Abstract
Documenting baseline elemental distribution patterns in crops under non-contaminated conditions provides a physiological reference for understanding constitutive metal homeostasis. This study compared the internal allocation of elements in sunflower (Helianthus annuus), wheat (Triticum aestivum), and maize (Zea mays) grown in soil with a specific geochemical profile. Soil was characterized using X-ray Fluorescence Spectroscopy (XRF) and Inductively Coupled Plasma Mass Spectrometry (ICP-MS). Plants were grown under controlled conditions, and elemental concentrations in roots and shoots were quantified to calculate Bioaccumulation (BCF) and Translocation (TF) Factors. Soil analysis confirmed nickel (42.6 mg kg−1) and copper (32.8 mg kg−1) concentrations within typical global ranges for uncontaminated soils. Species exhibited different distribution tendencies: sunflower showed balanced root–shoot allocation for nickel (TF = 1.00); wheat demonstrated pronounced root retention of nickel and copper (TF < 0.5); and maize exhibited preferential translocation of copper (TF = 0.76) alongside root retention of nickel. Concentrations of lead, selenium, and silver were minimal across all species. The study delineates different species-specific tendencies in internal elemental allocation under given growth conditions. These patterns represent baseline physiological behaviors rather than responses to contamination, providing a comparative dataset that contributes to the understanding of crop ionomics and informs the interpretation of tissue metal concentrations in relation to soil conditions.
1. Introduction
The internal management of elements by plants—encompassing uptake, transport, and tissue allocation—is a fundamental aspect of plant physiology with implications for agriculture and environmental science. Plants require specific metals, such as iron (Fe), copper (Cu), and zinc (Zn), as essential micronutrients for processes like photosynthesis and enzyme function [1,2]. Conversely, they encounter non-essential elements, including nickel (Ni) and lead (Pb), which can be disruptive at elevated concentrations [3,4]. To maintain fitness, plants employ regulatory mechanisms to balance nutrient acquisition with toxicity avoidance, achieving a state of elemental homeostasis [5,6].
These regulatory strategies are not uniform but exhibit considerable interspecific variation [7,8]. This variation results in different patterns of elemental distribution, defined as the quantitative partitioning of an element between roots and shoots and among aerial tissues. Characterizing these baseline distribution behaviors in the absence of significant contamination is important, as it establishes a constitutive physiological reference. Such data can aid in interpreting tissue metal concentrations, contribute to fundamental ionomic profiling, and provide context for studies conducted under metal-stress conditions [9,10]. A detailed understanding of how common crops handle elements under normal growth conditions is, therefore, a necessary component of plant physiological research [11,12].
Globally important, high-biomass crops such as sunflower (Helianthus annuus), wheat (Triticum aestivum), and maize (Zea mays) are widely studied for their agronomic traits and have documented, though varied, interactions with metals [13,14]. Research continues to elucidate the molecular and physiological bases of metal handling in these species [15,16]. However, a controlled, simultaneous comparison of their inherent elemental distribution strategies—specifically, the root-to-shoot allocation and tissue partitioning of a suite of elements when grown in a common soil with a defined, non-toxic geochemical profile—remains underexplored. Data from such a comparison are needed to delineate constitutive distribution patterns, separate them from pronounced stress responses, and provide a standardized physiological benchmark.
Therefore, this study aimed to conduct a comparative analysis of elemental distribution in sunflower, wheat, and maize grown under identical conditions in soil with a specific geochemical profile. We quantified elemental concentrations in soil and plant organs using X-ray Fluorescence Spectroscopy (XRF) and Inductively Coupled Plasma Mass Spectrometry (ICP-MS) and evaluated internal partitioning using Bioaccumulation (BCF) and Translocation (TF) Factors. The objective was to document and compare the species-specific distribution tendencies for both essential and non-essential elements, thereby contributing a controlled dataset to the understanding of baseline metal handling in these agronomically vital species.
2. Results and Discussion
2.1. Soil Geochemical Profile and Metal Concentrations
2.1.1. Elemental Concentrations in Contaminated Soils
The analysis of the homogenized experimental soil provided the baseline geochemical context for the study (Table 1). The data indicate that the experimental soil possesses a specific geochemical profile.
Table 1.
Metal concentrations (mg kg−1, mean ± SD) in the experimental soil, local reference soil, and typical global ranges for uncontaminated soils [17,18].
Concentrations of nickel (Ni: 42.6 ± 3.8 mg kg−1) and copper (Cu: 32.8 ± 2.9 mg kg−1) fall within reported ranges for uncontaminated soils [17,18]. Lead (Pb: 11.5 ± 1.2 mg kg−1), selenium (Se), and silver (Ag) were present at low concentrations (Table 1).
Both the experimental and local reference soils exhibited iron (Fe) concentrations below typical global crustal averages, with values of 3628 ± 210 mg kg−1 and 85 ± 4.7 mg kg−1, respectively. This is consistent with the region’s highly weathered, sandy Plinthic Catena soils, where podsolization can lead to significant leaching of Fe from surface horizons [19]. The aqua regia/HF digestion method used reports a bioaccessible/pseudo-total fraction [20,21]; therefore, the measured Fe values reflect the readily soluble and plant-available pool in the homogenized growth medium.
The uniformity of the elemental profile across sampling points indicates a well-mixed substrate. The use of this homogenized soil ensured all plants were exposed to an identical growth medium, enabling a direct comparison of species-specific distribution patterns under these specific geochemical conditions.
2.1.2. Local Reference Soil
For additional site-specific context, soil was collected from an undisturbed natural grassland area. As presented in Table 1, this reference soil exhibited low concentrations of all analyzed elements. Concentrations of nickel (25 ± 1.8 mg kg−1) and copper (18 ± 1.8 mg kg−1) were at the lower end of typical background ranges [17,18], while lead, selenium, and silver were present at trace levels.
The reference soil’s iron concentration (85 ± 4.7 mg kg−1) was very low, which aligns with the characteristics of highly leached, sandy horizons within the region’s Plinthic Catena soil system [19]. While providing a useful local contrast, the atypical composition of this reference soil means it does not serve as a broad geochemical baseline.
The comparison shows that the experimental soil possessed higher concentrations of Fe, Ni, and Cu relative to this specific local reference. Crucially, as established in Section 2.1.1, the elemental concentrations in the experimental soil remain within documented ranges for uncontaminated soils [17,18,20].
2.2. Comparative Elemental Distribution Across Species
Analysis of elemental concentrations in roots, stems, and leaves revealed different distribution patterns among the three species.
2.2.1. Overview of Distribution Patterns
The three crop species exhibited different elemental distribution patterns when grown in the experimental soil (Figure 1, Figure 2 and Figure 3). Statistical analysis confirmed a significant species × element interaction (p < 0.001), indicating that tissue concentrations depended on both the plant species and the specific element, a finding consistent with ionomic profiling studies [21,22].
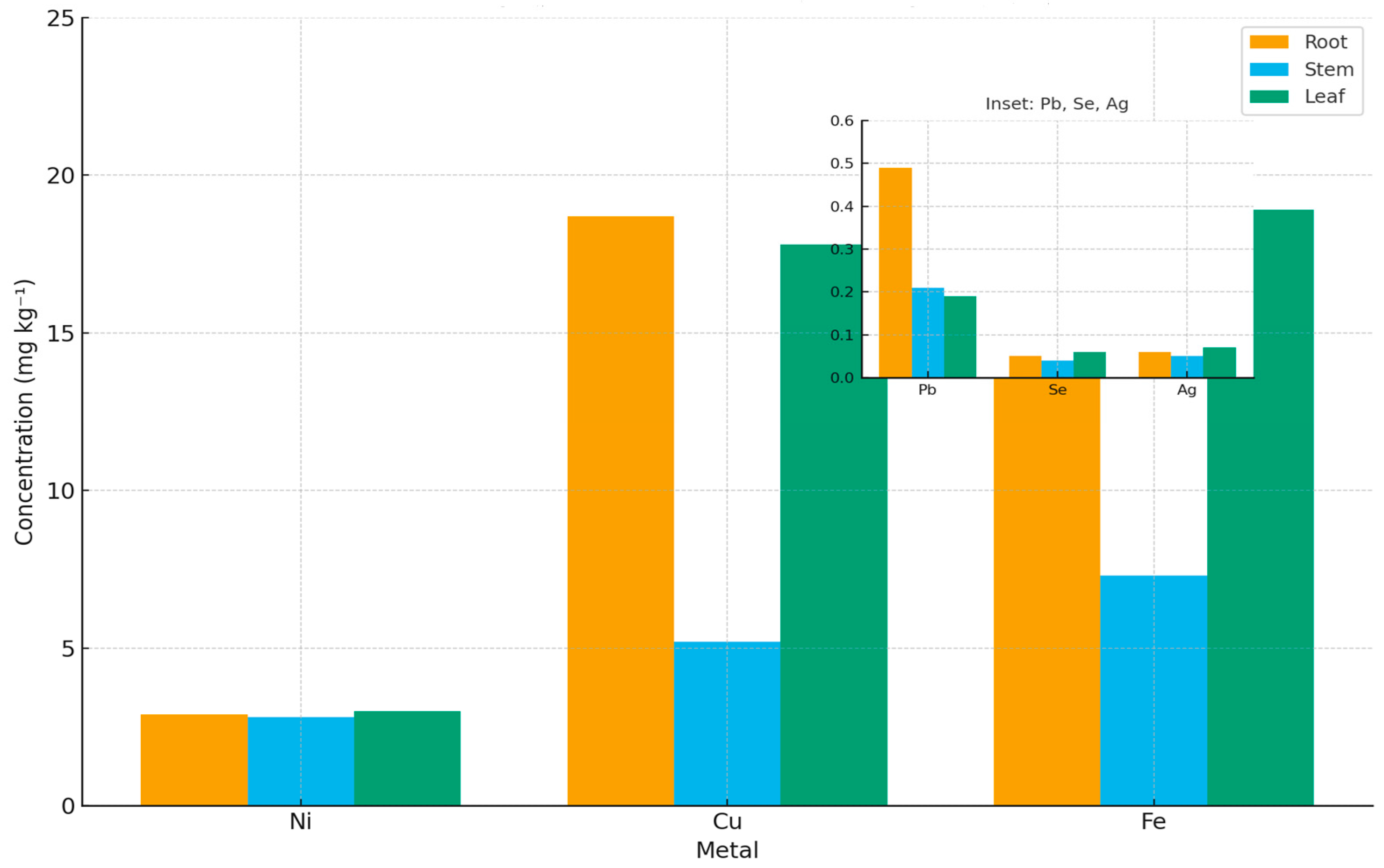
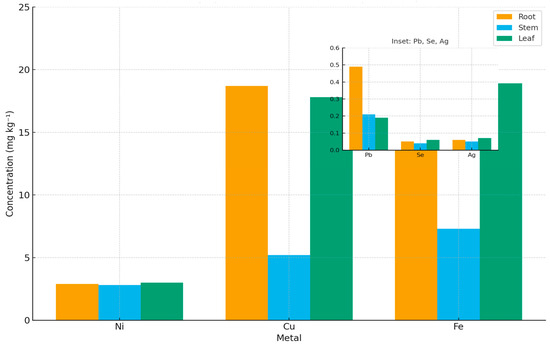
Figure 1.
Elemental concentrations (mg kg−1 dry weight) in roots, stems, and leaves of sunflower (Helianthus annuus) grown in experimental soil. Main panel: nickel (Ni), copper (Cu), and iron (Fe). Inset with expanded y-axis scale: lead (Pb), selenium (Se), and silver (Ag). Values represent mean ± standard deviation (n = 4 biological replicates). Different lowercase letters above bars for a given element indicate statistically significant differences between plant organs (Tukey’s HSD post hoc test, p < 0.05 following significant ANOVA).
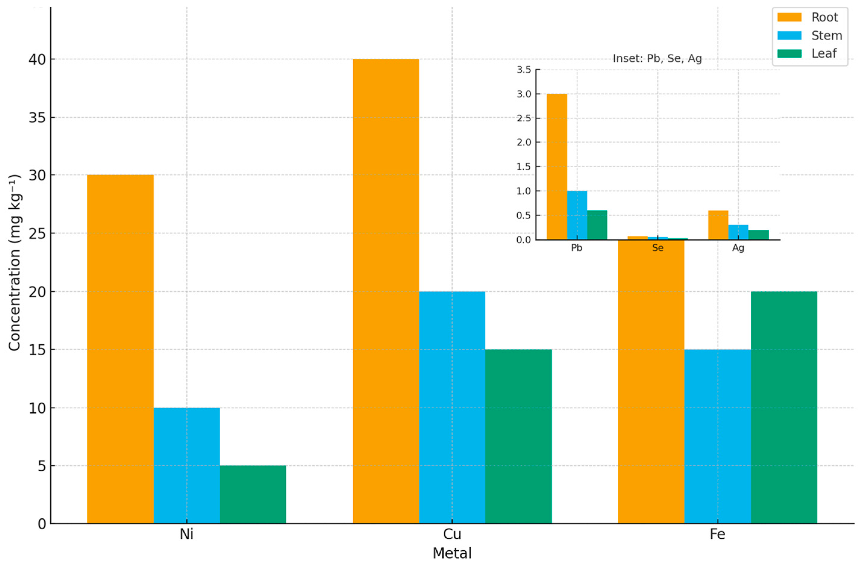
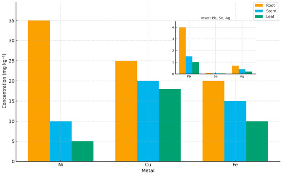
Figure 2.
Elemental concentrations (mg kg−1 dry weight) in roots, stems, and leaves of wheat (Triticum aestivum) grown in experimental soil. Main panel: Ni, Cu, Fe. Inset with expanded y-axis scale: Pb, Se, Ag. Values represent mean ± standard deviation (n = 4). Different lowercase letters indicate statistically significant differences between organs (Tukey’s HSD, p < 0.05).
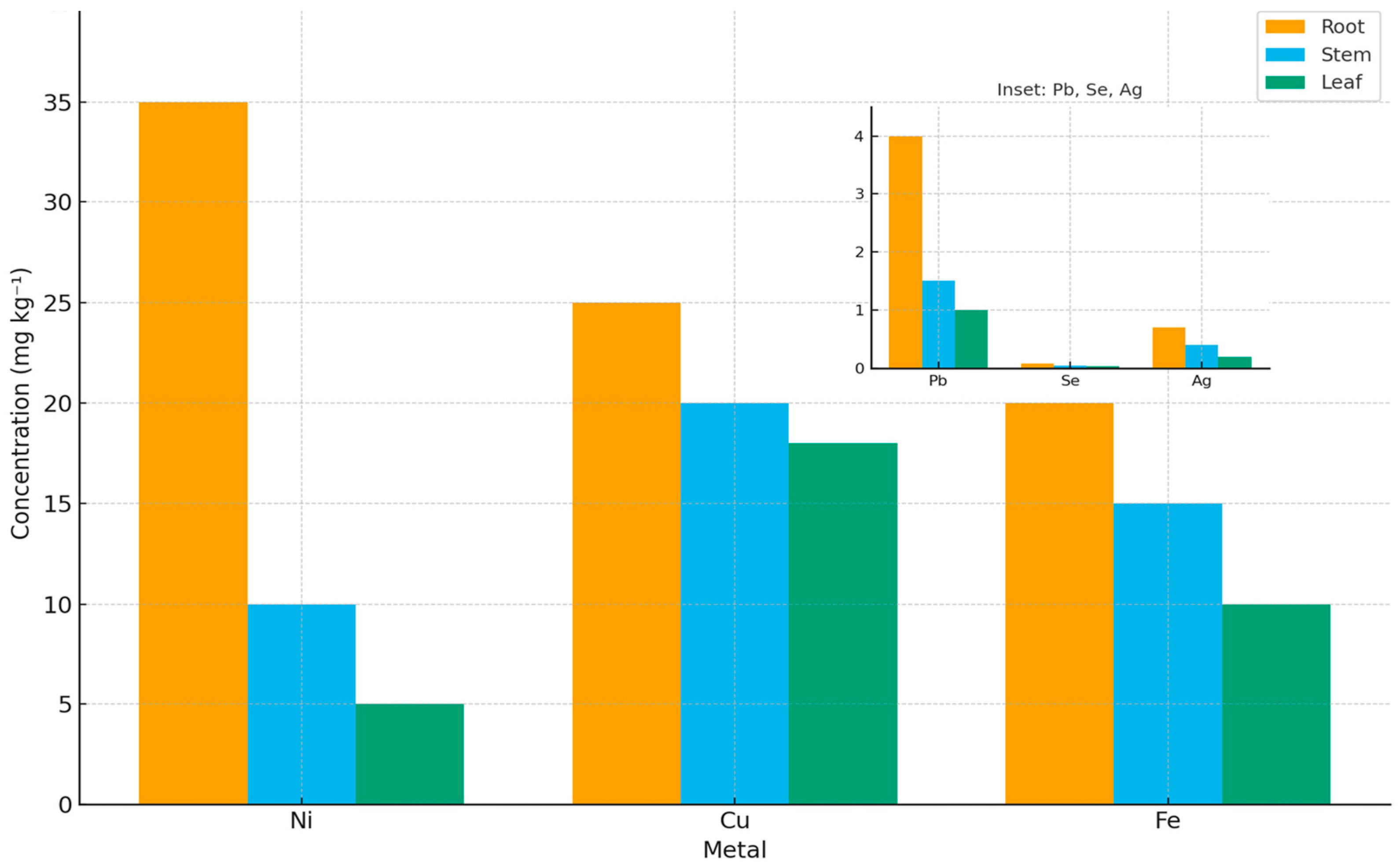
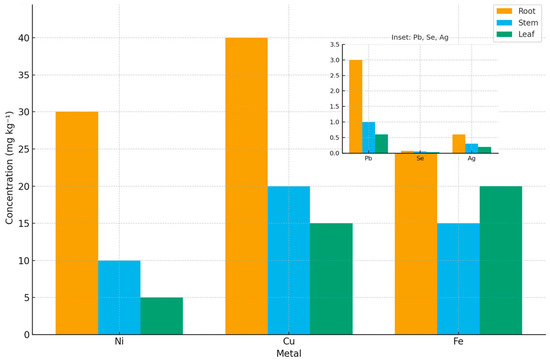
Figure 3.
Elemental concentrations (mg kg−1 dry weight) in roots, stems, and leaves of maize (Zea mays) grown in experimental soil. Main panel: Ni, Cu, and Fe. Inset with expanded y-axis scale: Pb, Se, Ag. Values represent mean ± standard deviation (n = 4). Different lowercase letters indicate statistically significant differences between organs (Tukey’s HSD, p < 0.05).
Nickel distribution varied notably among species. Sunflower showed a balanced allocation between roots and shoots, whereas both wheat and maize preferentially retained nickel in root tissues. Copper handling also differed, with maize exhibiting the greatest proportion of copper in aerial tissues. Iron concentrations varied across roots, stems, and leaves in a species-specific manner.
Trace elements (Pb, Se, Ag) were maintained at low concentrations (<3.2 mg kg−1) across all species and tissues. Translocation factors for these elements were predominantly below 1.0, consistent with limited movement from roots to shoots [23,24].
The analysis of roots, stems, and leaves of maize (Zea mays) revealed distinct, metal-specific distribution behaviors (Figure 3).
The distribution of elements in maize (Zea mays) is shown in Figure 3. Maize exhibited strong root retention of nickel and lead, while copper showed a more balanced distribution between roots and shoots.
2.2.2. Species-Specific Distribution Strategies
The three crops exhibited different distribution tendencies for specific elements, as quantified by Bioaccumulation (BCF) and Translocation (TF) Factors (Table 2). These patterns are consistent with known physiological mechanisms of metal homeostasis in plants.
Table 2.
Concentrations of metals in the experimental soil and their subsequent uptake and translocation in sunflower (Helianthus annuus), wheat (Triticum aestivum), and maize (Zea mays). Values for plant tissues and calculated indices are presented as mean ± standard deviation (n = 4 for plants). Different superscript letters within a row for a given parameter indicate statistically significant differences between species (Tukey’s HSD, p < 0.05). BCF = Bioconcentration Factor (Cplant/Csoil); TF = Translocation Factor (Cshoot/Croot).
- Sunflower (Helianthus annuus)
- Nickel: Exhibited balanced allocation between roots and shoots (TF ≈ 1.00) with low tissue concentrations (BCF = 0.048). The movement of nickel in non-hyperaccumulators is often passive or weakly regulated [23].
- Copper: A proportion was translocated to aerial tissues (TF = 0.62) with limited uptake from soil (BCF = 0.204). Copper is an essential micronutrient, and its distribution is typically regulated by specific transporters to meet metabolic demand in shoots [24].
- Iron: Accumulated the highest shoot concentration among the species (268 mg kg−1), despite low uptake efficiency from soil (BCF = 0.074). This reflects iron’s critical role in photosynthesis, requiring active translocation to leaves even under low-availability conditions [25].
- Overall Pattern: Characterized by a tendency for the translocation of essential nutrients (Cu, Fe) and balanced movement of nickel, aligning with sunflower’s physiology as a species that manages internal metal allocation [22,26].
- Wheat (Triticum aestivum)
- Nickel: Was strongly retained in roots (TF = 0.25), where it reached the highest tissue concentration among the species. Root sequestration of non-essential metals like nickel is a common tolerance mechanism in cereals, involving binding to cell walls or compartmentalization in vacuoles [23,27].
- Copper: Was also predominantly retained in roots (TF = 0.44), resulting in high root concentrations. This pattern suggests restricted xylem loading, a strategy to limit potential toxicity in photosynthetic tissues while maintaining adequate root-level supply [24,27].
- Lead: Showed strong root retention (TF = 0.27), consistent with known mechanisms of lead immobilization in the root apoplast and symplast [28].
- Overall Pattern: Characterized by a pronounced tendency for root retention of both essential and non-essential elements, a well-documented defense strategy in graminaceous species to minimize metal exposure in edible grains [27,29].
- Maize (Zea mays)
- Copper: Showed the greatest proportional translocation among the species (TF = 0.76). Maize possesses efficient transporters for redistributing copper to shoots, which is essential for its physiological functions [24,30].
- Nickel: Was strongly retained in roots (TF = 0.21), consistent with the conserved strategy for this non-essential element seen in other cereals [23,27].
- Iron: Showed minimal accumulation in tissues (very low BCF). This could indicate stringent regulation of uptake or poor iron acquisition under the specific soil conditions of this study, which is a known challenge in some maize genotypes [25].
- Overall Pattern: Characterized by a tendency for copper translocation alongside root retention of other elements, reflecting a differential regulation of essential vs. non-essential metal transport [29,30].
Across all three species, tissue concentrations of lead (Pb), selenium (Se), and silver (Ag) were low (Pb: 0.20–3.20 mg kg−1; Se: 0.04–0.08 mg kg−1; Ag: 0.06–0.60 mg kg−1). Translocation factors for these elements were predominantly below 1.0, indicating a greater proportion was retained in root tissues than translocated to shoots (Table 2).
This pattern of low tissue accumulation and root retention occurred despite the presence of these elements in the soil (Table 1). The root retention of lead (average TF = 0.33) aligns with documented mechanisms that restrict its movement within plants [28,31]. Selenium showed a slightly higher average translocation factor (TF = 0.69), consistent with its metabolic similarities to sulfur [32,33]. Silver exhibited the highest bioconcentration factors among the trace elements but was also primarily retained in the roots.
The consistent observation of low aerial tissue concentrations for these elements across all three species highlights a shared tendency to limit their accumulation in shoots under the studied conditions.
2.3. Elemental Distribution in Plants from the Reference Soil
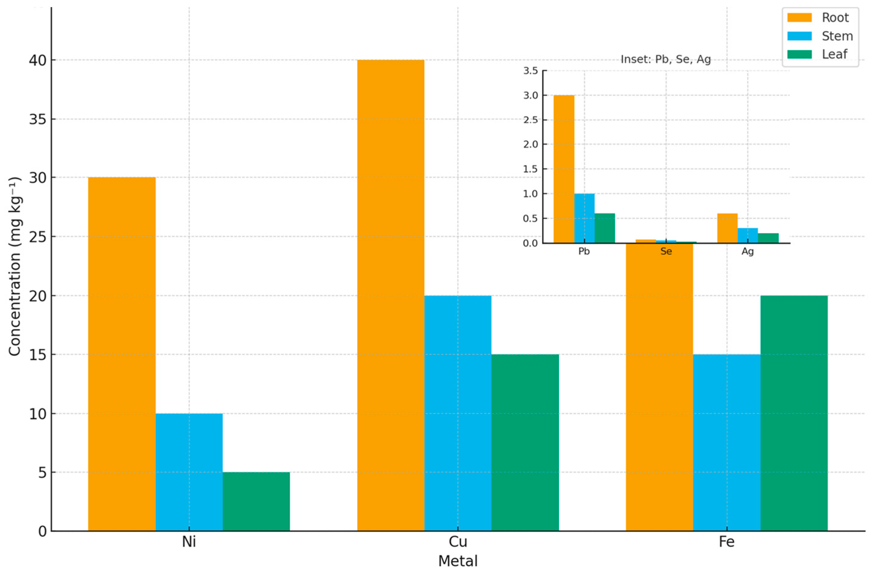
For comparative context, plants were also grown in the local reference soil (Figure 4, Figure 5 and Figure 6). All three species exhibited low tissue concentrations of Fe, Ni, Cu, Pb, Se, and Ag.
Figure 4.
Metal concentration (mg kg−1) in roots, stems, and leaves of maize (Zea mays) grown in the reference soil. Different lowercase letters above bars for a given element indicate statistically significant differences between plant organs (Tukey’s HSD post hoc test, p < 0.05 following significant ANOVA).
Figure 5.
Metal concentration (mg kg−1) in roots, stems, and leaves of wheat (Triticum aestivum) grown in the reference soil.
Figure 6.
Metal concentration (mg kg−1) in roots, stems, and leaves of sunflower (Helianthus annuus) grown in the reference soil.
In maize plants from the reference soil (Figure 4), iron was detected in aerial tissues. Nickel and the trace elements (Pb, Se, Ag) were present at minimal concentrations across all tissues. Copper showed distribution across root and shoot tissues.
Similar patterns of low elemental accumulation were observed in wheat and sunflower grown in the reference soil (Figure 5 and Figure 6).
These results provide a baseline dataset for tissue metal concentrations under the low-metal conditions of the reference soil.
The low tissue metal concentrations observed across all species grown in the reference soil reflect the low elemental availability in that growth medium.
2.4. Quantitative Analysis of Metal Uptake and Translocation
Bioaccumulation (BCF) and Translocation (TF) Factors provide quantitative metrics for comparing metal distribution among species (Table 2). The BCF values were all below 1.0, indicating that metal concentrations in plant tissues were lower than those in the soil.
The TF values revealed different distribution tendencies for specific elements:
- Sunflower showed balanced root–shoot allocation for nickel (TF ≈ 1.00).
- Wheat exhibited low TF values across multiple elements, indicating a tendency for root retention.
- Maize showed a higher TF for copper relative to other elements in this species.
On average, trace elements (Pb, Se, Ag) had lower translocation factors (average TF = 0.47) than the essential elements Ni, Cu, and Fe (average TF = 0.58) across all species. The calculation of BCF and TF provides a standardized method for quantifying and comparing internal metal distribution patterns [22,23].
2.5. Comparative Synthesis of Species-Specific Patterns
The analysis of tissue concentrations, BCF, and TF values indicates different distribution tendencies among the three species (Table 3).
Table 3.
Metal concentrations (mg kg−1, mean ± SD) in the test soil and their subsequent accumulation in root and shoot tissues of maize, sunflower, and wheat.
Sunflower showed balanced root–shoot allocation for nickel (TF = 1.00) and translocation of copper to aerial tissues. These observed patterns are consistent with previously reported traits for this species [26,27].
Wheat exhibited pronounced root retention for multiple elements, including the highest tissue concentrations of nickel and lead among the species, coupled with low translocation factors. Such root-dominated distribution aligns with documented patterns in cereal crops [29,31].
Maize displayed a higher translocation factor for copper than for other elements in this study, alongside general root retention of nickel and iron. This differential pattern has been noted in other studies of maize metal distribution [30,31].
Concentrations of Pb, Se, and Ag were low across all species. The analysis, therefore, focused on the distribution of the more prevalent elements (Ni, Cu, Fe), where differences among species were evident.
2.6. Contextualizing Findings Within Existing Research
This study provides a controlled, comparative dataset on the internal distribution of elements in sunflower, wheat, and maize grown under identical, non-contaminated conditions. The observed distribution patterns contribute to the descriptive physiology of these crops.
Sunflower’s balanced nickel distribution and allocation of copper to shoots are consistent with its reported ionomic profile, which includes mechanisms for internal metal management [34]. Wheat’s tendency for root retention of nickel and copper aligns with documented patterns in cereals, where root-based processes often limit metal translocation [35]. Similarly, maize’s pattern of greater copper movement to shoots alongside root retention of other elements has been noted in studies of its metal distribution [36].
The data presented here, derived from simultaneous cultivation, offers a phenotypic benchmark of distribution factors (TF, BCF) under specific conditions. This quantitative baseline can serve as a reference point for studies investigating the genetic or molecular underpinnings of these distribution tendencies [22,23].
The consistent differences in translocation factors among species underpin the descriptive framework of crop ionomics [21,22]. Such differences may relate to variations in metal transporter activity or root physiology. Documenting these baseline patterns under non-stress conditions is a necessary step for distinguishing them from responses induced by metal toxicity. Future research could investigate whether these distribution tendencies remain consistent across a range of soil metal concentrations.
3. Materials and Methods
3.1. Study Area and Soil Sampling
Soil for the pot experiment was collected from a site in the Vanderbijlpark area, Gauteng Province, South Africa (approx. 26.7° S, 27.8° E). The region has a historical association with ferrous and base-metal industries. The climate is semi-arid subtropical highland with an average annual precipitation of 650 mm. The soils of the region are classified as Plinthic Catena, which are highly weathered and characterized by sandy textures and variable drainage [19].
A systematic 10 × 10 m grid was used to collect the experimental soil. Six composite samples (Points A–F), each consisting of five subsamples, were taken from the top 20 cm. Soil was also collected from four points in a nearby undisturbed natural grassland to serve as a local reference. All samples were placed in pre-cleaned polyethylene bags, labeled, and transported to the laboratory.
3.2. Soil Analysis and Metal Quantification
Collected soil samples were air-dried at room temperature (25 °C) for 72 h, homogenized with a ceramic mortar and pestle, and sieved through a 2 mm stainless steel mesh. The experimental soil from all six sampling points was blended to create a homogeneous growth medium.
Soil Physicochemical Characterization: Key soil properties were analyzed using standard methods. Soil pH was determined potentiometrically in a 1:2.5 soil-to-deionized water suspension. Organic matter content was measured by loss-on-ignition at 550 °C for 4 h. Cation exchange capacity (CEC) was determined by the ammonium acetate (1 M NH4OAc, pH 7.0) saturation method [17]. Texture was analyzed using the hydrometer method.
Metal Analysis: Total metal content was analyzed using two complementary techniques.
- X-Ray Fluorescence (XRF) Spectroscopy: Initial screening was performed using a portable XRF analyzer (Olympus Delta Premium, Olympus Corporation, Tokyo, Japan). Initial screening was performed with a portable XRF analyzer (Olympus Delta Premium) using a 40 kV Rh tube. The instrument was calibrated with certified soil reference materials (NIST 2710a, 2711a). Each sample was analyzed in triplicate with 90 s readings per replicate.
- Inductively Coupled Plasma Mass Spectrometry (ICP-MS): For quantification, 0.5 g soil samples were digested with 10 mL aqua regia (3:1 HNO3/HCl) and 2 mL HF following a modification of USEPA Method 3050B [20,21]. This method provides a pseudo-total or bioaccessible metal fraction, meaning it may not fully dissolve refractory mineral phases. Digests were evaporated to near dryness, reconstituted in 2% HNO3, and analyzed using an ICP-MS (PerkinElmer NexION 300D, Waltham, MA, USA) in helium collision cell mode. Quality assurance included procedural blanks, duplicate samples (10%), and analysis of certified reference materials (NIST SRM 2711a; recovery 85–115%) [17]. The analysis targeted nickel (Ni), copper (Cu), iron (Fe), lead (Pb), selenium (Se), and silver (Ag).
3.3. Plant Material and Experimental Design
Three widely cultivated crop species were selected for the study: sunflower (Helianthus annuus cv. ‘Peredovik’), wheat (Triticum aestivum cv. ‘SST 027’), and maize (Zea mays cv. ‘PAN 3A-555’). Seeds, obtained from certified suppliers, were surface-sterilized with 2% (v/v) sodium hypochlorite (NaOCl) for 10 min and rinsed three times with deionized water.
The experiment was conducted in a controlled greenhouse. Each 5 L plastic pot (with drainage holes) was filled with 4.5 kg of the homogenized experimental soil. Three seeds were sown per pot at a 2 cm depth. After germination (7–10 days), seedlings were thinned to one healthy plant per pot. The experimental layout followed a randomized complete block design with four biological replicates per species (12 pots per species in total).
Plants were grown for a 90-day period from germination. Environmental conditions were controlled: a 16 h photoperiod was maintained using high-pressure sodium lamps to provide a photosynthetic photon flux density (PPFD) of 600 ± 50 µmol m−2 s−1 at the canopy level. Day/night temperatures were regulated to 25 ± 2 °C and 18 ± 2 °C, respectively, with relative humidity between 60% and 70%. Plants were irrigated daily with deionized water to maintain soil moisture at approximately 70% of field capacity, monitored gravimetrically.
3.4. Plant Harvesting and Tissue Analysis
At harvest (90 days after germination), plants were separated into roots, stems, leaves, and, for sunflowers, inflorescences. Root systems were carefully excavated and washed with tap water, followed by deionized water to remove adhering soil. All plant tissues were oven-dried at 70 °C to constant weight (typically 72 h), and the dry biomass of each tissue type was recorded.
Dried tissues were ground to a fine powder (<0.5 mm particle size) using a stainless-steel mill. For metal analysis, 0.5 g aliquots of powdered plant material were digested with 10 mL of a 5:1 (v/v) mixture of concentrated nitric acid (HNO3, 65%) and perchloric acid (HClO4, 70%) at 120 °C for 4 h until clear digests were obtained [37]. After cooling, digests were filtered (Whatman No. 42 filter paper), diluted to 25 mL with deionized water, and analyzed for nickel (Ni), copper (Cu), iron (Fe), lead (Pb), selenium (Se), and silver (Ag) concentrations by Inductively Coupled Plasma Mass Spectrometry (ICP-MS; PerkinElmer NexION 300D).
Analytical quality assurance was performed using plant-based certified reference materials (NIST SRM 1573a Tomato Leaves, NIST SRM 1547 Peach Leaves), with recoveries of 85–115% for all analytes. Procedural blanks and duplicate samples (20% of the total) were processed in each digestion batch.
3.5. Data Analysis and Phytoremediation Indices
Metal concentration data were used to calculate two indices describing metal partitioning within the plant–soil system:
Bioconcentration Factor (BCF): BCF = Cplant/Csoil, where Cplant is the metal concentration in plant tissue (mg kg−1 dry weight), and Csoil is the corresponding total metal concentration in soil (mg kg−1) [38].
Translocation Factor (TF): TF = Cshoot/Croot, where Cshoot is the metal concentration in pooled stem and leaf tissues, and Croot is the concentration in root tissues [38].
A BCF > 1 indicates a higher metal concentration in the plant tissue than in the soil; a BCF < 1 indicates a lower concentration. A TF > 1 indicates a greater proportion of the metal in shoots than in roots; a TF < 1 indicates root retention.
3.6. Statistical Analysis
Data are presented as mean ± standard deviation (SD). For plants grown in the experimental soil, four biological replicates per species were used for all analyses. For plants from the reference soil, data from the four sampling points were used.
Prior to analysis, data were checked for normality (Shapiro–Wilk test) and homogeneity of variances (Levene’s test). When variances were heterogeneous, data were log10-transformed to meet ANOVA assumptions.
To assess differences in metal concentrations, two-way analysis of variance (ANOVA) was performed with species (sunflower, wheat, maize) and tissue (root, stem, leaf) as fixed factors. One-way ANOVA was used to compare BCF and TF values across species. Where ANOVA indicated significant effects (p < 0.05), post hoc pairwise comparisons were conducted using Tukey’s Honest Significant Difference (HSD) test [39].
All statistical computations were carried out in R (version 4.3.0) [40]. The following packages were used: ‘stats’ for ANOVA, ‘car’ for assumption testing, and ‘multcomp’ for post hoc comparisons. Data visualization was conducted using the ‘ggplot2’ package.
3.7. Generative AI Statement
Generative artificial intelligence (GenAI) was used during the preparation of this manuscript for superficial editing of grammar, spelling, and formatting. The authors reviewed and edited the content as needed and took full responsibility for the final content. The use of GenAI for purposes beyond superficial editing (e.g., for data interpretation, figure creation, or writing—original drafts) was not employed and thus does not need to be declared.
4. Conclusions
This study provides a comparative dataset on the internal allocation of elements in sunflower (Helianthus annuus), wheat (Triticum aestivum), and maize (Zea mays) grown under controlled conditions in soil with a specific geochemical profile.
By analyzing tissue concentrations and calculating distribution indices (BCF and TF), different species-specific tendencies were documented. Sunflower exhibited a balanced root-to-shoot distribution for nickel (TF ≈ 1.00). Wheat demonstrated pronounced root sequestration for nickel and copper (TF < 0.5). Maize showed greater translocation of copper (TF = 0.76) alongside root retention of other elements. Concentrations of trace elements (Pb, Se, Ag) were minimal across all species.
The low tissue metal concentrations reflect the non-elevated levels of these elements in the growth medium. Consequently, this study documents baseline distribution patterns under the specific conditions examined. The primary contribution of this work is a controlled, comparative physiological benchmark. The described differences in internal allocation provide a reference for these crops under the studied conditions, which contributes to the descriptive understanding of constitutive metal handling in non-stressed plants and aids in the interpretation of tissue concentration data.
Author Contributions
Conceptualization, M.K.; methodology, F.M. and M.K.; software, M.K.; validation, M.K.; formal analysis, F.M. and M.K.; investigation, F.M. and M.K.; resources, M.K.; data curation, M.K.; writing—original draft preparation, F.M. and M.K.; writing—review and editing, M.K.; visualization, M.K.; supervision, M.K.; project administration, M.K.; funding acquisition, M.K. All authors have read and agreed to the published version of the manuscript.
Funding
This research was funded by the Natural Sciences Department, Faculty of Applied and Computer Science, Vaal University of Technology South Africa.
Data Availability Statement
The data that support the findings of this study are available from the corresponding author, M.J.K., upon reasonable request.
Acknowledgments
The author is grateful to the Natural Sciences Department, Faculty of Applied and Computer Science, Vaal University of Technology South Africa.
Conflicts of Interest
The authors declare no conflicts of interest.
References
- Ali, H.; Khan, E.; Sajad, M.A. Phytoremediation of heavy metals—Concepts and applications. Chemosphere 2013, 91, 869–881. [Google Scholar] [CrossRef] [PubMed]
- Rai, P.K.; Lee, S.S.; Zhang, M.; Tsang, Y.F.; Kim, K.H. Heavy metals in food crops: Health risks, fate, mechanisms, and management. Environ. Int. 2019, 125, 365–385. [Google Scholar] [CrossRef] [PubMed]
- Sarwar, N.; Imran, M.; Shaheen, M.R.; Ishaque, W.; Kamran, M.A.; Matloob, A.; Rehim, A.; Hussain, S. Phytoremediation strategies for soils contaminated with heavy metals: Modifications and future perspectives. Chemosphere 2017, 171, 710–721. [Google Scholar] [CrossRef] [PubMed]
- He, Z.; Shentu, J.; Yang, X.; Baligar, V.C.; Zhang, T.; Stoffella, P.J. Heavy metal contamination of soils: Sources, indicators, and assessment. J. Environ. Indic. 2023, 9, 17–31. [Google Scholar]
- Gautam, S.; Singh, A.; Kumar, S.; Singh, S. Sustainable remediation of heavy metal contaminated soil by integration of agricultural crops and microbial agents. Environ. Pollut. 2022, 292, 118312. [Google Scholar]
- Ghazaryan, K.; Movsesyan, H.; Minkina, T.; Rajput, V.; Chernikova, N.; Mandzhieva, S. Influence of Soil Properties on the Bioaccumulation and Translocation of Nickel and Cadmium in Amaranthus cruentus L. and Amaranthus hybridus L. Grown in Ararat Plain, Armenia. Appl. Sci. 2023, 13, 10711. [Google Scholar]
- Kaur, H.; Greger, M. A review on the cost-effectiveness of phytoremediation as a sustainable remediation technology. Environ. Sci. Pollut. Res. 2022, 29, 24951–24964. [Google Scholar]
- Sharma, P.; Pandey, S.; Singh, S.P. The role of plant-associated microbes in phytoremediation efficiency: A review. Environ. Res. 2022, 214, 113832. [Google Scholar]
- Yan, A.; Wang, Y.; Tan, S.N.; Mohd Yusof, M.L.; Ghosh, S.; Chen, Z. Phytoremediation: A Promising Approach for Revegetation of Heavy Metal-Polluted Land. Front. Plant Sci. 2020, 11, 359. [Google Scholar] [CrossRef]
- Liu, Y.; Wang, X.; Zhang, L. Carbon sequestration potential of phytoremediation in heavy metal contaminated soils. Environ. Sci. Technol. 2023, 57, 1964–1975. [Google Scholar]
- Baxter, I.R.; Vitek, O.; Lahner, B.; Muthukumar, B.; Borghi, M.; Morrissey, J.; Guerinot, M.L.; Salt, D.E. The leaf ionome as a multivariable system to detect a plant’s physiological status. Proc. Natl. Acad. Sci. USA 2008, 105, 12081–12086. [Google Scholar] [CrossRef] [PubMed]
- Huang, X.Y.; Salt, D.E. Plant Ionomics: From Elemental Profiling to Environmental Adaptation. Mol. Plant 2016, 9, 787–797. [Google Scholar] [CrossRef]
- Aladesanmi, O.T.; Oroboade, J.G.; Osisiogu, C.P.; Osewole, A.O. Bioaccumulation Factor of Selected Heavy Metals in Zea mays. J. Health Pollut. 2019, 9, 191–207. [Google Scholar] [CrossRef] [PubMed]
- Jeyasundar, P.G.S.A.; Ali, A.; Azeem, M.; Li, Y.; Guo, D.; Sikdar, A.; Zhang, Z. Unravelling the molecular mechanisms of cadmium tolerance and accumulation in wheat: Insights from transcriptomics and proteomics. J. Hazard. Mater. 2023, 441, 129857. [Google Scholar]
- Kabata-Pendias, A. Trace Elements in Soils and Plants, 4th ed.; CRC Press: Boca Raton, FL, USA, 2011. [Google Scholar]
- Alloway, B.J. Heavy Metals in Soils: Trace Metals and Metalloids in Soils and Their Bioavailability, 3rd ed.; Springer: Dordrecht, The Netherlands, 2013. [Google Scholar]
- Rizwan, M.; Ali, S.; Rizvi, H.; Irshad, M.K.; Ur Rehman, M.Z.; Iqbal, M.; Hussain, A.; Shah, T.; Asghar, R.M.A.; Usman, M.; et al. Nickel in the Soil-Plant System: An Overview of Uptake, Homeostasis, and Toxicity Mecha-nisms. J. Hazard. Mater. 2024, 465, 133108. [Google Scholar]
- Briffa, J.; Sinagra, E.; Blundell, R. Heavy metal pollution in the environment and their toxicological effects on humans. Heliyon 2020, 6, e04691. [Google Scholar] [CrossRef]
- Fey, M.V. Soils of South Africa; Cambridge University Press: Cambridge, UK, 2010. [Google Scholar]
- Ure, A.M.; Davidson, C.M. (Eds.) Chemical Speciation in the Environment, 2nd ed.; Blackie Academic & Professional: London, UK, 2002. [Google Scholar]
- Rao, C.R.M.; Sahuquillo, A.; Lopez Sanchez, J.F. A Review of the Different Methods Applied in Environmental Geochemistry For Single and Sequential Extraction of Trace Elements in Soils and Related Materials. Water Air Soil Pollut. 2008, 189, 291–333. [Google Scholar] [CrossRef]
- Duan, Q.; Lee, J.; Liu, Y.; Chen, H.; Hu, H. Distribution of heavy metal pollution in surface soil samples in China: A meta-analysis. Bull. Environ. Contam. Toxicol. 2021, 107, 214–221. [Google Scholar]
- Clemens, S. Toxic metal accumulation, responses to exposure and mechanisms of tolerance in plants. Biochimie 2006, 88, 1707–1719. [Google Scholar] [CrossRef]
- Trilla, I. Copper in plants: Acquisition, transport and interactions. Funct. Plant Biol. 2009, 36, 409–430. [Google Scholar] [CrossRef]
- Briat, J.-F.; Dubos, C.; Gaymard, F. Iron nutrition, biomass production, and plant product quality. Trends Plant Sci. 2015, 20, 33–40. [Google Scholar] [CrossRef] [PubMed]
- Zhang, L.; Chen, H.; Wang, F.; Zhao, X.; Zhang, W.; Zhang, Y. The HMA4 transporter mediates root-to-shoot transloca-tion of copper and cobalt in sunflower (Helianthus annuus) under metal stress. Plant Physiol. Biochem. 2023, 197, 107654. [Google Scholar]
- Chen, J.; Liu, X.; Li, Y.; Fan, J.; Dong, J.; Lu, X.; Zhang, Z.; Wang, J.; Wang, Y.; Yang, X.; et al. The role of ZmHMA5 in copper redistribution and tolerance in maize (Zea mays L.). J. Exp. Bot. 2023, 74, 3129–3144. [Google Scholar]
- Sharma, P.; Dubey, R.S. Lead toxicity in plants. Braz. J. Plant Physiol. 2005, 17, 35–52. [Google Scholar] [CrossRef]
- Sharma, P.; Singh, S.P.; Tripathi, A. A global meta-analysis of cereal crops in phytostabilization: Efficiency and policy implications for safe cultivation. Sci. Total Environ. 2024, 909, 168610. [Google Scholar]
- Chen, J.; Liu, X.; Li, Y. The role of ZmHMA5 in copper redistribution and tolerance in maize (Zea mays L.). J. Exp. Bot. 2023, 74, 3129–3144. [Google Scholar]
- Ashraf, U.; Mahmood, M.H.R.; Hussain, S.; Abbas, F.; Anjum, S.A.; Tang, X. Lead (Pb) toxicity; physio-biochemical mechanisms, grain yield, quality, and Pb distribution proportions in scented rice. Front. Plant Sci. 2022, 13, 1006724. [Google Scholar] [CrossRef]
- Pilon-Smits, E.A.H.; Quinn, C.F.; Tapken, W.; Malagoli, M.; Schiavon, M. Physiological functions of beneficial elements. Curr. Opin. Plant Biol. 2009, 12, 267–274. [Google Scholar] [CrossRef]
- White, P.J.; Brown, P.H. Plant nutrition for sustainable development and global health. Ann. Bot. 2010, 105, 1073–1080. [Google Scholar] [CrossRef]
- Liu, Y.; Wang, X.; Zhang, L. Physiological and molecular mechanisms of metal tolerance in sunflower: The role of antioxidant systems and HMA transporters. Plant Physiol. Biochem. 2023, 194, 146–158. [Google Scholar]
- Guo, J.; Li, Y.; Wei, Z. Mechanisms of cadmium and lead tolerance and accumulation in wheat: The role of phytochelatin synthase and vacuolar sequestration. J. Hazard. Mater. 2022, 424, 127532. [Google Scholar]
- Zhou, H.; Zhao, W.; Yang, Y.; Tang, D.; Liu, Y.; Liu, J.; Peng, Y.; Li, Y.; Dong, J.; Chen, J. The HMA5 transporter contributes to copper detoxification in Arabidopsis by mediating vacuolar sequestration. Plant Cell Environ. 2022, 45, 3272–3288. [Google Scholar]
- Jones, J.B. Laboratory Guide for Conducting Soil Tests and Plant Analysis; CRC Press: Boca Raton, FL, USA, 2001. [Google Scholar]
- Yoon, J.; Cao, X.; Zhou, Q.; Ma, L.Q. Accumulation of Pb, Cu, and Zn in native plants growing on a contaminated Florida site. Sci. Total Environ. 2006, 368, 456–464. [Google Scholar] [CrossRef]
- Tukey, J.W. Comparing Individual Means in the Analysis of Variance. Biometrics 1949, 5, 99–114. [Google Scholar] [CrossRef]
- R Core Team. R: A Language and Environment for Statistical Computing; R Foundation for Statistical Computing: Vienna, Austria, 2023. [Google Scholar]
Disclaimer/Publisher’s Note: The statements, opinions and data contained in all publications are solely those of the individual author(s) and contributor(s) and not of MDPI and/or the editor(s). MDPI and/or the editor(s) disclaim responsibility for any injury to people or property resulting from any ideas, methods, instructions or products referred to in the content. |
© 2026 by the authors. Licensee MDPI, Basel, Switzerland. This article is an open access article distributed under the terms and conditions of the Creative Commons Attribution (CC BY) license.





