Environmental Monitoring of PAHs, PCBs, PCDDs, PCDFs, and PFASs in Wild Boar and Domestic Pig Tissues from Northern Italy
Simple Summary
Abstract
1. Introduction
2. Materials and Methods
2.1. Sample Collection
2.2. Analysis of PAHs, PCBs, and PCDDs and PCDFs
2.2.1. Chemicals and Standards
2.2.2. Sample Preparation
2.2.3. GC-MS/MS Analysis
2.2.4. Method Validation
2.3. Analysis of PFAS
2.3.1. Chemicals and Standards
2.3.2. Sample Preparation and LC-MS/MS Analysis
2.3.3. Quantification and Validation
2.3.4. Spike and Recovery Calculation
2.4. Statistical Analysis
3. Results
3.1. PAHs Detected in Wild Boar and Domestic Pig Tissues
3.2. PCBs Detected in Wild Boar and Domestic Pig Tissues
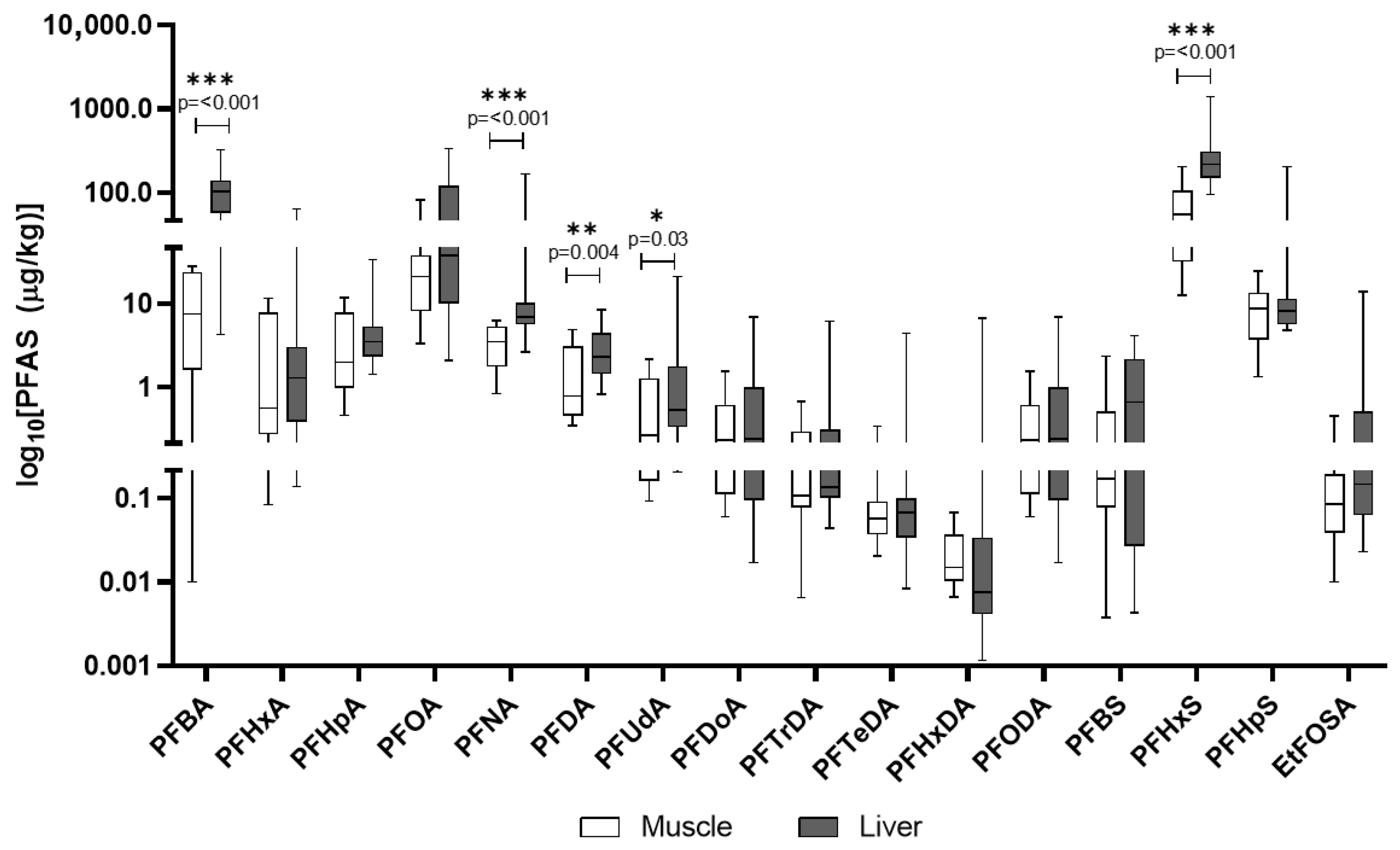
3.3. PFASs Detected in Wild Boar and Domestic Pig Tissues
4. Discussion
5. Conclusions
Supplementary Materials
Author Contributions
Funding
Institutional Review Board Statement
Informed Consent Statement
Data Availability Statement
Conflicts of Interest
References
- Kirkok, S.K.; Kibet, J.K.; Kinyanjui, T.K.; Okanga, F.I. A review of persistent organic pollutants: Dioxins, furans, and their associated nitrogenated analogues. SN Appl. Sci. 2020, 2, 1729. [Google Scholar] [CrossRef]
- Liber, Y.; Mourier, B.; Marchand, P.; Bichon, E.; Perrodin, Y.; Bedell, J.-P. Past and recent state of sediment contamination by persistent organic pollutants (POPs) in the Rhône River: Overview of ecotoxicological implications. Sci. Total Environ. 2019, 646, 1037–1046. [Google Scholar] [CrossRef] [PubMed]
- Peverly, A.A.; Salamova, A.; Hites, R.A. Locating POPs Sources with Tree Bark. Environ. Sci. Technol. 2015, 49, 13743–13748. [Google Scholar] [CrossRef] [PubMed]
- Ruziwa, D.T.; Rutsito, D.D.; Chaukura, N.; Mal, J.; Selvasembian, R.; van Hullebusch, E.D. Environmental Pollutants: Organic and Emerging Contaminants; Springer: Singapore, 2022; pp. 25–41. [Google Scholar]
- Budinsky, R.A.; Rowlands, J.C.; Casteel, S.; Fent, G.; Cushing, C.A.; Newsted, J.; Giesy, J.P.; Ruby, M.V.; Aylward, L.L. A pilot study of oral bioavailability of dioxins and furans from contaminated soils: Impact of differential hepatic enzyme activity and species differences. Chemosphere 2008, 70, 1774–1786. [Google Scholar] [CrossRef] [PubMed]
- Shahare, V.V. Health Effects of Dioxins and Furans, 1st ed.; CRC Press: London, UK, 2018; Volume 1, pp. 74–96. [Google Scholar]
- Yunker, M.B.; Macdonald, R.W.; Vingarzan, R.; Mitchell, R.H.; Goyette, D.; Sylvestre, S. PAHs in the Fraser River basin: A critical appraisal of PAH ratios as indicators of PAH source and composition. Org. Geochem. 2002, 33, 489–515. [Google Scholar] [CrossRef]
- Yebra-Pimentel, I.; Fernández-González, R.; Martínez-Carballo, E.; Simal-Gándara, J. Critical Review about the Health Risk Assessment of PAHs and Their Metabolites in Foods. Crit. Rev. Food Sci. Nutr. 2015, 55, 1383–1405. [Google Scholar] [CrossRef]
- Shipley, H.J.; Sokoly, D.; Johnson, D.W. Historical data review and source analysis of PCBs/Arochlors in the Lower Leon Creek Watershed. Environ. Monit. Assess. 2017, 189, 75. [Google Scholar] [CrossRef]
- Weber, R.; Herold, C.; Hollert, H.; Kamphues, J.; Ungemach, L.; Blepp, M.; Ballschmiter, K. Life cycle of PCBs and contamination of the environment and of food products from animal origin. Environ. Sci. Pollut. Res. 2018, 25, 16325–16343. [Google Scholar] [CrossRef]
- Natalia, Q.; Thomas, S.; Jens, B.; Thomas, K. Occurrence and distribution of PCB metabolites in blood and their potential health effects in humans: A review. Environ. Sci. Pollut. Res. 2014, 21, 11951–11972. [Google Scholar] [CrossRef]
- Aravind Kumar, J.; Krithiga, T.; Sathish, S.; Renita, A.A.; Prabu, D.; Lokesh, S.; Geetha, R.; Namasivayam, S.K.R.; Sillanpaa, M. Persistent organic pollutants in water resources: Fate, occurrence, characterization and risk analysis. Sci. Total Environ. 2022, 831, 154808. [Google Scholar] [CrossRef]
- Habib, Z.; Song, M.; Ikram, S.; Zahra, Z. Overview of Per- and Polyfluoroalkyl Substances (PFAS), Their Applications, Sources, and Potential Impacts on Human Health. Pollutants 2024, 4, 136–152. [Google Scholar] [CrossRef]
- Hubertus, B.; Gottfried, A.; Wolfgang, K.; Gerd, R.; Klaus Günter, S.; Ingo, V. PFAS: Forever chemicals—Persistent, bioaccumulative and mobile. Reviewing the status and the need for their phase out and remediation of contaminated sites. Environ. Sci. Eur. 2023, 35, 20. [Google Scholar] [CrossRef]
- Begley, T.H.; Hsu, W.; Noonan, G.; Diachenko, G. Migration of fluorochemical paper additives from food-contact paper into foods and food simulants. Food Addit. Contam. Part A Chem. Anal. Control Expo. Risk Assess. 2008, 25, 384–390. [Google Scholar] [CrossRef]
- Ingenbleek, L.; Veyrand, B.; Adegboye, A.; Hossou, S.E.; Koné, A.Z.; Oyedele, A.D.; Kisito, C.S.K.J.; Dembélé, Y.K.; Eyangoh, S.; Verger, P.; et al. Polycyclic aromatic hydrocarbons in foods from the first regional total diet study in Sub-Saharan Africa: Contamination profile and occurrence data. Food Control 2019, 103, 133–144. [Google Scholar] [CrossRef]
- Waltner-Toews, D.; McEwen, S.A. Chemical residues in foods of animal origin: Overview and risk assessment. Prev. Vet. Med. 1994, 20, 161–178. [Google Scholar] [CrossRef]
- De Silva, A.O.; Armitage, J.M.; Bruton, T.A.; Dassuncao, C.; Heiger-Bernays, W.; Hu, X.C.; Kärrman, A.; Kelly, B.; Ng, C.; Robuck, A.; et al. PFAS Exposure Pathways for Humans and Wildlife: A Synthesis of Current Knowledge and Key Gaps in Understanding. Environ. Toxicol. Chem. 2021, 40, 631–657. [Google Scholar] [CrossRef] [PubMed]
- Mikołajczyk, S.; Warenik-Bany, M.; Pajurek, M. Occurrence of perfluoroalkyl substances in cow’s, goat’s and sheep’s milk—Dietary intake and risk assessment. J. Vet. Res. 2023, 67, 593–602. [Google Scholar] [CrossRef]
- Death, C.; Bell, C.; Champness, D.; Milne, C.; Reichman, S.; Hagen, T. Per- and polyfluoroalkyl substances (PFAS) in livestock and game species: A review. Sci. Total Environ. 2021, 774, 144795. [Google Scholar] [CrossRef]
- Draghi, S.; Pavlovic, R.; Pellegrini, A.; Fidani, M.; Riva, F.; Brecchia, G.; Agradi, S.; Arioli, F.; Vigo, D.; Di Cesare, F.; et al. First Investigation of the Physiological Distribution of Legacy and Emerging Perfluoroalkyl Substances in Raw Bovine Milk According to the Component Fraction. Foods 2023, 12, 2449. [Google Scholar] [CrossRef]
- Golden, N.H.; Rattner, B.A.; Ware, G.W. Ranking Terrestrial Vertebrate Species for Utility in Biomonitoring and Vulnerability to Environmental Contaminants. In Reviews of Environmental Contamination and Toxicology; Springer: New York, Ny, USA, 2003; Volume 176, pp. 67–136. [Google Scholar] [CrossRef]
- Draghi, S.; Curone, G.; Pavlovic, R.; Di Cesare, F.; Cagnardi, P.; Fornesi Silva, C.; Pellegrini, A.; Riva, F.; Arioli, F.; Fidani, M. Influence of Area, Age and Sex on Per- and Polyfluorinated Alkyl Substances Detected in Roe Deer Muscle and Liver from Selected Areas of Northern Italy. Animals 2024, 14, 529. [Google Scholar] [CrossRef]
- Draghi, S.; Spinelli, M.; Fontanarosa, C.; Curone, G.; Amoresano, A.; Pignoli, E.; Cagnardi, P.; Vigo, D.; Arioli, F.; Materazzi, S.; et al. Evaluation of the Difference in the Content of Essential and Non-Essential Elements in Wild Boar and Swine Tissues Sampled in the Same Area of Northern Italy. Animals 2024, 14, 827. [Google Scholar] [CrossRef]
- Sappington, K.G.; Bridges, T.S.; Bradbury, S.P.; Erickson, R.J.; Hendriks, A.J.; Lanno, R.P.; Meador, J.P.; Mount, D.R.; Salazar, M.H.; Spry, D.J. Application of the tissue residue approach in ecological risk assessment. Integr. Environ. Assess. Manag. 2011, 7, 116–140. [Google Scholar] [CrossRef]
- Buttke, D.E. Toxicology, Environmental Health, and the “One Health” Concept. J. Med. Toxicol. 2011, 7, 329–332. [Google Scholar] [CrossRef] [PubMed]
- Mikolajczyk, S.; Warenik-Bany, M.; Pajurek, M.; Marchand, P. Perfluoroalkyl substances in the meat of Polish farm animals and game—Occurrence, profiles and dietary intake. Sci. Total Environ. 2024, 945, 174071. [Google Scholar] [CrossRef] [PubMed]
- Warenik-Bany, M.; Strucinski, P.; Piskorska-Pliszczynska, J. Dioxins and PCBs in game animals: Interspecies comparison and related consumer exposure. Environ. Int. 2016, 89–90, 21–29. [Google Scholar] [CrossRef] [PubMed]
- O’Brien, D.J.; Kaneene, J.B.; Poppenga, R.H. The use of mammals as sentinels for human exposure to toxic contaminants in the environment. Environ. Health Perspect. 1993, 99, 351–368. [Google Scholar] [CrossRef]
- Draghi, S.; Curone, G.; Risoluti, R.; Materazzi, S.; Gullifa, G.; Amoresano, A.; Spinelli, M.; Fontanarosa, C.; Pavlovic, R.; Pellegrini, A.; et al. Comparative analysis of PFASs concentrations in fur, muscle, and liver of wild roe deer as biomonitoring matrices. Front. Vet. Sci. 2024, 11, 1500651. [Google Scholar] [CrossRef]
- Coppock, R.W.; Dziwenka, M. Biomarkers of Petroleum Products Toxicity; Academic Press: Cambridge, MA, USA, 2014; pp. 647–654. [Google Scholar]
- González-Gómez, X.; Cambeiro-Pérez, N.; Figueiredo-González, M.; Martínez-Carballo, E. Wild boar (Sus scrofa) as bioindicator for environmental exposure to organic pollutants. Chemosphere 2021, 268, 128848. [Google Scholar] [CrossRef]
- Ciganek, M.; Ulrich, R.; Neca, J.; Raszyk, J. Exposure of pig fatteners and dairy cows to polycyclic aromatic hydrocarbons. Vet. Med. 2002, 47, 137–142. [Google Scholar] [CrossRef]
- Ciganek, M.; Neca, J. Polycyclic aromatic hydrocarbons in porcine and bovine organs and tissues. Vet. Med. 2006, 51, 239–247. [Google Scholar] [CrossRef]
- European Commission. Commission Regulation (EU) 2023/915 of 25 April 2023 on maximum levels for certain contaminants in food and repealing Regulation (EC) No 1881/2006. Off. J. Eur. Union 2023, L119, 103–157. [Google Scholar]
- Goswami, P.; Ohura, T.; Suzuki, R.; Koike, N.; Watanabe, M.; Guruge, K.S. Hazardous implications of halogenated polycyclic aromatic hydrocarbons in feedstuff: Congener specificity and toxic levels in feed ingredients and feeds. Sci. Total Environ. 2024, 914, 169855. [Google Scholar] [CrossRef]
- Beuković, D.; Maletić, V.; Polovinski Horvatović, M.; Vukadinović, M.; Dimitrieska Stojković, E.; Enimiteva, V.; Cokoski, K. Wild Boar (Sus scrofa L.) as the Biomonitor of Cadmium and Lead Pollution in the Republic of North Macedonia. South-East Eur. For. 2023, 14, 235–243. [Google Scholar] [CrossRef]
- Ciganek, M.; Raszyk, J.; Kohoutek, J.; Ansorgova, A.; Salava, J.; Palac, J. Polycyclic aromatic hydrocarbons (PAHs, Nitro-PAHs, oxy-PAHs), polychlorinated biphenyls (PCBs) and organic chlorinated pesticides (OCPs) in the indoor and outdoor air of pig and cattle houses. Vet. Med. 2000, 45, 217–226. [Google Scholar]
- Bulanda, S.; Janoszka, B. Polycyclic Aromatic Hydrocarbons (PAHs) in Roasted Pork Meat and the Effect of Dried Fruits on PAH Content. Int. J. Environ. Res. Public Health 2023, 20, 4922. [Google Scholar] [CrossRef]
- de Boer, J. Polychlorinated biphenyls. In Encyclopedia of Analytical Science; Worsfold, P., Townshend, A., Poole, C., Eds.; Elsevier: Amsterdam, The Netherlands, 2005; pp. 214–225. [Google Scholar]
- Tomza-Marciniak, A.; Marciniak, A.; Pilarczyk, B.; Drozd, R.; Ligocki, M.; Prokulewicz, A. Wild boar (Sus scrofa) as a bioindicator of organochlorine compound contamination in terrestrial ecosystems of West Pomerania Province, NW Poland. Environ. Monit. Assess. 2014, 186, 229–238. [Google Scholar] [CrossRef]
- Hoogenboom, L.A.P.; Kan, C.A.; Bovee, T.F.H.; van der Weg, G.; Onstenk, C.; Traag, W.A. Residues of dioxins and PCBs in fat of growing pigs and broilers fed contaminated feed. Chemosphere 2004, 57, 35–42. [Google Scholar] [CrossRef]
- Schley, L.; Roper, T.J. Diet of wild boar Sus scrofa in Western Europe, with particular reference to consumption of agricultural crops. Mammal Rev. 2003, 33, 43–56. [Google Scholar] [CrossRef]
- Masset, T.; Frossard, V.; Perga, M.E.; Cottin, N.; Piot, C.; Cachera, S.; Naffrechoux, E. Trophic position and individual feeding habits as drivers of differential PCB bioaccumulation in fish populations. Sci. Total Environ. 2019, 674, 472–481. [Google Scholar] [CrossRef]
- Kim, S.-J.; Shin, H.; Lee, Y.-B.; Cho, H.-Y. Sex-specific risk assessment of PFHxS using a physiologically based pharmacokinetic model. Arch. Toxicol. 2018, 92, 1113–1131. [Google Scholar] [CrossRef]
- Rupp, J.; Guckert, M.; Berger, U.; Drost, W.; Mader, A.; Nödler, K.; Nürenberg, G.; Schulze, J.; Söhlmann, R.; Reemtsma, T. Comprehensive target analysis and TOP assay of per- and polyfluoroalkyl substances (PFAS) in wild boar livers indicate contamination hot-spots in the environment. Sci. Total Environ. 2023, 871, 162028. [Google Scholar] [CrossRef] [PubMed]
- Dai, S.; Zhang, G.; Dong, C.; Yang, R.; Pei, Z.; Li, Y.; Li, A.; Zhang, Q.; Jiang, G. Occurrence, bioaccumulation and trophodynamics of per- and polyfluoroalkyl substances (PFAS) in terrestrial and marine ecosystems of Svalbard, Arctic. Water Res. 2025, 271, 122979. [Google Scholar] [CrossRef]
- Jha, G.; Kankarla, V.; McLennon, E.; Pal, S.; Sihi, D.; Dari, B.; Diaz, D.; Nocco, M. Per- and Polyfluoroalkyl Substances (PFAS) in Integrated Crop-Livestock Systems: Environmental Exposure and Human Health Risks. Int. J. Environ. Res. Public Health 2021, 18, 12550. [Google Scholar] [CrossRef]









| Percentile | ||||||||
|---|---|---|---|---|---|---|---|---|
| Matrix | Mean ± SD | Min–Max | 25th | Median | 75th | p-Value | DF (%) | |
| Naphthalene | Muscle | 0.084 ± 0.049 | 0–0.13 | 0.075 | 0.11 | 0.12 | <0.001 | 76.9 | 
| Liver | 1.139 ± 0.625 | 0–2.03 | 0.99 | 1.35 | 1.47 | 81.1 | ||
| Acenaphthylene | Muscle | N.D. | <0.001 | 0 | ||||
| Liver | 0.232 ± 0.125 | 0–0.5 | 0.21 | 0.26 | 0.29 | 83.8 | ||
| Acenaphthene | Muscle | 0.055 ± 0.015 | 0.01–0.08 | 0.05 | 0.05 | 0.07 | <0.001 | 100 | 
| Liver | N.D. | 0 | ||||||
| Fluorene | Muscle | N.D. | <0.001 | 0 | ||||
| Liver | 0.327 ± 0.145 | 0–0.73 | 0.31 | 0.35 | 0.4 | 89.2 | ||
| Anthracene | Muscle | 0.248 ± 0.079 | 0–0.33 | 0.24 | 0.27 | 0.29 | <0.001 | 92.3 | 
| Liver | 1.813 ± 0.914 | 0–5.32 | 1.59 | 1.8 | 2.11 | 89.2 | ||
| Pyrene | Muscle | N.D. | <0.001 | 0 | ||||
| Liver | 3.826 ± 2.934 | 0–7.6 | 0 | 5.57 | 6.19 | 64.9 | ||
| Fluoranthene | Muscle | 0.293 ± 0.145 | 0–0.59 | 0.215 | 0.25 | 0.435 | <0.001 | 94.9 | 
| Liver | 3.653 ± 1.369 | 0–7.44 | 3.36 | 3.8 | 4.25 | 94.6 | ||
| Benzo_e_pyrene | Muscle | N.D. | <0.001 | 0 | ||||
| Liver | 0.674 ± 0.393 | 0–1.16 | 0.67 | 0.85 | 0.9 | 78.4 | ||
| Benzo_k_fluoranthene | Muscle | N.D. | <0.001 | 0 | ||||
| Liver | 0.047 ± 0.025 | 0–0.09 | 0.04 | 0.05 | 0.06 | 81.1 | ||
| Benzo_b,j_fluoranthene | Muscle | N.D. | <0.001 | 0 | ||||
| Liver | 0.023 ± 0.014 | 0–0.04 | 0.01 | 0.03 | 0.03 | 78.4 | ||
| Percentile | ||||||||
|---|---|---|---|---|---|---|---|---|
| Matrix | Mean ± SD | Min–Max | 25th | Median | 75th | p-Value | DF (%) | |
| Naphthalene | Muscle | 0.758 ± 0.457 | 0–2.15 | 0.665 | 0.76 | 0.865 | <0.001 | 89.5 | 
| Liver | 3.49 ± 3.085 | 0–18.43 | 2.59 | 3.28 | 4.18 | 83.8 | ||
| Acenaphthylene | Muscle | 0.076 ± 0.346 | 0–2.14 | 0.01 | 0.01 | 0.01 | <0.001 | 84.2 | 
| Liver | 0.166 ± 0.101 | 0–0.49 | 0.15 | 0.16 | 0.193 | 86.5 | ||
| Acenaphthene | Muscle | 0.006 ± 0.039 | 0–0.24 | 0 | 0 | 0 | 0.337 | 2.63 | 
| Liver | N.D. | 0 | ||||||
| Fluorene | Muscle | 0.124 ± 0.290 | 0–1.41 | 0.05 | 0.06 | 0.07 | <0.001 | 86.8 | 
| Liver | 0.279 ± 0.167 | 0–0.62 | 0.24 | 0.28 | 0.38 | 81.1 | ||
| Anthracene | Muscle | 0.867 ± 0.531 | 0–2.25 | 0.36 | 1.105 | 1.178 | <0.001 | 84.2 | 
| Liver | 1.641 ± 0.972 | 0–3.39 | 0.65 | 2.01 | 2.19 | 83.8 | ||
| Phenanthrene | Muscle | 0.01 ± 0.046 | 0–0.25 | 0 | 0 | 0 | 0.166 | 5.3 | 
| Liver | N.D. | 0.000 | ||||||
| Pyrene | Muscle | 1.075 ± 0.831 | 0–4.25 | 0.983 | 1.08 | 1.228 | <0.001 | 81.6 | 
| Liver | 9.294 ± 7.048 | 0–35.31 | 5.92 | 9.35 | 11.29 | 81.1 | ||
| Fluoranthene | Muscle | 0.159 ± 0.321 | 0–1.36 | 0.063 | 0.08 | 0.08 | <0.001 | 76.4 | 
| Liver | 7.361 ± 5.406 | 0–22.32 | 4.8 | 7.39 | 8.81 | 81.1 | ||
| Benzo_e_pyrene | Muscle | 0.009 ± 0.032 | 0–0.14 | 0 | 0 | 0 | <0.001 | 7.9 | 
| Liver | 0.866 ± 0.595 | 0–2.71 | 0.71 | 0.92 | 1.15 | 81.1 | ||
| Percentile | ||||||||
|---|---|---|---|---|---|---|---|---|
| Matrix | Mean ± SD | Min–Max | 25th | Median | 75th | p-Value | DF% | |
| PCB 31 | Liver | 4.045 ± 3.008 | 0–7.867 | 0 | 5.533 | 6.203 | <0.001 | 66.7 | 
| Muscle | 11.689 ± 7.088 | 0–30.818 | 7.951 | 12.622 | 14.238 | 70.940 | ||
| PCB 28 | Liver | N.D. | <0.001 | 0 | ||||
| Muscle | 15.943 ± 11.619 | 0–45.614 | 8.406 | 17.722 | 19.615 | 76.9 | ||
| PCB 18 | Liver | 0.037 ± 0.018 | 0–0.056 | 0.034 | 0.046 | 0.050 | <0.001 | 82.1 | 
| Muscle | 11.504 ± 6.673 | 0–27.826 | 9.926 | 12.63 | 14.478 | 82.1 | ||
| PCB 81 | Liver | N.D. | <0.001 | 0 | ||||
| Muscle | 2.078 ± 1.222 | 0–6.156 | 1.606 | 2.062 | 2.417 | 87.2 | ||
| PCB 77 | Liver | 0.235 ± 0.094 | 0–0.314 | 0.243 | 0.265 | 0.285 | <0.001 | 87.2 | 
| Muscle | 0.836 ± 0.483 | 0–2.291 | 0.637 | 0.809 | 0.963 | 92.3 | ||
| PCB 99 | Liver | N.D. | <0.001 | 0 | ||||
| Muscle | 0.668 ± 0.382 | 0–1.576 | 0.505 | 0.643 | 0.787 | 89.7 | ||
| PCB 95 | Liver | N.D. | <0.001 | 0 | ||||
| Muscle | 0.188 ± 0.081 | 0–0.499 | 0.165 | 0.179 | 0.189 | 97.4 | ||
| PCB 126 | Liver | 0.205 ± 0.094 | 0–0.299 | 0.193 | 0.231 | 0.266 | <0.001 | 84.6 | 
| Muscle | 0.395 ± 0.247 | 0–1.169 | 0.309 | 0.383 | 0.466 | 89.7 | ||
| PCB 52 | Liver | N.D. | <0.001 | 0 | ||||
| Muscle | 0.148 ± 0.068 | 0–0.366 | 0.131 | 0.144 | 0.168 | 92.3 | ||
| PCB 123 | Liver | N.D. | <0.001 | 0 | ||||
| Muscle | 0.154 ± 0.089 | 0–0.419 | 0.113 | 0.146 | 0.178 | 92.3 | ||
| PCB 44 | Liver | N.D. | <0.001 | 0 | ||||
| Muscle | 0.376 ± 0.199 | 0–0.980 | 0.300 | 0.3576 | 0.406 | 97.4 | ||
| PCB 167 | Liver | N.D. | <0.001 | 0 | ||||
| Muscle | 0.137 ± 0.075 | 0–0.361 | 0.113 | 0.137 | 0.151 | 97.4 | ||
| PCB 157 | Liver | N.D. | <0.001 | 0 | ||||
| Muscle | 0.442 ± 0.217 | 0–1.075 | 0.390 | 0.452 | 0.513 | 94.9 | ||
| PCB 156 | Liver | N.D. | <0.001 | 0 | ||||
| Muscle | 0.651 ± 0.222 | 0.224–1.426 | 0.575 | 0.635 | 0.685 | 100 | ||
| PCB 153 | Liver | N.D. | <0.001 | 0 | ||||
| Muscle | 0.167 ± 0.099 | 0–0.502 | 0.134 | 0.163 | 0.190 | 89.7 | ||
| PCB 187 | Liver | N.D. | <0.001 | 0 | ||||
| Muscle | 1.669 ± 1.117 | 0–4.024 | 1.034 | 1.756 | 2.110 | 82.1 | ||
| PCB 180 | Liver | 0.224 ± 0.252 | 0–0.669 | 0 | 0 | 0.438 | 0.316 | 46.2 | 
| Muscle | 0.312 ± 0.201 | 0–0.907 | 0.232 | 0.3 | 0.368 | 87.2 | ||
| PCB 170 | Liver | N.D. | <0.001 | 0 | ||||
| Muscle | 1.973 ± 1.390 | 0–6.242 | 1.498 | 2.209 | 2.416 | 76.9 | ||
| Percentile | ||||||||
|---|---|---|---|---|---|---|---|---|
| Matrix | Mean ± SD | Min–Max | 25th | Median | 75th | p-Value | DF% | |
| PCB 31 | Muscle | 2.696 ± 1.265 | 0–5.67 | 1.915 | 2.84 | 3.675 | <0.001 | 92.3 | 
| Liver | 0.52 ± 0.315 | 0–1.02 | 0.28 | 0.495 | 0.828 | 94.7 | ||
| PCB 28 | Muscle | 5.896 ± 4.169 | 0–18.15 | 4.69 | 6.1 | 7.545 | <0.001 | 76.9 | 
| Liver | N.D. | 0 | ||||||
| PCB 18 | Muscle | 3.971 ± 1.114 | 0–7.67 | 3.57 | 3.97 | 4.275 | <0.001 | 97.4 | 
| Liver | 0.048 ± 0.009 | 0–0.06 | 0.05 | 0.05 | 0.05 | 97.4 | ||
| PCB 81 | Muscle | 1.529 ± 1.011 | 0–4.5 | 1.125 | 1.63 | 1.935 | <0.001 | 82.1 | 
| Liver | N.D. | 0 | ||||||
| PCB 77 | Muscle | 0.7903 ± 0.349 | 0–1.43 | 0.71 | 0.8 | 0.98 | <0.001 | 89.7 | 
| Liver | 0.233 ± 0.106 | 0–0.32 | 0.225 | 0.28 | 0.29 | 84.2 | ||
| PCB 99 | Muscle | 0.594 ± 0.351 | 0–1.64 | 0.45 | 0.63 | 0.8 | <0.001 | 84.6 | 
| Liver | N.D. | 0 | ||||||
| PCB 95 | Muscle | 0.089 ± 0.052 | 0–0.28 | 0.07 | 0.09 | 0.11 | <0.001 | 89.7 | 
| Liver | N.D. | 0 | ||||||
| PCB 126 | Muscle | 0.238 ± 0.172 | 0–0.9 | 0.14 | 0.23 | 0.31 | 0.943 | 84.6 | 
| Liver | 0.219 ± 0.068 | 0–0.28 | 0.2225 | 0.24 | 0.25 | 92.1 | ||
| PCB 52 | Muscle | 0.104 ± 0.043 | 0–0.26 | 0.09 | 0.11 | 0.12 | <0.001 | 92.3 | 
| Liver | N.D. | 0 | ||||||
| PCB 123 | Muscle | 0.102 ± 0.051 | 0.01–0.27 | 0.085 | 0.1 | 0.12 | <0.001 | 89.7 | 
| Liver | N.D. | 0 | ||||||
| PCB 44 | Muscle | 0.331 ± 0.156 | 0–0.84 | 0.275 | 0.32 | 0.4 | <0.001 | 92.3 | 
| Liver | N.D. | 0 | ||||||
| PCB 167 | Muscle | 0.089 ± 0.038 | 0–0.16 | 0.08 | 0.09 | 0.1 | <0.001 | 94.9 | 
| Liver | N.D. | 0 | ||||||
| PCB 157 | Muscle | 0.033 ± 0.014 | 0–0.07 | 0.03 | 0.03 | 0.04 | <0.001 | 92.3 | 
| Liver | N.D. | 0 | ||||||
| PCB 156 | Muscle | 0.531 ± 0.307 | 0–1.49 | 0.41 | 0.52 | 0.61 | <0.001 | 97.4 | 
| Liver | N.D. | 0 | ||||||
| PCB 187 | Muscle | 1.128 ± 0.430 | 0–2.23 | 0.95 | 1.17 | 1.32 | <0.001 | 97.4 | 
| Liver | 0.329 ± 0.459 | 0–1.33 | 0 | 0 | 0.87 | 36.8 | ||
| PCB 180 | Muscle | 0.199 ± 0.077 | 0.02–0.42 | 0.16 | 0.19 | 0.215 | 0.232 | 100 | 
| Liver | 0.130 ± 0.108 | 0–0.26 | 0 | 0.2 | 0.21 | 60.5 | ||
| PCB 170 | Muscle | 1.697 ± 1.151 | 0–4.42 | 1.21 | 1.83 | 2.175 | <0.001 | 79.5 | 
| Liver | 0.2295 ± 0.598 | 0–1.9 | 0 | 0 | 0 | 13.2 | ||
| Percentile | ||||||||
|---|---|---|---|---|---|---|---|---|
| Matrix | Mean ± SD | Min–Max | 25th | Median | 75th | p-Value | DF (%) | |
| PFBA | liver | 136.247 ± 189.297 | 0.01–680.282 | 7.000 | 61.226 | 185.1313 | 0.032 | 100 | 
| muscle | 23.608 ± 49.374 | 0.01–179.662 | 1.976 | 5.351 | 12.297 | 100 | ||
| PFHxA | liver | 3.191 ± 3.308 | 0.088–9.377 | 0.503 | 1.372 | 6.240 | 0.493 | 100 | 
| muscle | 2.607 ± 3.812 | 0.024–12.301 | 0.234 | 0.826 | 4.186 | 100 | ||
| PFHpA | liver | 56.783 ± 99.729 | 6.9113–397.112 | 17.970 | 30.509 | 48.939 | <0.001 | 100 | 
| muscle | 10.130 ± 4.775 | 3.054–20.362 | 6.730 | 9.999 | 12.712 | 100 | ||
| PFOA | liver | 424.370 ± 438.077 | 31.335–1504.985 | 99.445 | 292.4903 | 545.4161 | <0.001 | 100 | 
| muscle | 42.650 ± 44.605 | 10.323–180.455 | 18.757 | 26.799 | 37.835 | 100 | ||
| PFNA | liver | 208.616 ± 166.745 | 26.989–593.141 | 71.521 | 189.262 | 301.8965 | <0.001 | 100 | 
| muscle | 6.909 ± 4.753 | 1.414–19.4518 | 4.690 | 6.098 | 7.289 | 100 | ||
| PFDA | liver | 157.963 ± 177.841 | 26.072–603.357 | 35.768 | 86.622 | 201.336 | <0.001 | 100 | 
| muscle | 4.277 ± 3.57 | 0.518–15.288 | 2.359 | 3.518 | 5.094 | 100 | ||
| PFUdA | liver | 96.083 ± 136.718 | 9.103–437.891 | 17.819 | 30.186 | 108.88 | <0.001 | 100 | 
| muscle | 2.9552 ± 2.3916 | 0.378–8.330 | 1.057 | 1.797 | 4.350 | 100 | ||
| PFDoA | liver | 84.858 ± 149.844 | 2.774–498.632 | 9.163 | 12.938 | 85.087 | <0.001 | 100 | 
| muscle | 1.961 ± 1.731 | 0.284–5.921 | 0.844 | 1.166 | 2.743 | 100 | ||
| PFTrDA | liver | 154.306 ± 292.098 | 1.715–926.597 | 4.991 | 20.271 | 132.8584 | <0.001 | 100 | 
| muscle | 2.056 ± 2.626 | 0.290–10.611 | 0.573 | 0.985 | 2.134 | 100 | ||
| PFTeDA | liver | 34.794 ± 69.701 | 0.187–225.411 | 0.642 | 3.181 | 28.455 | <0.001 | 100 | 
| muscle | 0.484 ± 0.686 | 0.055–2.784 | 0.104 | 0.228 | 0.509 | 100 | ||
| PFHxDA | liver | 4.433 ± 9.954 | 0.010–34.644 | 0.033 | 0.049 | 2.478 | 0.002 | 100 | 
| muscle | 0.041 ± 0.074 | 0.003–0.318 | 0.01 | 0.02 | 0.026 | 100 | ||
| PFBS | liver | 0.440 ± 0.551 | 0.017–1.505 | 0.039 | 0.142 | 0.883 | 0.625 | 100 | 
| muscle | 0.284 ± 0.464 | 0.01–1.772 | 0.061 | 0.090 | 0.176 | 100 | ||
| PFHxS | liver | 208.090 ± 110.686 | 52.491–485.835 | 123.773 | 207.958 | 259.3407 | <0.001 | 100 | 
| muscle | 42.062 ± 29.379 | 8.476–120.058 | 17.640 | 36.433 | 56.497 | 100 | ||
| PFHpS | liver | 15.221 ± 16.663 | 2.319–56.727 | 5.288 | 9.091 | 12.187 | 0.769 | 100 | 
| muscle | 12.309 ± 11.609 | 1.796–44.284 | 3.937 | 9.597 | 15.365 | 100 | ||
| EtFOSA | liver | 2.109 ± 2.278 | 0.012–5.678 | 0.154 | 0.809 | 4.527 | 0.077 | 100 | 
| muscle | 0.406 ± 0.577 | 0.014–2.214 | 0.110 | 0.144 | 0.307 | 100 | ||
| Percentile | ||||||||
|---|---|---|---|---|---|---|---|---|
| Matrix | Mean | Min–Max | 25th | Median | 75th | p-Value | DF (%) | |
| PFBA | liver | 115.214 ± 86.849 | 4.256–322.080 | 72.370 | 103.246 | 138.467 | <0.001 | 100 | 
| muscle | 11.314 ± 10.448 | 0.01–27.924 | 1.778 | 7.482 | 23.065 | 100 | ||
| PFHxA | liver | 6.518 ± 16.320 | 0.138–63.430 | 0.543 | 1.302 | 2.492 | 0.244 | 100 | 
| muscle | 2.963 ± 4.234 | 0.084–11.516 | 0.291 | 0.563 | 5.847 | 100 | ||
| PFHpA | liver | 5.891 ± 7.989 | 1.438–33.477 | 2.592 | 3.488 | 4.926 | 0.108 | 100 | 
| muscle | 3.921 ± 3.948 | 0.462–11.698 | 1.064 | 1.982 | 6.979 | 100 | ||
| PFOA | liver | 78.211 ± 94.251 | 2.086–335.428 | 16.317 | 37.301 | 104.700 | 0.108 | 100 | 
| muscle | 24.427 ± 19.836 | 3.314–81.040 | 9.314 | 20.910 | 35.396 | 100 | ||
| PFNA | liver | 18.655 ± 41.295 | 2.618–166.665 | 5.846 | 6.910 | 9.033 | <0.001 | 100 | 
| muscle | 3.406 ± 1.815 | 0.838–6.262 | 1.976 | 3.474 | 5.187 | 100 | ||
| PFDA | liver | 3.331 ± 2.41 | 0.832–8.414 | 1.468 | 2.305 | 4.266 | 0.004 | 100 | 
| muscle | 1.489 ± 1.416 | 0.349–4.831 | 0.481 | 0.792 | 2.577 | 100 | ||
| PFUdA | liver | 2.629 ± 5.331 | 0.206–20.933 | 0.347 | 0.534 | 1.509 | 0.03 | 100 | 
| muscle | 0.642 ± 0.698 | 0.093–2.163 | 0.171 | 0.265 | 1.008 | 100 | ||
| PFDoA | liver | 1.291 ± 2.085 | 0.017–6.927 | 0.126 | 0.240 | 0.908 | 0.63 | 100 | 
| muscle | 0.426 ± 0.453 | 0.059–1.551 | 0.122 | 0.235 | 0.512 | 100 | ||
| PFTrDA | liver | 0.993 ± 1.849 | 0.044–6.166 | 0.110 | 0.135 | 0.290 | 0.361 | 100 | 
| muscle | 0.189 ± 0.174 | 0.006–0.671 | 0.083 | 0.108 | 0.288 | 100 | ||
| PFTeDA | liver | 0.483 ± 1.170 | 0.008–4.406 | 0.037 | 0.068 | 0.092 | 0.682 | 100 | 
| muscle | 0.087 ± 0.093 | 0.021–0.341 | 0.041 | 0.057 | 0.085 | 100 | ||
| PFHxDA | liver | 0.479 ± 1.719 | 0.001–6.687 | 0.005 | 0.008 | 0.025 | 0.126 | 100 | 
| muscle | 0.025 ± 0.019 | 0.006–0.067 | 0.011 | 0.015 | 0.032 | 100 | ||
| PFODA | liver | 1.291 ± 2.085 | 0.017–6.927 | 0.126 | 0.240 | 0.908 | 0.63 | 100 | 
| muscle | 0.426 ± 0.453 | 0.059–1.551 | 0.122 | 0.235 | 0.512 | 100 | ||
| PFBS | liver | 1.093 ± 1.219 | 0.004–4.147 | 0.031 | 0.661 | 1.912 | 0.274 | 100 | 
| muscle | 0.392 ± 0.587 | 0.004–2.334 | 0.081 | 0.172 | 0.327 | 100 | ||
| PFHxS | liver | 311.489 ± 315.703 | 95.208–1401.28 | 156.254 | 217.754 | 303.530 | <0.001 | 100 | 
| muscle | 76.412 ± 58.136 | 12.447–201.525 | 34.012 | 55.132 | 99.195 | 100 | ||
| PFHpS | liver | 27.155 ± 54.162 | 4.777–202.771 | 5.825 | 8.176 | 11.197 | 0.656 | 100 | 
| muscle | 9.40 ± 6.743 | 1.334–24.235 | 3.937 | 8.633 | 12.841 | 100 | ||
| EtFOSAA | liver | 1.254 ± 3.495 | 0.023–13.743 | 0.069 | 0.146 | 0.459 | 0.259 | 100 | 
| muscle | 0.139 ± 0.131 | 0.01–0.455 | 0.050 | 0.086 | 0.156 | 100 | ||
| Disclaimer/Publisher’s Note: The statements, opinions and data contained in all publications are solely those of the individual author(s) and contributor(s) and not of MDPI and/or the editor(s). MDPI and/or the editor(s) disclaim responsibility for any injury to people or property resulting from any ideas, methods, instructions or products referred to in the content. | 
© 2025 by the authors. Licensee MDPI, Basel, Switzerland. This article is an open access article distributed under the terms and conditions of the Creative Commons Attribution (CC BY) license (https://creativecommons.org/licenses/by/4.0/).
Share and Cite
Draghi, S.; Fontanarosa, C.; Spinelli, M.; Amoresano, A.; Materazzi, S.; Risoluti, R.; Curci, D.; Curone, G.; Cagnardi, P.; Arioli, F.; et al. Environmental Monitoring of PAHs, PCBs, PCDDs, PCDFs, and PFASs in Wild Boar and Domestic Pig Tissues from Northern Italy. Animals 2025, 15, 2600. https://doi.org/10.3390/ani15172600
Draghi S, Fontanarosa C, Spinelli M, Amoresano A, Materazzi S, Risoluti R, Curci D, Curone G, Cagnardi P, Arioli F, et al. Environmental Monitoring of PAHs, PCBs, PCDDs, PCDFs, and PFASs in Wild Boar and Domestic Pig Tissues from Northern Italy. Animals. 2025; 15(17):2600. https://doi.org/10.3390/ani15172600
Chicago/Turabian StyleDraghi, Susanna, Carolina Fontanarosa, Michele Spinelli, Angela Amoresano, Stefano Materazzi, Roberta Risoluti, Dalia Curci, Giulio Curone, Petra Cagnardi, Francesco Arioli, and et al. 2025. "Environmental Monitoring of PAHs, PCBs, PCDDs, PCDFs, and PFASs in Wild Boar and Domestic Pig Tissues from Northern Italy" Animals 15, no. 17: 2600. https://doi.org/10.3390/ani15172600
APA StyleDraghi, S., Fontanarosa, C., Spinelli, M., Amoresano, A., Materazzi, S., Risoluti, R., Curci, D., Curone, G., Cagnardi, P., Arioli, F., & Di Cesare, F. (2025). Environmental Monitoring of PAHs, PCBs, PCDDs, PCDFs, and PFASs in Wild Boar and Domestic Pig Tissues from Northern Italy. Animals, 15(17), 2600. https://doi.org/10.3390/ani15172600
 
        





 
       