | Humus (%) | pHH2O | pHKCl | Texture Class |
|---|---|---|---|---|---|---|---|
| 1 | Golubovec | 3.98 | 1.21 | 2.7 | 6.8 | 6.2 | Prl |
| 2 | Lepoglava | 14.5 | 8.71 | 8.7 | 7.1 | 6.7 | Pl |
| 3 | Kaniža | 7.90 | 0.98 | 4.5 | 7.1 | 6.6 | Prl |
| 4 | Ivanec | 8.25 | 1.50 | 6.2 | 7.3 | 6.7 | Prl |
| 5 | Ivanec | 7.88 | 5.07 | 8.8 | 7.3 | 6.9 | Pl |
| 6 | Novo Cerje | 14.3 | 6.02 | 9.2 | 7.3 | 6.7 | Prl |
| 7 | Novo Cerje | 9.31 | 1.59 | 3.9 | 7.2 | 6.2 | Pr |
| 8 | Gojanec | 7.10 | 1.11 | 8.2 | 7.3 | 6.8 | Pl |
| 9 | Donji Kućan | 7.04 | 1.18 | 4.0 | 7.3 | 6.8 | Pl |
| 10 | Jalžabet | 7.25 | 1.65 | 5.4 | 7.4 | 6.7 | Prl |
| 11 | Martijanec | 7.06 | 1.72 | 4.8 | 6.9 | 6.0 | Prl |
| 12 | Ludbreg | 18.8 | 8.92 | 10.9 | 7.1 | 6.8 | Pl |
| 13 | Ludbreg | 16.2 | 8.62 | 5.2 | 7.6 | 7.3 | IP |
| 14 | Varaždin | 52.6 | 27.4 | 8.5 | 7.7 | 7.1 | Pl |
| 15 | Varaždin | 14.2 | 9.09 | 2.7 | 8.1 | 7.9 | Pl |
| 16 | Varaždin | 30.7 | 21.4 | 17.7 | 7.8 | 7.1 | Pl |
| 17 | Varaždin-Turčin | 6.63 | 1.06 | 1.2 | 7.7 | 6.8 | I |
| 18 | Tomaševec-Križanec | 8.26 | 1.54 | 3.1 | 7.6 | 6.7 | Prl |
| 19 | Krušljevec | 7.80 | 2.06 | 4.1 | 7.7 | 7.1 | IP |
| 20 | Presečno-Novi Marof | 7.89 | 1.25 | 2.5 | 7.9 | 7.3 | I |
| 21 | Novi Marof | 8.11 | 2.94 | 14.7 | 7.7 | 6.8 | Pl |
| 22 | Mađarevo-Topličica | 6.98 | 1.35 | 2.6 | 7.9 | 7.4 | IP |
| 23 | Podrute | 20.5 | 17.9 | 8.0 | 7.8 | 7.4 | Prl |
| 24 | Podrute | 9.08 | 3.84 | 5.4 | 7.8 | 7.1 | Prl |
| 25 | Podrute-Budinšćina | 6.54 | 1.36 | 5.5 | 7.7 | 7.2 | Pl |
| 26 | Budinšćina | 14.9 | 8.90 | 12.9 | 7.7 | 7.1 | Pl |
| 27 | Hrašćina Trgovišće | 7.81 | 2.13 | 15.5 | 7.5 | 6.9 | PrGl |
| 28 | Konjščina | 8.96 | 52.0 | 9.5 | 7.6 | 7.3 | Pl |
| 29 | Donji Lipovec | 9.17 | 1.25 | 1.9 | 7.4 | 5.8 | Pr |
| 30 | Zlatar Bistrica | 7.25 | 2.00 | 7.0 | 7.3 | 6.7 | Prl |
| 31 | Zlatar Bistrica | 12.0 | 4.33 | 5.1 | 6.7 | 6.8 | Prl |
| 32 | Lovrećan-Poznanovec | 9.07 | 2.28 | 7.1 | 6.8 | 6.8 | I |
| 33 | Zagreb, Main station | 8.20 | 4.61 | 4.9 | 7.1 | 7.1 | Prl |
| 34 | Zagreb, Main station | 27.4 | 11.0 | 9.2 | 7.1 | 7.0 | Prl |
| 35 | Zagreb, Main station | 6.90 | 5.49 | 4.1 | 7.4 | 7.5 | P |
| 36 | Zagreb, Western station | 10.7 | 5.83 | 5.1 | 7.5 | 7.3 | IP |
| 37 | Zagreb, Western station | 3.25 | 3.10 | 1.0 | 7.7 | 7.6 | P |
| 38 | Kustošija-Zagreb, Main station | 5.58 | 4.06 | 8.6 | 7.5 | 7.2 | P |
| 39 | Vrapče | 6.77 | 3.95 | 5.3 | 7.8 | 7.2 | Prl |
| 40 | Podsused | 34.1 | 25.5 | 14.0 | 7.7 | 7.0 | Pl |
| 41 | Podsused | 3.94 | 2.34 | 5.5 | 7.7 | 7.4 | Pl |
| 42 | Zaprešić | 28.4 | 16.7 | 15.7 | 7.8 | 7.0 | Pl |
| 43 | Zaprešić | 12.4 | 5.92 | 9.2 | 7.7 | 7.1 | PI |
| 44 | Zaprešić | 97.6 | 13.3 | 15.0 | 7.7 | 7.1 | Pl |
| 45 | Novi Dvori | 4.31 | 1.95 | 8.7 | 7.6 | 7.1 | I |
| 46 | Novi Dvori-Zaprešić | 6.80 | 4.45 | 9.5 | 7.7 | 6.8 | I |
| 47 | Pojatno | 5.38 | 2.80 | 7.4 | 7.6 | 6.9 | I |
| 48 | Kupljenovo | 3.04 | 2.49 | 4.6 | 7.9 | 7.2 | I |
| 49 | Luka | 9.62 | 7.41 | 10.9 | 7.8 | 7.2 | IP |
| 50 | Žeinci | 61.4 | 43.2 | 11.5 | 7.6 | 7.0 | I |
| 51 | Vekiko Trgovišće | 20.7 | 25.3 | 13.1 | 7.7 | 7.0 | I |
| 52 | Vekiko Trgovišće | 4.55 | 1.54 | 4.3 | 7.8 | 7.1 | Prl |
| 53 | Zabok | 6.22 | 2.17 | 7.8 | 7.8 | 7.0 | Prl |
| 54 | Zabok | 3.83 | 2.89 | 9.3 | 7.8 | 7.0 | PI |
| 55 | Hum Lug | 4.88 | 3.40 | 6.2 | 7.7 | 7.1 | PI |
| 56 | Dubrava Zabočka | 6.50 | 2.79 | 7.0 | 7.4 | 6.9 | Prl |
| 57 | Špičkovina | 6.12 | 4.53 | 3.2 | 7.8 | 7.5 | IP |
| 58 | Poznanovec-Bedekovčina | 6.23 | 2.97 | 6.9 | 7.6 | 7.1 | Prl |
| 59 | Bedekovčina | 6.52 | 2.89 | 8.3 | 7.8 | 7.1 | I |
| 60 | Bedekovčina | 13.3 | 2.85 | 4.4 | 7.9 | 7.1 | I |
| Average | 13.2 | 7.13 | 7.3 | ||||
| Median | 7.89 | 3.04 | 7.0 | ||||
| Maximum | 97.6 | 52.0 | 17.7 | 8.05 | 7.90 | ||
| Minimum | 3.04 | 0.98 | 1.00 | 6.70 | 5.84 | ||
| Background sample | 4.13 | 1.67 |
Publisher’s Note: MDPI stays neutral with regard to jurisdictional claims in published maps and institutional affiliations. |
© 2022 by the authors. Licensee MDPI, Basel, Switzerland. This article is an open access article distributed under the terms and conditions of the Creative Commons Attribution (CC BY) license (https://creativecommons.org/licenses/by/4.0/).
Share and Cite
Stančić, Z.; Fiket, Ž.; Vuger, A. Tin and Antimony as Soil Pollutants along Railway Lines—A Case Study from North-Western Croatia. Environments 2022, 9, 10. https://doi.org/10.3390/environments9010010
Stančić Z, Fiket Ž, Vuger A. Tin and Antimony as Soil Pollutants along Railway Lines—A Case Study from North-Western Croatia. Environments. 2022; 9(1):10. https://doi.org/10.3390/environments9010010
Chicago/Turabian StyleStančić, Zvjezdana, Željka Fiket, and Andreja Vuger. 2022. "Tin and Antimony as Soil Pollutants along Railway Lines—A Case Study from North-Western Croatia" Environments 9, no. 1: 10. https://doi.org/10.3390/environments9010010
APA StyleStančić, Z., Fiket, Ž., & Vuger, A. (2022). Tin and Antimony as Soil Pollutants along Railway Lines—A Case Study from North-Western Croatia. Environments, 9(1), 10. https://doi.org/10.3390/environments9010010

