The Shape of Fluvial Gravels: Insights from Fiji’s Sabeto River
Abstract
1. Introduction
2. Gravel Shape
2.1. Introduction
2.2. Defining the Shape of Gravels
- Form: a measure of the relative lengths of the three main orthogonal axes of a particle. (Any particle may be considered to possess an a-axis, the longest axis; a b-axis, the longest axis at right angles to the a-axis; and a c-axis, the longest axis orthogonal to both the a- and b-axes.) Thus, a particle may approximate to a sphere, with all three axes nearly equal in length; to a disc or plate, with one axis much shorter than the other two; to a rod, with one axis considerably longer than the others; to a blade, with one axis much longer and one far shorter than the b-axis; or to any intermediate form.
 - Sphericity: a measure of how nearly equal in length are the three major axes of a particle. Although sphericity is a component of form, the property is worthy of separate definition because of the way it reflects the behaviour of a particle in a fluid.
 - Roundness: a measure of the smoothness and lack of angularity of a particle’s surface.
 - Surface texture: the range of features that may be found on the surface of particles.
 
2.3. The Characterisation of Gravel Shape
- Roundness: there are two main approaches to the determination of roundness. One is that of Wadell [24,25]. This involves the measurement of the diameter of each corner of the maximum projection outline of the particle. This procedure is extremely time-consuming and several attempts have therefore been made to produce sets of particle images of predetermined Wadell Roundness with which the maximum projection outline of each particle can be compared. Unfortunately, this method suffers from very poor reproducibility, both between operators and with individual workers [12,26], and has not been adopted here.The second approach is that of Wentworth [3,27]. This relates the diameter of the sharpest corner of the maximum projection outline to some measure of particle size. Barrett reviewed these methods of measuring roundness and concluded that the Modified Wentworth Roundness (RWt) measure of Dobkins and Folk [15] is to be preferred [22]. This is the method used here.
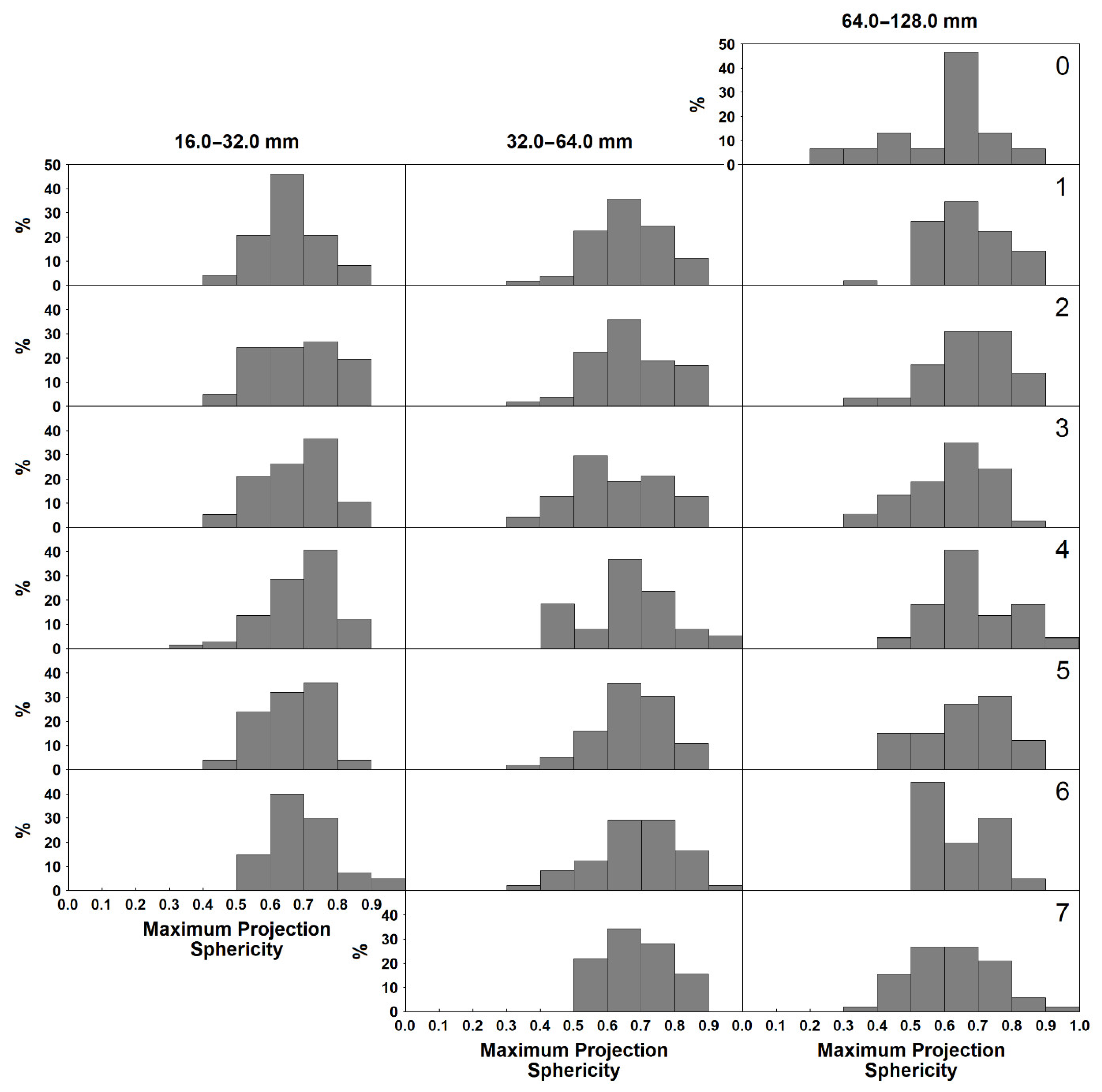
 - Sphericity: the measure of sphericity that appears best to reflect the hydraulic behaviour of particles is the Maximum Projection Sphericity (Ψp) [12,14,28]. This displays a close and direct relationship with the velocity at which a particle of a particular volume will settle in a fluid or roll on a bed. Maximum Projection Sphericity represents the ratio of the maximum projection area of a sphere of the same volume as the particle to the maximum projection area of the particle itself. Values of Ψp range from 0 to 1. A perfect sphere has a value of 1. The more discoidal a particle, the more Ψp tends to zero.
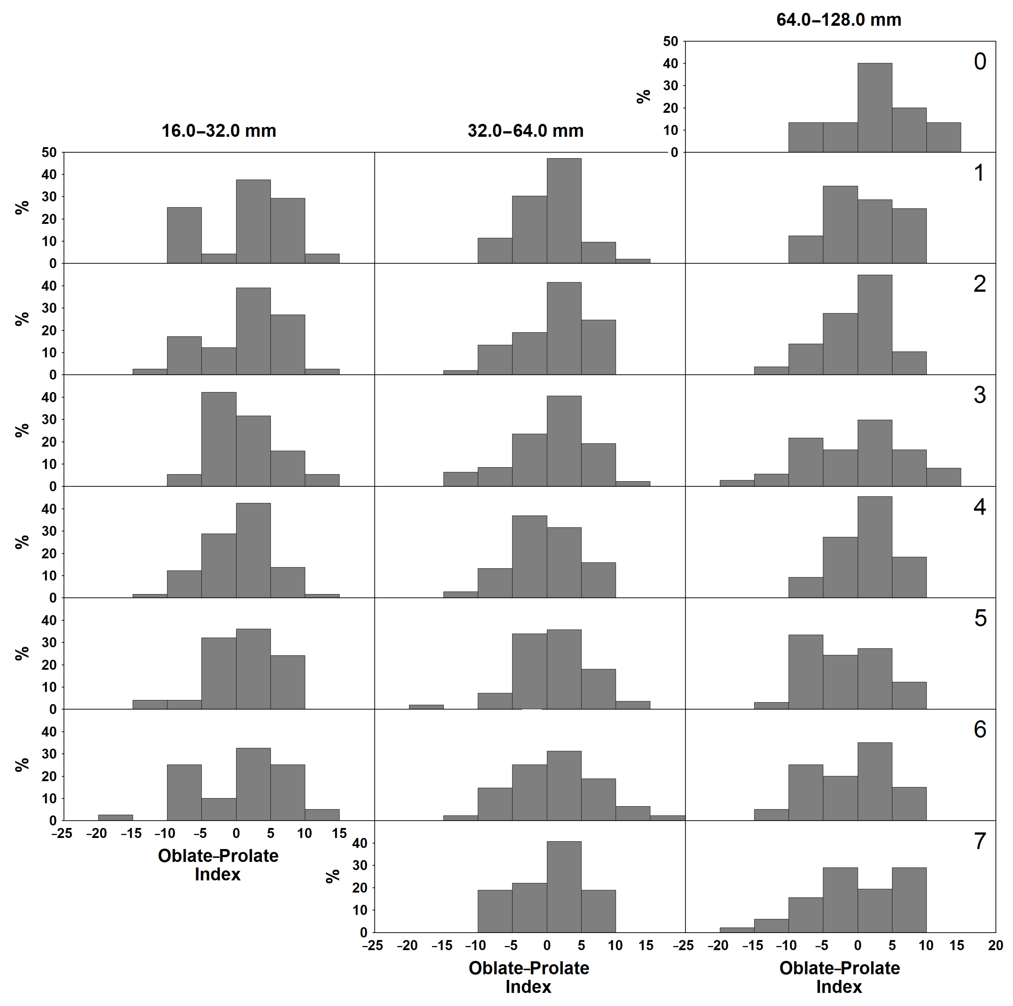
 - Form: the measure that combines effectiveness in discriminating particles of different form with a single numerical value whose distribution is nearly normal for samples of most gravel types [22] is the Oblate–Prolate Index () of Dobkins and Folk [15]. Values of vary from −∞ to +∞. A perfect blade (one in which the length of the b-axis is exactly halfway between the lengths of the a- and c-axes) has a value of zero. Discs have negative values and rods have positive values. A perfect sphere (one whose a-, b- and c-axes are equal in length) has a value of –5. However, the Oblate–Prolate Index is extremely sensitive to even the smallest departure from sphericity and is better regarded as a measure of the position of a particle along the disc–blade–rod continuum. The Oblate–Prolate Index thus provides a measure of the tendency of particles to roll during sediment entrainment.
 
3. The Sabeto River
4. Sampling
5. Roundness
5.1. Introduction
5.2. The Rounding Process
5.3. Downstream Changes in Gravel Roundness
5.4. The Concept of Limiting Roundness
5.5. The Role of Particle Size
6. Sphericity
6.1. Introduction
6.2. The Differential Transport of Fluvial Bedload
6.3. Particle Size and Sphericity in the Fluvial Environment
6.4. Downstream Changes in Gravel Sphericity
6.5. The Concept of Limiting Sphericity
6.6. Downstream Changes in Sphericity along the Sabeto River
7. Form
7.1. Introduction
7.2. Particle Size and Oblate–Prolate Index in the Fluvial Environment
7.3. Downstream Changes in Gravel Oblate–Prolate Index
7.4. Downstream Changes in Oblate–Prolate Index along the Sabeto River
8. Gravel Shape and Environmental Discrimination
9. Discussion and Conclusions
9.1. Introduction
9.2. Roundness
9.3. Sphericity
9.4. Form
9.5. Gravel Shape and Environmental Discrimination
Funding
Institutional Review Board Statement
Informed Consent Statement
Data Availability Statement
Acknowledgments
Conflicts of Interest
References
- Forster, E.S. Mechanica. In The Works of Aristotle Translated into English under the Editorship of W. D. Ross M.A. Fellow and Tutor of Oriel College Volume VI Opuscula; Loveday, T., Forster, E.S., Dowdall, L.D., Joachim, H.H.; Clarendon Press: Oxford, UK, 1913; pp. 847–858. [Google Scholar]
 - Freeman, K. Ancilla to the Pre-Socratic Philosophers a Complete Translation of the Fragments in Diels; Fragmente der Vorsokratiker; Basil Blackwell: Oxford, UK, 1948; 162p. [Google Scholar]
 - Wentworth, C.K. A laboratory and field study of cobble abrasion. J. Geol. 1919, 27, 507–521. [Google Scholar] [CrossRef]
 - Krumbein, W.C. The effects of abrasion on the size, shape and roundness of rock fragments. J. Geol. 1941, 49, 482–520. [Google Scholar] [CrossRef]
 - Krumbein, W.C. Measurement and geological significance of shape and roundness of sedimentary particles. J. Sediment. Petrol. 1941, 11, 64–72. [Google Scholar] [CrossRef]
 - Rayleigh. The ultimate shape of pebbles, natural and artificial. Proc. R. Soc. 1942, 181A, 107–118. [Google Scholar]
 - Rayleigh. Pebbles, natural and artificial their shape under various conditions of abrasion. Proc. R. Soc. 1944, 182A, 321–335. [Google Scholar]
 - Rayleigh. Pebbles of regular shape, and their reproduction in experiment. Nature 1944, 154, 169–171. [Google Scholar] [CrossRef]
 - Kuenen, P.H. Water faceted boulders. Am. J. Sci. 1947, 245, 779–783. [Google Scholar] [CrossRef]
 - Kuenen, P.H. Experimental abrasion of pebbles 2. Rolling by current. J. Geol. 1956, 64, 336–368. [Google Scholar] [CrossRef]
 - Kuenen, P.H. Experimental abrasion: 6. Surf action. Sedimentology 1964, 3, 29–43. [Google Scholar] [CrossRef]
 - Folk, R.L. Student operator error in determination of roundness, sphericity, and grain size. J. Sediment. Petrol. 1955, 25, 297–301. [Google Scholar]
 - Folk, R.L. Experimental error in pebble roundness determination by the modified Wentworth method. J. Sediment. Petrol. 1972, 42, 973–974. [Google Scholar]
 - Sneed, E.D.; Folk, R.L. Pebbles in the lower Colorado River, Texas a study in particle morphogenesis. J. Geol. 1958, 66, 114–150. [Google Scholar] [CrossRef]
 - Dobkins, J.E.; Folk, R.L. Shape development on Tahiti-Nui. J. Sediment. Petrol. 1970, 40, 1167–1203. [Google Scholar]
 - Durian, D.J.; Bideaud, H.; Duringer, P.; Schröder, A.; Thalmann, F.; Marques, C.M. What is in a pebble shape? Phys. Rev. Lett. 2006, 97, 028001. [Google Scholar] [CrossRef]
 - Domokos, G.; Jerolmack, D.J.; Sipos, A.Á.; Török, Á. How river rocks round: Resolving the shape-size paradox. PLoS ONE 2014, 9, e88657. [Google Scholar]
 - Novák-Szabó, T.; Sipos, A.Á.; Shaw, S.; Bertoni, D.; Pozzebon, A.; Grottoli, E.; Sarti, G.; Ciavola, P.; Domokos, G.; Jerolmack, D.J. Universal characteristics of particle shape evolution by bed-load chipping. Sci. Adv. 2018, 4, eaao4946. [Google Scholar] [CrossRef] [PubMed]
 - Kelly, P.A. Roundness in river and beach pebbles: A review of recent research with some implications for schools’ fieldwork. Geography 1983, 68, 25–30. [Google Scholar]
 - Gale, S.J.; Hoare, P.G. Quaternary Sediments: Petrographic Methods for the Study of Unlithified Rocks, 2nd ed.; Blackburn Press: Caldwell, NJ, USA, 2011; Volume xlv + 325p. [Google Scholar]
 - Flemming, N.C. Form and function of sedimentary particles. J. Sediment. Petrol. 1965, 35, 381–390. [Google Scholar] [CrossRef]
 - Barrett, P.J. The shape of rock particles, a critical review. Sedimentology 1980, 27, 291–303. [Google Scholar] [CrossRef]
 - Blott, S.J.; Pye, K. Particle shape: A review and new methods of characterization and classification. Sedimentology 2008, 55, 31–63. [Google Scholar] [CrossRef]
 - Wadell, H. Volume, shape, and roundness of rock particles. J. Geol. 1932, 40, 443–451. [Google Scholar] [CrossRef]
 - Wadell, H. Sphericity and roundness of rock particles. J. Geol. 1933, 41, 310–331. [Google Scholar] [CrossRef]
 - Griffiths, J.C. Scientific Method in Analysis of Sediments; McGraw-Hill: New York, NY, USA, 1967; 508p. [Google Scholar]
 - Wentworth, C.K. A method of measuring and plotting the shapes of pebbles. U.S. Geol. Surv. Bull. 1922, 730-C, 91–102. [Google Scholar]
 - Cassel, M.; Lavé, J.; Recking, A.; Malavoi, J.-R.; Piégay, H. Bedload transport in rivers, size matters but so does shape. Sci. Rep. 2021, 11, 508. [Google Scholar] [CrossRef]
 - Rao, B. Geology of Lautoka Area; Viti Levu Sheet 4; 1:50,000 Scale Geological Sheet; Mineral Resources Department: Suva, Fiji, 1983.
 - Hathway, B. The Nadi Basin: Neogene strike-slip faulting and sedimentation in a fragmented arc, western Viti Levu, Fiji. J. Geol. Soc. Lond. 1993, 150, 563–581. [Google Scholar] [CrossRef]
 - Rodda, P. Ages of Stratigraphic Units, 2nd ed.; Mineral Resources Department: Suva, Fiji, in press; 32p.
 - Gale, S.J.; Ibrahim, Z.Z.; Lal, J.; Sicinilawa, U.B.T. Downstream fining in a megaclast-dominated fluvial system: The Sabeto River of western Viti Levu, Fiji. Geomorphology 2019, 330, 151–162. [Google Scholar] [CrossRef]
 - Köppen, W.P. Das geographische system der klimate. In Handbuch der Klimatologie Band 1, Teil C; Köppen, W.P., Geiger, R., Eds.; Gebrüder Borntraeger: Berlin, Germany, 1936; 44p. [Google Scholar]
 - McGree, S.; Yeo, S.W.; Devi, S. Flooding in the Fiji Islands between 1840 and 2009; Risk Frontiers Technical Report; Risk Frontiers, Macquarie University: Sydney, New South Whales, Australia, 2010; 69p. [Google Scholar]
 - Tonkin & Taylor. Vulani Island Resort Coastal Process and River Assessment; Report Prepared for Vulani Island Ltd.; Tonkin & Taylor Ltd: Auckland, New Zealand, 2007; 49p + 7 drawings + 5 appendices. [Google Scholar]
 - Ibrahim, Z.Z.; Gale, S.J. The shape of fluvial bedload gravels: A large, high-quality data set of active-channel deposits. Data Brief 2021, in press. [Google Scholar]
 - Wentworth, C.K. A scale of grade and class terms for clastic sediments. J. Geol. 1922, 30, 377–392. [Google Scholar] [CrossRef]
 - Williams, R.M.E.; Grotzinger, J.P.; Dietrich, W.E.; Gupta, S.; Sumner, D.Y.; Wiens, R.C.; Mangold, N.; Malin, M.C.; Edgett, K.S.; Maurice, S.; et al. Martian fluvial conglomerates at Gale Crater. Science 2013, 340, 1068–1072. [Google Scholar] [CrossRef]
 - Schumm, S.A.; Stevens, M.A. Abrasion in place: A mechanism for rounding and size reduction of coarse sediments in rivers. Geology 1973, 1, 37–40. [Google Scholar] [CrossRef]
 - Bluck, B.J. Particle rounding in beach gravels. Geol. Mag. 1969, 106, 1–14. [Google Scholar] [CrossRef]
 - Bradley, W.C. Effect of weathering on abrasion of granitic gravel, Colorado River (Texas). Geol. Soc. Am. Bull. 1970, 81, 61–80. [Google Scholar] [CrossRef]
 - Jones, L.S.; Humphrey, N.F. Weathering-controlled abrasion in a coarse-grained, meandering reach of the Rio Grande: Implications for the rock record. Geol. Soc. Am. Bull. 1997, 109, 1080–1088. [Google Scholar] [CrossRef]
 - Heller, P.L.; Beland, P.E.; Humphrey, N.F.; Konrad, S.K.; Lynds, R.M.; McMillan, M.E.; Valentine, K.E.; Widman, Y.A.; Furbish, D.J. Paradox of downstream fining and weathering-rind formation in the lower Hoh River, Olympic Peninsula, Washington. Geology 2001, 29, 971–974. [Google Scholar] [CrossRef]
 - Hemmingsen, M.A. Reduction of Greywacke Sediments on the Canterbury Bight Coast, South Island, New Zealand. Ph.D. Thesis, University of Canterbury, Christchurch, New Zealand, 2004. [Google Scholar]
 - Mills, H.H. Downstream rounding of pebbles—A quantitative review. J. Sediment. Petrol. 1979, 49, 295–302. [Google Scholar]
 - Wentworth, C.K. A field study of the shapes of river pebbles. U.S. Geol. Surv. Bull. 1922, 730-C, 103–114. [Google Scholar]
 - Domokos, G.; Kun, F.; Sipos, A.Á.; Szabó, T. Universality of fragment shapes. Sci. Rep. 2015, 5, 9147. [Google Scholar] [CrossRef]
 - Montgomery, D.R.; Buffington, J.M. Channel-reach morphology in mountain drainage basins. Geol. Soc. Am. Bull. 1997, 109, 596–611. [Google Scholar] [CrossRef]
 - Plumley, W.J. Black Hills terrace gravels: A study in sediment transport. J. Geol. 1948, 56, 526–577. [Google Scholar] [CrossRef]
 - Miller, K.L.; Szabó, T.; Jerolmack, D.J.; Domokos, G. Quantifying the significance of abrasion and selective transport for downstream fluvial grain size evolution. J. Geophys. Res. Earth Surf. 2014, 119, 2412–2429. [Google Scholar] [CrossRef]
 - Howard, J.L. An evaluation of shape indices as palaeoenvironmental indicators using quartzite and metavolcanic clasts in Upper Cretaceous to Palaeogene beach, river and submarine fan conglomerates. Sedimentology 1992, 39, 471–486. [Google Scholar] [CrossRef]
 - Tricart, J.; Schaeffer, R. L’indice d’émoussé des galets, moyen d’étude des systèmes d’érosion. Rev. Géomorphol. Dynam. 1950, 4, 151–179. [Google Scholar]
 - Oak, H.L. The boulder beach: A fundamentally distinct sedimentary assemblage. Ann. Assoc. Am. Geogr. 1984, 74, 71–82. [Google Scholar] [CrossRef]
 - Malarz, R. Effects of flood abrasion of the Carpathian alluvial gravels. Catena 2005, 64, 1–26. [Google Scholar] [CrossRef]
 - Lewin, J.; Brewer, P.A. Laboratory simulation of clast abrasion. Earth Surf. Process. Landf. 2002, 27, 145–164. [Google Scholar] [CrossRef]
 - Bretz, J H. Valley deposits immediately east of the channeled scabland of Washington. II. J. Geol. 1929, 37, 505–541. [Google Scholar] [CrossRef]
 - Sarmiento, A. Experimental Study of Pebble Abrasion. Master’s Thesis, University of Chicago, Chicago, IL, USA, 1945. [Google Scholar]
 - Marshall, P. Beach gravels and sands. Trans. Proc. N.Z. Inst. 1929, 60, 324–365, Cited in [59]. [Google Scholar]
 - Pettijohn, F.J. Sedimentary Rocks; Harper & Brothers: New York, NY, USA, 1949; 526p. [Google Scholar]
 - Sternberg, H. Untersuchungen über Längen- und Querprofil geschiebeführender Flüsse. Z. Bauwesen 1875, 25, 483–506. [Google Scholar]
 - Krumbein, W.C. Settling-velocity and flume-behavior of non-spherical particles. Trans. Am. Geophys. Union 1942, 23, 621–633. [Google Scholar] [CrossRef]
 - Lane, E.W.; Carlson, E.J. Some observations on the effect of particle shape on the movement of coarse sediments. Trans. Am. Geophys. Union 1954, 35, 453–462. [Google Scholar] [CrossRef]
 - Ashworth, P.J.; Ferguson, R.I. Size-selective entrainment of bed load in gravel bed streams. Water Resour. Res. 1989, 25, 627–634. [Google Scholar] [CrossRef]
 - Hattingh, J.; Illenberger, W.K. Shape sorting of flood-transported synthetic clasts in a gravel bed river. Sediment. Geol. 1995, 96, 181–190. [Google Scholar] [CrossRef]
 - Schmidt, K.-H.; Ergenzinger, P. Bedload entrainment, travel lengths, step lengths, rest periods—studied with passive (iron, magnetic) and active (radio) tracer techniques. Earth Surf. Process. Landf. 1992, 17, 147–165. [Google Scholar] [CrossRef]
 - Stott, T.A.; Sawyer, A. Clast travel distances and abrasion rates in two coarse upland channels determined using magnetically tagged bedload. In Tracers in Geomorphology; Foster, I.D.L., Ed.; John Wiley: Chichester, UK, 2000; pp. 389–399. [Google Scholar]
 - Carling, P.A.; Kelsey, A.; Glaister, M.S. Effect of bed roughness, particle shape and orientation on initial motion criteria. In Dynamics of Gravel-Bed Rivers; Billi, P., Hey, R.D., Thorne, C.R., Tacconi, P., Eds.; John Wiley: Chichester, UK, 1992; pp. 23–39. [Google Scholar]
 - Demir, T. The Influence of Particle Shape on Bedload Transport in Coarse-Bed River Channels. Ph.D. Thesis, University of Durham, Durham, UK, 2000. [Google Scholar]
 - Schmidt, K.-H.; Gintz, D. Results of bedload tracer experiments in a mountain river. In River Geomorphology; Hickin, E.J., Ed.; John Wiley: Chichester, UK, 1995; pp. 37–54. [Google Scholar]
 - Parker, G.; Klingeman, P.C.; McLean, D.G. Bedload and size distribution in paved gravel-bed streams. J. Hydraul. Div. Proc. Am. Soc. Civ. Eng. 1982, 108, 544–571. [Google Scholar]
 - Andrews, E.D. Entrainment of gravel from naturally sorted riverbed material. Geol. Soc. Am. Bull. 1983, 94, 1225–1231. [Google Scholar] [CrossRef]
 - Southard, J.B. Introduction to Fluid Motions, Sediment Transport, and Current-Generated Sedimentary Structures; MIT OpenCourseWare, Massachusetts Institute of Technology: Cambridge, MA, USA, 2006; Volume 536 + 3p. [Google Scholar]
 - Mao, L.; Surian, N. Observations on sediment mobility in a large gravel-bed river. Geomorphology 2010, 114, 326–337. [Google Scholar] [CrossRef]
 - Ibbeken, H.; Schleyer, R. Source and Sediment a Case Study of Provenance and Mass Balance at an Active Plate Margin (Calabria, Southern Italy); Springer: Berlin, Germany, 1991; 286p. [Google Scholar]
 - Allen, P. Wealden petrology: The Top Ashdown Pebble Bed and the Top Ashdown Sandstone. Q. J. Geol. Soc. 1948, 104, 257–321. [Google Scholar] [CrossRef]
 - Carroll, D. Pebbles from a pothole: A study in shape and roundness. J. Sediment. Petrol. 1951, 21, 205–212. [Google Scholar]
 - Bradley, W.C.; Fahnestock, R.K.; Rowekamp, E.T. Coarse sediment transport by flood flows on Knik River, Alaska. Geol. Soc. Am. Bull. 1972, 83, 1261–1284. [Google Scholar] [CrossRef]
 - Glover, B.K. A morphometric analysis of terrace gravels in Santa Ynez basin, Santa Barbara County, California. Sediment. Geol. 1975, 13, 109–124. [Google Scholar] [CrossRef]
 - Krumbein, W.C. Flood deposits of Arroyo Seco, Los Angeles County, California. Bull. Geol. Soc. Am. 1942, 53, 1355–1402. [Google Scholar] [CrossRef]
 - Unrug, R. Współczesny transport i sedymentacja żwirów w dolinie Dunajca. Acta Geol. Pol. 1957, 7, 217–258. [Google Scholar]
 - Ueki, T. Downstream variation in particle size, form, roundness, and lithology: A case study of the Doki River, southwest Japan. Geogr. Rep. Tokyo Metrop. Univ. 1999, 34, 1–24. [Google Scholar]
 - Goede, A. Pebble Morphometry of the Tambo River, Eastern Victoria. Master’s Thesis, University of Tasmania, Hobart, Tasmania, Australia, 1972. [Google Scholar]
 - Matthews, E.R. Measurements of beach pebble attrition in Palliser Bay, southern North Island, New Zealand. Sedimentology 1983, 30, 787–799. [Google Scholar] [CrossRef]
 - Bluck, B.J. Sedimentation of an alluvial fan in southern Nevada. J. Sediment. Petrol. 1964, 34, 395–400. [Google Scholar]
 - Moriyama, A.; Nakanishi, T. Grain form characteristics and fabric orientation of pebbles in alluvial rivers. Trans. Jpn. Geomorphol. Union 1991, 12, 335–355. [Google Scholar]
 - Dumitriu, D.; Niculiţă, M.; Condorachi, D. Downstream variation in the pebble morphometry of the Trotuş River, Eastern Carpathians (Romania). Forum Geogr. 2011, 10, 78–90. [Google Scholar] [CrossRef]
 - Lindholm, R.C. A Practical Approach to Sedimentology; Allen & Unwin: London, UK, 1987; 276p. [Google Scholar]
 - Ruxton, G.D. The unequal variance t-test is an underused alternative to Student’s t-test and the Mann–Whitney U test. Behav. Ecol. 2006, 17, 688–690. [Google Scholar] [CrossRef]
 - Sames, C.W. Morphometric data of some recent pebble associations and their application to ancient deposits. J. Sediment. Petrol. 1966, 36, 126–142. [Google Scholar]
 - Smale, D. The composition of a Torlesse conglomerate—Ethelton, north Canterbury. N.Z. J. Geol. Geophys. 1978, 21, 699–711. [Google Scholar] [CrossRef][Green Version]
 - Russell, T. Use of clast shape in determining the sedimentary history of the Late Devonian Keepit Conglomerate, Australia. Sediment. Geol. 1980, 25, 277–290. [Google Scholar] [CrossRef]
 - Els, B.G. Pebble morphology of an ancient conglomerate: The Middelvlei gold placer, Witwatersrand, South Africa. J. Sediment. Petrol. 1988, 58, 894–901. [Google Scholar]
 - Widera, M. The morphology of fossil pebbles as a tool for determining their transport processes (Koźmin South lignite open-cast pit, central Poland). Ann. Soc. Geol. Pol. 2010, 80, 315–325. [Google Scholar]
 - Hart, B.S. A study of pebble shape from gravelly shoreface deposits. Sediment. Geol. 1991, 73, 185–189. [Google Scholar] [CrossRef]
 - Gale, S.J. The shape of beach gravels. J. Sediment. Petrol. 1990, 60, 787–789. [Google Scholar] [CrossRef]
 - Jones, B.G.; Hunter, I.G. Very large boulders on the coast of Grand Cayman: The effects of giant waves on rocky coastlines. J. Coast. Res. 1992, 8, 763–774. [Google Scholar]
 - Bryant, E.A.; Haslett, S.K. Catastrophic wave erosion, Bristol Channel, United Kingdom: Impact of tsunami? J. Geol. 2007, 115, 253–269. [Google Scholar] [CrossRef]
 - Kennedy, D.M.; Tannock, K.L.; Crozier, M.J.; Rieser, U. Boulders of MIS 5 age deposited by a tsunami on the coast of Otago, New Zealand. Sediment. Geol. 2007, 200, 222–231. [Google Scholar] [CrossRef]
 





















| Mean Maximum Projection Sphericity | Lithology | Particle Size (mm) | Source | 
|---|---|---|---|
| 0.714 | Quartz | 30.0–70.0 (a-axis) | [14] | 
| 0.725 | Aplite | 16.0–64.0 (b-axis) | [41] | 
| 0.687 | Basalt | 16.0–32.0 | [15] | 
| 0.696 | Basalt | 32.0–64.0 | [15] | 
| 0.697 | Basalt | 64.0–128.0 | [15] | 
| 0.67–0.74 | Quartz | 16.0–64.0 | [15] | 
| 0.70–0.78 | Quartzite | 32.0–128.0 (b-axis) | [51] | 
| 0.66–0.75 | Metavolcanic rock | 32.0–128.0 (b-axis) | [51] | 
Publisher’s Note: MDPI stays neutral with regard to jurisdictional claims in published maps and institutional affiliations.  | 
© 2021 by the author. Licensee MDPI, Basel, Switzerland. This article is an open access article distributed under the terms and conditions of the Creative Commons Attribution (CC BY) license (https://creativecommons.org/licenses/by/4.0/).
Share and Cite
Gale, S.J. The Shape of Fluvial Gravels: Insights from Fiji’s Sabeto River. Geosciences 2021, 11, 161. https://doi.org/10.3390/geosciences11040161
Gale SJ. The Shape of Fluvial Gravels: Insights from Fiji’s Sabeto River. Geosciences. 2021; 11(4):161. https://doi.org/10.3390/geosciences11040161
Chicago/Turabian StyleGale, S. J. 2021. "The Shape of Fluvial Gravels: Insights from Fiji’s Sabeto River" Geosciences 11, no. 4: 161. https://doi.org/10.3390/geosciences11040161
APA StyleGale, S. J. (2021). The Shape of Fluvial Gravels: Insights from Fiji’s Sabeto River. Geosciences, 11(4), 161. https://doi.org/10.3390/geosciences11040161
        
                                                