Copper Distribution and Binding Affinity to Size-Fractioned Dissolved and Particulate Organic Matter in River Sediment
Abstract
1. Introduction
2. Materials and Methods
2.1. Experiment Site and Sample Collecting and Preparation
2.2. AEOM Extraction and Separation
2.3. Dissolved Organic Carbon and Metals’ Measurement
2.4. UV–Vis and Fluorescent Measurement
2.5. Optical Indices and Heavy Metal Binding Affinity Calculation
2.6. Statistic Analysis
3. Results
3.1. DOC and Cu Concentrations in the DOM and AEOM
3.2. DOC and Cu Mass Percentages in Size-Fractioned DOM/AEOM
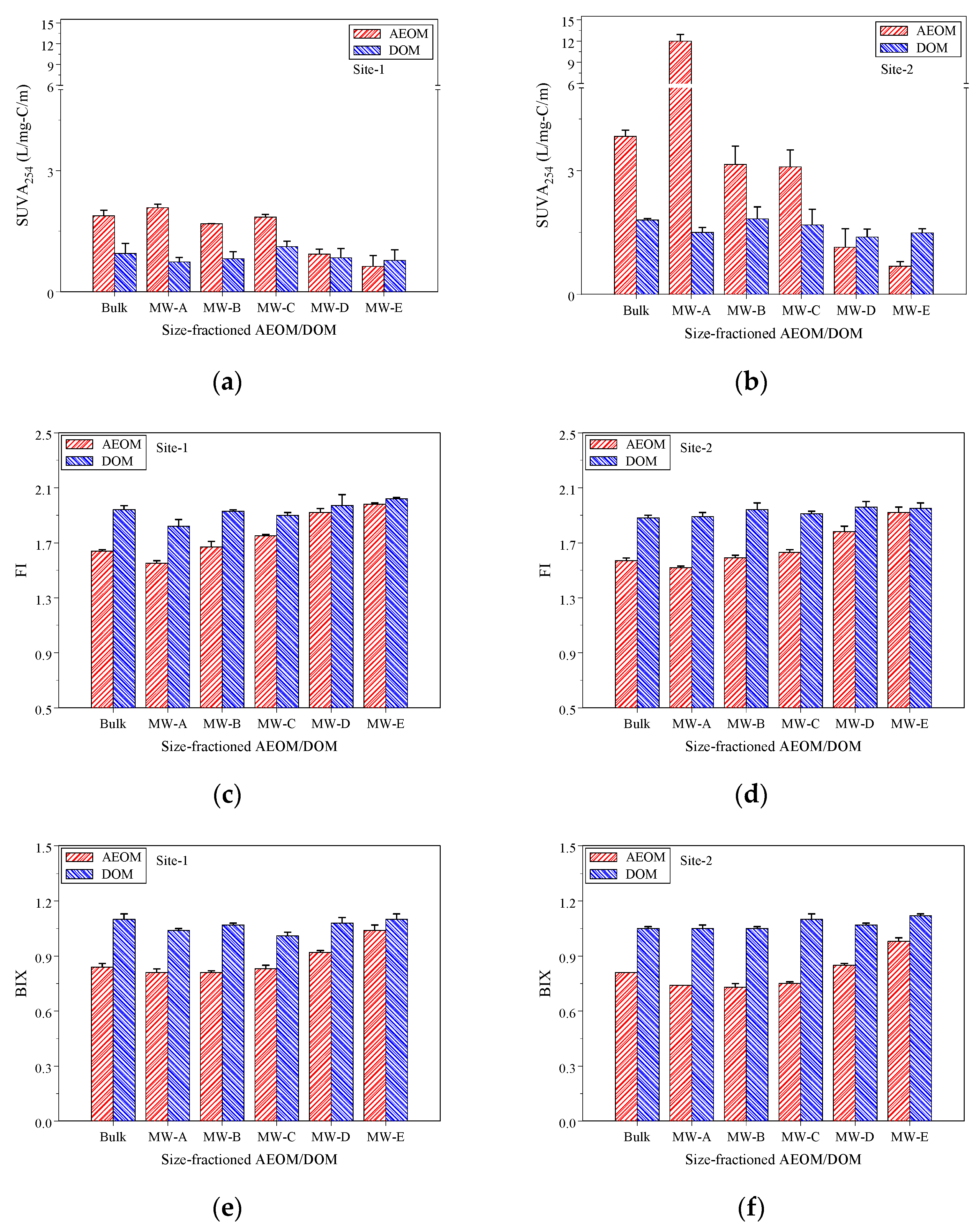
3.3. Optics Indicators of the DOM and AEOM
3.4. CuBA Ratios of DOM and AEOM
3.5. Correlation between CuBA Ratios with Optical Indices
3.6. The Exchange of DOM and POM Affect OC and Cu Distribution and Binding Affinity
4. Conclusions
Author Contributions
Funding
Data Availability Statement
Conflicts of Interest
References
- Di Luca, G.A.; Maine, M.A.; Mufarrege, M.; Hadad, H.R.; Sánchez, G.; Bonetto, C.A. Metal retention and distribution in the sediment of a constructed wetland for industrial wastewater treatment. Ecol. Eng. 2011, 37, 1267–1275. [Google Scholar] [CrossRef]
- Suzuki, R.; Masuda, T.; Nakatani, H.; Harada, H. A survey of Zinc and Copper contents of wastewater on pig farms in Aichi prefecture. Res. Bull. Aichi Agric. Res. Cent. 2009, 40, 163–169. [Google Scholar]
- Suzuki, K.; Waki, M.; Yasuda, T.; Fukumoto, Y.; Kuroda, K.; Sakai, T.; Suzuki, N.; Suzuki, R.; Matsuba, K. Distribution of phosphorus, copper and zinc in activated sludge treatment process of swine wastewater. Bioresour. Technol. 2010, 101, 9399–9404. [Google Scholar] [CrossRef]
- He, W.; Chen, M.; Schlautman, M.A.; Hur, J. Dynamic exchanges between DOM and POM pools in coastal and inland aquatic ecosystems: A review. Sci. Total Environ. 2016, 551, 415–428. [Google Scholar] [CrossRef] [PubMed]
- Hu, B.; Wang, P.; Wang, C.; Qian, J.; Bao, T.; Shi, Y. Investigating spectroscopic and copper-binding characteristics of organic matter derived from sediments and suspended particles using EEM-PARAFAC combined with two-dimensional fluorescence/FTIR correlation analyses. Chemosphere 2019, 219, 45–53. [Google Scholar] [CrossRef] [PubMed]
- Burdige, D.J.; Komada, T. Sediment pore waters. In Biogeochemistry of Marine Dissolved Organic Matter; Elsevier: Amsterdam, The Netherlands, 2015; pp. 535–577. [Google Scholar]
- Chen, M.; Hur, J. Pre-treatments, characteristics, and biogeochemical dynamics of dissolved organic matter in sediments: A review. Water Res. 2015, 79, 10–25. [Google Scholar] [CrossRef]
- He, W.; Lee, J.-H.; Hur, J. Anthropogenic signature of sediment organic matter probed by UV–Visible and fluorescence spectroscopy and the association with heavy metal enrichment. Chemosphere 2016, 150, 184–193. [Google Scholar] [CrossRef]
- Aiken, G.R.; Hsu-Kim, H.; Ryan, J.N. Influence of dissolved organic matter on the environmental fate of metals, nanoparticles, and colloids. ACS Publ. 2011, 45, 3196–3201. [Google Scholar] [CrossRef] [PubMed]
- Ahmed, I.A.; Hamilton-Taylor, J.; Lofts, S.; Meeussen, J.C.; Lin, C.; Zhang, H.; Davison, W. Testing copper-speciation predictions in freshwaters over a wide range of metal–organic matter ratios. Environ. Sci. Technol. 2013, 47, 1487–1495. [Google Scholar] [CrossRef][Green Version]
- Ahmed, I.A.; Hamilton-Taylor, J.; Bieroza, M.; Zhang, H.; Davison, W. Improving and testing geochemical speciation predictions of metal ions in natural waters. Water Res. 2014, 67, 276–291. [Google Scholar] [CrossRef]
- Shi, W.; Jin, Z.; Hu, S.; Fang, X.; Li, F. Dissolved organic matter affects the bioaccumulation of copper and lead in Chlorella pyrenoidosa: A case of long-term exposure. Chemosphere 2017, 174, 447–455. [Google Scholar] [CrossRef]
- Palansooriya, K.N.; Shaheen, S.M.; Chen, S.S.; Tsang, D.C.; Hashimoto, Y.; Hou, D.; Bolan, N.S.; Rinklebe, J.; Ok, Y.S. Soil amendments for immobilization of potentially toxic elements in contaminated soils: A critical review. Environ. Int. 2020, 134, 105046. [Google Scholar] [CrossRef]
- Burba, P.; Van den Bergh, J. Transformations of metal species in ageing humic hydrocolloids studied by competitive ligand and metal exchange. Anal. Bioanal. Chem. 2004, 378, 1637–1643. [Google Scholar] [CrossRef] [PubMed]
- Zheng, S.; Wang, P.; Wang, C.; Hou, J.; Qian, J. Distribution of metals in water and suspended particulate matter during the resuspension processes in Taihu Lake sediment, China. Quat. Int. 2013, 286, 94–102. [Google Scholar] [CrossRef]
- Pourabadehei, M.; Mulligan, C.N. Resuspension of sediment, a new approach for remediation of contaminated sediment. Environ. Pollut. 2016, 213, 63–75. [Google Scholar] [CrossRef]
- Feng, C.; Guo, X.; Yin, S.; Tian, C.; Li, Y.; Shen, Z. Heavy metal partitioning of suspended particulate matter-water and sediment-water in the Yangtze Estuary. Chemosphere 2017, 185, 717–725. [Google Scholar] [CrossRef] [PubMed]
- Mueller, K.K.; Lofts, S.; Fortin, C.; Campbell, P.G. Trace metal speciation predictions in natural aquatic systems: Incorporation of dissolved organic matter (DOM) spectroscopic quality. Environ. Chem. 2012, 9, 356–368. [Google Scholar] [CrossRef]
- Chen, W.; Guéguen, C.L.; Smith, D.S.; Galceran, J.; Puy, J.; Companys, E. Metal (Pb, Cd, and Zn) binding to diverse organic matter samples and implications for speciation modeling. Environ. Sci. Technol. 2018, 52, 4163–4172. [Google Scholar] [CrossRef] [PubMed]
- Oleinikova, O.V.; Shirokova, L.S.; Drozdova, O.Y.; Lapitskiy, S.A.; Pokrovsky, O.S. Low biodegradability of dissolved organic matter and trace metals from subarctic waters. Sci. Total Environ. 2018, 618, 174–187. [Google Scholar] [CrossRef]
- Amery, F.; Degryse, F.; Degeling, W.; Smolders, E.; Merckx, R. The copper-mobilizing-potential of dissolved organic matter in soils varies 10-fold depending on soil incubation and extraction procedures. Environ. Sci. Technol. 2007, 41, 2277–2281. [Google Scholar] [CrossRef]
- Amery, F.; Degryse, F.; Cheyns, K.; De Troyer, I.; Mertens, J.; Merckx, R.; Smolders, E. The UV-absorbance of dissolved organic matter predicts the fivefold variation in its affinity for mobilizing Cu in an agricultural soil horizon. Eur. J. Soil Sci. 2008, 59, 1087–1095. [Google Scholar] [CrossRef]
- Baken, S.; Degryse, F.; Verheyen, L.; Merckx, R.; Smolders, E. Metal complexation properties of freshwater dissolved organic matter are explained by its aromaticity and by anthropogenic ligands. Environ. Sci. Technol. 2011, 45, 2584–2590. [Google Scholar] [CrossRef] [PubMed]
- Chon, K.; Chon, K.; Cho, J. Characterization of size fractionated dissolved organic matter from river water and wastewater effluent using preparative high performance size exclusion chromatography. Org. Geochem. 2017, 103, 105–112. [Google Scholar] [CrossRef]
- Kikuchi, T.; Fujii, M.; Terao, K.; Jiwei, R.; Lee, Y.P.; Yoshimura, C. Correlations between aromaticity of dissolved organic matter and trace metal concentrations in natural and effluent waters: A case study in the Sagami River Basin, Japan. Sci. Total Environ. 2017, 576, 36–45. [Google Scholar] [CrossRef] [PubMed]
- Yi, Y.; Xiao, M.; Mostofa, K.M.; Xu, S.; Wang, Z. Spatial Variations of Trace Metals and Their Complexation Behavior with DOM in the Water of Dianchi Lake, China. Int. J. Environ. Res. Public Health 2019, 16, 4919. [Google Scholar] [CrossRef] [PubMed]
- Hur, J.; Lee, D.-H.; Shin, H.-S. Comparison of the structural, spectroscopic and phenanthrene binding characteristics of humic acids from soils and lake sediments. Org. Geochem. 2009, 40, 1091–1099. [Google Scholar] [CrossRef]
- Hur, J.; Lee, B.-M.; Shin, K.-H. Spectroscopic characterization of dissolved organic matter isolates from sediments and the association with phenanthrene binding affinity. Chemosphere 2014, 111, 450–457. [Google Scholar] [CrossRef] [PubMed]
- Li, P.; Hur, J. Utilization of UV-Vis spectroscopy and related data analyses for dissolved organic matter (DOM) studies: A review. Crit. Rev. Environ. Sci. Technol. 2017, 47, 131–154. [Google Scholar] [CrossRef]
- Chiu, T.-P.; Huang, W.-S.; Chen, T.-C.; Yeh, Y.-L. Fluorescence characteristics of dissolved organic matter (DOM) in percolation water and lateral seepage affected by soil solution (SS) in a lysimeter test. Sensors 2019, 19, 4016. [Google Scholar] [CrossRef]
- Hsieh, S.-H.; Chiu, T.-P.; Huang, W.-S.; Chen, T.-C.; Yeh, Y.-L. Cadmium (Cd) and Nickel (Ni) Distribution on Size-Fractioned Soil Humic Substance (SHS). Int. J. Environ. Res. Public Health 2019, 16, 3398. [Google Scholar] [CrossRef]
- Shi, M.-S.; Huang, W.-S.; Hsu, L.-F.; Yeh, Y.-L.; Chen, T.-C. Fluorescence of Size-Fractioned Humic Substance Extracted from Sediment and Its Effect on the Sorption of Phenanthrene. Int. J. Environ. Res. Public Health 2019, 16, 5087. [Google Scholar] [CrossRef] [PubMed]
- Weishaar, J.L.; Aiken, G.R.; Bergamaschi, B.A.; Fram, M.S.; Fujii, R.; Mopper, K. Evaluation of specific ultraviolet absorbance as an indicator of the chemical composition and reactivity of dissolved organic carbon. Environ. Sci. Technol. 2003, 37, 4702–4708. [Google Scholar] [CrossRef] [PubMed]
- Birdwell, J.E.; Engel, A.S. Characterization of dissolved organic matter in cave and spring waters using UV–Vis absorbance and fluorescence spectroscopy. Org. Geochem. 2010, 41, 270–280. [Google Scholar] [CrossRef]
- Huguet, A.; Vacher, L.; Relexans, S.; Saubusse, S.; Froidefond, J.-M.; Parlanti, E. Properties of fluorescent dissolved organic matter in the Gironde Estuary. Org. Geochem. 2009, 40, 706–719. [Google Scholar] [CrossRef]
- Liu, R.; Lead, J.R.; Baker, A. Fluorescence characterization of cross flow ultrafiltration derived freshwater colloidal and dissolved organic matter. Chemosphere 2007, 68, 1304–1311. [Google Scholar] [CrossRef] [PubMed]
- Huang, W.-H.; Lin, T.-C.; Huang, C.-M.; Chen, T.-C.; Yeh, Y.-L. Copper distribution and binding affinity of size-fractioned humic substances taken from paddy soil and correlation with optical characteristics. Agronomy 2022, 12, 1689. [Google Scholar] [CrossRef]
- Li, R.; Yue, D.; Liu, J.; Nie, Y. Size fractionation of organic matter and heavy metals in raw and treated leachate. Waste Manag. 2009, 29, 2527–2533. [Google Scholar] [CrossRef] [PubMed]
- Hargreaves, A.J.; Vale, P.; Whelan, J.; Constantino, C.; Dotro, G.; Campo, P.; Cartmell, E. Distribution of trace metals (Cu, Pb, Ni, Zn) between particulate, colloidal and truly dissolved fractions in wastewater treatment. Chemosphere 2017, 175, 239–246. [Google Scholar] [CrossRef]
- Chuang, C.-W.; Hsu, L.-F.; Tsai, H.-C.; Liu, Y.-Y.; Huang, W.-S.; Chen, T.-C. Nickel Binding Affinity with Size-Fractioned Sediment Dissolved and Particulate Organic Matter and Correlation with Optical Indicators. Appl. Sci. 2020, 10, 8995. [Google Scholar] [CrossRef]
- Vasyukova, E.; Pokrovsky, O.S.; Viers, J.; Dupré, B. New operational method of testing colloid complexation with metals in natural waters. Appl. Geochem. 2012, 27, 1226–1237. [Google Scholar] [CrossRef]
- Helms, J.R.; Stubbins, A.; Ritchie, J.D.; Minor, E.C.; Kieber, D.J.; Mopper, K. Absorption spectral slopes and slope ratios as indicators of molecular weight, source, and photobleaching of chromophoric dissolved organic matter. Limnol. Oceanog. 2008, 53, 955–969. [Google Scholar] [CrossRef]
- Hansen, A.M.; Kraus, T.E.; Pellerin, B.A.; Fleck, J.A.; Downing, B.D.; Bergamaschi, B.A. Optical properties of dissolved organic matter (DOM): Effects of biological and photolytic degradation. Limnol. Oceanog. 2016, 61, 1015–1032. [Google Scholar] [CrossRef]
- Derrien, M.; Yang, L.; Hur, J. Lipid biomarkers and spectroscopic indices for identifying organic matter sources in aquatic environments: A review. Water Res. 2017, 112, 58–71. [Google Scholar] [CrossRef] [PubMed]
- Dabrin, A.; Roulier, J.-L.; Coquery, M. Colloidal and truly dissolved metal (oid) fractionation in sediment pore waters using tangential flow filtration. Appl. Geochem. 2013, 31, 25–34. [Google Scholar] [CrossRef]
- Park, J.H.; Lee, J.H.; Kang, S.Y.; Kim, S.Y. Hydroclimatic controls on dissolved organic matter (DOM) characteristics and implications for trace metal transport in Hwangryong River Watershed, Korea, during a summer monsoon period. Hydrol. Process. Int. J. 2007, 21, 3025–3034. [Google Scholar] [CrossRef]
- Yan, M.; Ma, J.; Zhang, C.; Zhou, Y.; Liu, F.; Han, X.; Li, M.; Ni, J. Optical property of dissolved organic matters (DOMs) and its link to the presence of metal ions in surface freshwaters in China. Chemosphere 2017, 188, 502–509. [Google Scholar] [CrossRef]
- Duc, T.A.; Loi, V.D.; Thao, T.T. Partition of heavy metals in a tropical river system impacted by municipal waste. Environ. Monit. Assess. 2013, 185, 1907–1925. [Google Scholar] [CrossRef]
- Yu, Y.; Wan, Y.; Camara, A.Y.; Li, H. Effects of the addition and aging of humic acid-based amendments on the solubility of Cd in soil solution and its accumulation in rice. Chemosphere 2018, 196, 303–310. [Google Scholar] [CrossRef]
- Zhang, S.; Chen, X.-W.; Ye, Q.; Zhang, Z.-T.; Kong, S.-F.; Cao, C.; Wang, J.-J. Dissolved metal (loid) concentrations and their relations with chromophoric and fluorescent dissolved organic matter in an urban river in Shenzhen, South China. Water 2020, 12, 281. [Google Scholar] [CrossRef]
- Hou, D.; He, J.; Lü, C.; Ren, L.; Fan, Q.; Wang, J.; Xie, Z. Distribution characteristics and potential ecological risk assessment of heavy metals (Cu, Pb, Zn, Cd) in water and sediments from Lake Dalinouer, China. Ecotoxicol. Environ. Saf. 2013, 93, 135–144. [Google Scholar] [CrossRef]
- Ilina, S.M.; Lapitskiy, S.A.; Alekhin, Y.V.; Viers, J.; Benedetti, M.; Pokrovsky, O.S. Speciation, size fractionation and transport of trace elements in the continuum soil water-mire-humic lake-river-large oligotrophic lake of a Subarctic watershed. Aquat. Geochem. 2016, 22, 65–95. [Google Scholar] [CrossRef]
- Ren, Z.-L.; Tella, M.; Bravin, M.N.; Comans, R.N.; Dai, J.; Garnier, J.-M.; Sivry, Y.; Doelsch, E.; Straathof, A.; Benedetti, M.F. Effect of dissolved organic matter composition on metal speciation in soil solutions. Chem. Geol. 2015, 398, 61–69. [Google Scholar] [CrossRef]
- Jain, C. Metal fractionation study on bed sediments of River Yamuna, India. Water Res. 2004, 38, 569–578. [Google Scholar] [CrossRef] [PubMed]
- Bartoli, G.; Papa, S.; Sagnella, E.; Fioretto, A. Heavy metal content in sediments along the Calore river: Relationships with physical–chemical characteristics. J. Environ. Manag. 2012, 95, S9–S14. [Google Scholar] [CrossRef] [PubMed]
- Wang, P.; Hu, B.; Wang, C.; Lei, Y. Phosphorus adsorption and sedimentation by suspended sediments from Zhushan Bay, Taihu Lake. Environ. Sci. Pollut. Res. 2015, 22, 6559–6569. [Google Scholar] [CrossRef]
- Hill, J.R.; O’Driscoll, N.J.; Lean, D.R. Size distribution of methylmercury associated with particulate and dissolved organic matter in freshwaters. Sci. Total Environ. 2009, 408, 408–414. [Google Scholar] [CrossRef]
- Jarvie, H.; Neal, C.; Rowland, A.; Neal, M.; Morris, P.; Lead, J.; Lawlor, A.; Woods, C.; Vincent, C.; Guyatt, H. Role of riverine colloids in macronutrient and metal partitioning and transport, along an upland–lowland land-use continuum, under low-flow conditions. Sci. Total Environ. 2012, 434, 171–185. [Google Scholar] [CrossRef] [PubMed]
- Xu, H.; Guo, L. Intriguing changes in molecular size and composition of dissolved organic matter induced by microbial degradation and self-assembly. Water Res. 2018, 135, 187–194. [Google Scholar] [CrossRef] [PubMed]
- Yeh, Y.-L.; Yeh, K.-J.; Hsu, L.-F.; Yu, W.-C.; Lee, M.-H.; Chen, T.-C. Use of fluorescence quenching method to measure sorption constants of phenolic xenoestrogens onto humic fractions from sediment. J. Hazard. Mater. 2014, 277, 27–33. [Google Scholar] [CrossRef]
- Hur, J.; Park, M.-H.; Schlautman, M.A. Microbial transformation of dissolved leaf litter organic matter and its effects on selected organic matter operational descriptors. Environ. Sci. Technol. 2009, 43, 2315–2321. [Google Scholar] [CrossRef]
- Matilainen, A.; Gjessing, E.T.; Lahtinen, T.; Hed, L.; Bhatnagar, A.; Sillanpää, M. An overview of the methods used in the characterisation of natural organic matter (NOM) in relation to drinking water treatment. Chemosphere 2011, 83, 1431–1442. [Google Scholar] [CrossRef] [PubMed]
- Yang, Z.; Xia, X.; Wang, Y.; Ji, J.; Wang, D.; Hou, Q.; Yu, T. Dissolved and particulate partitioning of trace elements and their spatial-temporal distribution in the Changjiang River. J. Geochem. Explor. 2014, 145, 114–123. [Google Scholar] [CrossRef]
- Hur, J.; Kim, G. Comparison of the heterogeneity within bulk sediment humic substances from a stream and reservoir via selected operational descriptors. Chemosphere 2009, 75, 483–490. [Google Scholar] [CrossRef] [PubMed]
- Jiang, T.; Bravo, A.G.; Skyllberg, U.; Björn, E.; Wang, D.; Yan, H.; Green, N.W. Influence of dissolved organic matter (DOM) characteristics on dissolved mercury (Hg) species composition in sediment porewater of lakes from southwest China. Water Res. 2018, 146, 146–158. [Google Scholar] [CrossRef] [PubMed]
- Hur, J.; Lee, B.-M. Characterization of copper binding properties of extracellular polymeric substances using a fluorescence quenching approach combining two-dimensional correlation spectroscopy. J. Mol. Struct. 2014, 1069, 79–84. [Google Scholar] [CrossRef]
- Hur, J.; Lee, B.-M. Characterization of binding site heterogeneity for copper within dissolved organic matter fractions using two-dimensional correlation fluorescence spectroscopy. Chemosphere 2011, 83, 1603–1611. [Google Scholar] [CrossRef] [PubMed]
- Zhang, F.; Li, Y.; Xiong, X.; Yang, M.; Li, W. Effect of composting on dissolved organic matter in animal manure and its binding with Cu. Sci. World J. 2012, 289896. [Google Scholar] [CrossRef]
- Xu, J.; Luo, H.-W.; Wang, Y.-K.; Sheng, G.-P. Fluorescence approach for investigating binding properties between metals and soluble microbial products from a biological wastewater treatment plant. Process Biochem. 2015, 50, 636–642. [Google Scholar] [CrossRef]


| Fraction | DOC | Cu | ||
|---|---|---|---|---|
| DOM (mg/L) | AEOM (mg/L) | DOM (μg/L) | AEOM (mg/L) | |
| Site-1 | ||||
| Bulk | 9.1 ± 1.6 | 328 ± 32 | 51.2 ± 6.8 | 2.30 ± 0.05 |
| MW-A | 23.1 ± 4.2 | 1848 ± 64 | 18.4 ± 7.5 | 17.00 ± 1.00 |
| MW-B | 9.1 ± 2.0 | 416 ± 68 | 32.1 ± 11.0 | 3.55 ± 0.64 |
| MW-C | 12.0 ± 1.4 | 341 ± 56 | 62.2 ± 20.3 | 2.93 ± 0.39 |
| MW-D | 7.0 ± 1.1 | 164 ± 54 | 70.0 ± 10.9 | 0.73 ± 0.14 |
| MW-E | 5.5 ± 1.1 | 103 ± 56 | 68.1 ± 15.3 | 0.17 ± 0.02 |
| Site-2 | ||||
| Bulk | 5.6 ± 0.2 | 156 ± 12 | 21.0 ± 6.1 | 1.07 ± 0.01 |
| MW-A | 16.1 ± 1.9 | 976 ± 58 | 21.0 ± 3.6 | 8.30 ± 0.10 |
| MW-B | 5.8 ± 0.7 | 176 ± 39 | 17.8 ± 5.3 | 1.38 ± 0.24 |
| MW-C | 5.9 ± 0.3 | 175 ± 21 | 20.0 ± 3.5 | 1.08 ± 0.17 |
| MW-D | 6.0 ± 0.5 | 69 ± 12 | 43.2 ± 9.6 | 0.41 ± 0.22 |
| MW-E | 3.9 ± 0.5 | 53 ± 6 | 24.1 ± 2.7 | 0.08 ± 0.02 |
| Fraction | DOC | Cu | ||
|---|---|---|---|---|
| DOM (mg/L) | AEOM (mg/L) | DOM (μg/L) | AEOM (mg/L) | |
| Site-1 | ||||
| MW-A | 28.9 ± 8.7 | 56.5 ± 5.6 | 3.3 ± 1.7 | 70.3 ± 3.7 |
| MW-B | 10.1 ± 1.9 | 11.5 ± 2.6 | 4.8 ± 1.1 | 13.2 ± 2.5 |
| MW-C | 11.8 ± 0.9 | 8.5 ± 1.7 | 8.9 ± 4.1 | 9.8 ± 1.3 |
| MW-D | 6.2 ± 0.7 | 3.6 ± 1.3 | 8.6 ± 0.1 | 2.2 ± 0.4 |
| MW-E | 43.1 ± 9.2 | 19.9 ± 8.5 | 74.5 ± 5.1 | 4.5 ± 0.4 |
| Site-2 | ||||
| MW-A | 28.8 ± 4.1 | 58.2 ± 2.1 | 8.7 ± 1.3 | 73.8 ± 1.6 |
| MW-B | 9.4 ± 0.7 | 9.4 ± 1.8 | 6.5 ± 1.1 | 11.1 ± 1.8 |
| MW-C | 8.6 ± 0.5 | 8.4 ± 0.8 | 6.7 ± 0.7 | 7.8 ± 1.1 |
| MW-D | 7.8 ± 0.2 | 3.0 ± 0.4 | 12.9 ± 2.0 | 2.7 ± 1.4 |
| MW-E | 45.5 ± 4.4 | 21.0 ± 2.8 | 65.2 ± 1.4 | 4.7 ± 1.1 |
| SUVA254 | FI | BIX | |
|---|---|---|---|
| Site-1 | |||
| SUVA254 | −0.92 *** | −0.92 *** | |
| FI | −0.05 | 0.88 *** | |
| BIX | −0.44 | 0.58 * | |
| Site-2 | |||
| SUVA254 | −0.71 ** | −0.57 * | |
| FI | −0.29 | 0.89 *** | |
| BIX | −0.37 | 0.24 | |
| SUVA254 | FI | BIX | ||||
|---|---|---|---|---|---|---|
| Site-1 | Site2 | Site-1 | Site2 | Site-1 | Site2 | |
| CuBAAEOM | 0.94 *** | 0.63 * | −0.87 *** | −0.82 *** | −0.96 *** | −0.87 *** |
| CuBADOM | 0.26 | −0.32 | 0.70 ** | 0.53 | 0.41 | 0.39 |
Disclaimer/Publisher’s Note: The statements, opinions and data contained in all publications are solely those of the individual author(s) and contributor(s) and not of MDPI and/or the editor(s). MDPI and/or the editor(s) disclaim responsibility for any injury to people or property resulting from any ideas, methods, instructions or products referred to in the content. |
© 2024 by the authors. Licensee MDPI, Basel, Switzerland. This article is an open access article distributed under the terms and conditions of the Creative Commons Attribution (CC BY) license (https://creativecommons.org/licenses/by/4.0/).
Share and Cite
Hung, M.-Y.; Huang, W.-H.; Tsai, H.-C.; Hsieh, C.-Y.; Chen, T.-C. Copper Distribution and Binding Affinity to Size-Fractioned Dissolved and Particulate Organic Matter in River Sediment. Environments 2024, 11, 129. https://doi.org/10.3390/environments11060129
Hung M-Y, Huang W-H, Tsai H-C, Hsieh C-Y, Chen T-C. Copper Distribution and Binding Affinity to Size-Fractioned Dissolved and Particulate Organic Matter in River Sediment. Environments. 2024; 11(6):129. https://doi.org/10.3390/environments11060129
Chicago/Turabian StyleHung, Ming-Yuan, Wei-Hsiang Huang, Hsiang-Chun Tsai, Chi-Ying Hsieh, and Ting-Chien Chen. 2024. "Copper Distribution and Binding Affinity to Size-Fractioned Dissolved and Particulate Organic Matter in River Sediment" Environments 11, no. 6: 129. https://doi.org/10.3390/environments11060129
APA StyleHung, M.-Y., Huang, W.-H., Tsai, H.-C., Hsieh, C.-Y., & Chen, T.-C. (2024). Copper Distribution and Binding Affinity to Size-Fractioned Dissolved and Particulate Organic Matter in River Sediment. Environments, 11(6), 129. https://doi.org/10.3390/environments11060129
