Enzymic Activity, Metabolites, and Hematological Responses Changes of Clinical Healthy High-Risk Beef Calves During Their First 56-Days from Arrival
Simple Summary
Abstract
1. Introduction
2. Materials and Methods
2.1. Experimental Design and Treatments
2.2. Blood Sampling
2.3. Statistical Analysis
3. Results and Discussion
3.1. Enzymic Activity
3.2. Metabolites
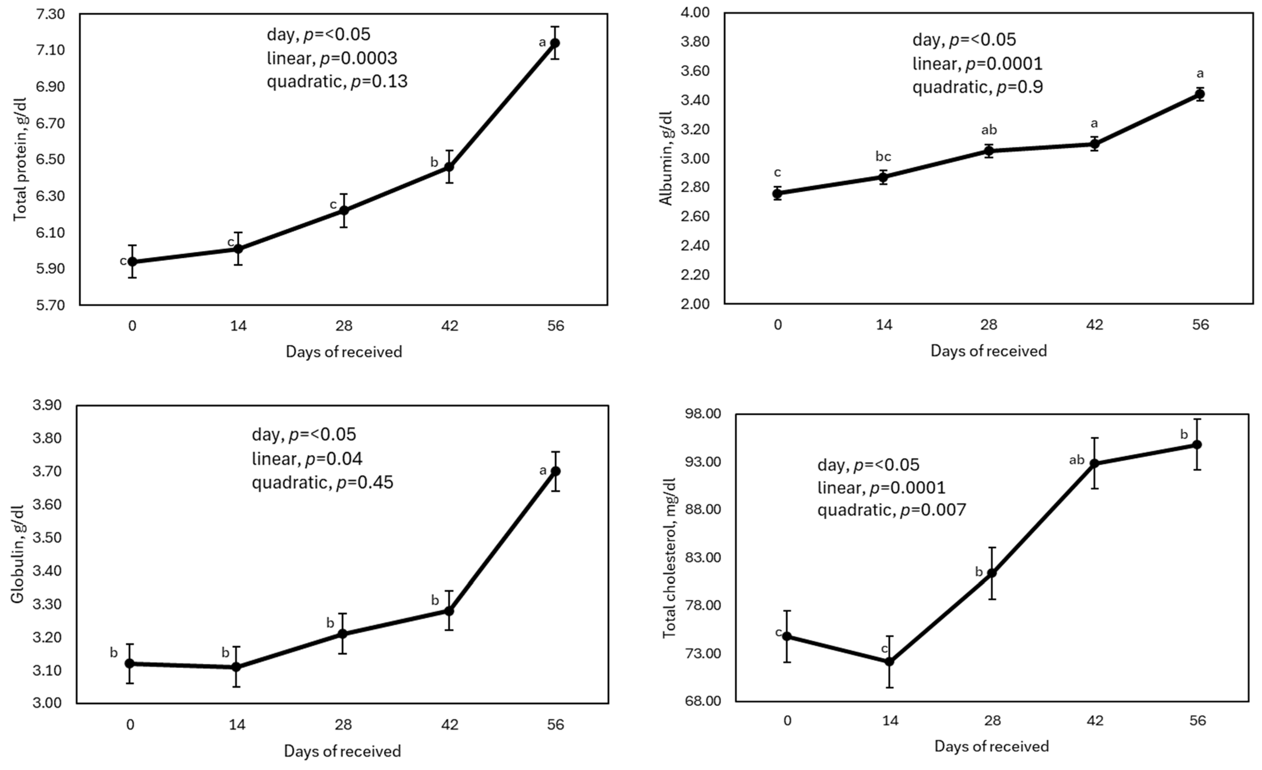
3.2.1. Total Protein, Blood Urea Nitrogen and Creatinine
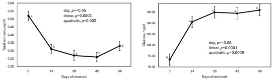
3.2.2. Total Bilirubin, Total Cholesterol and Triglycerides
3.2.3. Calcium
3.2.4. Glucose
3.2.5. Electrolytes
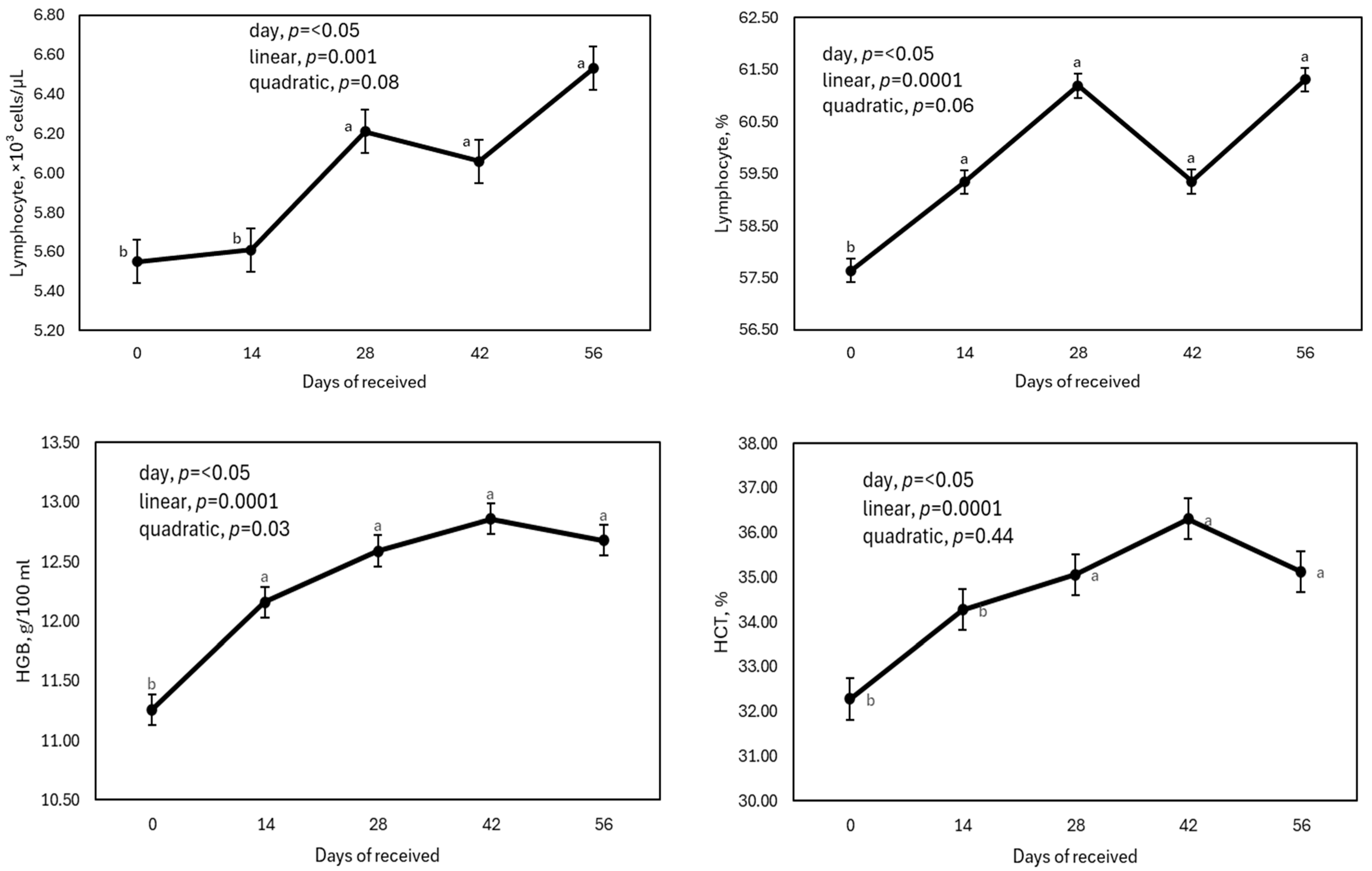
3.3. Hematological Responses
3.3.1. White Blood Cells
3.3.2. Platelets
3.3.3. Red Blood Cells
4. Conclusions
Author Contributions
Funding
Institutional Review Board Statement
Informed Consent Statement
Data Availability Statement
Acknowledgments
Conflicts of Interest
References
- Samuelson, K.L.; Hubbert, M.E.; Galyean, M.L.; Löest, C.A. Nutritional recommendations of feedlot consulting nutritionists: The 2015 New Mexico State and Texas Tech University survey. J. Anim. Sci. 2016, 94, 2648–2663. [Google Scholar] [CrossRef] [PubMed]
- Duff, G.C.; Galyean, M.L. Board-invited review: Recent advances in management of highly stressed, newly received feedlot cattle. J. Anim. Sci. 2007, 85, 823–840. [Google Scholar] [CrossRef] [PubMed]
- Galyean, M.L.; Duff, G.C.; Rivera, J.D. Galyean Appreciation Club Review: Revisiting nutrition and health of newly received cattle—What have we learned in the last 15 years? J. Anim. Sci. 2022, 100, skac067. [Google Scholar] [CrossRef]
- Colditz, I.G. Effects of the immune system on metabolism: Implications for production and disease resistance in livestock. Livest. Prod. Sci. 2002, 75, 257–268. [Google Scholar] [CrossRef]
- Hao, D.; Bai, J.; Du, J.; Wu, X.; Thomsen, B.; Gao, H.; Su, G.; Wang, X. Overview of metabolomic analysis and the integration with multi-omics for economic traits in cattle. Metabolites 2021, 11, 753. [Google Scholar] [CrossRef]
- Richeson, J.T.; Beck, P.A.; Hughes, H.D.; Hubbell, D.S.; Gadberry, M.S.; Kegley, E.B.; Powel, J.G.; Prouty, F.L. Effect of growth implant regimen on health, performance, and immunity of high-risk, newly received stocker cattle. J. Anim. Sci. 2015, 93, 4089–4097. [Google Scholar] [CrossRef]
- Smock, T.M.; Samuelson, K.L.; Wells, J.E.; Hales, K.E.; Hergenreder, J.E.; Rounds, P.W.; Richeson, J.T. Effects of Bacillus subtilis PB6 and/or chromium propionate supplementation on serum chemistry, complete blood count, and fecal Salmonella spp. count in high-risk cattle during the feedlot receiving and finishing periods. Transl. Anim. Sci. 2020, 4, txaa164. [Google Scholar] [CrossRef]
- Richeson, J.T.; Kegley, E.B.; Gadberry, M.S.; Beck, P.A.; Powell, J.G.; Jones, C.A. Effects of on-arrival versus delayed clostridial or modified live respiratory vaccinations on health, performance, bovine viral diarrhea virus type I titers, and stress and immune measures of newly received beef calves. J. Anim. Sci. 2009, 87, 2409–2418. [Google Scholar] [CrossRef] [PubMed]
- Smock, T.M.; Broadway, P.R.; Sanchez, N.C.B.; Carroll, J.A.; Hoffman, A.A.; Long, N.S.; Manahan, J.L.; McDaniel, Z.S.; Hales, K.E. Infrared thermography or rectal temperature as qualification for targeted metaphylaxis in newly received beef steers and the effects on growth performance, complete blood count, and serum haptoglobin during a 42-day feedlot receiving period. Appl. Anim. Sci. 2023, 39, 213–226. [Google Scholar] [CrossRef]
- Carrillo-Muro, O.; Rodríguez-Cordero, D.; Hernández-Briano, P.; Correa-Aguado, P.I.; Medina-Flores, C.A.; Huerta-López, L.A.; Rodríguez-Valdez, F.J.; Rivera-Villegas, A.; Plascencia, A. Enzymic activity, metabolites, and hematological responses in high-risk newly received calves for “clinical health” reference intervals. Animals 2024, 14, 2342. [Google Scholar] [CrossRef]
- Otter, A. Diagnostic blood biochemistry and haematology in cattle. In Practice 2013, 35, 7–16. [Google Scholar] [CrossRef]
- Doornenbal, H.; Tong, A.K.; Murray, N.L. Reference values of blood parameters in beef cattle of different ages and stages of lactation. Can. J. Vet. Res. 1988, 52, 99. [Google Scholar]
- Hank, A.M.; Hoffmann, W.E.; Sanecki, R.K.; Schaeffer, D.J.; Dorner, J.L. Quantitative determination of equine alkaline phosphatase isoenzymes in foal and adult serum. J. Vet. Intern. Med. 1993, 7, 20–24. [Google Scholar] [CrossRef] [PubMed]
- Jia, Y.; Son, K.; Burris, W.R.; Bridges, P.J.; Matthews, J.C. Forms of selenium in vitamin-mineral mixes differentially affect serum alkaline phosphatase activity, and serum albumin and blood urea nitrogen concentrations, of steers grazing endophyte-infected tall fescue. J. Anim Sci. 2019, 97, 2569–2582. [Google Scholar] [CrossRef]
- Hidiroglou, M.; Thompson, B.K. Serum alkaline phosphatase activity in beef cattle. Ann. Rech. Vet. 1980, 11, 381–389. [Google Scholar] [PubMed]
- Alberghina, D.; Fiore, E.; Piccione, G.; Marafioti, S.; Morgante, M.; Gianesella, M. Evaluation of hepatic markers and body weight gain in growing and finishing steers. Comp. Clin. Pathol. 2016, 25, 721–725. [Google Scholar] [CrossRef]
- Pagana, K.D.; Pagana, T.J. Mosby’s Manual of Diagnostic and Laboratory Test, 3rd ed.; Elsevier: St. Louis, MO, USA, 2006; ISBN 0323100627. [Google Scholar]
- Abutarbush, S.M.; Radostits, O.M. Congenital nutritional muscular dystrophy in a beef calf. Can. Vet. J. 2003, 44, 738–739. [Google Scholar]
- Gonano, C.V.; Montanholi, Y.R.; Schenkel, F.S.; Smith, B.A.; Cant, J.P.; Miller, S.P. The relationship between feed efficiency and the circadian profile of blood plasma analytes measured in beef heifers at different physiological stages. Animal 2014, 8, 1684–1698. [Google Scholar] [CrossRef]
- Lopez, O.; Marco, I.; Montane, J.; Lavin, S. Transport stress in southern chamois (Rupicapra pyrenaica) and its modulation by acepromazine. Vet. J. 2006, 720, 347–355. [Google Scholar] [CrossRef]
- Otto, F.; Baggasse, P.; Bogin, E.; Harun, M.; Vilela, F. Biochemical blood profile of Angoni cattle in Mozambique. Isr. Vet. Med. Assoc. 2000, 55, 1–9. [Google Scholar]
- Kaneko, J.J.; Harvey, J.W.; Bruss, M.L. Apendixes. In Clinical Biochemistry of Domestic Animals, 6th ed.; Academic Press: San Diego, CA, USA, 2008; pp. 873–904. ISBN 9780123704917. [Google Scholar]
- Gorlov, I.F.; Levakhin, V.I.; Radchikov, V.F.; Tsai, V.P.; Bozhkova, S.E. Effect of feeding with organic microelement complex on blood composition and beef production of young cattle. Mod. Appl. Sci. 2015, 9, 8. [Google Scholar] [CrossRef]
- Cattaneo, L.; Lopreiato, V.; Piccioli-Cappelli, F.; Trevisi, E.; Minuti, A. Plasma albumin-to-globulin ratio before dry-off as a possible index of inflammatory status and performance in the subsequent lactation in dairy cows. J. Dairy Sci. 2021, 104, 8228–8242. [Google Scholar] [CrossRef] [PubMed]
- Eicher, R.; Liesegang, A.; Bouchard, E.; Tremblay, A. Effect of cow-specific factors and feeding frequency of concentrate on diurnal variations of blood metabolites in dairy cows. Am. J. Vet. Res. 1999, 60, 1493–1499. [Google Scholar] [CrossRef] [PubMed]
- Dong, L.F.; Zhang, W.B.; Zhang, N.F.; Tu, Y.; Diao, Q.Y. Feeding different dietary protein to energy ratios to Holstein heifers: Effects on growth performance, blood metabolites and rumen fermentation parameters. J. Anim. Physiol. Anim. Nutr. 2017, 101, 30–37. [Google Scholar] [CrossRef] [PubMed]
- Russell, K.E.; Roussel, A.J. Evaluation of the ruminant serum chemistry profile. Vet. Clin. Food Anim. 2007, 23, 403–426. [Google Scholar] [CrossRef]
- Agenäs, S.; Heath, M.F.; Nixon, R.M.; Wilkinson, J.M.; Phillips, C.J.C. Indicators of under nutrition in cattle. Anim. Welf. 2006, 15, 149–160. [Google Scholar] [CrossRef]
- Richardson, E.C.; Herd, R.M.; Archer, J.A.; Arthur, P.F. Metabolic differences in Angus steers divergently selected for residual feed intake. Aust. J. Exp. Agric. 2004, 44, 441–452. [Google Scholar] [CrossRef]
- Bionaz, M.; Trevisi, E.; Calamari, F.; Librandi, F.; Ferrari, A.; Bertoni, G. Plasma paraoxonase, health, inflammatory conditions, and liver function in transition dairy cows. J. Dairy Sci. 2007, 90, 1740–1750. [Google Scholar] [CrossRef]
- Bertoni, G.; Trevisi, E.; Han, X.; Bionaz, M. Effects of inflammatory conditions on liver activity in puerperium period and consequences for performance in dairy cows. J. Dairy Sci. 2008, 91, 3300–3310. [Google Scholar] [CrossRef]
- Avila-Jaime, B.; Ramos-Zayas, Y.; Franco-Molina, M.A.; Alvarado-Avila, R.; Zamora-Avila, D.E.; Fimbres-Durazo, H.; Zárate-Ramos, J.J.; Kawas, J.R. Effects of transportation stress on complete blood count, blood chemistry, and cytokine gene expression in heifers. Vet. Sci. 2021, 8, 231. [Google Scholar] [CrossRef]
- Marcato, F.; Van Den Brand, H.; Jansen, C.; Rutten, V.; Kemp, B.; Engel, B.; Wolthuis, M.; Van Reenen, K. Effects of pre-transport diet, transport duration and transport condition on immune cell subsets, haptoglobin, cortisol and bilirubin in young veal calves. PLoS ONE 2021, 16, e0246959. [Google Scholar] [CrossRef]
- Bossaert, P.; Trevisi, E.; Opsomer, G.; Bertoni, G.; De Vliegher, S.; Leroy, J.L.M.R. The association between indicators of inflammation and liver variables during the transition period in high-yielding dairy cows: An observational study. Vet. J. 2012, 192, 222–225. [Google Scholar] [CrossRef]
- Sejersen, H.; Sørensen, M.T.; Larsen, T.; Bendixen, E.; Ingvartsen, K.L. Liver protein expression in dairy cows with high liver triglycerides in early lactation. J. Dairy Sci. 2012, 95, 2409–2421. [Google Scholar] [CrossRef]
- Rodriguez-Cordero, D.; Carrillo-Muro, O.; Hernandez-Briano, P.; Rivera-Villegas, A.; Estrada-Angulo, A. Effect of dietary calcium propionate inclusion level and duration in high-risk newly received stocker calves: Growth performance, body fat reserves, and health. Agriculture 2023, 13, 2062. [Google Scholar] [CrossRef]
- Rivera-Villegas, A.; Carrillo-Muro, O.; Rodríguez-Cordero, D.; Hernández-Briano, P.; Sánchez-Barbosa, O.Y.; Lazalde-Cruz, R.; Castro-Pérez, B.I.; Plascencia, A. Effects of supplemental calcium propionate and concentrate level: Growth performance, Body fat reserves, and health of high-risk beef calves. Vet. Sci. 2024, 11, 336. [Google Scholar] [CrossRef] [PubMed]
- Wang, L.H.; Zhang, C.R.; Zhang, Q.Y.; Xu, H.J.; Feng, G.Z.; Zhang, G.N.; Zhang, Y.G. Effects of feeding different doses of 25-hydroxyvitamin D3 on the growth performance, blood minerals, antioxidant status and immunoglobulin of preweaning calves. Anim. Feed. Sci. Technol. 2022, 285, 115220. [Google Scholar] [CrossRef]
- Xuan, N.H.; Loc, H.T.; Ngu, N.T. Blood biochemical profiles of Brahman crossbred cattle supplemented with different protein and energy sources. Vet. World 2018, 11, 1021. [Google Scholar] [CrossRef]
- Oosthuysen, E.R.; Hubbert, M.E.; Samuelson, K.L.; Scholljegerdes, E.J.; Duff, G.C.; Löest, C.A. Health evaluation of immune-stimulated and hay-supplemented feedlot receiving calves as assessed by blood gas analysis. Proc. Am. Soc. Anim. 2016, 67, 83–87. [Google Scholar] [CrossRef]
- Adkins, M.L.; Rollin, E.; Heins, B.D.; Berghaus, R.D.; Credille, B.C. Evaluation of serum metabolic parameters as predictors of bovine respiratory disease events in high-risk beef stocker calves. Bov. Pract. 2020, 54, 9–16. [Google Scholar] [CrossRef]
- Richeson, J.T.; Hughes, H.D.; Broadway, P.R.; Carroll, J.A. Vaccination management of beef cattle: Delayed vaccination and endotoxin stacking. Vet. Clin. N. Am. Food Anim. Pract. 2019, 35, 575–592. [Google Scholar] [CrossRef]
- Lopez, F.A.; Oosthuysen, E.R.; Duff, G.C.; Richeson, J.T.; Samuelson, K.L.; Hubbert, M.E.; Löest, C.A. Health, performance, and complete blood counts of newly received feedlot heifers in response to an oral drench of water and crude glycerin. Transl. Anim. Sci. 2018, 2, 74–78. [Google Scholar] [CrossRef]
- Richeson, J.T.; Kegley, E.B.; Powell, J.G.; Beck, P.A.; Ley, B.V.; Ridpath, J.F. Weaning management of newly received beef calves with or without continuous exposure to a persistently infected bovine viral diarrhea virus pen mate: Effects on health, performance, bovine viral diarrhea virus titers, and peripheral blood leukocytes. J. Anim. Sci. 2012, 90, 1972–1985. [Google Scholar] [CrossRef] [PubMed]
- Ahmad, M.; Seddon, Y.M.; Blanch, M.; Penner, G.B.; Moya, D. Effects of flavoring additives on feed intake, growth performance, temperament, and markers of immune function for newly received feedlot cattle. J. Anim. Sci. 2024, 102, skae139. [Google Scholar] [CrossRef]
- Roland, L.; Drillich, M.; Iwersen, M. Hematology as a diagnostic tool in bovine medicine. J. Vet. Diagn. Investig. 2014, 26, 592–598. [Google Scholar] [CrossRef] [PubMed]
- Ishizaki, H.; Kariya, Y. Road transportation stress promptly increases bovine peripheral blood absolute NK cell counts and cortisol levels. J. Vet. Med. Sci. 2010, 72, 747–753. [Google Scholar] [CrossRef]
- Earley, B.; Sporer, K.B.; Gupta, S. Invited review: Relationship between cattle transport, immunity and respiratory disease. Animal 2017, 11, 486–492. [Google Scholar] [CrossRef]
- Murata, H.; Takahashi, H.; Matsumoto, H. The effects of road transportation on peripheral blood lymphocyte subsets, lymphocyte blastogenesis and neutrophil function in calves. Br. Vet. J. 1987, 143, 166–174. [Google Scholar] [CrossRef]
- Kraft, W.; Dürr, U.M. Clinical Laboratory Diagnostics in Veterinary Medicine, 6th ed.; Schattauer: Stuttgart, Germany, 2005; ISBN 3794523083. [Google Scholar]
- Latimer, K.S. Duncan and Prasse’s Veterinary Laboratory Medicine: Clinical Pathology, 5th ed.; Multimedica Vet.: Hoboken, NJ, USA, 2011; ISBN 849634410X/9788496344105. [Google Scholar]
- Uztimür, M. Diagnostic significance of mean platelet volume and erythrocyte distribution width in calves with sepsis. Erciyes Üniv. Vet. Fak. Derg. 2024, 21, 194–201. [Google Scholar] [CrossRef]
- Taylor, J.D.; Fulton, R.W.; Lehenbauer, T.W.; Step, D.L.; Confer, A.W. The epidemiology of bovine respiratory disease: What is the evidence for predisposing factors? Can. Vet. J. 2010, 10, 1095–1102. [Google Scholar]
- Richeson, J.T.; Pinedo, P.J.; Kegley, E.B.; Powell, J.G.; Gadberry, M.S.; Beck, P.A.; Falkenberg, S.M. Association of hematologic variables and castration status at the time of arrival at a research facility with the risk of bovine respiratory disease in beef calves. J. Am. Vet. Med. Assoc. 2013, 243, 1035–1041. [Google Scholar] [CrossRef] [PubMed]
- Miglio, A.; Valente, C.; Guglielmini, C. Red blood cell distribution width as a novel parameter in canine disorders: Literature review and future prospective. Animals 2023, 13, 985. [Google Scholar] [CrossRef]
- Sarma, P.R. Red Cell Indices. In Clinical Methods: The History, Physical, and Laboratory Examinations, 3rd ed.; Walker, H.K., Hall, W.D., Hurst, J.W., Eds.; Butterworths: Boston, MA, USA, 1990; Chapter 152. Available online: https://www.ncbi.nlm.nih.gov/books/NBK260/ (accessed on 2 October 2024).
- Lynch, E.M.; McGee, M.; Doyle, S.; Earley, B. Effect of pre-weaning concentrate supplementation on peripheral distribution of leukocytes, functional activity of neutrophils, acute phase protein and behavioural responses of abruptly weaned and housed beef calves. BMC Vet. Res. 2012, 8, 1. [Google Scholar] [CrossRef] [PubMed]
- Kneipp, J.; Balakrishnan, G.; Chen, R.; Shen, T.J.; Sahu, S.C.; Ho, N.T.; Giovannelli, J.L.; Simplaceanu, V.; Ho, C.; Spiro, T.G. Dynamics of allostery in hemoglobin: Roles of the penultimate tyrosine H bonds. J. Mol. Biol. 2006, 356, 335–353. [Google Scholar] [CrossRef]
- Jain, N.C. Comparative hematology of common domestic animals. In Essentials of Veterinary Hematology; Wiley: Hoboken, NJ, USA, 1993; Volume 1, pp. 19–53. [Google Scholar]
- Latimer, K.; Mahaffey, E.A.; Prasse, K.W. Duncan & Prasse’s Veterinary Laboratory Medicine: Clinical Pathology, 4th ed.; Iowa State Press: Ames, IA, USA, 2003; ISBN 13: 9780813820705. [Google Scholar]
- Tomczak, D.J.; Samuelson, K.L.; Jennings, J.S.; Richeson, J.T. Oral hydration therapy with water affects health and performance of high-risk, newly received feedlot cattle. Appl. Anim. Sci. 2018, 35, 30–38. [Google Scholar] [CrossRef]
- Joerling, J.; Doll, K. Monitoring of iron deficiency in calves by determination of serum ferritin in comparison with serum iron: A preliminary study. Open Vet. J. 2019, 9, 177–184. [Google Scholar] [CrossRef] [PubMed]





| Item A | Days After Being Received | Reference Intervals B | SEM C | Effects (p-Value) | |||||
|---|---|---|---|---|---|---|---|---|---|
| 0 | 14 | 28 | 42 | 56 | Linear | Quadratic | |||
| ALP, U/I | 175.66 b | 173.24 b | 240.95 a | 236.84 a | 234.68 a | 14.4–469.6 (209.7 ± 107) | 12.52 | 0.0001 | 0.9400 |
| GGT, U/I | 19.86 a | 14.86 b | 15.30 b | 17.21 b | 19.27 a | 10.0–47.9 (17.0 ± 8.9) | 1.06 | 0.1100 | 0.0010 |
| AST, U/I | 77.73 a | 55.71 c | 66.98 b | 72.73 b | 81.67 a | 38.9–124.2 (68.8 ± 21.9) | 2.47 | 0.7300 | 0.0001 |
| ALT, U/I | 25.48 c | 22.34 c | 27.24 b | 30.49 a | 32.16 a | 16.6–44.4 (26.5 ± 7.3) | 0.76 | 0.0001 | 0.0100 |
| Item | Days After Being Received | Reference Intervals A | SEM B | Effects (p-Value) | |||||
|---|---|---|---|---|---|---|---|---|---|
| 0 | 14 | 28 | 42 | 56 | Linear | Quadratic | |||
| Total protein, g/dL | 5.94 c | 6.01 c | 6.22 c | 6.46 b | 7.14 a | 4.4–7.71 (6.22 ± 0.83) | 0.09 | 0.0003 | 0.1300 |
| Albumin, g/dL | 2.76 c | 2.87 bc | 3.05 ab | 3.10 a | 3.44 a | 1.9–3.7 (2.97 ± 0.50) | 0.06 | 0.0001 | 0.9000 |
| Globulins, g/dL | 3.12 b | 3.11 b | 3.21 b | 3.28 b | 3.70 a | 2.2–4.11 (3.18 ± 0.50) | 0.06 | 0.0400 | 0.4500 |
| Albumin/Globulins ratio | 0.89 b | 0.93 b | 0.97 a | 0.96 a | 0.96 a | 0.68–1.32 (0.94 ± 0.17) | 0.02 | 0.0050 | 0.3400 |
| Blood urea nitrogen, mg/dL | 11.40 | 11.23 | 10.90 | 11.11 | 11.77 | 6.91–16.1 (11.08 ± 2.31) | 0.29 | 0.3600 | 0.5200 |
| Creatinine, mg/dL | 0.99 a | 0.78 b | 0.72 b | 0.72 b | 0.83 b | 0.52–1.35 (0.81 ± 0.20) | 0.02 | 0.0001 | 0.0100 |
| Total bilirubin, mg/dL | 0.52 a | 0.31 b | 0.27 b | 0.26 b | 0.33 b | 0.20–1.30 (0.34 ± 0.29) | 0.03 | 0.0001 | 0.0020 |
| Total cholesterol, mg/dL | 74.77 c | 72.12 c | 81.36 b | 92.85 ab | 94.80 a | 50.0–127.7 (78.6 ± 22.0) | 2.66 | 0.0001 | 0.0070 |
| Triglycerides, mg/dL | 17.54 b | 22.25 b | 24.46 b | 25.30 b | 29.10 a | 10.00–33.00 (17.00 ± 6.90) | 3.13 | 0.2100 | 0.3700 |
| Calcium, mg/dL | 9.68 c | 10.20 bc | 10.41 b | 10.65 b | 11.63 a | 7.12–12.5 (10.28 ± 1.42) | 0.15 | 0.0001 | 0.3600 |
| Glucose, mg/dL | 73.32 b | 90.54 a | 94.41 a | 94.90 a | 95.90 a | 26.1–126.0 (89.0 ± 22.5) | 2.61 | 0.0001 | 0.0009 |
| Item | Days After Being Received | Reference Intervals A | SEM B | Effects (p-Value) | |||||
|---|---|---|---|---|---|---|---|---|---|
| 0 | 14 | 28 | 42 | 56 | Linear | Quadratic | |||
| Sodium, mEq/L | 130.67 a | 125.45 b | 122.81 b | 126.54 b | 128.91 b | 98.2–143.0 (126.3 ± 12.1) | 1.11 | 0.0200 | 0.0001 |
| Potassium, mEq/L | 5.85 a | 4.95 b | 4.61 c | 4.63 c | 4.37 c | 3.11–8.59 (4.93 ± 1.21) | 0.12 | 0.0001 | 0.0600 |
| Chlorine, mEq/L | 95.64 a | 89.47 b | 87.71 b | 90.64 b | 90.45 b | 71.1–109.0 (90.8 ± 9.8) | 0.93 | 0.0001 | 0.0001 |
| Item | Days After Being Received | Reference Intervals A | SEM B | Effects (p-Value) | |||||
|---|---|---|---|---|---|---|---|---|---|
| 0 | 14 | 28 | 42 | 56 | Linear | Quadratic | |||
| Total white blood cells, ×103 cells/μL | 9.67 | 9.51 | 10.21 | 10.10 | 10.08 | 4.6–15.2 (9.65 ± 2.62) | 0.30 | 0.1920 | 0.9700 |
| Lymphocytes, ×103 cells/μL | 5.55 b | 5.61 b | 6.21 a | 6.06 a | 6.53 a | 2.6–9.0 (5.87 ± 1.6) | 0.11 | 0.0010 | 0.0800 |
| Lymphocytes, % | 57.64 b | 59.34 a | 61.19 a | 59.35 a | 61.31 a | 33.6–74.61 (59.2 ± 9.48) | 0.23 | 0.0001 | 0.0600 |
| Monocytes, ×103 cells/μL | 0.89 a | 0.85 b | 0.84 b | 0.85 b | 0.87 b | 0.30–1.40 (0.83 ± 0.26) | 0.03 | 0.4800 | 0.5020 |
| Monocytes, % | 9.00 a | 8.37 b | 7.88 b | 7.92 b | 8.01 b | 5.54–12.0 (8.28 ± 1.5) | 0.18 | 0.0001 | 0.0700 |
| Granulocytes, ×103 cells/μL | 3.21 | 3.03 | 3.18 | 3.24 | 3.38 | 1.10–6.74 (3.33 ± 1.42) | 0.20 | 0.7600 | 0.5130 |
| Granulocytes, % | 33.34 | 32.34 | 31.05 | 32.65 | 32.12 | 17.51–85.57 (35.3 ± 14.8) | 1.33 | 0.5200 | 0.2400 |
| Item A | Days After Being Received | Reference Intervals B | SEM C | Effects (p-Value) | |||||
|---|---|---|---|---|---|---|---|---|---|
| 0 | 14 | 28 | 42 | 56 | Linear | Quadratic | |||
| Platelets, ×103 cells/μL | 197.62 b | 214.73 b | 235.06 b | 259.55 a | 261.17 a | 91.2–444.9 (239.8 ± 90.7) | 13.10 | 0.0001 | 0.7380 |
| MPV, fL | 7.031 b | 7.17 b | 7.17 b | 7.19 b | 8.25 a | 6.14–9.08 (7.22 ± 0.97) | 0.15 | 0.4170 | 0.6440 |
| RBC, ×106 cells/μL | 9.33 bc | 9.95 ab | 10.3 a | 10.05 a | 10.05 a | 7.88–11.90 (9.77 ± 1.07) | 0.16 | 0.0006 | 0.0400 |
| RDW, % | 26.45 a | 27.03 a | 27.55 a | 26.71 a | 20.43 b | 19.11–30.13 (26.4 ± 2.54) | 0.23 | 0.2700 | 0.0030 |
| Hemoglobin, g/100 mL | 11.26 b | 12.16 a | 12.59 a | 12.68 a | 12.86 a | 9.40–14.4 (12.05 ± 1.31) | 0.13 | 0.0001 | 0.0300 |
| Hematocrit, % | 32.28 b | 34.27 b | 35.06 a | 36.31 a | 35.13 a | 26.65–41.93 (34.27 ± 3.92) | 0.46 | 0.0001 | 0.4400 |
| MCV, fL | 34.31 b | 34.37 b | 35.33 b | 36.11 b | 39.41 a | 29.1–41.8 (35.12 ± 3.1) | 0.35 | 0.0005 | 0.3480 |
| MCH, pg | 12.11 c | 12.24 b | 12.63 ab | 12.91 a | 12.82 a | 10.6–14.4 (12.36 ± 1.03) | 0.14 | 0.0001 | 0.6420 |
| MCHC, g/dL | 35.34 | 35.64 | 36.04 | 35.66 | 35.84 | 30.58–38.93 (35.35 ± 1.98) | 0.22 | 0.1100 | 0.0600 |
Disclaimer/Publisher’s Note: The statements, opinions and data contained in all publications are solely those of the individual author(s) and contributor(s) and not of MDPI and/or the editor(s). MDPI and/or the editor(s) disclaim responsibility for any injury to people or property resulting from any ideas, methods, instructions or products referred to in the content. |
© 2025 by the authors. Licensee MDPI, Basel, Switzerland. This article is an open access article distributed under the terms and conditions of the Creative Commons Attribution (CC BY) license (https://creativecommons.org/licenses/by/4.0/).
Share and Cite
Carrillo-Muro, O.; Hernández-Briano, P.; Correa-Aguado, P.I.; Rivera-Villegas, A.; Sánchez-Barbosa, O.Y.; Lazalde-Cruz, R.; Barreras, A.; Plascencia, A.; Rodríguez-Cordero, D. Enzymic Activity, Metabolites, and Hematological Responses Changes of Clinical Healthy High-Risk Beef Calves During Their First 56-Days from Arrival. Animals 2025, 15, 133. https://doi.org/10.3390/ani15020133
Carrillo-Muro O, Hernández-Briano P, Correa-Aguado PI, Rivera-Villegas A, Sánchez-Barbosa OY, Lazalde-Cruz R, Barreras A, Plascencia A, Rodríguez-Cordero D. Enzymic Activity, Metabolites, and Hematological Responses Changes of Clinical Healthy High-Risk Beef Calves During Their First 56-Days from Arrival. Animals. 2025; 15(2):133. https://doi.org/10.3390/ani15020133
Chicago/Turabian StyleCarrillo-Muro, Octavio, Pedro Hernández-Briano, Paola Isaira Correa-Aguado, Alejandro Rivera-Villegas, Oliver Yaotzin Sánchez-Barbosa, Rosalba Lazalde-Cruz, Alberto Barreras, Alejandro Plascencia, and Daniel Rodríguez-Cordero. 2025. "Enzymic Activity, Metabolites, and Hematological Responses Changes of Clinical Healthy High-Risk Beef Calves During Their First 56-Days from Arrival" Animals 15, no. 2: 133. https://doi.org/10.3390/ani15020133
APA StyleCarrillo-Muro, O., Hernández-Briano, P., Correa-Aguado, P. I., Rivera-Villegas, A., Sánchez-Barbosa, O. Y., Lazalde-Cruz, R., Barreras, A., Plascencia, A., & Rodríguez-Cordero, D. (2025). Enzymic Activity, Metabolites, and Hematological Responses Changes of Clinical Healthy High-Risk Beef Calves During Their First 56-Days from Arrival. Animals, 15(2), 133. https://doi.org/10.3390/ani15020133

