Effects of Dietary Protease Levels on Growth Performance, Feeding Regulation, Glucose and Lipid Metabolism, and Endogenous Protease Secretion in Chinese Perch (Siniperca chuatsi)
Simple Summary
Abstract
1. Introduction
2. Materials and Methods
2.1. Preparation of Experimental Diets
2.2. Feeding Management of Experimental Chinese Perch
2.3. Sample Collection
2.4. Calculation of Growth Performance
2.5. Analysis of Crude Protein
2.6. Gene Expression Quantification
2.7. Statistical Analysis
3. Results
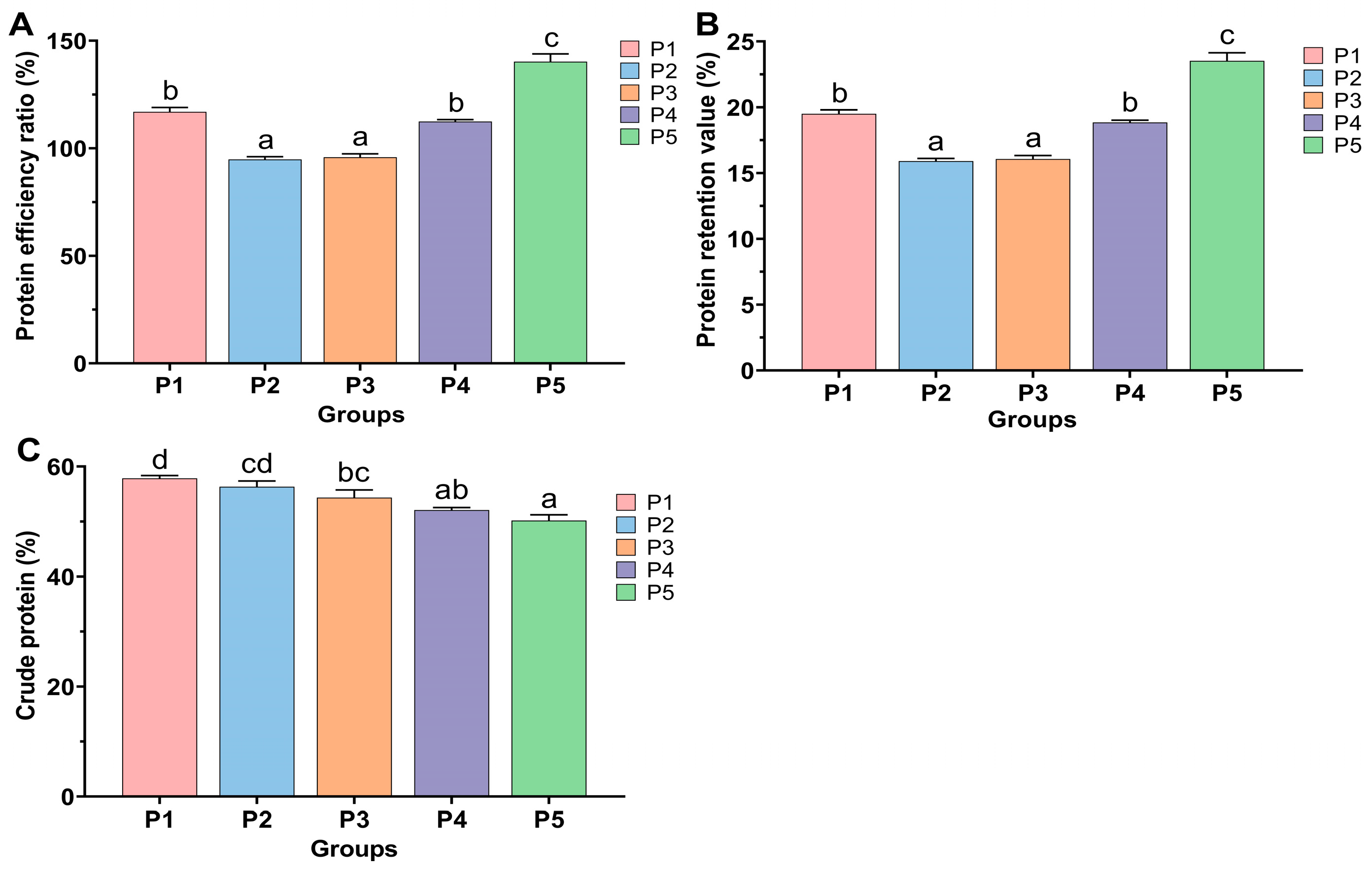
3.1. Growth Performance and Feed Utilization of Chinese Perch
3.2. The Feed Intake, Feeding Rate, and Expression of Feeding-Related Genes in Chinese Perch
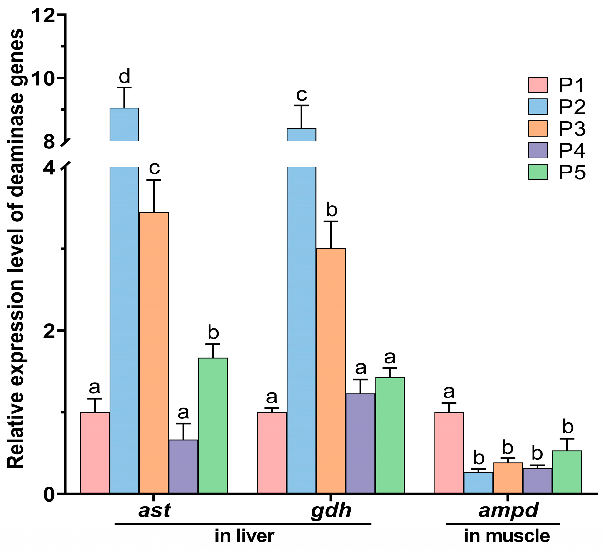
3.3. Protein Utilization and Deamination Gene Expression in Chinese Perch
3.4. Expression of Endogenous Pepsinogen Genes in Chinese Perch
3.5. Expression of Glucose and Lipid Metabolism Genes in Chinese Perch
4. Discussion
4.1. Effects of Dietary Protease Levels on Feed Utilization and Growth in Chinese Perch
4.2. Effects of Protease Supplementation Levels in Feed on the Feed Intake of Chinese Perch
4.3. Effects of Dietary Protease Supplementation Level on the Expression of Transamination and Deamination Genes in Chinese Perch
4.4. Effects of Protease Supplementation Level in Feed on Endogenous Pepsin Secretion in Chinese Perch
4.5. Effects of Protease Supplementation in Feed on Glucose and Lipid Metabolism in Chinese Perch
4.6. Outlook
5. Conclusions
Author Contributions
Funding
Institutional Review Board Statement
Informed Consent Statement
Data Availability Statement
Acknowledgments
Conflicts of Interest
Abbreviations
| AgRP | Agouti gene-related protein |
| AMPD | Adenosine monophosphate deaminase |
| AST | Aspartate aminotransferase |
| CART | Cocaine amphetamine-regulated transcript |
| CP | Crude protein |
| FCR | Feed conversion rate |
| FI | Feed intake |
| FR | Feed rate |
| GDH | Glutamate dehydrogenase |
| GK | Glucokinase |
| HSL | Hormone-sensitive lipase |
| NPY | Neuropeptide Y |
| PER | Protein efficiency ratio |
| PGA | Pepsinogen A |
| PGC | Pepsinogen C |
| PK | Pyruvate kinase |
| PMOC | Proopiomelanocortin |
| PPARα | Peroxisome proliferator-activated receptor α |
| PRV | Protein retention value |
| SGR | Specific growth rate |
| WGR | Weight gain rate |
References
- Wang, Q.; Qi, Z.; Fu, W.; Pan, M.; Ren, X.; Zhang, X.; Rao, Z. Research and prospects of enzymatic hydrolysis and microbial fermentation technologies in protein raw materials for aquatic feed. Fermentation 2024, 10, 648. [Google Scholar] [CrossRef]
- Dhar, V.; Singh, S.K.; Narsale, S.A.; Debbarma, S.; Saikia, P.; Yirang, Y. Fishmeal substitutions and their implications for aquatic animal immune and gut function: A review. Comp. Immunol. Rep. 2024, 7, 200171. [Google Scholar] [CrossRef]
- Hassaan, M.S.; El-Sayed, A.I.M.; Soltan, M.A.; Iraqi, M.M.; Goda, A.M.; Davies, S.J.; El-Haroun, E.R.; Ramadan, H.A. Partial dietary fish meal replacement with cotton seed meal and supplementation with exogenous protease alters growth, feed performance, hematological indices and associated gene expression markers (GH, IGF-I) for Nile tilapia, Oreochromis niloticus. Aquaculture 2019, 503, 282–292. [Google Scholar] [CrossRef]
- Sinha, A.K.; Kumar, V.; Makkar, H.P.; De Boeck, G.; Becker, K. Non-starch polysaccharides and their role in fish nutrition–a review. Food Chem. 2011, 127, 1409–1426. [Google Scholar] [CrossRef]
- Hossain, M.S.; Small, B.C.; Kumar, V.; Hardy, R. Utilization of functional feed additives to produce cost-effective, ecofriendly aquafeeds high in plant-based ingredients. Rev. Aquac. 2024, 16, 121–153. [Google Scholar]
- Henry, M.; Gasco, L.; Piccolo, G.; Fountoulaki, E. Review on the use of insects in the diet of farmed fish: Past and future. Anim. Feed Sci. Technol. 2015, 203, 1–22. [Google Scholar]
- Onomu, A.J.; Okuthe, G.E. The role of functional feed additives in enhancing aquaculture sustainability. Fishes 2024, 9, 167. [Google Scholar] [CrossRef]
- Gomes, V.D.S.; da Silva, J.H.V.; Jordão Filho, J.; de Lima Amâncio, A.L.; Costa, F.G.P.; Saraiva, E.P.; Cavalcanti, C.R. Suplementação enzimática sobre desempenho e taxa de excreção de amônia em tilápia do Nilo. Arq. Ciências Veterinárias Zool. Unipar 2019, 22, 13–20. [Google Scholar]
- Schneider, T.L.S.; Lazzari, R. Nutritional implications of exogenous proteases in fish feeding. Pesqui. Agropecuária Gaúcha 2022, 28, 70–93. [Google Scholar]
- Zheng, C.C.; Wu, J.W.; Jin, Z.H.; Ye, Z.F.; Yang, S.; Sun, Y.Q.; Fei, H. Exogenous enzymes as functional additives in finfish aquaculture. Aquac. Nutr. 2020, 26, 213–224. [Google Scholar]
- Liu, W.; Wu, J.P.; Li, Z.; Duan, Z.Y.; Wen, H. Effects of dietary coated protease on growth performance, feed utilization, nutrient apparent digestibility, intestinal and hepatopancreas structure in juvenile gibel carp (Carassius auratus gibelio). Aquac. Nutr. 2018, 24, 47–55. [Google Scholar] [CrossRef]
- Hlophe-Ginindza, S.N.; Moyo, N.A.; Ngambi, J.W.; Ncube, I. The effect of exogenous enzyme supplementation on growth performance and digestive enzyme activities in Oreochromis mossambicus fed kikuyu-based diets. Aquac. Res. 2016, 47, 3777–3787. [Google Scholar] [CrossRef]
- Ip, Y.K.; Chew, S.F. Ammonia production, excretion, toxicity, and defense in fish: A review. Front. Physiol. 2010, 1, 134. [Google Scholar] [CrossRef] [PubMed]
- Yang, R.; Liu, X.; Liu, Y.; Tian, Q.; Wang, Z.; Zhu, D.; Qian, Z.; Yi, Y.; Hu, J.; Li, Y.; et al. Dissolved oxygen and ammonia affect ammonia production via GDH/AMPK signaling pathway and alter flesh quality in Chinese perch (Siniperca chuatsi). Fish Physiol. Biochem. 2024, 50, 1237–1249. [Google Scholar] [CrossRef]
- Soltan, M.A. Effect of dietary fish meal replacement by poultry by-product meal with different grain source and enzyme supplementation on performance, feces recovery, body composition and nutrient balance of Nile tilapia. Pak. J. Nutr. 2009, 8, 395–407. [Google Scholar] [CrossRef]
- Monier, M.N. Efficacy of dietary exogenous enzyme supplementation on growth performance, antioxidant activity, and digestive enzymes of common carp (Cyprinus carpio) fry. Fish Physiol. Biochem. 2020, 46, 713–723. [Google Scholar] [CrossRef]
- Kemigabo, C.; Jere, L.W.; Sikawa, D.; Masembe, C.; Kang’ombe, J.; Abdel-Tawwab, M. Growth response of African catfish, Clarias gariepinus (B.), larvae and fingerlings fed protease-incorporated diets. J. Appl. Ichthyol. 2019, 35, 480–487. [Google Scholar] [CrossRef]
- Farhangi, M.; Carter, C.G. Effect of enzyme supplementation to dehulled lupin-based diets on growth, feed efficiency, nutrient digestibility and carcass composition of rainbow trout, Oncorhynchus mykiss (Walbaum). Aquac. Res. 2007, 38, 1274–1282. [Google Scholar] [CrossRef]
- Lin, S.; Mai, K.; Tan, B. Effects of Exogenous Enzyme Supplementation in Diets on Growth and Feed Utilization in Tilapia, Oreochromis Niloticus× O. Aureus. Aquac. Res. 2007, 38, 1645–1653. [Google Scholar] [CrossRef]
- Li, X.Q.; Chai, X.Q.; Liu, D.Y.; Kabir Chowdhury, M.A.; Leng, X.J. Effects of temperature and feed processing on protease activity and dietary protease on growths of white shrimp, Litopenaeus vannamei, and tilapia, Oreochromis niloticus × O. aureus. Aquac. Nutr. 2016, 22, 1283–1292. [Google Scholar] [CrossRef]
- Norag, M.A.A.; El-Shenawy, A.M.; Fadl, S.E.; Abdo, W.S.; Gad, D.M.; Rashed, M.A.; Prince, A.M. Effect of phytase enzyme on growth performance, serum biochemical alteration, immune response and gene expression in Nile tilapia. Fish Shellfish Immun. 2018, 80, 97–108. [Google Scholar] [CrossRef]
- Melo, J.F.B.; Lundstedt, L.M.; Inoue, L.A.K.; Metón, I.; Baanante, I.V.; Moraes, G. Glycolysis and gluconeogenesis in the liver of catfish fed with different concentrations of proteins, lipids and carbohydrates. Arq. Bras. Med. Vet. Zootec. 2016, 68, 1251–1258. [Google Scholar] [CrossRef]
- Schneider, T.L.S.; Scheid, R.C.; Peixoto, N.C.; Lazzari, R. Metabolic and intestinal morphometric responses of Nile tilapia fed diets containing soybean and protease. Animals 2025, 15, 349. [Google Scholar] [CrossRef]
- del Valle, J.C.; Zanazzi, A.N.; Rodriguez, Y.E.; Haran, N.S.; Laitano, M.V.; Mallo, J.C.; Fernández-Gimenez, A.V. Morphological changes, peptidase activity, and effects of exogenous enzymes in the early ontogeny of Nile tilapia, Oreochromis niloticus. Aquac. Int. 2022, 30, 1645–1658. [Google Scholar] [CrossRef]
- Shi, Z.; Li, X.Q.; Chowdhury, M.K.; Chen, J.N.; Leng, X.J. Effects of protease supplementation in low fish meal pelleted and extruded diets on growth, nutrient retention and digestibility of gibel carp, Carassius auratus gibelio. Aquaculture 2016, 460, 37–44. [Google Scholar] [CrossRef]
- Wu, J.J.; Liu, W.; Jiang, M.; Zhou, Y.; Wang, W.M.; Wen, H.; Liu, H. Beneficial effects of dietary exogenous protease on the growth, intestinal health and immunity of GIFT (Oreochromis niloticus) fed plant-based diets. Aquac. Nutr. 2020, 26, 1822–1834. [Google Scholar] [CrossRef]
- Gopalraaj, J.; Raj, J.B.S.; Velayudhannair, K.; Chandrakas, L. Bromelain improves the growth, biochemical, and hematological profiles of the fingerlings of Nile tilapia, Oreochromis niloticus. J. Appl. Biol. Biotechnol. 2022, 10, 73–77. [Google Scholar] [CrossRef]
- Dai, B.; Hou, Y.; Hou, Y.; Qian, L. Effects of multienzyme complex and probiotic supplementation on the growth performance, digestive enzyme activity and gut microorganisms composition of snakehead (Channa argus). Aquac. Nutr. 2019, 25, 15–25. [Google Scholar] [CrossRef]
- Huang, Z.; Li, Z.; Xu, A.; Zheng, D.; Ye, Y.; Wang, Z. Effects of exogenous multienzyme complex supplementation in diets on growth performance, digestive enzyme activity and non-specific immunity of the Japanese seabass, Lateolabrax japonicus. Aquac. Nutr. 2020, 26, 306–315. [Google Scholar] [CrossRef]
- Jiao, F.; Zhang, L.; Limbu, S.M.; Yin, H.; Xie, Y.; Yang, Z.; Shang, Z.; Kong, L.; Rong, H. A comparison of digestive strategies for fishes with different feeding habits: Digestive enzyme activities, intestinal morphology, and gut microbiota. Ecol. Evol. 2023, 13, e10499. [Google Scholar] [CrossRef] [PubMed]
- Goda, A.M.A.S.; Ahmed, S.R.; Nazmi, H.M.; Baromh, M.Z.; Fitzsimmons, K.; Rossi, W., Jr.; Davies, S.; El-Haroun, E. Partial replacement of dietary soybean meal by high-protein distiller’s dried grains (HPDDG) supplemented with protease enzyme for European seabass, Dicentrarchus labrax fingerlings. Aquac. Nutr. 2020, 26, 842–852. [Google Scholar] [CrossRef]
- Ghomi, M.R.; Shahriari, R.; Langroudi, H.F.; Nikoo, M.; von Elert, E. Effects of exogenous dietary enzyme on growth, body composition, and fatty acid profiles of cultured great sturgeon Huso huso fingerlings. Aquac. Int. 2012, 20, 249–254. [Google Scholar] [CrossRef]
- Saleh, E.S.; Tawfeek, S.S.; Abdel-Fadeel, A.A.; Abdel-Daim, A.S.; Abdel-Razik, A.R.H.; Youssef, I.M. Effect of dietary protease supplementation on growth performance, water quality, blood parameters and intestinal morphology of Nile tilapia (Oreochromis niloticus). J. Anim. Physiol. Anim. Nutr. 2022, 106, 419–428. [Google Scholar] [CrossRef]
- Shen, Y.; Li, H.; Zhao, J.; Tang, S.; Zhao, Y.; Bi, Y.; Chen, X. The digestive system of mandarin fish (Siniperca chuatsi) can adapt to domestication by feeding with artificial diet. Aquaculture 2021, 538, 736546. [Google Scholar] [CrossRef]
- Zhu, W.; Yi, Y.; Liu, L.; Zou, Z.; Chen, J.; Su, J. Dietary choline supplementation modulates growth performance and protein metabolism by promoting glucose and lipid catabolism in Chinese perch (Siniperca chuatsi). Animals 2025, 15, 1926. [Google Scholar] [CrossRef]
- Ji, Z.; Zhu, C.; Zhu, X.; Ban, S.; Yu, L.; Tian, J.; Dong, L.; Wen, H.; Lu, X.; Jiang, M. Dietary host-associated bacillus subtilis supplementation improves intestinal microbiota, health and disease resistance in Chinese perch (Siniperca chuatsi). Anim. Nutr. 2023, 13, 197–205. [Google Scholar] [CrossRef]
- Li, Y.; Yang, R.; He, M.; Su, J.; Liu, L. Chronic ammonia stress in Chinese perch (Siniperca chuatsi): Oxidative response, nitrogen metabolism, and multi-enzyme-mediated molecular detoxification defense mechanisms. Antioxidants 2025, 14, 768. [Google Scholar] [CrossRef] [PubMed]
- Zhang, Y.; Fang, L.; Zou, Z.; Su, J.; Liu, L. Effects of dietary carbohydrate levels on growth and ammonia excretion in Chinese perch (Siniperca chuatsi) at low water temperatures. Int. J. Mol. Sci. 2025, 26, 4638. [Google Scholar] [CrossRef] [PubMed]
- Zou, J.M.; Zhu, Q.S.; Liang, H.; Lu, H.L.; Liang, X.F.; He, S. Lysine deprivation regulates npy expression via GCN2 signaling pathway in mandarin fish (Siniperca chuatsi). Int. J. Mol. Sci. 2022, 23, 6727. [Google Scholar] [CrossRef] [PubMed]
- Zhang, Y.; Liang, X.F.; He, S.; Wang, J.; Li, L.; Zhang, Z.; Li, J.; Chen, X.; Li, L.; Alam, M.S. Metabolic responses of Chinese perch (Siniperca chuatsi) to different levels of dietary carbohydrate. Fish Physiol. Biochem. 2021, 47, 1449–1465. [Google Scholar] [CrossRef]
- Peng, D.; Yang, L.; Liang, X.F.; Chai, F. Dietary zinc levels affect growth, appetite, and lipid metabolism of Chinese perch (Siniperca chuatsi). Fish Physiol. Biochem. 2023, 49, 1017–1030. [Google Scholar] [CrossRef]
- de Oliveira, N.S.; Ha, N.; da Cunha, L.; Cipriani, L.A.; Neto, A.T.; Skoronski, E.; Gisbert, E.; Perez Fabregat, T.E.H. Fermentation of soybean meal with Lactobacillus acidophilus allows greater inclusion of vegetable protein in the diet and can reduce Vibrionacea in the intestine of the South American Catfish (Rhamdia quelen). Animals 2022, 12, 690. [Google Scholar] [CrossRef] [PubMed]
- Huang, L.; Shui, X.; Wang, H.; Qiu, H.; Tao, C.; Yin, H.; Wang, P. Effects of Bacillus halophilus on growth, intestinal flora and metabolism of Larimichthys crocea. Biochem. Biophys. Rep. 2023, 35, 101546. [Google Scholar] [CrossRef] [PubMed]
- Meng, X.; Wu, S.; Hu, W.; Zhu, Z.; Yang, G.; Zhang, Y.; Qin, C.; Yang, L.; Nie, G. Clostridium butyricum improves immune responses and remodels the intestinal microbiota of common carp (Cyprinus carpio L.). Aquaculture 2021, 530, 735753. [Google Scholar] [CrossRef]
- Zhu, W.; Yi, Y.; Zou, Z.; Li, H.; Liang, T.; Shi, Q.; Liu, L.; Su, J. Effects of dietary supplementation with three different probiotics on growth performance, antioxidant capacity, and intestinal microbiota in grass carp (Ctenopharyngodon idella). Microorganisms 2025, 13, 1222. [Google Scholar] [CrossRef]
- Schmittgen, T.D.; Livak, K.J. Analyzing real-time PCR data by the comparative C(T) method. Nat. Protoc. 2008, 3, 1101–1108. [Google Scholar]
- Adeoye, A.A.; Jaramillo-Torres, A.F.S.W.; Fox, S.W.; Merrifield, D.L.; Davies, S.J. Supplementation of formulated diets for tilapia (Oreochromis niloticus) with selected exogenous enzymes: Overall performance and effects on intestinal histology and microbiota. Anim. Feed Sci. Technol. 2016, 215, 133–143. [Google Scholar] [CrossRef]
- Paulusma, C.C.; Lamers, W.H.; Broer, S.; van de Graaf, S.F. Amino acid metabolism, transport and signalling in the liver revisited. Biochem. Pharmacol. 2022, 201, 115074. [Google Scholar] [CrossRef]
- Maryam; Shah, S.Z.H.; Fatima, M.; Hussain, S.M.; Nadeem, H.; Hussain, M. The effectiveness of protease supplemented poultry by-product meal-based diet on growth, nutrient digestibility and digestive enzyme activities of rohu (Labeo rohita). Aquac. Res. 2022, 53, 3841–3852. [Google Scholar]
- E Abd Elnabi, H.; DI Hassanen, G.; A Soltan, M.; A Dokdok, G. Effect of protease and prebiotic mixtures with free fishmeal diets on physiological responses and histological examinations of the red Tilapia, Oreochromis sp. Egypt. J. Aquat. Biol. Fish. 2020, 24, 361–378. [Google Scholar]
- Santos, W.M.; Costa, L.S.; López-Olmeda, J.F.; Costa, N.C.S.; Santos, F.A.; Gamarano, P.G.; Silva, W.S.; Rosa, P.V.; Luz, R.K.; Ribeiro, P.A. Effects of dietary protein levels on activities of protease and expression of ingestion and protein digestion-related genes in Nile tilapia juveniles. Aquac. Res. 2020, 51, 2973–2984. [Google Scholar] [CrossRef]
- Murashita, K.; Kurokawa, T.; Ebbesson, L.O.; Stefansson, S.O.; Rønnestad, I. Characterization, tissue distribution, and regulation of agouti-related protein (agrp), cocaine-and amphetamine-regulated transcript (CART) and neuropeptide Y (NPY) in Atlantic salmon (Salmo salar). Gen. Comp. Endocr. 2009, 162, 160–171. [Google Scholar] [CrossRef]
- Soltan, N.M.; Soaudy, M.R.; Abdella, M.M.; Hassaan, M.S. Partial dietary fishmeal replacement with mixture of plant protein sources supplemented with exogenous enzymes modify growth performance, digestibility, intestinal morphology, haemato-biochemical and immune responses for Nile tilapia, Oreochromis niloticus. Anim. Feed Sci. Technol. 2023, 299, 115642. [Google Scholar] [CrossRef]
- Xu, Z.; Cao, J.; Qin, X.; Qiu, W.; Mei, J.; Xie, J. Toxic effects on bioaccumulation, hematological parameters, oxidative stress, immune responses and tissue structure in fish exposed to ammonia nitrogen: A review. Animals 2021, 11, 3304. [Google Scholar] [CrossRef]
- Mommsen, T.P.; Walsh, P.J. Biochemical and environmental perspectives on nitrogen metabolism in fishes. Experientia 1992, 48, 583–593. [Google Scholar] [CrossRef]
- Karlsson, A.; Eliason, E.J.; Mydland, L.T.; Farrell, A.P.; Kiessling, A. Postprandial changes in plasma free amino acid levels obtained simultaneously from the hepatic portal vein and the dorsal aorta in rainbow trout (Oncorhynchus mykiss). J. Exp. Biol. 2006, 209, 4885–4894. [Google Scholar] [CrossRef] [PubMed]
- Tng, Y.Y.; Wee, N.L.; Ip, Y.K.; Chew, S.F. Postprandial nitrogen metabolism and excretion in juvenile marble goby, Oxyeleotris marmorata (Bleeker, 1852). Aquaculture 2008, 284, 260–267. [Google Scholar] [CrossRef]
- Jahanbani, A.; Mokhtari, M.; Takafouyan, M. Adaptive mechanisms of fish under conditions of ammonia toxicity. Russ. J. Mar. Biol. 2023, 49, 152–163. [Google Scholar] [CrossRef]
- Bucking, C. A broader look at ammonia production, excretion, and transport in fish: A review of impacts of feeding and the environment. J. Comp. Physiol. B 2017, 187, 1–18. [Google Scholar] [CrossRef]
- Miramontes, E.; Mozdziak, P.; Petitte, J.N.; Kulus, M.; Wieczorkiewicz, M.; Kempisty, B. Skeletal muscle and the effects of ammonia toxicity in fish, mammalian, and avian species: A comparative review based on molecular research. Int. J. Mol. Sci. 2020, 21, 4641. [Google Scholar] [CrossRef]
- Meurer, F.; Novodworski, J.; Bombardelli, R.A. Protein requirements in Nile tilapia (Oreochromis niloticus) during production and reproduction phases. Aquac. Fish. 2025, 10, 171–182. [Google Scholar] [CrossRef]
- Zhou, Q.; Liu, G.M.; Huang, Y.Y.; Weng, L.; Hara, K.; Su, W.J.; Cao, M.J. Pepsinogens and pepsins from mandarin fish (Siniperca chuatsi). J. Agric. Food. Chem. 2008, 56, 5401–5406. [Google Scholar] [CrossRef]
- Ding, X.; Nie, X.; Yuan, C.; Jiang, L.; Ye, W.; Qian, L. Effects of dietary multienzyme complex supplementation on growth performance, digestive capacity, histomorphology, blood metabolites and hepatic glycometabolism in snakehead (Channa argus). Animals 2022, 12, 380. [Google Scholar] [CrossRef]
- Islam, M.M.; Ferdous, Z.; Mamun, M.M.U.; Akhter, F.; Zahangir, M.M. Amelioration of growth, blood physiology and water quality by exogenous dietary supplementation of pepsin in striped catfish, Pangasianodon hypophthalmus. Aquaculture 2021, 530, 735840. [Google Scholar] [CrossRef]
- Polakof, S.; Panserat, S.; Soengas, J.L.; Moon, T.W. Glucose metabolism in fish: A review. J. Comp. Physiol. B 2012, 182, 1015–1045. [Google Scholar] [CrossRef]
- Li, X.; Han, T.; Zheng, S.; Wu, G. Hepatic glucose metabolism and its disorders in fish. Adv. Exp. Med. Biol. 2022, 1354, 207–236. [Google Scholar]
- Rito, J.; Viegas, I.; Pardal, M.A.; Meton, I.; Baanante, I.V.; Jones, J.G. Utilization of glycerol for endogenous glucose and glycogen synthesis in seabass (Dicentrarchus labrax): A potential mechanism for sparing amino acid catabolism in carnivorous fish. Aquaculture 2019, 498, 488–495. [Google Scholar] [CrossRef]
- Guan, Y.; Xue, J.P.; Xue, M.; Xie, X.Z.; Wu, X.F.; Zheng, Y.H.; Liang, X.F. Effects of dietary protease on growth performance, glucose and lipid metabolism of largemouth bass (Micropterus salmoides). Chin. J. Anim. Nutr. 2021, 33, 5974–5988. [Google Scholar]
- Althaher, A.R. An overview of hormone-sensitive lipase (HSL). Sci. World J. 2022, 2022, 1964684. [Google Scholar] [CrossRef] [PubMed]
- Castro, C.; Corraze, G.; Firmino-Diógenes, A.; Larroquet, L.; Panserat, S.; Oliva-Teles, A. Regulation of glucose and lipid metabolism by dietary carbohydrate levels and lipid sources in gilthead sea bream juveniles. Brit. J. Nutr. 2016, 116, 19–34. [Google Scholar] [CrossRef]
- Bougarne, N.; Weyers, B.; Desmet, S.J.; Deckers, J.; Ray, D.W.; Staels, B.; De Bosscher, K. Molecular actions of PPARα in lipid metabolism and inflammation. Endocr. Rev. 2018, 39, 760–802. [Google Scholar] [CrossRef] [PubMed]
- Bergan, H.E.; Kittilson, J.D.; Sheridan, M.A. Nutrition-regulated lipolysis in rainbow trout (Oncorhynchus mykiss) is associated with alterations in the ERK, PI3K-AKT, JAK-STAT, and PKC signaling pathways. Gen. Comp. Endocr. 2012, 176, 367–376. [Google Scholar] [CrossRef] [PubMed]








| Ingredient Composition (g/kg) | P1 | P2 | P3 | P4 | P5 |
|---|---|---|---|---|---|
| Fishmeal | 400 | 400 | 400 | 400 | 400 |
| Corn gluten meal | 300 | 300 | 300 | 300 | 300 |
| Fish oil | 50 | 50 | 50 | 50 | 50 |
| Corn starch | 50 | 50 | 50 | 50 | 50 |
| Amino acid premix 1 | 50 | 50 | 50 | 50 | 50 |
| Mineral premix 2 | 20 | 20 | 20 | 20 | 20 |
| Vitamin premix 3 | 20 | 20 | 20 | 20 | 20 |
| Monocalcium phosphate | 20 | 20 | 20 | 20 | 20 |
| Carboxymethyl cellulose | 30 | 30 | 30 | 30 | 30 |
| Choline chloride (50%) | 5 | 5 | 5 | 5 | 5 |
| Microcrystalline cellulose | 55 | 54.8 | 54.6 | 54.2 | 53.4 |
| Protease 4 | 0 | 0.2 | 0.4 | 0.8 | 1.6 |
| Total | 1000 | 1000 | 1000 | 1000 | 1000 |
| Nutritional composition | |||||
| Crude protein | 478.8 | 478.8 | 478.8 | 478.8 | 478.8 |
| Lysine (Lys) | 21.03 | 21.03 | 21.03 | 21.03 | 21.03 |
| Methionine (Met) | 11.46 | 11.46 | 11.46 | 11.46 | 11.46 |
| Crude lipid | 85 | 85 | 85 | 85 | 85 |
| Carbohydrate | 95 | 95 | 95 | 95 | 95 |
| Gene | Primer | Primer Sequence (5′–3′) | E-Value (%) | Tm (°C) | Product Size (bp) | Accession Number |
|---|---|---|---|---|---|---|
| gdh | F R | GACGACGACCCCAACTTCT GACCCGCTTCCTCTTCTGC | 94.5 | 58 | 126 | XM_044213922.1 |
| ast | F R | TGGGTATTATGTGCTGGTCA CTTCTTGGTAAAGTGCCTCA | 98.9 | 58 | 131 | XM_044190330 |
| ampd | F R | CATTTCCTTCCCGTGTT TCTGTCTGCGGAGTTGGT | 103.6 | 58 | 242 | XM_044212879 |
| gk | F R | AAGGTGGAGACCAAGAAC TGCCCTTGTCAATGTCC | 96.9 | 58 | 190 | MW140068.1 |
| pk | F R | CGCCCTCGCTGTCCTATTA TGCCGAAGTTGACCCTGTTG | 99.9 | 57 | 173 | XM_044207998.1 |
| pga1 | F R | CCAGAACGGAGACTATGT GTATTGAGACTGACGGAC | 104 | 59 | 267 | EU807930.1 |
| pgc | F R | CTACGCTGATACCACCTA GTTACAGTAGACGGAGTC | 96.4 | 59 | 130 | EU807929.1 |
| agrp | F R | GTGCTGCTCTGCTGTTGG AGGTGTCACAGGGGTCGC | 104 | 65 | 295 | XM_044195210.1 |
| npy | F R | GGAAGGATACCCGGTGAAA TCTTGACTGTGGAATCGTG | 107.2 | 52 | 202 | XM_044172804.1 |
| pomc | F R | GGCTGAAGATGGTGTGTCTATG ACATGCAGAGGTGAATACAGTC | 97.7 | 58 | 268 | XM_044187638.1 |
| cart | F R | TCTGCACGAAGTGTTGGA GCACATCTTCCCGATACGA | 105 | 56 | 171 | XM_044192257.1 |
| hsl | F R | ACAAACGCCTGGGAATGGT TGTGGTCCGCCCTGAAGAA | 99.6 | 58 | 125 | XM_044208783.1 |
| pparα | F R | GGGTGTGCTCAGACAAGGCT GTTGCGGTTCTTCTTTTGGAT | 105.4 | 58 | 146 | XM_044194385.1 |
| rpl13a | F R | CACCCTATGACAAGAGGAAGC TGTGCCAGACGCCCAAG | 102.9 | 59 | 100 | XM_044166826.1 |
Disclaimer/Publisher’s Note: The statements, opinions and data contained in all publications are solely those of the individual author(s) and contributor(s) and not of MDPI and/or the editor(s). MDPI and/or the editor(s) disclaim responsibility for any injury to people or property resulting from any ideas, methods, instructions or products referred to in the content. |
© 2025 by the authors. Licensee MDPI, Basel, Switzerland. This article is an open access article distributed under the terms and conditions of the Creative Commons Attribution (CC BY) license (https://creativecommons.org/licenses/by/4.0/).
Share and Cite
Liu, S.; Yi, Y.; Tian, Q.; Su, J.; Liu, L. Effects of Dietary Protease Levels on Growth Performance, Feeding Regulation, Glucose and Lipid Metabolism, and Endogenous Protease Secretion in Chinese Perch (Siniperca chuatsi). Animals 2025, 15, 2809. https://doi.org/10.3390/ani15192809
Liu S, Yi Y, Tian Q, Su J, Liu L. Effects of Dietary Protease Levels on Growth Performance, Feeding Regulation, Glucose and Lipid Metabolism, and Endogenous Protease Secretion in Chinese Perch (Siniperca chuatsi). Animals. 2025; 15(19):2809. https://doi.org/10.3390/ani15192809
Chicago/Turabian StyleLiu, Shizhen, Yi Yi, Qingda Tian, Jianmei Su, and Liwei Liu. 2025. "Effects of Dietary Protease Levels on Growth Performance, Feeding Regulation, Glucose and Lipid Metabolism, and Endogenous Protease Secretion in Chinese Perch (Siniperca chuatsi)" Animals 15, no. 19: 2809. https://doi.org/10.3390/ani15192809
APA StyleLiu, S., Yi, Y., Tian, Q., Su, J., & Liu, L. (2025). Effects of Dietary Protease Levels on Growth Performance, Feeding Regulation, Glucose and Lipid Metabolism, and Endogenous Protease Secretion in Chinese Perch (Siniperca chuatsi). Animals, 15(19), 2809. https://doi.org/10.3390/ani15192809
