Concentrations and Oxidative Potential of PM2.5 and Black Carbon Inhalation Doses at US–Mexico Port of Entry
Abstract
1. Introduction
2. Materials and Methods
2.1. Air Sampling Sites
2.2. Study Groups
2.3. Surveys
2.4. Sampling Periods, Meteorological Data, and Waiting Time
2.5. PM2.5
2.6. Black Carbon
2.7. Oxidative Potential
2.8. BC Inhalation Dose
2.9. Statistical Analysis
3. Results and Discussion
3.1. Survey Results
3.2. Spatial and Temporal Variability of PM2.5
3.3. Effect of Meteorological Conditions on PM2.5 Concentrations
3.4. Temporal Variability of Black Carbon
3.5. Effect of Meteorological Conditions on BC Concentrations
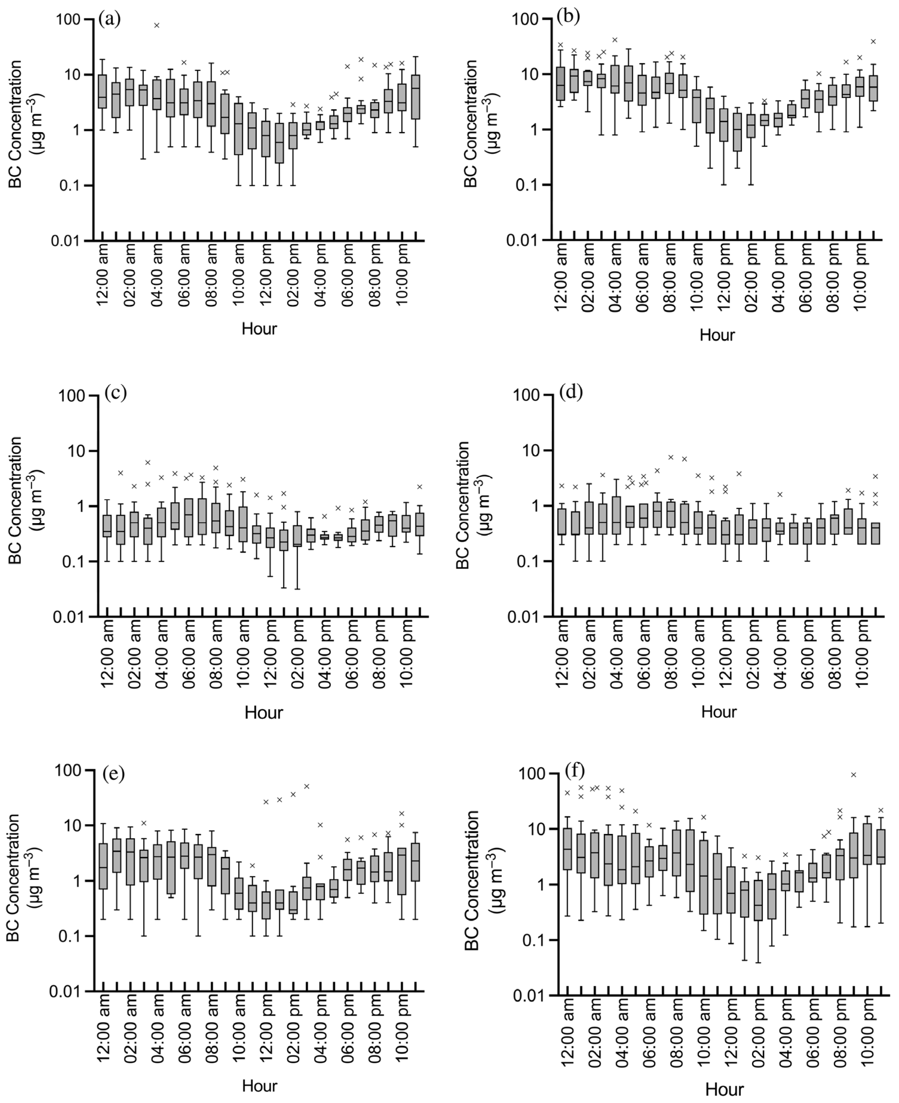
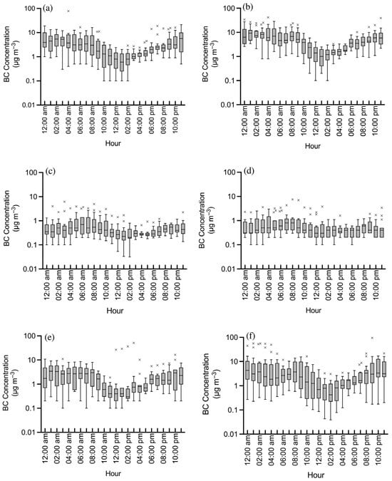
3.6. Diurnal Behavior
3.7. BC and PM2.5 Correlation and Ratio
3.8. Oxidative Potential
3.9. Exposure and Inhalation Dose of BC
4. Conclusions
Supplementary Materials
Author Contributions
Funding
Data Availability Statement
Acknowledgments
Conflicts of Interest
References
- Censo de Población y Vivienda- Instituto Nacional de Estadística y Geografía (INEGI). Available online: https://www.inegi.org.mx/programas/ccpv/2020/ (accessed on 21 July 2021).
- U.S. Census Bureau-American Community Survey 1-Year Estimates. Available online: https://www.census.gov/programs-surveys/acs. (accessed on 23 July 2021).
- Secretaría de Medio Ambiente y Recursos Naturales (SEMARNAT); US Environmental Protection Agency (US EPA). United States-Mexico Environmental Program: Border 2020; SEMARNAT and US EPA: Tijuana, Mexico, 2012. [Google Scholar] [CrossRef]
- Quintana, P.J.E.; Dumbauld, J.J.; Garnica, L.; Chowdhury, M.Z.; Velascosoltero, J.; Mota-Raigoza, A.; Flores, D.; Rodríguez, E.; Panagon, N.; Gamble, J.; et al. Traffic-Related Air Pollution in the Community of San Ysidro, CA, in Relation to Northbound Vehicle Wait Times at the US-Mexico Border Port of Entry. Atmos. Environ. 2014, 88, 353–361. [Google Scholar] [CrossRef]
- California Air Resources Board (CARB). Available online: https://ww2.arb.ca.gov/es/news/carb-incrementa-el-numero-de-comunidades-en-desventaja-nivel-estatal-en-el-programa-de (accessed on 11 April 2022).
- US Customs and Border Protection (CBP). Border Wait Times. 2019. Available online: http://apps.cbp.gov/bwt/ (accessed on 1 January 2019).
- San Diego Association of Governments (SANDAG). Border Wait Time Technologies and Information Systems White Paper. San Diego, CA. 2020. Available online: https://www.sandag.org/uploads/publicationid/publicationid_4469_23227.pdf (accessed on 11 May 2022).
- Galaviz, V.E.; Yost, M.G.; Simpson, C.D.; Camp, J.E.; Paulsen, M.H.; Elder, J.P.; Hoffman, L.; Flores, D.; Quintana, P.J.E. Traffic Pollutant Exposures Experienced by Pedestrians Waiting to Enter the U.S. at a Major U.S.-Mexico Border Crossing. Atmos. Environ. 2014, 88, 362–369. [Google Scholar] [CrossRef]
- Quintana, P.J.E.; Ganster, P.; Stigler Granados, P.E.; Muñoz-Meléndez, G.; Quintero-Núñez, M.; Rodríguez-Ventura, J.G. Risky Borders: Traffic Pollution and Health Effects at US–Mexican Ports of Entry. J. Borderl. Stud. 2015, 30, 287–307. [Google Scholar] [CrossRef]
- Mukherjee, A.; Mccarthy, M.C.; Brown, S.G.; Huang, S.; Landsberg, K.; Eisinger, D.S. Influence of Roadway Emissions on Near-Road PM2.5: Monitoring Data Analysis and Implications. Transp. Res. Part D Transp. Environ. 2020, 86, 102442. [Google Scholar] [CrossRef]
- Karner, A.A.; Eisinger, D.S.; Niemeier, D.A. Near-Roadway Air Quality: Synthesizing the Findings from Real-World Data. Environ. Sci. Technol. 2010, 44, 5334–5344. [Google Scholar] [CrossRef]
- Lee, Y.G.; Lee, P.H.; Choi, S.M.; An, M.H.; Jang, A.S. Effects of Air Pollutants on Airway Diseases. Int. J. Environ. Res. Public Health 2021, 18, 9905. [Google Scholar] [CrossRef]
- Miller, M.R.; Newby, D.E. Air Pollution and Cardiovascular Disease. Cardiovasc. Res. 2020, 116, 279–294. [Google Scholar] [CrossRef] [PubMed]
- Marsal, A.; Sauvain, J.J.; Thomas, A.; Lyon-Caen, S.; Borlaza, L.J.S.; Philippat, C.; Jaffrezo, J.L.; Boudier, A.; Darfeuil, S.; Elazzouzi, R.; et al. Effects of Personal Exposure to the Oxidative Potential of PM2.5 on Oxidative Stress Biomarkers in Pregnant Women. Sci. Total Environ. 2024, 911, 168475. [Google Scholar] [CrossRef] [PubMed]
- Vega, E.; Ruiz, H.; Escalona, S.; Cervantes, A.; Lopez-Veneroni, D.; Gonzalez-Avalos, E.; Sanchez-Reyna, G. Chemical Composition of Fine Particles in Mexico City during 2003–2004. Atmos. Pollut. Res. 2011, 2, 477–483. [Google Scholar] [CrossRef]
- Xie, J.; Jin, L.; Cui, J.; Luo, X.; Li, J.; Zhang, G.; Li, X. Health Risk-Oriented Source Apportionment of PM2.5-Associated Trace Metals. Environ. Pollut. 2020, 262, 114655. [Google Scholar] [CrossRef]
- Moufarrej, L.; Verdin, A.; Cazier, F.; Ledoux, F.; Courcot, D. Oxidative Stress Response in Pulmonary Cells Exposed to Different Fractions of PM2.5-0.3 from Urban, Traffic and Industrial Sites. Environ. Res. 2023, 216, 114572. [Google Scholar] [CrossRef] [PubMed]
- Bates, J.T.; Fang, T.; Verma, V.; Zeng, L.; Weber, R.J.; Tolbert, P.E.; Abrams, J.Y.; Sarnat, S.E.; Klein, M.; Mulholland, J.A.; et al. Review of Acellular Assays of Ambient Particulate Matter Oxidative Potential: Methods and Relationships with Composition, Sources, and Health Effects. Environ. Sci. Technol. 2019, 53, 4003–4019. [Google Scholar] [CrossRef]
- Zhang, X.; Staimer, N.; Tjoa, T.; Gillen, D.L.; Schauer, J.J.; Shafer, M.M.; Hasheminassab, S.; Pakbin, P.; Longhurst, J.; Sioutas, C.; et al. Associations between Microvascular Function and Short-Term Exposure to Traffic-Related Air Pollution and Particulate Matter Oxidative Potential. Environ. Health 2016, 15, 81. [Google Scholar] [CrossRef] [PubMed]
- Bates, J.T.; Weber, R.J.; Abrams, J.; Verma, V.; Fang, T.; Klein, M.; Strickland, M.J.; Sarnat, S.E.; Chang, H.H.; Mulholland, J.A.; et al. Reactive Oxygen Species Generation Linked to Sources of Atmospheric Particulate Matter and Cardiorespiratory Effects. Environ. Sci. Technol. 2015, 49, 13605–13612. [Google Scholar] [CrossRef]
- Abrams, J.Y.; Weber, R.J.; Klein, M.; Samat, S.E.; Chang, H.H.; Strickland, M.J.; Verma, V.; Fang, T.; Bates, J.T.; Mulholland, J.A.; et al. Associations between Ambient Fine Particulate Oxidative Potential and Cardiorespiratory Emergency Department Visits. Environ. Health Perspect. 2017, 125, 1–9. [Google Scholar] [CrossRef]
- Janssen, N.A.H.; Hoek, G.; Simic-Lawson, M.; Fischer, P.; van Bree, L.; ten Brink, H.; Keuken, M.; Atkinson, R.W.; Ross Anderson, H.; Brunekreef, B.; et al. Black Carbon as an Additional Indicator of the Adverse Health Effects of Airborne Particles Compared with PM10 and PM2.5. Environ. Health Perspect. 2011, 119, 1691–1699. [Google Scholar] [CrossRef]
- Sarnat, S.E.; Raysoni, A.U.; Li, W.W.; Holguin, F.; Johnson, B.A.; Luevano, S.F.; Garcia, J.H.; Sarnat, J.A. Air Pollution and Acute Respiratory Response in a Panel of Asthmatic Children along the U.S.-Mexico Border. Environ. Health Perspect. 2012, 120, 437–444. [Google Scholar]
- Quintana, P.J.E.; Stigler, P.; Muñoz-Meléndez, G.; Quintero-Núñez, M.; Rodríguez-Ventura, J.G. White paper: Health impacts of crossings at US-Mexico land ports of entry: Gaps, needs and recommendations for action. In Report from the Health Impacts of Border Crossings; 2012 Conference May 3 and 4; San Diego State University: San Ysidro, CA, USA, 2012; Available online: https://kpbs.media.clients.ellingtoncms.com/news/documents/2013/05/15/Health_Impacts_of_Border_Crossings_White_Paper_FINAL.pdf (accessed on 3 June 2020).
- Carrillo, G.; Uribe, F.; Lucio, R.; Ramirez Lopez, A.; Korc, M. The United States-Mexico Border Environmental Public Health: The Challenges of Working with Two Systems. Pan Am. J. Public Health 2017, 41, 98. [Google Scholar] [PubMed]
- NOAA National Estuarine Research Reserve System (NERRS). Available online: http://cdmo.baruch.sc.edu/data/available-data/ (accessed on 2 October 2020).
- Secretaria de Salud. Mexicana PROY-NMX-AA-177-SCFI-2015, Equivalent Reference Methods for the Measurement of PM10 and PM2.5 Suspended Particles in the Air. Diario Oficial de la Federacion. 2015. Available online: https://caisatech.net/uploads/XXI_2_MXD_E39_PROY-NMX-AA-177-%20SCFI-2015_R0_24FEB2016.pdf (accessed on 5 February 2021).
- Tisch Environmental Inc. Operations Manual, Particulate Matter 10 Microns and Less High-Volume Air Sampler. 2010. Available online: https://tisch-env.com/high-volume-air-sampler/pm2.5 (accessed on 15 October 2020).
- US Environmental Protection Agency (US EPA). Standard Operating Procedure for the Mass Analysis and Subsequent Extraction of Sampled PM10 and Tsp from Exposed Quartz and Glass Microfiber Filters; US EPA: Washington, DC, USA, 2002. [Google Scholar]
- Hagler, G.S.W.; Yelverton, T.L.B.; Vedantham, R.; Hansen, A.D.A.; Turner, J.R. Post-processing Method to Reduce Noise while Preserving High Time Resolution in Aethalometer Real-time Black Carbon Data. Aerosol Air Qual. Res. 2011, 11, 539–546. [Google Scholar] [CrossRef]
- Virkkula, A.; Mäkelä, T.; Hillamo, R.; Yli-Tuomi, T.; Hirsikko, A.; Hämeri, K.; Koponen, I.K. A Simple Procedure for Correcting Loading Effects of Aethalometer Data. J. Air Waste Manag. Assoc. 2007, 57, 1214–1222. [Google Scholar] [CrossRef]
- Fang, T.; Verma, V.; Guo, H.; King, L.E.; Edgerton, E.S.; Weber, R.J. A Semi-Automated System for Quantifying the Oxidative Potential of Ambient Particles in Aqueous Extracts Using the Dithiothreitol (DTT) Assay: Results from the Southeastern Center for Air Pollution and Epidemiology (SCAPE). Atmos. Meas. Tech. 2015, 8, 471–482. [Google Scholar] [CrossRef]
- Charrier, J.G.; Anastasio, C. On Dithiothreitol (DTT) as a Measure of Oxidative Potential for Ambient Particles: Evidence for the Importance of Soluble Transition Metals. Atmos. Chem. Phys. 2012, 12, 11317–11350. [Google Scholar] [CrossRef] [PubMed]
- Molina, C.; Manzano, C.A.; Toro, R.; Leiva, G.M.A. The Oxidative Potential of Airborne Particulate Matter in Two Urban Areas of Chile: More than Meets the Eye. Environ. Int. 2023, 173, 107866. [Google Scholar] [CrossRef]
- Ott, W.R. Concepts of Human Exposure to Air Pollution. Environ. Int. 1982, 7, 179–196. [Google Scholar] [CrossRef]
- US Environmental Protection Agency (US EPA). Exposure Factors Handbook 2011 Edition (Final Report); EPA/600/R-09/052F; U.S. Environmental Protection Agency: Washington, DC, USA, 2011. Available online: https://cfpub.epa.gov/si/si_public_record_report.cfm?Lab=NCEA&dirEntryId=236252 (accessed on 5 January 2020).
- Instituto Nacional de Ecologia y Cambio Climatico (INECC), Secretaria de Medio Ambiente y Recursos Naturales (SEMARNAT). Study of Emissions and Vehicular Activity in Baja California, Mexico. Final Report. 2011. Available online: https://www.gob.mx/cms/uploads/attachment/file/112408/2011_CGCSA_RSD_Baja_California.pdf (accessed on 25 March 2019).
- Zavala, M.; Barrera, M.; Morante, H.; Molina, J.; Zavala, M.; Barrera, H.; Morante, J.; Molina, L.T. Analysis of Model-Based PM2.5 Emission Factors for on-Road Mobile Sources in Mexico. Atmósfera 2013, 26, 109–124. [Google Scholar] [CrossRef][Green Version]
- Smith, L.A.; Mukerjee, S.; Monroy, G.J.; Keene, F.E. Preliminary Assessments of Spatial Influences in the Ambos Nogales Region of the US–Mexican Border. Sci. Total Environ. 2001, 276, 83–92. [Google Scholar] [CrossRef] [PubMed]
- World Health Organization (WHO). Ambient (Outdoor) Air Pollution. Available online: https://www.who.int/news-room/fact-sheets/detail/ambient-(outdoor)-air-quality-and-health (accessed on 28 October 2021).
- US Environmental Protection Agency (US EPA). NAAQS Table. Available online: https://www.epa.gov/criteria-air-pollutants/naaqs-table (accessed on 20 December 2019).
- Secretaria de Salud. NORMA Oficial Mexicana NOM-025-SSA1-2014. Available online: http://siga.jalisco.gob.mx/aire/normas/NOM-025-SSA1-2014.pdf (accessed on 5 January 2020).
- Seidel, D.J.; Birnbaum, A.N. Effects of Independence Day Fireworks on Atmospheric Concentrations of fine Particulate Matter in the United States. Atmos. Environ. 2015, 115, 192–198. [Google Scholar] [CrossRef]
- Mendez, E.; Temby, O.; Wladyka, D.; Sepielak, K.; Raysoni, A.U. Fine Particulate Matter Concentrations during Independence Day Fireworks Display in the Lower Rio Grande Valley Region, South Texas, USA. Sci. World J. 2022, 2022, 8413574. [Google Scholar] [CrossRef]
- Singh, A.; Pant, P.; Pope, F.D. Air Quality during and after Festivals: Aerosol Concentrations, composition and health effects. Atmos. Res. 2019, 227, 220–232. [Google Scholar] [CrossRef]
- Jansen, K.L.; Larson, T.V.; Koenig, J.Q.; Mar, T.F.; Fields, C.; Stewart, J.; Lippmann, M. Associations between Health Effects and Particulate Matter and Black Carbon in Subjects with Respiratory Disease. Environ. Health Perspect. 2005, 113, 1741–1746. [Google Scholar] [CrossRef]
- Sierra-Vargas, M.P.; Guzman-Grenfell, A.M.; Blanco-Jimenez, S.; Sepulveda-Sanchez, J.D.; Bernabe-Cabanillas, R.M.; Cardenas-Gonzalez, B.; Ceballos, G.; Hicks, J.J. Airborne Particulate Matter PM2.5 from Mexico City Affects the Generation of Reactive Oxygen Species by Blood Neutrophils from Asthmatics: An In Vitro Approach. J. Occup. Med. Toxicol. 2009, 4, 17. [Google Scholar] [CrossRef] [PubMed]
- Gobierno del Estado de Baja California. Programa Para Mejorar La Calidad Del Aire, de La Zona Metropolitana de Tijuana, Tecate, y Playas de Rosarito 2012–2020. 2011. Available online: https://www.gob.mx/cms/uploads/attachment/file/69288/9_ProAire_ZMT.pdf (accessed on 18 March 2020).
- Takahama, S.; Russell, L.M.; Shores, C.A.; Marr, L.C.; Zheng, J.; Levy, M.; Zhang, R.; Castillo, E.; Rodriguez-ventura, J.G.; Quintana, P.J.E.; et al. Diesel Vehicle and Urban Burning Contributions to Black Carbon Concentrations and Size Distributions in Tijuana, Mexico, during the Cal-Mex 2010 Campaign. Atmos. Environ. 2014, 88, 341–352. [Google Scholar] [CrossRef]
- Shores, C.A.; Klapmeyer, M.E.; Quadros, M.E.; Marr, L.C. Sources and Transport of Black Carbon at the California e Mexico Border. Atmos. Environ. 2013, 70, 490–499. [Google Scholar] [CrossRef]
- Bei, N.; Li, G.; Zavala, M.; Barrera, H.; Torres, R.; Grutter, M.; Gutiérrez, W.; García, M.; Ruiz-Suarez, L.G.; Ortinez, A.; et al. Meteorological Overview and Plume Transport Patterns during Cal-Mex 2010. Atmos. Environ. 2013, 70, 477–489. [Google Scholar] [CrossRef]
- Limon-Sanchez, M.T.; Carbajal-Romero, P.; Hernandez-Mena, L.; Saldarriaga-Norena, H.; Lopez-Lopez, A.; Cosio-Ramirez, R.; Arriaga-Colina, L.J.; Smith, W. Black Carbon in PM2.5, Data from Two Urban Sites in Guadalajara, Mexico during 2008. Atmos. Pollut. Res. 2011, 2, 358–365. [Google Scholar] [CrossRef]
- Peralta, O.; Ortínez-Alvarez, A.; Basaldud, R.; Santiago, N.; Alvarez-Ospina, H.; de la Cruz, K.; Barrera, V.; de la Luz Espinosa, M.; Saavedra, I.; Castro, T.; et al. Atmospheric Black Carbon Concentrations in Mexico. Atmos. Res. 2019, 230, 104626. [Google Scholar] [CrossRef]
- Liu, B.; He, M.M.; Wu, C.; Li, J.; Li, Y.; Lau, N.T.; Yu, J.Z.; Lau, A.K.H.; Fung, J.C.H.; Hoi, K.I.; et al. Potential Exposure to Fine Particulate Matter (PM2.5) and Black Carbon on Jogging Trails in Macau. Atmos. Environ. 2019, 198, 23–33. [Google Scholar] [CrossRef]
- Liñán-Abanto, R.; Salcedo, D.; Castro, T.; Carabeli, G.; Peralta, O.; Arnott, P.; Ruiz Suárez, L.; Paredes Miranda, G. Mediciones Continuas de Carbono Negro, Monóxido de Carbono y Dióxido de Carbono, Durante La Temporada Seca Caliente 2016, En Un Sitio Periurbano de Querétaro, México. Cienc. Desarro. 2020, 19, 68–76. [Google Scholar] [CrossRef]
- Şahin, Ü.A.; Onat, B.; Akın, Ö.; Ayvaz, C.; Uzun, B.; Mangır, N.; Doğan, M.; Harrison, R.M. Temporal Variations of Atmospheric Black Carbon and Its Relation to Other Pollutants and Meteorological Factors at an Urban Traffic Site in Istanbul. Atmos. Pollut. Res. 2020, 11, 1051–1062. [Google Scholar] [CrossRef]
- Rocha Romero, D.; Orraca Romano, P.P. Estudiantes de Educación Superior Transfronterizos: Residir En México y Estudiar En Estados Unidos. Front. Norte 2018, 30, 103–128. [Google Scholar] [CrossRef]
- US Environmental Protection Agency (US EPA). Report to Congress on Black Carbon; Department of the Interior, Environment, and Related Agencies Appropriations Act: Raleigh, NC, USA, 2012. Available online: https://19january2017snapshot.epa.gov/www3/airquality/blackcarbon/2012report/fullreport.pdf (accessed on 13 June 2020).
- Tiwari, S.; Srivastava, A.K.; Bisht, D.S.; Parmita, P.; Srivastava, M.K.; Attri, S.D. Diurnal and Seasonal Variations of Black Carbon and PM2.5 over New Delhi, India: Influence of Meteorology. Atmos. Res. 2013, 125–126, 50–62. [Google Scholar] [CrossRef]
- Gaitan, G.E.M.; Mancilla, Y.; Dom, A.M. Black Carbon-Organic Carbon and Black Carbon-PM2.5 Ratios of the Major Emissions Sources in the Monterrey, Mexico. Conference: 2° Congreso Interamericano de Cambio Climatico. 2016. Available online: https://www.researchgate.net/publication/298787121_Black_Carbon-Organic_Carbon_and_Black_Carbon-PM25_Ratios_of_the_Major_Emissions_Sources_in_Monterrey_Mexico (accessed on 11 March 2020).
- Liu, Q.; Ma, T.; Olson, M.R.; Liu, Y.; Zhang, T.; Wu, Y.; Schauer, J.J. Temporal variations of black carbon during haze and non-haze days in Beijing. Sci. Rep. 2016, 6, 33331. [Google Scholar] [CrossRef] [PubMed]
- Gao, D.; Mulholland, J.A.; Russell, A.G.; Weber, R.J. Characterization of water-insoluble oxidative potential of PM2.5 using the dithiothreitol assay. Atmos. Environ. 2020, 224, 117327. [Google Scholar] [CrossRef]
- Shirmohammadi, F.; Hasheminassab, S.; Wang, D.; Schauer, J.J.; Shafer, M.M.; Delfino, R.J.; Sioutas, C. The relative importance of tailpipe and non-talpipe emissions on the oxidative potential of ambient particles in Los Angeles, CA. Faraday Discuss. 2016, 189, 361–380. [Google Scholar] [CrossRef] [PubMed]
- Delfino, R.J.; Staimer, N.; Tjoa, T.; Gillen, S.L.; Schauer, J.J.; Shafer, M.M. Airway inflammation and oxidative potential of air pollutant particles in a pediatric asthma panel. J. Expo. Sci. Environ. Epidemiol. 2013, 23, 466–473. [Google Scholar] [CrossRef] [PubMed]
- Cho, A.K.; Sioutas, C.; Miguel, A.H.; Kumagai, Y.; Schmitz, D.A.; Singh, M.; Eiguren-Fernandez, A.; Froines, J.R. Redox activity of airborne particulate matter at different sites in the Los Angeles Basin. Environ. Res. 2005, 99, 40–47. [Google Scholar] [CrossRef]
- Shirmohammadi, F.; Wang, D.; Hasheminassab, S.; Verma, V.; Schauer, J.J.; Shafer, M.M.; Sioutas, C. Oxidative potential of on-road fine particulate matter (PM2.5) measured on major freeways of Los Angeles, CA, and a 10-year comparison with earlier roadside studies. Atmos. Environ. 2017, 148, 102–114. [Google Scholar] [CrossRef]
- Madrigano, J.; Baccarelli, A.; Wright, R.O.; Suh, H.; Sparrow, D.; Vokonas, P.S.; Schwartz, J. Air pollution, obesity, genes and cellular adhesion molecules. Occup. Environ. Med. 2010, 67, 312–317. [Google Scholar] [CrossRef] [PubMed]
- Velasco, E.; Retama, A.; Segovia, E.; Ramos, R. Particle exposure and inhaled dose while commuting by public transport in Mexico City. Atmos. Environ. 2019, 219, 117044. [Google Scholar] [CrossRef]
- Alvarez-Pedrerol, M.; Rivas, I.; López-Vicente, M.; Suades-González, E.; Donaire-Gonzalez, D.; Cirach, M.; de Castro, M.; Esnaola, M.; Basagaña, X.; Dadvand, P.; et al. Impact of commuting exposure to traffic-related air pollution on cognitive development in children walking to school. Environ. Pollut. 2017, 231, 837–844. [Google Scholar] [CrossRef]
- Zurita, R.; Quintana, P.J.E.; Toledano-Magaña, Y.; Wakida, F.T.; Montoya, L.D.; Castillo, J.E. Black carbon concentration at the major US-Mexico Port of Entry San Ysidro/El Chaparral. Mendeley Data 2020 V1. Available online: https://data.mendeley.com/datasets/3zb8vkpnyx/1 (accessed on 26 November 2020).





| Season | Parameter (PM2.5 µg m−3) | Site | ||
|---|---|---|---|---|
| M1 (Ref US) | M2 (Ref MX) | M3 (SYPOE) | ||
| Summer 2018 | Mean | 10.8 | 14.7 | 13.6 |
| Median | 9.8 | 14.4 | 12.6 | |
| Q1 | 8.0 | 10.2 | 11.6 | |
| Q3 | 12.6 | 17.3 | 14.2 | |
| Range | 5.4–17.7 | 6.0–24.0 | 8.9–27.2 | |
| N | 14 | 12 | 14 | |
| Autumn 2018 | Mean | 11.8 | 21.5 | 28.7 |
| Median | 10.7 | 18.5 1 | 27.2 1 | |
| Q1 | 8.6 | 17.6 | 22.9 | |
| Q3 | 13.4 | 24.5 | 36.6 | |
| Range | 4.7–23.1 | 7.5–45.8 | 13.5–41.5 | |
| N | 14 | 14 | 14 | |
| Winter 2018 | Mean | 13.2 | 21.9 | 28.2 |
| Median | 10.3 | 21.0 1 | 23.4 1 | |
| Q1 | 8.1 | 18.7 | 17.7 | |
| Q3 | 20.0 | 24.6 | 30.1 | |
| Range | 4.9–23.8 | 8.3–41.9 | 14.4–77.5 | |
| N | 14 | 13 | 14 | |
| Entire campaign | Mean | 11.9 | 19.5 | 23.5 |
| Median | 10.3 2 | 18.2 2 | 19.5 2 | |
| Q1 | 8.2 | 13.0 | 14.1 | |
| Q3 | 15.0 | 24.2 | 28.9 | |
| Range | 4.7–23.8 | 6.0–45.8 | 8.9–77.5 | |
| N | 42 | 39 | 42 | |
| Period | BC (µg m−3) | Autumn 2017 | Winter 2017 | Spring 2018 | Summer 2018 | Autumn 2018 | Winter 2018 |
|---|---|---|---|---|---|---|---|
| Entire campaign | Average | 3.7 | 5.7 | 0.6 | 0.7 | 5.6 | 5.3 |
| Median | 2.1 * | 3.8 * | 0.4 | 0.4 | 1.3 * | 1.9 * | |
| Q1 | 1.1 | 1.8 | 0.2 | 0.3 | 0.1 | 0.8 | |
| Q3 | 4.1 | 7.4 | 0.6 | 0.7 | 3.9 | 4.4 | |
| Maximum | 77.7 | 42.0 | 6.2 | 7.5 | 82.4 | 148.9 | |
| N | 409 | 362 | 336 | 365 | 337 | 361 | |
| Weekdays | Average | 2.2 | 6.2 | 0.4 | 0.7 | 5.9 | 6.1 |
| Median | 2.3 ** | 3.9 ** | 0.3 ** | 0.4 ** | 1.5 | 1.8 | |
| Q1 | 1.1 | 2.0 | 0.2 | 0.3 | 0.4 | 0.8 | |
| Q3 | 4.3 | 7.7 | 0.5 | 0.8 | 4.8 | 4.4 | |
| Maximum | 77.7 | 42 | 4.0 | 7.5 | 82.4 | 148.9 | |
| N | 313 | 250 | 240 | 271 | 217 | 281 | |
| Weekends | Average | 1.8 | 4.7 | 0.5 | 0.5 | 6.2 | 2.8 |
| Median | 1.6 | 3.5 | 0.6 | 0.4 | 1.4 | 1.9 | |
| Q1 | 1.1 | 1.3 | 0.3 | 0.3 | 0.3 | 0.8 | |
| Q3 | 3.1 | 6.2 | 0.8 | 0.6 | 4.2 | 3.7 | |
| Maximum | 15.5 | 39.2 | 6.2 | 1.6 | 67.3 | 16.3 | |
| N | 159 | 112 | 96 | 95 | 96 | 80 |
| BC Conc. (µg m−3) | Autumn 2017 | Winter 2017 | Spring 2018 | Summer 2018 | Autumn 2018 | Winter 2018 | |
|---|---|---|---|---|---|---|---|
| low wind speed | Average | 5.0 | 5.3 | 0.3 | 1.1 | 8.6 | 5.8 |
| Median | 3.2 * | 4.0 | 0.4 | 0.8 * | 3.2 * | 2.6 * | |
| Q1 | 1.8 | 2.8 | 0.3 | 0.5 | 1.8 | 1.4 | |
| Q3 | 6.0 | 6.4 | 0.9 | 1.5 | 12.6 | 5.0 | |
| Maximum | 77.7 | 27.4 | 4.0 | 3.6 | 45.6 | 94.8 | |
| N | 141 | 81 | 33 | 47 | 38 | 60 | |
| other wind speed | Average | 3.0 | 5.8 | 0.6 | 0.6 | 5.5 | 5.2 |
| Median | 1.5 | 3.6 | 0.4 | 0.4 | 1.4 | 1.7 | |
| Q1 | 0.9 | 1.6 | 0.2 | 0.3 | 0.3 | 0.7 | |
| Q3 | 3.2 | 7.8 | 0.6 | 0.6 | 4.0 | 4.0 | |
| Maximum | 21.1 | 42.0 | 6.2 | 7.5 | 82.4 | 148.9 | |
| N | 268 | 281 | 303 | 318 | 299 | 301 | |
| Parameter (µg m−3) | Autumn 2017 | Winter 2017 | Spring 2018 | Summer 2018 | Autumn 2018 | Winter 2018 |
|---|---|---|---|---|---|---|
| Average | 3.7 | 5.7 | 0.9 | 0.7 | 7.1 | 5.4 |
| Median | 3.0 | 5.1 | 0.5 | 0.5 | 4.2 | 3.9 |
| Q1 | 1.9 | 3.8 | 0.3 | 0.4 | 2.0 | 1.5 |
| Q3 | 4.7 | 6.6 | 0.9 | 0.8 | 10.5 | 5.1 |
| Maximum | 9.4 | 13.2 | 0.5 | 2.3 | 21.2 | 18.3 |
| N | 17 | 15 | 14 | 15 | 11 | 15 |
| Season | Pedestrian Waiting Time | Average BC Concentration (μg m−3) | Pedestrian Inhalation Dose 1 | Workers Inhalation Dose 2 |
|---|---|---|---|---|
| min (95 Percentile) | (μg) | (μg) | ||
| Autumn, 2017 | 58 | 5.0 | 2.5 | 12.0 |
| Winter, 2017 | 50 | 8.2 | 3.5 | 19.0 |
| Spring, 2018 | 50 | 0.9 | 0.4 | 3.9 |
| Summer, 2018 | 65 | 1.0 | 0.6 | 3.5 |
| Autumn, 2018 | 60 | 11.6 | 5.9 | 13.0 |
| Winter, 2018 | 60 | 5.0 | 2.6 | 10.6 |
Disclaimer/Publisher’s Note: The statements, opinions and data contained in all publications are solely those of the individual author(s) and contributor(s) and not of MDPI and/or the editor(s). MDPI and/or the editor(s) disclaim responsibility for any injury to people or property resulting from any ideas, methods, instructions or products referred to in the content. |
© 2024 by the authors. Licensee MDPI, Basel, Switzerland. This article is an open access article distributed under the terms and conditions of the Creative Commons Attribution (CC BY) license (https://creativecommons.org/licenses/by/4.0/).
Share and Cite
Zurita, R.; Quintana, P.J.E.; Toledano-Magaña, Y.; Wakida, F.T.; Montoya, L.D.; Castillo, J.E. Concentrations and Oxidative Potential of PM2.5 and Black Carbon Inhalation Doses at US–Mexico Port of Entry. Environments 2024, 11, 128. https://doi.org/10.3390/environments11060128
Zurita R, Quintana PJE, Toledano-Magaña Y, Wakida FT, Montoya LD, Castillo JE. Concentrations and Oxidative Potential of PM2.5 and Black Carbon Inhalation Doses at US–Mexico Port of Entry. Environments. 2024; 11(6):128. https://doi.org/10.3390/environments11060128
Chicago/Turabian StyleZurita, Rita, Penelope J. E. Quintana, Yanis Toledano-Magaña, Fernando T. Wakida, Lupita D. Montoya, and Javier Emmanuel Castillo. 2024. "Concentrations and Oxidative Potential of PM2.5 and Black Carbon Inhalation Doses at US–Mexico Port of Entry" Environments 11, no. 6: 128. https://doi.org/10.3390/environments11060128
APA StyleZurita, R., Quintana, P. J. E., Toledano-Magaña, Y., Wakida, F. T., Montoya, L. D., & Castillo, J. E. (2024). Concentrations and Oxidative Potential of PM2.5 and Black Carbon Inhalation Doses at US–Mexico Port of Entry. Environments, 11(6), 128. https://doi.org/10.3390/environments11060128

