Abstract
Human actions have significantly modified the global environment, leading to adverse effects on public health. Pregnant women, being particularly vulnerable, face increasing risks as climate change continues to raise concerns about its influence on maternal and birth outcomes. As climate change persists, exploration of its effects on maternal birth outcomes is of increasing importance. This study investigates two particularly salient factors (temperature and ozone pollution) and their impact on birth outcomes in Phoenix, Arizona. With its unique mountainous terrain, semi-arid climate, and high temperatures, Phoenix creates conditions that expose residents to elevated levels of pollutants and extreme heat. This paper uses a retrospective cohort study of pregnant mothers who delivered during October 2018–December 2020 at St. Joseph’s Hospital and monthly temperature data during the last trimester of each patient’s pregnancy. These data were gathered from the National Weather Service and Ozone Air Quality Index data from the Arizona Department of Environmental Quality. Our analyses revealed that the highest levels of ozone and elevated temperature exposure were both independently associated with lower birth weights. Furthermore, we found that ozone mediated the effect of temperature on birth weight outcomes (controlling for participants’ sociodemographics), demonstrating that the relationship between temperature and birth weight was explained through increases in ozone pollution.
1. Introduction
Human actions have profoundly altered the global environment, which in turn has impacted human health throughout organ systems [,,]. This is particularly concerning for vulnerable populations like pregnant women []. As climate change persists, exploration of its effects on maternal birth outcomes becomes increasingly important []. Within the United States specifically, the Environmental Protection Agency has stated that climate change is a significant threat to the health of pregnant women and their fetuses []. Furthermore, although the U.S. spends significantly more on maternal healthcare than other high-income countries, it faces rising rates of maternal mortality and morbidity, placing mothers and children at greater risk [,].
One such risk connected with climate change is low birth weight (LBW). LBW is a major predictor of neonatal mortality and long-term health issues []. Moreover, evidence suggests that LBW is influenced by various factors, including socioeconomic status and environmental conditions, which may impact access to prenatal care [,]. Understanding environmental risk factors is crucial for developing effective preventive measures to protect maternal–fetal health. In our previous study exploring discrimination and resilience effects on birth weight, perceived environmental discrimination emerged as a significant predictor of LBW [], warranting further investigation of specific environmental risk factors.
The impact of environmental factors on maternal health outcomes, particularly during pregnancy, is a critical area of research due to its profound implications for both maternal and fetal well-being []. High ozone exposure during pregnancy is related to an increased risk of pre-eclampsia [,], preterm birth [,], and lower term birth weight []. The mechanisms by which ozone impacts low birth weight are still being researched, but the proposed parthenogenesis of ozone exposure relates to the free radical reactions of ozone occurring within the body [,]. Free radicals not only have direct toxic effects on the fetus, alter maternal cardiac or pulmonary functions, induce systemic inflammation from oxidative stress, and cause placental inflammation and/or altered placental gene expression, but also reduce oxygen levels, potentially compromising fetal growth [,,]. Traffic-related emissions, including nitrogen oxides (NOx) and particulate matter (PM), are significant contributors to ozone formation in urban environments. Like ozone, NOx and PM have been linked to adverse maternal health outcomes, including preterm birth, lower birth weight, and other pregnancy complications []. However, separating the direct effects of NOx and PM from those of ozone is challenging, given their interconnected roles in the formation of air pollution. For the purpose of this study, we have chosen to focus on evaluating the effects of ozone and temperature, with plans to include additional environmental factors, such as PM, crime rates, and proximity to green spaces, in future research. Ultimately, understanding how these pollutants interact and contribute both individually and collectively to maternal health risks is essential for developing more targeted public health interventions. Given the influence of environmental factors, climate, and terrain on ozone levels, it is particularly important to examine these relationships in specific locations such as Phoenix, Arizona, to inform public health strategies that are tailored to local environmental and climatic conditions.
In Arizona, monitoring ozone and temperature is particularly critical due to the state’s intense solar radiation, extreme heat, and frequent dust and wildfire events, which can exacerbate air quality issues and health risks more than in other states []. Compared to states with more temperate climates and fewer dust and wildfire events, Arizona faces unique challenges that make effective management of these factors essential for protecting public health and ensuring regulatory compliance []. With the current pattern of climate change, Arizona is projected to have extreme summer heat events from 2041–2070 []. Additionally, Arizona’s rugged mountainous terrain, combined with its extensive highways and major roads, can lead to localized pockets of pollution [,]. The American Lung Association State of the Air 2022 ranked Arizona fifth in the country for being most polluted by ozone []. As stated above, ozone, a reactive gas prevalent in urban areas near freeways and industrial zones, poses significant health risks [,], especially during pregnancy [].
In addition to ozone, temperature fluctuations, exacerbated by climate change, also play a significant role in maternal health outcomes [,]. During pregnancy, women undergo physiological changes that make it more difficult to regulate body temperature, increasing their risk of temperature dysregulation when faced with climate change []. Heat stress and dehydration secondary to high temperatures cause systemic inflammation and oxidative damage, with impacts on diminished fetal growth []. Furthermore, dehydration damages the placenta and vasculature, resulting in impaired placental perfusion, which also negatively impacts fetal growth []. Altogether, heat stress and dehydration increase the risk for preterm labor and pre-eclampsia, and climate change will only continue to worsen health outcomes for this vulnerable population [,,,]. Indeed, research shows that prolonged exposure to heat during pregnancy may contribute to LBW and other adverse fetal outcomes [,,], underscoring the importance of proactive measures to mitigate these risks and ensure optimal maternal–fetal health.
What is less clear is the connection between ozone and temperature on birth weight outcomes. Some research has examined the joint roles of ozone and temperature on increased morbidity and mortality [,]. Studies have shown that both ozone and temperature, individually, have impacts on human health, such as increased ischemic heart disease mortality []. However, these two factors have also been noted to work synergistically to increase cardiovascular mortality [,]. Current evidence reveals that the same concentration of ozone will have a greater impact on mortality in areas with higher temperatures than in areas with cooler temperatures []. Other research suggests that while both act as mediators for the other, temperature may be a slightly stronger mediating mechanism between ozone and mortality than the reverse (i.e., ozone mediating between temperature and morbidity/mortality). However, there is evidence to suggest that ozone is the more likely mediator between temperature and birth weight. Specifically, the seasonal fluctuations are due to the increased intensity of sunlight and higher temperatures leading to the photochemical production of ozone, whereas in winter conditions, reduced sunlight and colder temperatures reduce the formation of ozone and lower atmospheric conditions []. Moreover, temperature and ozone both contribute to a positive feedback loop, where increased temperatures result in higher ozone concentrations through photochemical reactions, with increased ozone further augmenting global warming []. While the exact physiological mechanisms between the impacts of ozone and high temperatures on human health remain ambiguous, current research supports a cooperative relationship between ozone and temperature to explain the impact they have on morbidity and mortality.
In the current analysis, we argue that understanding the nuanced associations between these environmental factors and maternal health outcomes is essential for developing effective public health strategies. By elucidating these relationships, researchers can identify actionable measures to mitigate risks and improve maternal and neonatal health outcomes, particularly in vulnerable populations affected by environmental disparities and socioeconomic factors. This study aims to assess how specific environmental risk factors (i.e., temperature and ozone levels) impact neonatal birth weights in one city in the United States particularly impacted by both extreme temperatures and high ozone levels—Phoenix, Arizona. For this study, we focus on temperature and ozone during the third trimester of pregnancy, as it is a crucial period in fetal development, characterized by significant growth of the fetal body and organs. Harmful exposures during this period can result in impaired growth issues and LBW. Environmental factors, such as ozone and temperature can significantly affect maternal and fetal health during this period []. In fact, it has been previously demonstrated that ozone had the greatest effects during the second and third trimesters []. Additionally, extreme temperatures were found to have the most profound effects on stillbirth in the third trimester in some countries, as well as varying associations with birth weight [,]. As such, we focus our analysis on the last trimester of pregnancy. Because of the lack of clarity on the exact nature of the relationship between ozone and temperature on birth weight outcomes, we examine both the potential mediating and moderating associations, similar to the research on ischemic heart disease mortality [].
2. Materials and Methods
This retrospective cohort study was approved by St. Joseph’s Hospital and Medical Center IRB PHX-24-500-032-71-47. This was a study of pregnant mothers who delivered from October 2018 to December 2020 at St. Joseph’s Hospital. The study included patients of various gravida statuses. Some mothers appeared in the database more than once if they had twins or multiple births. To ensure consistency in our investigation, we maintained the same time frame as used in the previous study [,]. We used macro-level data with a representative sample of the population of Phoenix to evaluate the environmental factors influencing discrimination and birth outcomes. The total number of live births in Phoenix in 2019 and 2020 was 50,998 and 49,191, respectively []. Based on the trends for the Phoenix metropolitan area, we estimated that the total number of births during our prior study enrollment period was approximately 100,000. We calculated that a representative sample would have a minimum of 5% of all live births in the study period. We were able to obtain a sample of 11,847 patients from a retrospective chart review of data from St. Joseph’s Hospital and Medical Center from 2018 to 2020. After deleting birth weight (grams) data that were missing or recorded as zero (n = 2296), less than 400 g (n = 51), or over 5500 g (n = 1), the final sample size for analyses was 9499 pregnant women.
Ozone Air Quality Index (AQI) data were collected using ozone monitoring equipment from the Arizona Department of Environmental Quality (ADEQ) [], which measures the concentration of ozone in the air. The most common method for measuring ozone is using UV photometers, which detect the absorption of ultraviolet light by ozone in the air. For this report, the AQI data from the ADEQ and the United States Environmental Protection Agency (EPA) were used []. The space-time ordinary kriging interpolation will be used to estimate daily air pollution concentrations from each zip code centroid in Phoenix and surrounding cities. If more than one centroid lay within a zip code, the average concentration of ozone was calculated. Temperature data (Fahrenheit) were obtained from the National Weather Service (NWS). We used annual average monthly temperature data obtained from January 2018 to December 2022. Temperature and ozone exposure for each pregnancy were assigned based on the values for the corresponding zip code centroid on the given day or month. Because the data were aggregated by zip code, individual variations (such as being indoors) could not be accounted for. Therefore, all individuals in the same zip code, regardless of their indoor or outdoor activity, were assigned the same exposure levels for that day or month.
Statistical Analysis
Demographic characteristics, ambient temperature, and ozone levels were summarized using means and standard deviations for continuous variables and frequencies with percentages for categorical variables. Initial univariate linear regression analyses were conducted to evaluate independent associations between temperature, ozone, and demographic factors with birth weight. Multivariable linear regression models were then employed to adjust for potential covariates, including maternal age, sex, race/ethnicity, obesity status, median household income, and gestational age. Additionally, adjusted linear regression models were utilized to examine trends in the mean differences in birth weight across increasing quintiles of temperature and ozone exposure. In order to assess ozone as a potential effect modifier in the association between temperature and birth weight, the likelihood ratio test compared models with and without the “temperature*ozone” term. Additionally, we examined the mediation models for both temperature and ozone. All p-values were two-sided, and p < 0.05 was considered statistically significant. All statistical analyses were performed using STATA version 18 (StataCorp, College Station, TX, USA), while mediation analysis was conducted using the “mediation” package within R statistical software version 4.4.3 [].
3. Results
A total of 9499 participants were included for analysis (Table 1). The mean maternal age was 32.3 ± 6.08 years. The proportion of newborn genders was nearly balanced, with 4566 (49.8%) females and 4608 (50.2%) males. Among racial/ethnic proportions, the majority of the participants identified as Hispanic (n = 5157, 54.3%), followed by White (n = 2692, 28.3%), Black or African American (n = 1037, 10.9%), and Asian, Native Hawaiian, or Other Pacific Islander (n = 306, 3.22%). Additionally, 180 participants (1.89%) identified as American Indian or Alaska Native (AI/AN), while 127 (1.34%) reported being multiracial or of unknown racial/ethnic status. A total of 22.1% of participants (n = 2095) were classified as obese, and the average median household income was USD 54,354.1 ± 19,118.89. The mean child gestational age at birth was 270.5 ± 17.0 days (38.6 weeks). Regarding environmental factors, the mean temperature was 75.8 °F ± 13.6, and the mean ozone concentration was 0.0319 ± 0.008 ppm. Of the 9499 patients, 9349 could be matched to ozone and temperature data. To further examine geographic patterns, we mapped the mean birth weight in grams by zip code, identifying areas where environmental factors may influence birth weight (Figure 1). This approach aimed to illustrate the geographic distribution and residential characteristics of the Phoenix metropolitan area.

Table 1.
Descriptive statistics.

Figure 1.
Mean birthweight in grams plotted by zip code in the Phoenix metropolitan area.
Table 2 shows the estimated mean differences in birth weight in the univariate and multivariable linear regression models. In the univariate analysis, higher ozone exposure (per 0.01 ppm increase) was significantly associated with lower birth weight (Beta (95% CI) = −17.5 (−31.9, −3.02); p = 0.018), while temperature exhibited a negative but non-significant association (p = 0.18). Increased maternal age was positively associated with birth weight, and male infants had a significantly higher birth weight compared to female infants (Beta (95% CI) = 93.2 (69.5, 116.9); p < 0.001). Compared to White infants, Black/African American and Asian, NH, and Other PI infants had a significantly lower birth weight (p < 0.001), while obesity was associated with higher birth weight (p < 0.001).

Table 2.
Univariate and multivariable linear regression to estimate the mean difference in childbirth weight in relation to ozone and temperature levels, respectively.
In the adjusted models (controlling for covariates), ozone remained significantly associated with reduced birth weight (p = 0.002), while the associations for demographic factors, obesity, and gestational age remained consistent. In the multivariable analyses controlling for covariates, temperature was significantly associated with lower birth weight (Beta (95% CI) = −0.98 (−1.68, −0.28); p = 0.006).
3.1. Examining Threshold Effects of Ozone and Temperature
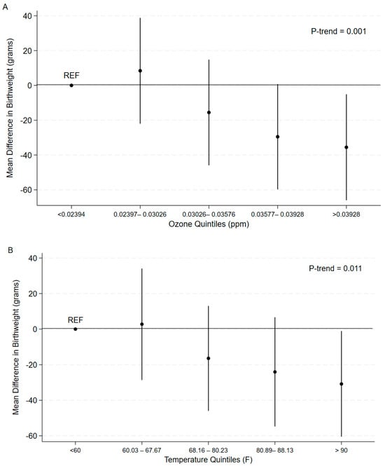
We were further interested in whether the association of ozone and temperature with birth weight was monotonic or showed a threshold effect. We examined the mean difference in birth weight relative to increasing temperature and ozone quintiles (Figure 2). In both cases, the analyses revealed significant negative trends (p < 0.05), particularly for higher levels of each exposure (Table 3). For temperature, mean birth weight decreased across quintiles, with the highest quintile (>90 °F) associated with the largest reduction in birth weight. The adjusted model reported birth weight being significantly lower in the highest-temperature quintile compared to the lowest (Beta (95% CI) = −30.2 (−59.7, −0.59); p < 0.05). Similarly, ozone exposure exhibited a significant negative association with birth weight, where infants in the highest ozone quintile (>0.03928 ppm) had significantly lower birth weight compared to those in the lowest quintile (Beta (95% CI) = −35.7 (−65.9, −5.31); p < 0.05).

Figure 2.
(A) Trend analysis using multivariable linear regression to assess the trend in birth weight relative to increasing ozone quintiles. (B) The trend in birth weight relative to increasing temperature quintiles was accessed through multivariable linear regression. Models were adjusted for maternal age, sex, race/ethnicity, obesity status, median household income, and gestational age.

Table 3.
Adjusted mean differences (95% CI) in child weight with quintile changes in temperature and ozone, respectively, within multivariable-adjusted linear regressions.
3.2. Temperature and Ozone as Mediators or Moderators
In the multivariable model including both temperature and ozone, ozone exposure was significantly associated with lower birth weight (Beta (95% CI) = −14.1 (−27.6, −0.69); p = 0.039), while temperature did not exhibit a statistically significant association with birth weight (p = 0.17). We first tested the interaction between temperature and ozone on birth weight; however, this analysis failed to show significance (Beta (95% CI) = −4.00 (−98.6, 90.6); p = 0.93). In other words, there was no evidence of a synergistic relationship between temperature and ozone on birth weight.
For the mediational analyses, we tested both mediation models, similar to Gong et al.’s study on ischemic heart disease mortality []. First, we tested ozone as a potential mediator between temperature and birth weight. Adjusted regression modeling showed that temperature significantly predicted ozone: Beta (95% CI) = 0.0002 (0.0002, 0.0003); p < 0.001. Moreover, there was evidence of an indirect effect of temperature on birth weight through ozone (ab = −0.41; 95% CI = −0.79, −0.04; p = 0.034). The proportion-mediated estimate (0.42 (0.031, 1.67), p = 0.042) was also significant (Table 4), indicating that 42% of the total effect goes through ozone as the explanatory mechanism within the temperature-birth weight causal pathway.

Table 4.
Mediation effects of ozone and temperature on birth weight.
Next, we tested temperature as the mediator between ozone and birth weight. Adjusted regression modeling showed a statistically significant positive relationship of ozone predicting temperature: Beta (95% CI) = 8.09 (7.79, 8.40); p < 0.001. However, there was no evidence of an indirect effect of ozone on birth weight through temperature, as temperature was not a significant predictor of birth weight with ozone in the model.
4. Discussion
Our study is one of the first, to our knowledge, to systematically examine the individual and joint relationship between temperature and ozone levels on birth weight. We chose to examine these associations in a large metropolitan city in the United States known for extreme temperature and high ozone levels due to the desert valley climate and geographic topography. In atmospheric studies, ozone levels often show a correlation with temperature, as higher temperatures can facilitate the generation of ozone through increased radiation and photochemical reactions. Ozone formation is more efficient under higher temperature conditions, which means that elevated temperatures can enhance the formation of ozone, particularly in urban environments with high levels of traffic-related emissions.
In the context of our study, the correlation between ozone and temperature may indeed explain some of our findings. Our results support the idea that both high ozone exposure and elevated temperatures are independently associated with a reduction in birth weight, but only at the highest levels of exposure. This threshold effect may be reflective of the fact that extreme temperatures can lead to higher ozone concentrations, creating a compounded environmental stressor. However, it is important to note that while ozone and temperature are related through atmospheric processes, our study found that ozone acted as a mediator between temperature and birth weight, rather than the two acting synergistically. The absence of a synergistic effect in our study may be due to various factors, such as the specific nature of the birth weight outcome, or unique environmental and climate conditions in Phoenix, Arizona, compared to other locations like China in Gong et al.’s study []. While temperature and ozone are certainly interconnected in atmospheric processes, the distinct relationship between these two factors and maternal health outcomes, particularly birth weight, may vary depending on the specific geographical and environmental context. Although pregnant individuals are able to adequately thermoregulate, hypotheses on how high temperatures may precipitate adverse fetal outcomes such as LBW and preterm birth include dehydration and decreased placental perfusion, potentially causing fetal hypoxia. Dehydration results in increased release of antidiuretic hormone from the posterior pituitary, which may inadvertently increase oxytocin release and subsequently, premature labor []. Findings on gestational ozone exposure in murine models suggest that ozone decreases left ventricular cardiac output and impairs angiogenesis, possibly resulting in placental insufficiency, which parallels the aforementioned hypoxic effects of dehydration from high temperature [].
Our study aligns with existing literature in several key areas, particularly in relation to the effects of high ozone exposure, elevated temperatures, and socioeconomic and racial factors on birth weight outcomes. Numerous studies have established a clear connection between elevated ozone levels and low birth weight [,,], reinforcing the negative impact of environmental pollutants on fetal development. Similarly, our findings contribute to the growing body of evidence indicating that higher heat exposure is also linked to reduced birth weight [,]. This supports previous research suggesting that increased temperatures, often associated with environmental stress, can hinder fetal growth and development []. Our study introduces a novel contribution to the literature by examining both the moderating and mediating role of ozone and temperature exposure on birth weight. To date, the specific roles played by temperature and ozone on birth weight have not been widely studied. While there is substantial research on the individual effects of ozone exposure and temperature on birth outcomes [,,], the relationship between these two environmental factors is a relatively new area of study.
Following the lead of Gong et al.’s study on ischemic heart disease mortality [], we tested both the moderating and mediating roles of temperature and ozone. We did not find any evidence for moderation; in other words, ozone and temperature do not appear to act synergistically with birth weight. Instead, we found strong evidence for a process relationship. Specifically, our findings suggest that temperature affects birth weight through increased ozone levels. Interestingly, the reverse was not supported. Unlike Gong et al., we found ozone to be the stronger mediator. It is unclear if there is something unique with the birth weight outcome that makes the relationship between ozone and temperature different from ischemic heart disease mortality, or if there is something unique about the desert climate as compared to China where the Gong et al. study was conducted. Future research is needed to replicate these results in other geographical climates and with other health outcomes.
While ozone’s role in overall morbidity, mortality, and chronic conditions like heart disease is well-documented [,], its influence on birth weight outcomes represents a new and crucial dimension of understanding. These results highlight the need for comprehensive strategies to mitigate the effects of climate change and pollution, particularly for vulnerable populations already affected by social and health inequities.
The strengths of this study include its large sample size, which enhances the reliability of the findings. Additionally, the study employs rigorous statistical methods that adjust for potential confounders, such as maternal age, race, obesity, socioeconomic status, and gestational age, improving the accuracy of the associations. The use of stratified analysis further strengthens the study by allowing for the examination of both the independent and combined effects of temperature and ozone on birth weight.
However, the study has several limitations. One key limitation is its limited generalizability. As the study is conducted in Phoenix, Arizona; an area with unique terrain, climate, and pollution patterns, the findings may not be directly applicable to other geographic locations. The minimal humidity and high temperature climate in conjunction with extensive concrete infrastructure within a valley creates an urban heat island, trapping heat and compounding the effects of extreme temperature. Therefore, our findings may not be applicable to other cities situated in different terrains, climates, and infrastructure designs. Another limitation is the individual variations in exposure not being fully captured. Some women may spend more time outdoors, experiencing greater exposure to pollutants, while others may travel during pregnancy and be exposed to different levels or types of pollutants than those recorded in publicly available ozone and temperature data. Another methodological limitation is the use of monthly averages for temperature, which may not fully account for short-term exposure peaks that could have a stronger impact on fetal development. Extreme heat waves may predispose mothers to dehydration, heat exhaustion, or heat stroke, health exacerbations which can occur acutely. Subsequent analyses can examine temperature as a continuous variable and indicate severe temperature warnings occuring during gestation. Additionally, ozone exposure during pregnancy could be complicated with lag effects, as studies have shown that exposure to elevated ozone levels in early pregnancy influence fetal development at later stages, highlighting the need for future studies that examine all three trimesters with ozone and temperature []. Furthermore, because exposure data is collected at the zip code level rather than the individual address level, variations within a given zip code may result in some women experiencing higher or lower levels of environmental stress than what is recorded. Although zip codes allow for convenient identification of maternal addresses, they do not demarcate geospatial landmarks, which may mask variations in maternal and fetal environmental exposures. Future investigation into the interaction between temperature and ozone may benefit from measuring each variable within a defined radius from each maternal address.
5. Conclusions
With the increasing global climate crisis, it is imperative to understand how the warming planet impacts humans at all levels. It is evident from the literature that increasing temperatures and ozone levels impact not only mortality and morbidity rates but also the health of the youngest among us, newborn infants. In this study, we found evidence that those experiencing the highest ozone and temperature levels are most impacted in terms of lower birth weight. Moreover, our analyses suggest that higher ozone levels act as the explanatory mechanism behind increased temperatures and lower birth weights. Future longitudinal studies are needed to explicate the nuances of the causal associations across the trimesters of pregnancy.
Author Contributions
Conceptualization, M.W., K.M. and P.D.; methodology, K.M., B.K. and P.D.; software, B.K.; formal analysis, B.K., S.A.D. and P.K.; investigation, P.K. and B.K.; resources, M.W. and S.D.; writing—original draft preparation, M.W., K.M., G.Z. and J.N.; writing—review and editing, M.W., K.M., P.D. and B.K. All authors have read and agreed to the published version of the manuscript.
Funding
This research received no external funding.
Institutional Review Board Statement
PHX-24-500-032-71-47. The Institutional Review Board (IRB) reviewed and approved your protocol.
Informed Consent Statement
Informed consent for participation is not required as per local legislation.
Data Availability Statement
The datasets presented in this article are not readily available because it consists of patient medical records. Requests to access the datasets should be directed to Dr. Kristin D. Mickelson (kmickel1@asu.edu).
Conflicts of Interest
The authors have no conflicts of interest to declare.
References
- Bekkar, B.; Pacheco, S.; Basu, R.; DeNicola, N. Association of Air Pollution and Heat Exposure with Preterm Birth, Low Birth Weight, and Stillbirth in the US. JAMA Netw. Open 2020, 3, e208243. [Google Scholar] [CrossRef] [PubMed]
- Kazi, D.S.; Katznelson, E.; Liu, C.-L.; Al-Roub, N.M.; Chaudhary, R.S.; Young, D.E.; McNichol, M.; Mickley, L.J.; Kramer, D.B.; Cascio, W.E.; et al. Climate Change and Cardiovascular Health: A Systematic Review. JAMA Cardiol. 2024, 9, 748–757. [Google Scholar] [CrossRef]
- Liu, Y.; Pan, J.; Zhang, H.; Shi, C.; Li, G.; Peng, Z.; Ma, J.; Zhou, Y.; Zhang, L. Short-Term Exposure to Ambient Air Pollution and Asthma Mortality. Am. J. Respir. Crit. Care Med. 2019, 200, 24–32. [Google Scholar] [CrossRef]
- Fan, W.; Zlatnik, M.G. Climate Change and Pregnancy: Risks, Mitigation, Adaptation, and Resilience. Obstet. Gynecol. Surv. 2023, 78, 223–236. [Google Scholar] [CrossRef]
- Ha, S. The Changing Climate and Pregnancy Health. Curr. Environ. Health Rep. 2022, 9, 263–275. [Google Scholar] [CrossRef] [PubMed]
- Climate Change and the Health of Pregnant, Breastfeeding, and Postpartum Women. US EPA. Available online: https://www.epa.gov/climateimpacts/climate-change-and-health-pregnant-breastfeeding-and-postpartum-women (accessed on 1 February 2025).
- Kasthurirathne, S.N.; Mamlin, B.W.; Purkayastha, S.; Cullen, T. Overcoming the Maternal Care Crisis: How Can Lessons Learnt in Global Health Informatics Address US Maternal Health Outcomes? In Proceedings of the AMIA Annual Symposium Proceedings, San Francisco, CA, USA, 3–7 November 2018; Volume 2017. pp. 1034–1043. [Google Scholar]
- Papanicolas, I.; Berenson, R.A.; Sawaya, T.; Skopec, L. Maternal Outcomes and Pre, Syn, and Post-Partum Care in the United States and Five High-Income Countries: An Exploratory Comparative Qualitative Study. Health Policy 2024, 149, 105154. [Google Scholar] [CrossRef] [PubMed]
- Blencowe, H.; Krasevec, J.; de Onis, M.; Black, R.E.; An, X.; Stevens, G.A.; Borghi, E.; Hayashi, C.; Estevez, D.; Cegolon, L.; et al. National, Regional, and Worldwide Estimates of Low birth weight in 2015, with Trends from 2000: A Systematic Analysis. Lancet Glob. Health 2019, 7, e849–e860. [Google Scholar] [CrossRef]
- Alexander, G.R.; Korenbrot, C.C. The Role of Prenatal Care in Preventing Low Birth Weight. Future Child. 1995, 5, 103–120. [Google Scholar] [CrossRef] [PubMed]
- Mahmoodi, Z.; Karimlou, M.; Sajjadi, H.; Dejman, M.; Vameghi, M.; Dolatian, M. Working Conditions, Socioeconomic Factors and Low Birth Weight: Path Analysis. Iran. Red Crescent Med. J. 2013, 15, 836. [Google Scholar] [CrossRef]
- Mickelson, K.D.; Doehrman, P.; Chambers, C.; Seely, H.; Kaneris, M.; Stancl, R.; Stewart, C.; Sullivan, S. Role of Discrimination and Resilience on Birth Weight: A Systematic Examination in a Sample of Black, Latina, and White Women. Women’s Health 2022, 18, 174550572210939. [Google Scholar] [CrossRef]
- Muglia, L.J.; Benhalima, K.; Tong, S.; Ozanne, S. Maternal Factors during Pregnancy Influencing Maternal, Fetal, and Childhood Outcomes. BMC Med. 2022, 20, 418. [Google Scholar] [CrossRef] [PubMed]
- Lang, M.N.; Gohm, A.; Wagner, J.S. The Impact of Embedded Valleys on Daytime Pollution Transport over a Mountain Range. Atmos. Chem. Phys. 2015, 15, 11981–11998. [Google Scholar] [CrossRef]
- Salam, M.T.; Millstein, J.; Li, Y.-F.; Lurmann, F.W.; Margolis, H.G.; Gilliland, F.D. Birth Outcomes and Prenatal Exposure to Ozone, Carbon Monoxide, and Particulate Matter: Results from the Children’s Health Study. Environ. Health Perspect. 2005, 113, 1638–1644. [Google Scholar] [CrossRef]
- Lee, P.-C.; Roberts, J.M.; Catov, J.M.; Talbott, E.O.; Ritz, B. First Trimester Exposure to Ambient Air Pollution, Pregnancy Complications and Adverse Birth Outcomes in Allegheny County, PA. Matern. Child Health J. 2013, 17, 545–555. [Google Scholar] [CrossRef]
- Rappazzo, K.M.; Nichols, J.L.; Rice, R.B.; Luben, T.J. Ozone Exposure during Early Pregnancy and Preterm Birth: A Systematic Review and Meta-Analysis. Environ. Res. 2021, 198, 111317. [Google Scholar] [CrossRef] [PubMed]
- Sun, S.; Wang, J.; Cao, W.; Wu, L.; Tian, Y.; Sun, F.; Zhang, Z.; Ge, Y.; Du, J.; Li, X.; et al. A nationwide study of maternal exposure to ambient ozone and term birth weight in the United States. Environ. Int. 2022, 170, 107554. [Google Scholar] [CrossRef] [PubMed]
- Alari, A.; Chen, C.; Schwarz, L.; Hansen, K.; Chaix, B.; Benmarhnia, T. The Role of Ozone as a Mediator in the Relation between Heat Waves and Mortality in 15 French Urban Agglomerations. Am. J. Epidemiol. 2023, 192, 949–962. [Google Scholar] [CrossRef]
- Bae, S.; Lim, Y.; Oh, J.; Kwon, H.-J. Mediation of Daily Ambient Ozone Concentration on Association between Daily Mean Temperature and Mortality in 7 Metropolitan Cities of Korea. Environ. Int. 2023, 178, 108078. [Google Scholar] [CrossRef]
- Pitkänen, O.; Hallman, M.; Andersson, S. Correlation of Free Oxygen Radical-Induced Lipid Peroxidation with Outcome in Very Low Birth Weight Infants. J. Pediatr. 1990, 116, 760–764. [Google Scholar] [CrossRef]
- Ebi, K.L.; Capon, A.; Berry, P.; Broderick, C.; de Dear, R.; Havenith, G.; Honda, Y.; Kovats, R.S.; Ma, W.; Malik, A.; et al. Hot Weather and Heat Extremes: Health Risks. Lancet 2021, 398, 698–708. [Google Scholar] [CrossRef]
- Guo, Y.; Roychoudhury, C.; Mirrezaei, M.A.; Kumar, R.; Sorooshian, A.; Arellano, A.F. Investigating Ground-Level Ozone Pollution in Semi-Arid and Arid Regions of Arizona Using WRF-Chem V4.4 Modeling. Geosci. Model Dev. 2024, 17, 4331–4353. [Google Scholar] [CrossRef]
- Betito, G.; Arellano, A.; Sorooshian, A. Influence of Transboundary Pollution on the Variability of Surface Ozone Concentrations in the Desert Southwest of the U.S.: Case Study for Arizona. Atmosphere 2024, 15, 401. [Google Scholar] [CrossRef]
- Grossman-Clarke, S.; Schubert, S.; Clarke, T.A.; Harlan, S.L. Extreme Summer Heat in Phoenix, Arizona (USA) under Global Climate Change (2041–2070). DOAJ (DOAJ Dir. Open Access J.) 2014, 45, 49–61. [Google Scholar] [CrossRef]
- Seabrook, J.A.; Smith, A.; Clark, A.F.; Gilliland, J.A. Geospatial Analyses of Adverse Birth Outcomes in Southwestern Ontario: Examining the Impact of Environmental Factors. Environ. Res. 2019, 172, 18–26. [Google Scholar] [CrossRef]
- American Lung Association. Key Findings|State of the Air. Available online: https://www.lung.org/research/sota/key-findings (accessed on 3 February 2023).
- Toro, M.V.; Cremades, L.V.; Calbó, J. Relationship between VOC and NOx Emissions and Chemical Production of Tropospheric Ozone in the Aburrá Valley (Colombia). Chemosphere 2006, 65, 881–888. [Google Scholar] [CrossRef] [PubMed]
- Wang, Q.; Miao, H.; Warren, J.L.; Ren, M.; Benmarhnia, T.; Knibbs, L.D.; Zhang, H.; Zhao, Q.; Huang, C. Association of Maternal Ozone Exposure with Term Low Birth Weight and Susceptible Window Identification. Environ. Int. 2021, 146, 106208. [Google Scholar] [CrossRef]
- Gong, X.; Sun, F.; Wei, L.; Zhang, Y.; Xia, M.; Ge, M.; Xiong, L. Association of Ozone and Temperature with Ischemic Heart Disease Mortality Risk: Mediation and Interaction Analyses. Environ. Sci. Technol. 2024, 58, 20378–20388. [Google Scholar] [CrossRef]
- Cherish, M.; Pham, M.; Areal, A.; Haghighi, M.; Manyuchi, A.; Swift, C.; Wernecke, B.; Robinson, M.; Hetem, R.; Boeckmann, M.; et al. Associations Between High Temperatures in Pregnancy and Risk of Preterm Birth, Low Birth Weight, and Stillbirths: Systematic Review and Meta-Analysis. BMJ 2020, 371, m3811. [Google Scholar] [CrossRef]
- Zhu, Z.; Zhang, T.; Benmarhnia, T.; Chen, X.; Wang, H.; Wulayin, M.; Knibbs, L.; Yang, S.; Xu, L.; Huang, C.; et al. Estimating the Burden of Temperature-Related Low birth weight Attributable to Anthropogenic Climate Change in Low-Income and Middle-Income Countries: A Retrospective, Multicentre, Epidemiological Study. Lancet Planet. Health 2024, 8, 997–1009. [Google Scholar] [CrossRef]
- Sun, Y.; Ilango, S.D.; Schwarz, L.; Wang, Q.; Chen, J.-C.; Lawrence, J.M.; Wu, J.; Benmarhnia, T. Examining the Joint Effects of Heatwaves, Air Pollution, and Green Space on the Risk of Preterm Birth in California. Environ. Res. Lett. 2020, 15, 104099. [Google Scholar] [CrossRef]
- Shi, W.; Sun, Q.; Du, P.; Tang, S.; Chen, C.; Sun, Z.; Wang, J.; Li, T.; Shi, X. Modification Effects of Temperature on the Ozone–Mortality Relationship: A Nationwide Multicounty Study in China. Environ. Sci. Technol. 2020, 54, 2859–2868. [Google Scholar] [CrossRef] [PubMed]
- Camalier, L.; Cox, W.; Dolwick, P. The effects of meteorology on ozone in urban areas and their use in assessing ozone trends. Atmos. Environ. 2007, 41, 7127–7137. [Google Scholar] [CrossRef]
- Moore, K.L.; Persaud, T.V.; Torchia, M.G. The Developing Human: Clinically Oriented Embryology, 9th ed.; Saunders, an Imprint of Elsevier, Inc.: Philadelphia, PA, USA, 2013. [Google Scholar]
- Yang, H.Y.; Lee, J.K.W.; Chio, C.P. Extreme temperature increases the risk of stillbirth in the third trimester of pregnancy. Sci. Rep. 2022, 12, 18474. [Google Scholar] [CrossRef] [PubMed]
- Mickelson, K.D.; Witsoe, M.; Krzyzanowski, B.; Doehrman, P.; Dinh, S.; Zhou, G.; Nguyen, J. A Retrospective Analysis Evaluating the Impact of Neighborhood Deprivation on Birth Weight in Phoenix, Arizona. Int. J. Environ. Res. Public Health 2025, 22, 112. [Google Scholar] [CrossRef]
- Number of Births by Year and County of Residence, Arizona, 2011–2021; Arizona Department of Health Services: Phoenix, AZ, USA, 2011. Available online: https://pub.azdhs.gov/health-stats/report/ahs/ahs2021/pdf/5b3.pdf (accessed on 3 February 2023).
- What Is Ozone? US EPA. Available online: https://www.epa.gov/ozone-pollution-and-your-patients-health/what-ozone (accessed on 3 February 2023).
- A Language and Environment for Statistical Computing. R Foundation for Statistical Computing. Available online: https://www.r-project.org/ (accessed on 1 February 2025).
- Samuels, L.; Nakstad, B.; Roos, N.; Bonell, A.; Chersich, M.; Havenith, G.; Luchters, S.; Day, L.T.; Hirst, J.E.; Singh, T.; et al. Physiological mechanisms of the impact of heat during pregnancy and the clinical implications: Review of the evidence from an expert group meeting. Int. J. Biometeorol. 2022, 66, 1505–1513. [Google Scholar] [CrossRef]
- Hunter, R.; Baird, B.; Garcia, M.; Begay, J.; Goitom, S.; Lucas, S.; Herbert, G.; Scieszka, D.; Padilla, J.; Brayer, K.; et al. Gestational ozone inhalation elicits maternal cardiac dysfunction and transcriptional changes to placental pericytes and endothelial cells. Toxicol. Sci. 2023, 196, 238–249. [Google Scholar] [CrossRef]
- Rani, P.; Dhok, A. Effects of Pollution on Pregnancy and Infants. Cureus 2023, 15, e33906. [Google Scholar] [CrossRef]
Disclaimer/Publisher’s Note: The statements, opinions and data contained in all publications are solely those of the individual author(s) and contributor(s) and not of MDPI and/or the editor(s). MDPI and/or the editor(s) disclaim responsibility for any injury to people or property resulting from any ideas, methods, instructions or products referred to in the content. |
© 2025 by the authors. Licensee MDPI, Basel, Switzerland. This article is an open access article distributed under the terms and conditions of the Creative Commons Attribution (CC BY) license (https://creativecommons.org/licenses/by/4.0/).