Application of Acoustic Cardiography in Assessment of Cardiac Function in Horses with Atrial Fibrillation Before and After Cardioversion
Simple Summary
Abstract
1. Introduction
2. Materials and Methods
2.1. Study Design
2.2. Study Sample
2.3. Study Protocol
2.4. Echocardiography
2.5. Audicor® Data Recordings
2.6. Audicor® Data Processing and Analysis
2.7. Statistical Analysis
3. Results
3.1. Echocardiography
3.2. Audicor®
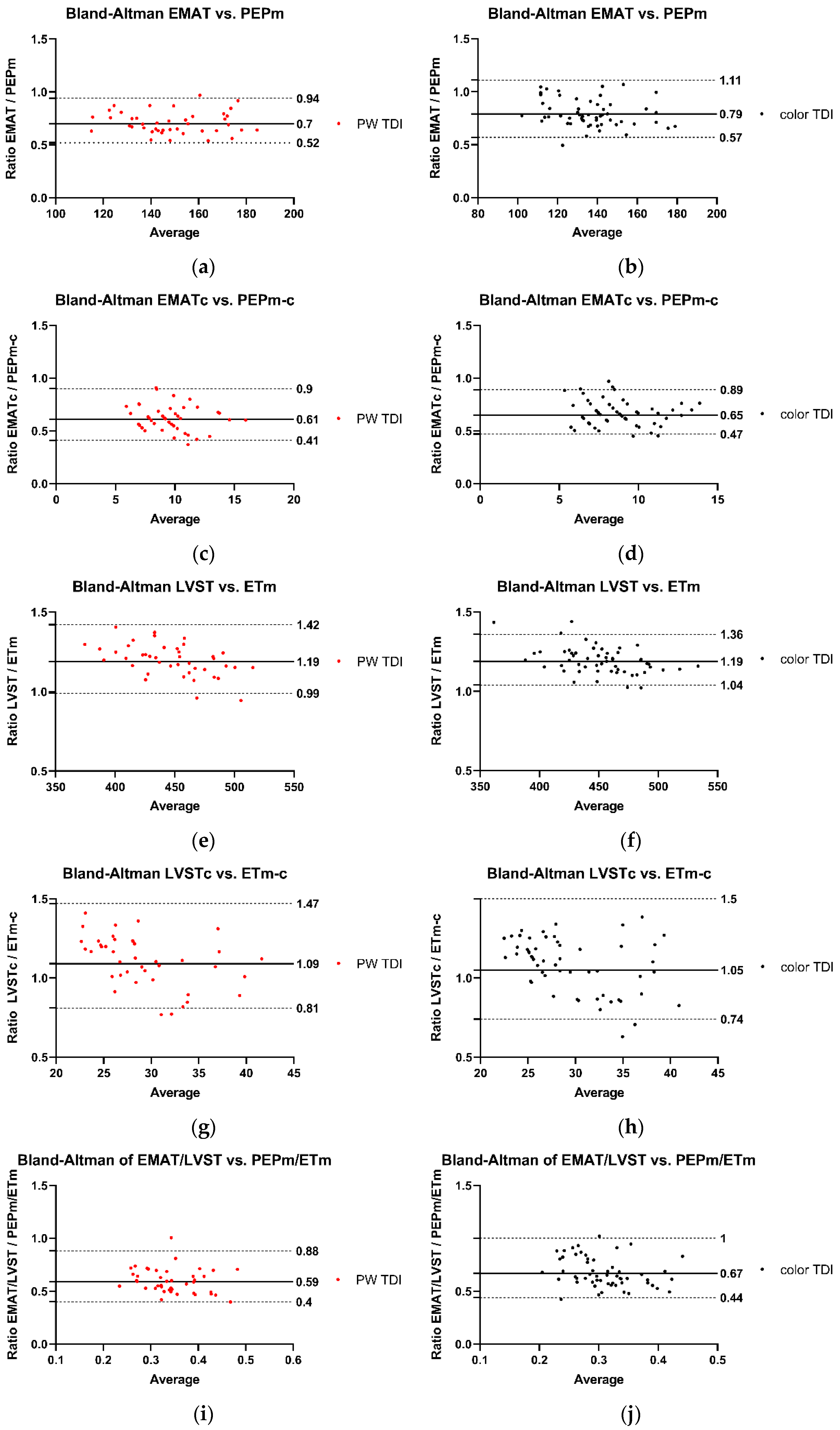
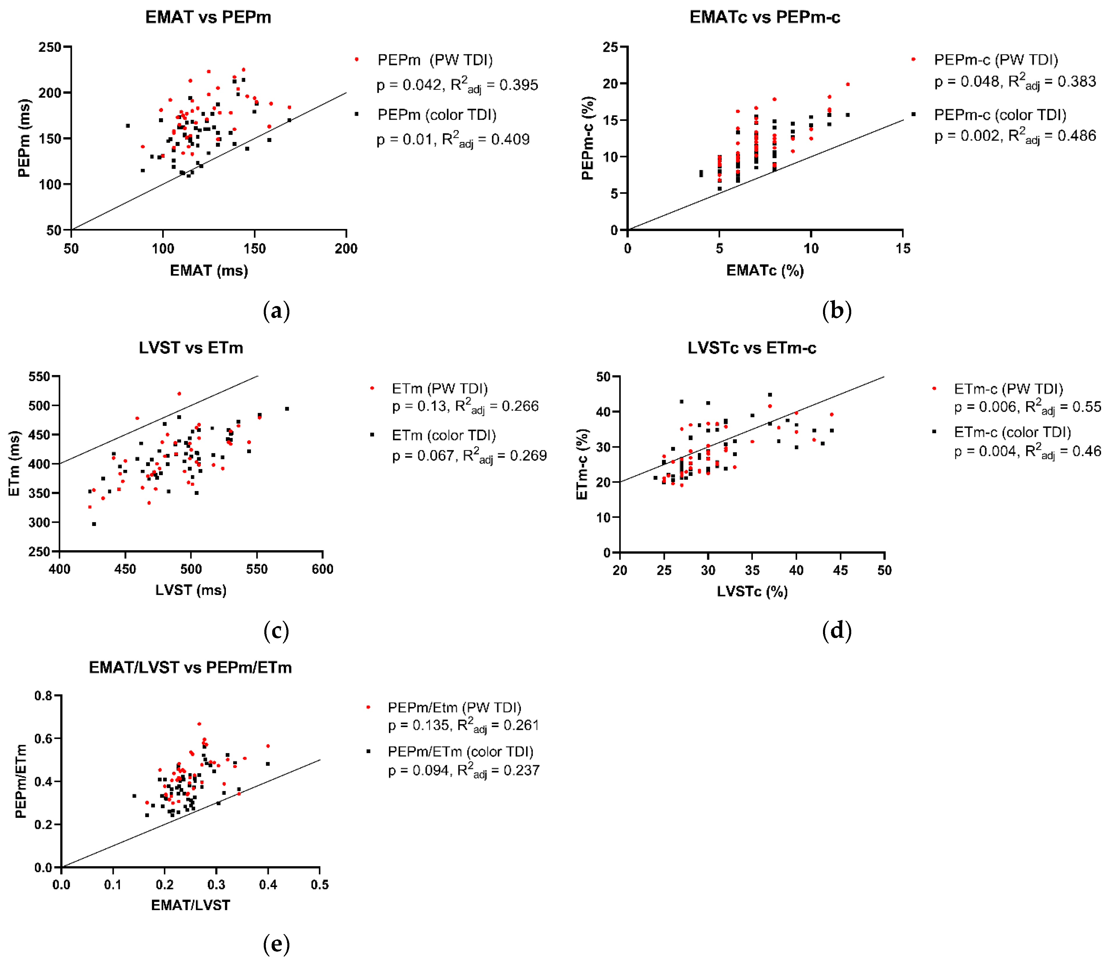
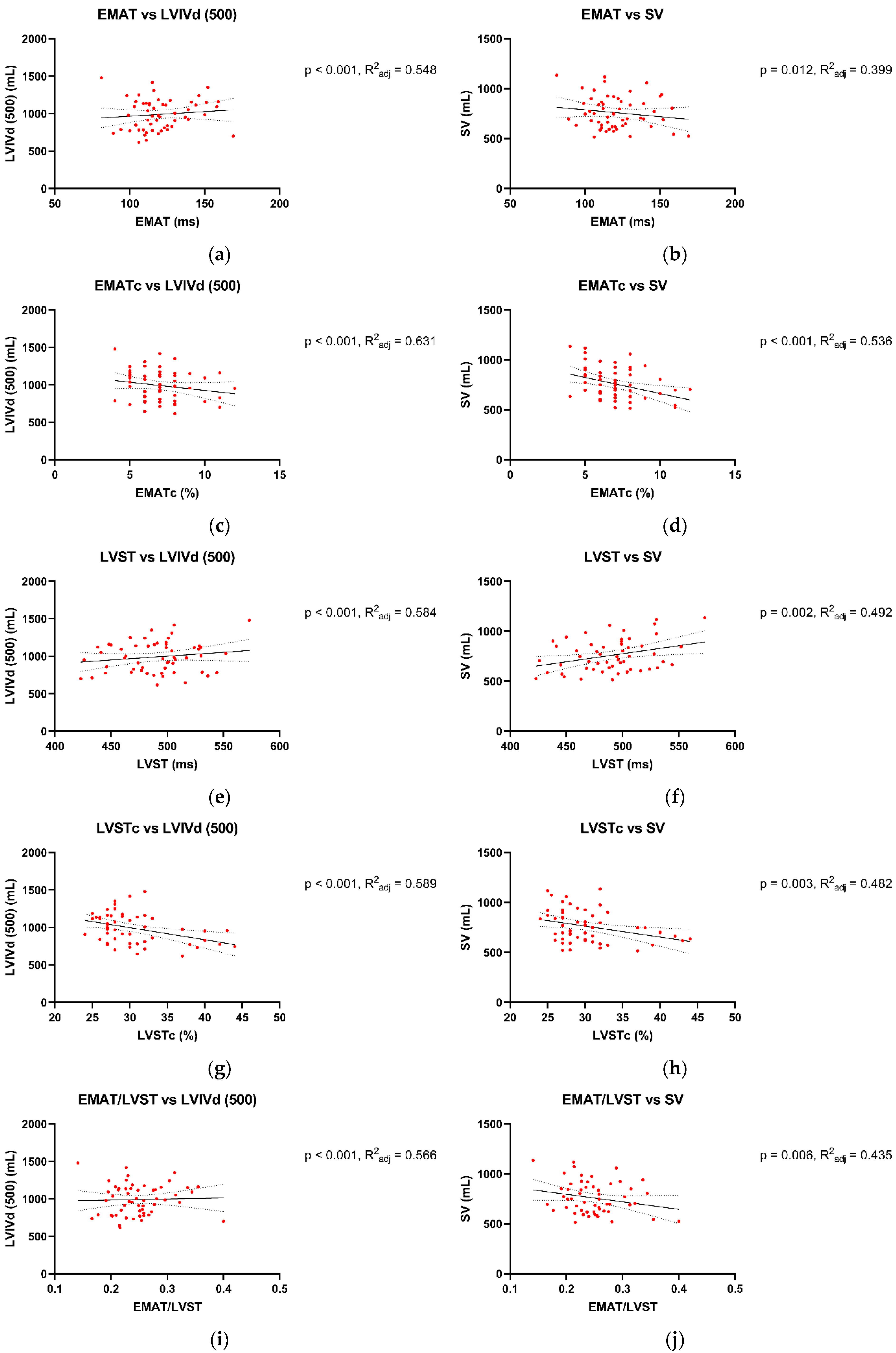
3.3. Association Between Audicor® and Echocardiography
4. Discussion
5. Conclusions
Supplementary Materials
Author Contributions
Funding
Institutional Review Board Statement
Informed Consent Statement
Data Availability Statement
Acknowledgments
Conflicts of Interest
Abbreviations
| Am | Late diastolic LV wall motion velocity at the time of atrial contraction |
| Active LA FAC | Left-atrial active fractional area change |
| active/total LA AC | Ratio of active-to-total left atrial area change |
| AF | Atrial fibrillation |
| ANOVA | One-way analysis of variance |
| AV | Atrioventricular |
| BWT | Body weight |
| CO | Cardiac output |
| cTDI | Color tissue Doppler imaging |
| dmeans | Difference of means |
| EF | Ejection fraction |
| Em | Early-diastolic LV wall motion velocity during the phase of rapid ventricular filling |
| Em/Am | Ratio of Em-to-Am |
| EMAT | Electromechanical activation time |
| EMATc | Heart rate-corrected electromechanical activation time |
| ETm | Ejection time |
| ETm-c | Heart rate-corrected ejection time |
| HR | Heart rate |
| IMPm | Index of myocardial performance |
| LA | Left atrium |
| LAAmax | Internal left atrial area measured during maximum atrial filling (right parasternal long-axis view) |
| LAsxAmax | Internal area of the left atrium during maximum atrial filling (right parasternal short-axis view) |
| LADllx-max | Internal left atrial diameter during maximum atrial filling (left parasternal long-axis view) |
| LADmax | Internal left atrial diameter during maximum atrial filling (right parasternal long-axis view) |
| LA RI | Left atrial reservoir index |
| LV | Left ventricular |
| LV dP/dtmax | maximum rate of systolic LV pressure rise |
| LV EF | Left ventricular ejection fraction |
| LVEDP | Left ventricular end-diastolic pressure |
| LV FS | Left ventricular fractional shortening |
| LVIDd | Left ventricular diameter at end-diastole |
| LVIVd | Left ventricular volume at end-diastole |
| LVST | Left ventricular systolic time |
| LVSTc | Heart rate-corrected LVST |
| M-Mode | Motion mode |
| NSR | Normal sinus rhythm |
| PEPm | Pre-ejection period |
| PEPm-c | Heart rate-corrected pre-ejection period |
| PW TDI | Pulse wave tissue Doppler imaging |
| QRS | QRS duration |
| QTc | Heart rate-corrected QT interval |
| rAF | Atrial fibrillation recurrence |
| RWTd | Relative LV wall thickness at end-diastole |
| SD | Standard deviation |
| SDI | Systolic dysfunction index |
| Sm | Wall motion velocity during LV ejection |
| SV | Stroke volume |
| S3 | Third heart sound |
| S4 | Fourth heart sound |
| TDI | Tissue Doppler imaging |
| 2DE | Two-dimensional echocardiography |
| 2DST | 2D speckle tracking |
| 95% CI | 95% confidence interval |
References
- Reef, V.B.; Bonagura, J.; Buhl, R.; McGurrin, M.K.J.; Schwarzwald, C.C.; van Loon, G.; Young, L.E. Recommendations for management of equine athletes with cardiovascular abnormalities. J. Vet. Intern. Med. 2014, 28, 749–761. [Google Scholar] [CrossRef]
- Buntenkötter, S.; Deegen, E. Behaviour of the heart rate of horses with auricular fibrillation during exercise and after treatment. Equine Vet. J. 1976, 8, 26–29. [Google Scholar]
- Reef, V.B.; Reimer, J.M.; Spencer, P.A. Treatment of atrial fibrillation in horses: New perspectives. J. Vet. Intern. Med. 1995, 9, 57–67. [Google Scholar] [CrossRef] [PubMed]
- Gehlen, H.; Bubeck, K.; Rohn, K.; Stadler, P. Pulmonary artery wedge pressure during treadmill exercise in warmblood horses with atrial fibrillation. Res. Vet. Sci. 2006, 81, 134–139. [Google Scholar] [CrossRef] [PubMed]
- Hesselkilde, E.Z.; Carstensen, H.; Flethøj, M.; Fenner, M.; Kruse, D.D.; Sattler, S.M.; Tfelt-Hansen, J.; Pehrson, S.; Braunstein, T.H.; Carlson, J.; et al. Longitudinal study of electrical, functional and structural remodelling in an equine model of atrial fibrillation. BMC Cardiovasc. Disord. 2019, 19, 228. [Google Scholar] [CrossRef] [PubMed]
- Marr, C.M.; Reef, V.B.; Reimer, J.M.; Sweeney, R.W.; Reid, S.W. An echocardiographic study of atrial fibrillation in horses: Before and after conversion to sinus rhythm. J. Vet. Intern. Med. 1995, 9, 336–340. [Google Scholar] [CrossRef]
- Kubo, K.; Senta, T.; Sugimoto, O. Changes in cardiac output with experimentally induced atrial fibrillation in the horse. Exp. Rep. Equine Health Lab. 1975, 12, 101–108. [Google Scholar]
- Stadler, P.; Deegen, E.; Kroker, K. Echocardiography and therapy of atrial fibrillation in horses. Dtsch. Tierarztl. Wochenschr. 1994, 101, 190–194. [Google Scholar]
- Schwarzwald, C.C.; Schober, K.E.; Bonagura, J.D. Echocardiographic evidence of left atrial mechanical dysfunction after conversion of atrial fibrillation to sinus rhythm in 5 horses. J. Vet. Intern. Med. 2007, 21, 820–827. [Google Scholar] [CrossRef]
- Decloedt, A.; Verheyen, T.; Van Der Vekens, N.; Sys, S.; De Clercq, D.; van Loon, G. Long-term follow-up of atrial function after cardioversion of atrial fibrillation in horses. Vet. J. 2013, 197, 583–588. [Google Scholar] [CrossRef]
- De Clercq, D.; van Loon, G.; Tavernier, R.; Duchateau, L.; Deprez, P. Atrial and Ventricular Electrical and Contractile Remodeling and Reverse Remodeling Owing to Short-Term Pacing-Induced Atrial Fibrillation in Horses. J. Vet. Intern. Med. 2008, 22, 1353–1359. [Google Scholar] [CrossRef] [PubMed]
- Van Loon, G.; Duytschaever, M.; Tavernier, R.; Fonteyne, W.; Jordaens, L.; Deprez, P. An equine model of chronic atrial fibrillation: Methodology. Vet. J. 2002, 164, 142–150. [Google Scholar] [CrossRef] [PubMed]
- Decloedt, A.; Van Steenkiste, G.; Vera, L.; Buhl, R.; van Loon, G. Atrial fibrillation in horses part 1: Pathophysiology. Vet. J. 2020, 263, 105521. [Google Scholar] [CrossRef]
- Manning, W.J.; Silverman, D.I.; Katz, S.E.; Riley, M.F.; Come, P.C.; Doherty, R.M.; Munson, J.T.; Douglas, P.S. Impaired left atrial mechanical function after cardioversion: Relation to the duration of atrial fibrillation. J. Am. Coll. Cardiol. 1994, 23, 1535–1540. [Google Scholar] [CrossRef]
- McGurrin, M.K.; Physick-Sheard, P.W.; Kenney, D.G. Transvenous electrical cardioversion of equine atrial fibrillation: Patient factors and clinical results in 72 treatment episodes. J. Vet. Intern. Med. 2008, 22, 609–615. [Google Scholar] [CrossRef]
- De Clercq, D.; Decloedt, A.; Sys, S.U.; Verheyen, T.; Van Der Vekens, N.; van Loon, G. Atrial fibrillation cycle length and atrial size in horses with and without recurrence of atrial fibrillation after electrical cardioversion. J. Vet. Intern. Med. 2014, 28, 624–629. [Google Scholar] [CrossRef] [PubMed]
- Decloedt, A.; Schwarzwald, C.C.; De Clercq, D.; Van Der Vekens, N.; Pardon, B.; Reef, V.B.; van Loon, G. Risk factors for recurrence of atrial fibrillation in horses after cardioversion to sinus rhythm. J. Vet. Intern. Med. 2015, 29, 946–953. [Google Scholar] [CrossRef]
- Mitchell, K.J.; De Clercq, D.; Stirn, M.; van Loon, G.; Schwarzwald, C.C. Plasma homocysteine concentrations in healthy horses and horses with atrial fibrillation. J. Vet. Cardiol. 2018, 20, 276–284. [Google Scholar] [CrossRef]
- Vernemmen, I.; De Clercq, D.; Decloedt, A.; Vera, L.; Van Steenkiste, G.; van Loon, G. Atrial premature depolarisations five days post electrical cardioversion are related to atrial fibrillation recurrence risk in horses. Equine Vet. J. 2020, 52, 374–378. [Google Scholar] [CrossRef]
- Schwarzwald, C.C.; Schober, K.E.; Bonagura, J.D. Methods and reliability of echocardiographic assessment of left atrial size and mechanical function in horses. Am. J. Vet. Res. 2007, 68, 735–747. [Google Scholar] [CrossRef]
- Schwarzwald, C.C. Equine Echocardiography. Vet. Clin. N. Am. Equine Pract. 2019, 35, 43–64. [Google Scholar] [CrossRef] [PubMed]
- Schwarzwald, C.C.; Schober, K.E.; Bonagura, J.D. Methods and reliability of tissue Doppler imaging for assessment of left ventricular radial wall motion in horses. J. Vet. Intern. Med. 2009, 23, 643–652. [Google Scholar] [CrossRef] [PubMed]
- Eberhardt, C.; Mitchell, K.J.; Schwarzwald, C.C. Quantification of left atrial wall motion in healthy horses using two-dimensional speckle tracking. J. Vet. Cardiol. 2020, 30, 32–43. [Google Scholar] [CrossRef]
- Eberhardt, C.; Schwarzwald, C.C. Quantification of left atrial contractile function using two-dimensional speckle tracking echocardiography in horses after conversion of atrial fibrillation to sinus rhythm. J. Vet. Cardiol. 2021, 35, 108–120. [Google Scholar] [CrossRef]
- Koenig, T.R.; Mitchell, K.J.; Schwarzwald, C.C. Echocardiographic Assessment of Left Ventricular Function in Healthy Horses and in Horses with Heart Disease Using Pulsed-Wave Tissue Doppler Imaging. J. Vet. Intern. Med. 2017, 31, 556–567. [Google Scholar] [CrossRef] [PubMed]
- Decloedt, A.; Verheyen, T.; Sys, S.; De Clercq, D.; van Loon, G. Two-dimensional speckle tracking for quantification of left ventricular circumferential and radial wall motion in horses. Equine Vet. J. 2013, 45, 47–55. [Google Scholar] [CrossRef]
- Decloedt, A.; Verheyen, T.; Sys, S.; De Clercq, D.; van Loon, G. Quantification of left ventricular longitudinal strain, strain rate, velocity, and displacement in healthy horses by 2-dimensional speckle tracking. J. Vet. Intern. Med. 2011, 25, 330–338. [Google Scholar] [CrossRef]
- Decloedt, A.; Verheyen, T.; Sys, S.; De Clercq, D.; van Loon, G. Evaluation of tissue Doppler imaging for regional quantification of radial left ventricular wall motion in healthy horses. Am. J. Vet. Res. 2013, 74, 53–61. [Google Scholar] [CrossRef]
- Zuber, M.; Toggweiler, S.; Quinn-Tate, L.; Brown, L.; Amkieh, A.; Erne, P. A comparison of acoustic cardiography and echocardiography for optimizing pacemaker settings in cardiac resynchronization therapy. Pacing Clin. Electrophysiol. 2008, 31, 802–811. [Google Scholar] [CrossRef]
- Gupta, S.; Gupta, N.; Arand, P.; Michaels, A.D. Computerized acoustic cardiography correlates with echocardiography and invasive haemodynamics after percutaneous transvenous mitral commissurotomy. J. Med. Eng. Technol. 2011, 35, 59–64. [Google Scholar] [CrossRef]
- Efstratiadis, S.; Michaels, A.D. Computerized acoustic cardiographic electromechanical activation time correlates with invasive and echocardiographic parameters of left ventricular contractility. J. Card. Fail. 2008, 14, 577–582. [Google Scholar] [CrossRef] [PubMed]
- Toggweiler, S.; Odermatt, Y.; Brauchlin, A.; Zander, T.; Müller, A.; Zuber, M.; Winterhalder, R.; Erne, P. The clinical value of echocardiography and acoustic cardiography to monitor patients undergoing anthracycline chemotherapy. Clin. Cardiol. 2013, 36, 201–206. [Google Scholar] [CrossRef] [PubMed]
- Walia, R.; Chang, S.L.; Lin, Y.J.; Lo, L.W.; Hu, Y.F.; Chao, T.F.; Chung, F.P.; Liao, J.N.; Lin, C.Y.; Chang, Y.T.; et al. Early detection of electromechanical dysfunction in patients with idiopathic premature ventricular contractions. Pacing Clin. Electrophysiol. 2019, 42, 637–645. [Google Scholar] [CrossRef] [PubMed]
- Erne, P. Beyond auscultation--acoustic cardiography in the diagnosis and assessment of cardiac disease. Swiss Med. Wkly. 2008, 138, 439–452. [Google Scholar]
- Dillier, R.; Zuber, M.; Arand, P.; Erne, S.; Erne, P. Assessment of systolic and diastolic function in asymptomatic subjects using ambulatory monitoring with acoustic cardiography. Clin. Cardiol. 2011, 34, 384–388. [Google Scholar] [CrossRef]
- Shah, S.J.; Michaels, A.D. Hemodynamic correlates of the third heart sound and systolic time intervals. Congest. Heart Fail. 2006, 12, 8–13. [Google Scholar] [CrossRef]
- Erne, P.; Resink, T.J.; Mueller, A.; Coslovsky, M.; Kobza, R.; Conen, D.; Bauer, P.; Arand, P. of acoustic cardiography immediately following electrical cardioversion to predict relapse of atrial fibrillation. J. Atr. Fibrillation 2017, 10, 1527. [Google Scholar] [CrossRef]
- Pan, K.L.; Chang, S.L.; Lin, Y.J.; Lo, L.W.; Hu, Y.F.; Chung, F.P.; Chao, T.F.; Liao, J.N.; Lin, C.Y.; Lin, C.H.; et al. Left Ventricular Electromechanical Remodeling Detected by Acoustic Cardiography in Paroxysmal Atrial Fibrillation. J. Cardiovasc. Transl. Res. 2020, 13, 362–371. [Google Scholar] [CrossRef]
- Keen, J.A. Examination of Horses with Cardiac Disease. Vet. Clin. N. Am. Equine Pract. 2019, 35, 23–42. [Google Scholar] [CrossRef]
- Zuber, N.; Zuber, M.; Schwarzwald, C.C. Assessment of systolic and diastolic function in clinically healthy horses using ambulatory acoustic cardiography. Equine Vet. J. 2019, 51, 391–400. [Google Scholar] [CrossRef]
- Huesler, I.M.; Mitchell, K.J.; Schwarzwald, C.C. Echocardiographic Assessment of Left Atrial Size and Function in Warmblood Horses: Reference Intervals, Allometric Scaling, and Agreement of Different Echocardiographic Variables. J. Vet. Intern. Med. 2016, 30, 1241–1252. [Google Scholar] [CrossRef] [PubMed]
- Berthoud, D.; Schwarzwald, C.C. Echocardiographic assessment of left ventricular size and systolic function in Warmblood horses using linear measurements, area-based indices, and volume estimates: A retrospective database analysis. J. Vet. Intern. Med. 2021, 35, 504–520. [Google Scholar] [CrossRef]
- Schwarzwald, C.C. Disorders of the Cardiovascular System. In Equine Internal Medicine; Reed, S.M., Bayly, W.M., Sellon, D.C., Eds.; Saunders Elsevier: St. Louis, MO, USA, 2018; pp. 387–541. [Google Scholar]
- Brown, D.J.; Rush, J.E.; MacGregor, J.M.; Ross, J.N.; Brewer, B.; Rand, W.M. M-mode echocardiographic ratio indices in normal dogs, cats, and horses: A novel quantitative method. J. Vet. Intern. Med. 2003, 17, 653–662. [Google Scholar] [PubMed]
- Cornell, C.C.; Kittleson, M.D.; Della Torre, P.; Häggström, J.; Lombard, C.W.; Pedersen, H.D.; Vollmar, A.; Wey, A. Allometric scaling of M-mode cardiac measurements in normal adult dogs. J. Vet. Intern. Med. 2004, 18, 311–321. [Google Scholar]
- Bland, M. Clinical measurement. In An Introduction to Medical Statistics; Bland, M., Ed.; Oxford University Press: New York, NY, USA, 2000; pp. 268–293. [Google Scholar]
- Abbott, J.A.; Gentile-Solomon, J.M. Measurement Variation and Repeatability of Echocardiographic Variables Used to Estimate Pulmonary Artery Pressure in Dogs. J. Vet. Intern. Med. 2017, 31, 1622–1628. [Google Scholar] [CrossRef] [PubMed]
- Wang, S.; Liu, M.; Fang, F.; Shang, Q.; Sun, J.P.; Sanderson, J.E.; Yu, C.M. Prognostic value of acoustic cardiography in patients with chronic heart failure. Int. J. Cardiol. 2016, 219, 121–126. [Google Scholar] [CrossRef]
- Wang, S.; Fang, F.; Liu, M.; Lam, Y.Y.; Wang, J.; Shang, Q.; Sun, J.P.; Sanderson, J.E.; Yu, C.M. Rapid bedside identification of high-risk population in heart failure with reduced ejection fraction by acoustic cardiography. Int. J. Cardiol. 2013, 168, 1881–1886. [Google Scholar] [CrossRef]
- Wen, Y.N.; Lee, A.P.; Fang, F.; Jin, C.N.; Yu, C.M. Beyond auscultation: Acoustic cardiography in clinical practice. Int. J. Cardiol. 2014, 172, 548–560. [Google Scholar] [CrossRef]
- Dillier, R.; Kobza, R.; Erne, S.; Zuber, M.; Arand, P.; Erne, P. Noninvasive detection of left-ventricular systolic dysfunction by acoustic cardiography in atrial fibrillation. Cardiol. Res. Pract. 2011, 2011, 173102. [Google Scholar] [CrossRef][Green Version]
- De Clercq, D.; Decloedt, A.; Tavernier, R.; Deprez, P.; van Loon, G. Atrial and ventricular electrical and contractile remodelling and reverse remodelling due to chronic pacing-induced atrial fibrillation in horses: Preliminary results. Vlaams Diergeneeskd. Tijdschr. 2019, 88, 269–277. [Google Scholar]
- van Loon, G. Atrial pacing and Experimental Atrial Fibrillation in Equines. In Veterinary Sciences; Ghent University: Ghent, Belgium, 2001; pp. 161–206. [Google Scholar]
- van Loon, G. Cardiac Arrhythmias in Horses. Vet. Clin. N. Am. Equine Pract. 2019, 35, 85–102. [Google Scholar] [CrossRef] [PubMed]
- Reef, V.B.; Levitan, C.W.; Spencer, P.A. Factors affecting prognosis and conversion in equine atrial fibrillation. J. Vet. Intern. Med. 1988, 2, 1–6. [Google Scholar] [CrossRef] [PubMed]
- Decloedt, A.; Verheyen, T.; Sys, S.; De Clercq, D.; van Loon, G. Tissue Doppler imaging and 2-dimensional speckle tracking of left ventricular function in horses exposed to lasalocid. J. Vet. Intern. Med. 2012, 26, 1209–1216. [Google Scholar] [CrossRef]
- Schefer, K.D.; Hagen, R.; Ringer, S.K.; Schwarzwald, C.C. Laboratory, electrocardiographic, and echocardiographic detection of myocardial damage and dysfunction in an Arabian mare with nutritional masseter myodegeneration. J. Vet. Intern. Med. 2011, 25, 1171–1180. [Google Scholar] [CrossRef] [PubMed]
- Decloedt, A.; Verheyen, T.; Sys, S.; De Clercq, D.; Bijnens, B.; van Loon, G. Influence of atrioventricular interaction on mitral valve closure and left ventricular isovolumic contraction measured by tissue Doppler imaging. Circ. Cardiovasc. Imaging 2013, 6, 109–116. [Google Scholar] [CrossRef][Green Version]
- Roos, M.; Toggweiler, S.; Zuber, M.; Jamshidi, P.; Erne, P. Acoustic cardiographic parameters and their relationship to invasive hemodynamic measurements in patients with left ventricular systolic dysfunction. Congest. Heart Fail. 2006, 12, 19–24. [Google Scholar] [CrossRef]
- Roos, M.; Toggweiler, S.; Jamshidi, P.; Zuber, M.; Kobza, R.; Meier, R.; Erne, P. Noninvasive detection of left ventricular systolic dysfunction by acoustic cardiography in cardiac failure patients. J. Card. Fail. 2008, 14, 310–319. [Google Scholar] [CrossRef]
- Jamshidi, P.; Kobza, R.; Toggweiler, S.; Arand, P.; Zuber, M.; Erne, P. Impact of preload changes on positive and negative left ventricular dP/dt and systolic time intervals: Preload changes on left ventricular function. Indian. Heart J. 2012, 64, 314–318. [Google Scholar] [CrossRef]
- Zuber, M.; Kipfer, P.; Attenhofer Jost, C. Systolic dysfunction: Correlation of acoustic cardiography with Doppler echocardiography. Congest. Heart Fail. 2006, 12, 14–18. [Google Scholar] [CrossRef]
- Shapiro, M.; Moyers, B.; Marcus, G.M.; Gerber, I.L.; McKeown, B.H.; Vessey, J.C.; Jordan, M.V.; Huddleston, M.; Foster, E.; Chatterjee, K.; et al. Diagnostic characteristics of combining phonocardiographic third heart sound and systolic time intervals for the prediction of left ventricular dysfunction. J. Card. Fail. 2007, 13, 18–24. [Google Scholar] [CrossRef]
- Marcus, G.M.; Gerber, I.L.; McKeown, B.H.; Vessey, J.C.; Jordan, M.V.; Huddleston, M.; McCulloch, C.E.; Foster, E.; Chatterjee, K.; Michaels, A.D. Association between phonocardiographic third and fourth heart sounds and objective measures of left ventricular function. JAMA 2005, 293, 2238–2244. [Google Scholar] [CrossRef] [PubMed]
- Shah, S.J.; Nakamura, K.; Marcus, G.M.; Gerber, I.L.; McKeown, B.H.; Jordan, M.V.; Huddleston, M.; Foster, E.; Michaels, A.D. Association of the fourth heart sound with increased left ventricular end-diastolic stiffness. J. Card. Fail. 2008, 14, 431–436. [Google Scholar] [CrossRef]
- Zuber, M.; Attenhofer Jost, C.H.; Kipfer, P.; Collins, S.P.; Michota, F.; Peacock, W.F. Acoustic cardiography augments prolonged QRS duration for detecting left ventricular dysfunction. Ann. Noninvasive Electrocardiol. 2007, 12, 316–328. [Google Scholar] [CrossRef] [PubMed]
- Smetzer, D.L.; Smith, C.R. Diastolic Heart Sounds of Horses. J. Am. Vet. Med. Assoc. 1965, 146, 937–944. [Google Scholar] [PubMed]
- Smetzer, D.L.; Smith, C.R.; Hamlin, R.L. The fourth heart sound in the equine. Ann. N. Y. Acad. Sci. 1965, 127, 306–321. [Google Scholar] [CrossRef]
- Patteson, M.W. Equine Cardiology; Blackwell Science: Oxford, UK, 1996. [Google Scholar]
- Hasan, A.; Abraham, W.T.; Quinn-Tate, L.; Brown, L.; Amkieh, A. Optimization of cardiac resynchronization devices using acoustic cardiography: A comparison to echocardiography. Congest. Heart Fail. 2006, 12, 25–31. [Google Scholar] [CrossRef]



| Audicor® Variable | Echocardiographic Variable | Rationale for Comparison |
|---|---|---|
| EMAT | PEPm | Both represent early systolic time intervals related to electromechanical activation; compared to assess agreement, acknowledging that EMAT is slightly shorter, as it excludes isovolumic contraction. |
| LVIVd (500) | LVIVd reflects preload, which may influence early systolic time intervals such as EMAT; included to explore preload effects on EMAT. | |
| SV | SV represents a global index of systolic function: compared to EMAT to evaluate their agreement as systolic function markers. | |
| LVST | ETm | Both reflect systolic ejection period; compared to assess agreement, acknowledging that LVST is slightly longer, as it includes isovolumic contraction. |
| LVIVd (500) | LVIVd reflects preload, which may influence ejection time intervals such as LVST; included to explore preload effects on LVST. | |
| SV | SV represents a global index of systolic function; compared to LVST to assess their agreement as systolic function markers. |
| Variable | Unit | AF Day −1 | NSR Day 1 | NSR ≥ 2 | |
|---|---|---|---|---|---|
| Mean ± SD [n] | Mean ± SD [n] | Mean ± SD [n] | p Value (F-Test or t-Test) | ||
| dmeans (95% CI) # | dmeans (95% CI) § | ||||
| dmeans (95% CI) $ | |||||
| HR | min | 52 ± 10 [20] | 36 ± 6 [21] | 34 ± 5 [16] | <0.0001 * |
| −16 (−23 to −9) | −17 (−26 to −9) | ||||
| −1 (−6 to 3) | |||||
| Variables of LA size | |||||
| LADmax (500) | cm | 12.2 ± 1.4 [22] | 12.6 ± 1.3 [21] | 12.7 ± 1.1 [17] | 0.1297 |
| 0.4 (−0.3 to 1.0) | 0.5 (−0.1 to 1.1) | ||||
| 0.1 (−0.4 to 0.6) | |||||
| LADmax/LVIDd | 1.09 ± 0.13 [20] | 1.08 ± 0.10 [21] | 1.10 ± 0.09 [16] | 0.5805 | |
| −0.01 (−0.08 to 0.06) | 0.01 (−0.08 to 0.10) | ||||
| 0.02 (−0.03 to 0.07) | |||||
| LADllx-max (500) | cm | 12.8 ± 1.0 [21] | 13.1 ± 1.0 [22] | 13.3 ± 0.8 [17] | 0.0135 |
| 0.3 (−0.1 to 0.6) | 0.5 (0.1 to 0.9) | ||||
| 0.3 (−0.2 to 0.7) | |||||
| LAAmax (500) | cm2 | 98.2 ± 10.4 [22] | 103.4 ± 12.4 [21] | 105.4 ± 9.2 [17] | 0.0229 |
| 5.2 (−1.0 to 11.5) | 7.2 (2.4 to 11.9) | ||||
| 2.0 (−3.4 to 7.3) | |||||
| LAsxAmax (500) | cm2 | 115.4 ± 12.6 [20] | 118.5 ± 13.8 [21] | 119.8 ± 11.8 [17] | 0.1468 |
| 3.0 (−2.4 to 8.5) | 4.4 (−2.4 to 11.3) | ||||
| 1.4 (−5.4 to 8.2) | |||||
| Variables of LA function | |||||
| active LA FAC | % | n/a | −11 ± 7 [15] | −2 ± 6 [15] | <0.0001 * |
| n/a | n/a | ||||
| 9 (6 to 12) | |||||
| LA RI | % | 24 ± 10 [22] | 29 ± 9 [21] | 38 ± 12 [17] | <0.0001 * |
| 5 (−0.4 to 11) | 14 (8 to 20) | ||||
| 9 (3 to 15) | |||||
| Active/total LA AC | n/a | −0.36 ± 0.27 [14] | −0.05 ± 0.15 [14] | 0.0001 * | |
| n/a | n/a | ||||
| 0.31 (0.19 to 0.44) | |||||
| Am (PW TDI) | cm/s | n/a | 4.7 ± 1.8 [10] | 6.0 ± 2.4 [10] | 0.1217 |
| n/a | n/a | ||||
| 1.3 (−0.4 to 3.0) | |||||
| Am (cTDI) | cm/s | n/a | 2.9 ± 1.0 [13] | 4.8 ± 2.2 [13] | 0.0027 * |
| n/a | n/a | ||||
| 1.9 (0.8 to 3.1) | |||||
| Em/Am (PW TDI) | n/a | 6.1 ± 2.6 [10] | 4.9 ± 1.7 [10] | 0.1975 | |
| n/a | n/a | ||||
| −1.2 (−3.1 to 0.8) | |||||
| Em/Am (cTDI) | n/a | 9.0 ± 3.7 [13] | 6.1 ± 2.5 [13] | 0.0079 | |
| n/a | n/a | ||||
| −2.9 (−4.9 to −0.9) | |||||
| Variable | Unit | AF Day −1 | NSR Day 1 | NSR ≥ 2 | |
|---|---|---|---|---|---|
| Mean ± SD [n] | Mean ± SD [n] | Mean ± SD [n] | p Value (F-Test or t-Test) | ||
| dmeans (95% CI) # | dmeans (95% CI) § | ||||
| dmeans (95% CI) $ | |||||
| Variables of LV size | |||||
| LVIDd (500) | cm | 11.3 ± 1.3 [20] | 11.7 ± 1.2 [21] | 11.6 ± 1.0 [16] | 0.2281 |
| 0.5 (−0.2 to 1.1) | 0.3 (−0.1 to 0.8) | ||||
| −0.1 (−0.7 to 0.5) | |||||
| LVIVd (500) | mL | 928 ± 203 [19] | 979 ± 191 [21] | 1068 ± 201 [17] | 0.0068 |
| 51 (−60 to 162) | 140 (54 to 226) | ||||
| 89 (−19 to 196) | |||||
| RWTd | 0.500 ± 0.065 [20] | 0.464 ± 0.068 [21] | 0.454 ± 0.048 [16] | 0.0617 | |
| −0.036 (−0.085 to 0.013) | −0.046 (−0.083 to −0.009) | ||||
| −0.010 (−0.054 to 0.035) | |||||
| Variables of LV function measured by 2D and M-mode echocardiography | |||||
| LV FS | % | 36 ± 8 [20] | 36 ± 9 [21] | 41 ± 5 [16] | 0.5055 |
| 0 (−3 to 4) | 5 (−1 to 10) | ||||
| 5 (−1 to 10) | |||||
| LV EF | % | 65 ± 6 [19] | 67 ± 7 [21] | 71 ± 5 [17] | 0.0866 |
| 2 (−2 to 5) | 6 (2 to 10) | ||||
| 4 (2 to 7) | |||||
| SV | mL | 671 ± 103 [19] | 729 ± 160 [21] | 886 ± 144 [17] | 0.0001 * |
| 58 (−37 to 152) | 215 (122 to 307) | ||||
| 157 (67 to 248) | |||||
| CO | L | 31.8 ± 5.4 [19] | 26.4 ± 6.0 [21] | 31.6 ± 6.3 [17] | 0.0046 |
| −5.4 (−8.9 to −1.8) | −0.1 (−6.2 to 5.9) | ||||
| 5.2 (0.9 to 9.6) | |||||
| Variables of LV function measured with PW TDI | |||||
| PEPm | ms | 168 ± 26 [15] | 181 ± 24 [16] | 176 ± 20 [12] | 0.2119 |
| 13 (−4 to 31) | 9 (−22 to 40) | ||||
| −5 (−17 to 8) | |||||
| PEPm-c | % | 14 ± 3 [15] | 11 ± 2 [16] | 10 ± 2 [12] | 0.0015 * |
| −3 (−6 to 0.1) | −4 (−8 to −0.2) | ||||
| −1 (−3 to 0.4) | |||||
| ETm | ms | 400 ± 52 [15] | 406 ± 45 [16] | 427 ± 28 [12] | 0.2415 |
| 6 (−28 to 39) | 27 (−32 to 85) | ||||
| 21 (−10 to 51) | |||||
| ETm-c | % | 34 ± 5 [15] | 25 ± 4 [16] | 24 ± 3 [12] | <0.0001 * |
| −9 (−14 to −5) | −10 (−15 to −5) | ||||
| −1 (−3 to 1) | |||||
| PEPm/ETm | 0.428 ± 0.101 [15] | 0.454 ± 0.093 [16] | 0.416 ± 0.056 [12] | 0.4254 | |
| 0.026 (−0.051 to 0.103) | −0.013 (−0.139 to 0.113) | ||||
| −0.039 (−0.092 to 0.015) | |||||
| IMPm | 0.387 ± 0.120 [15] | 0.451 ± 0.116 [16] | 0.405 ± 0.087 [12] | 0.2551 | |
| 0.064 (−0.020 to 0.148) | 0.017 (−0.138 to 0.172) | ||||
| −0.047 (−0.135 to 0.041) | |||||
| Sm | cm/s | 9.8 ± 1.9 [15] | 9.3 ± 1.5 [16] | 10.2 ± 1.6 [12] | 0.2325 |
| −0.6 (−1.7 to 0.6) | 0.4 (−1.5 to 2.3) | ||||
| 0.9 (−0.5 to 2.4) | |||||
| Em | cm/s | 28.4 ± 6.3 [15] | 26.4 ± 4.8 [16] | 26.3 ± 4.8 [12] | 0.1693 |
| −2.0 (−6.9 to 3.0) | −2.0 (−6.8 to 2.5) | ||||
| −0.2 (−4.6 to 4.2) | |||||
| Variables of LV function measured with cTDI | |||||
| PEPm | ms | 142 ± 21 [20] | 157 ± 28 [21] | 158 ± 21 [16] | 0.0348 |
| 14 (−1 to 29) | 16 (−3 to 35) | ||||
| 2 (−13 to 17) | |||||
| PEPm-c | % | 13 ± 2 [20] | 10 ± 2 [21] | 9 ± 2 [16] | <0.0001 * |
| −3 (−5 to −1) | −4 (−6 to −2) | ||||
| −1 (−2 to 1) | |||||
| ETm | msc | 400 ± 43 [20] | 417 ± 33 [21] | 426 ± 37 [16] | 0.1517 |
| 17 (−14 to 48) | 26 (−18 to 70) | ||||
| 9 (−15 to 32) | |||||
| ETm-c | % | 36 ± 4 [20] | 26 ± 4 [21] | 24 ± 2 [16] | <0.0001 * |
| −10 (−13 to −7) | −12 (−15 to −9) | ||||
| −2 (−4 to 1) | |||||
| PEPm/ETm | 0.362 ± 0.079 [20] | 0.380 ± 0.086 [21] | 0.376 ± 0.071 [16] | 0.6519 | |
| 0.018 (−0.042 to 0.077) | 0.014 (−0.067 to 0.096) | ||||
| −0.003 (−0.059 to 0.05) | |||||
| IMPm | 0.421 ± 0.088 [20] | 0.431 ± 0.095 [21] | 0.423 ± 0.080 [16] | 0.8525 | |
| 0.010 (−0.045 to 0.065) | 0.002 (−0.084 to 0.088) | ||||
| −0.008 (−0.078 to 0.062) | |||||
| Sm | cm/s | 7.9 ± 1.5 [20] | 7.7 ± 1.5 [21] | 8.5 ± 1.5 [16] | 0.2158 |
| −0.2 (−1.5 to 0.7) | 0.6 (−0.1 to 1.3) | ||||
| 0.8 (−0.02 to 1.5) | |||||
| Em | cm/s | 25.5 ± 4.0 [20] | 22.8 ± 4.9 [21] | 24.6 ± 4.4 [16] | 0.0679 |
| −2.7 (−5.6 to 0.3) | −0.8 (−3.6 to 2.0) | ||||
| 1.9 (−1.1 to 4.8) | |||||
| Variable | Unit | AF Day −1 | NSR Day 1 | NSR ≥ 2 | |
|---|---|---|---|---|---|
| Mean ± SD [n] | Mean ± SD [n] | Mean ± SD [n] | p Value (F-Test or t-Test) | ||
| dmeans (95% CI) # | dmeans (95% CI) § | ||||
| dmeans (95% CI) $ | |||||
| HR | min | 43 ± 6 [22] | 34 ± 3 [21] | 33 ± 4 [21] | <0.0001 * |
| −9 (−12 to −6) | −10 (−13 to −7) | ||||
| −1 (−3 to 1) | |||||
| EMAT | ms | 124 ± 15 [22] | 123 ± 18 [21] | 119 ± 24 [21] | 0.3852 |
| −1 (−10 to 8) | −5 (−16 to 6) | ||||
| −4 (−18 to 10) | |||||
| EMATc | % | 8 ± 2 [22] | 7 ± 1 [21] | 6 ± 2 [21] | <0.0001 * |
| −2 (−3 to −1) | −2 (−3 to −1) | ||||
| −0.4 (−2 to 1) | |||||
| LVST | ms | 473 ± 26 [22] | 498 ± 30 [21] | 503 ± 32 [21] | 0.0001 * |
| 25 (10 to 41) | 31 (19 to 42) | ||||
| 5 (−12 to 23) | |||||
| LVSTc | % | 35 ± 5 [22] | 28 ± 2 [21] | 27 ± 2 [21] | <0.0001 * |
| −6 (−9 to −4) | −7 (−10 to −5) | ||||
| −1 (−3 to 1) | |||||
| EMAT/LVST | 0.264 ± 0.038 [22] | 0.248 ± 0.047 [21] | 0.239 ± 0.058 [21] | 0.1112 | |
| −0.016 (−0.041 to 0.010) | −0.025 (−0.049 to −0.002) | ||||
| −0.01 (−0.047 to 0.028) | |||||
| S3 (°max) | 1–10 | 5.2 ± 0.6 [22] | 5.2 ± 1.3 [21] | 6.1 ± 1.7 [21] | 0.0167 |
| 0.1 (−0.8 to 0.9) | 1.0 (−0.1 to 2.0) | ||||
| 0.9 (−0.03 to 1.9) | |||||
| S4 (°max) | 1–10 | 3.3 ± 0.5 [22] | 2.9 ± 0.7 [21) | 2.9 ± 0.9 [21] | 0.2027 |
| −0.4 (−0.8 to 0.1) | −0.3 (−1.0 to 0.3) | ||||
| 0.03 (−0.5 to 0.6) | |||||
| SDI | 1–10 | 3.2 ± 0.8 [21] | 3.5 ± 1.2 [21) | 3.4 ± 1.1 [20] | 0.4265 |
| 0.3 (−0.5 to 1.1) | 0.3 (−0.2 to 0.7) | ||||
| −0.1 (−0.8 to 0.7) |
| Variable | Unit | AF Day −1 | NSR Day 1 | NSR ≥ 2 | |
|---|---|---|---|---|---|
| Mean ± SD [n] | Mean ± SD [n] | Mean ± SD [n] | p Value (F-Test or t-Test) | ||
| dmeans (95% CI) # | dmeans (95% CI) § | ||||
| dmeans (95% CI) $ | |||||
| HR | min | 37 ± 5 [12] | 35 ± 4 [14] | 34 ± 6 [13] | 0.3914 |
| −1 (−6 to 4) | −2 (−9 to 5) | ||||
| −1 (−4 to 2) | |||||
| QRS | ms | 111 ± 8 [12] | 114 ± 11 [14] | 119 ± 14 [13] | 0.1427 |
| 3 (−4 to 10) | 9 (−3 to 20) | ||||
| 6 (−5 to 16) | |||||
| QTc | % | 366 ± 21 [12] | 386 ± 23 [14] | 373 ± 28 [13] | 0.1214 |
| 20 (−3 to 43) | 7 (−30 to 43) | ||||
| −14 (−46 to 19) | |||||
| EMAT | ms | 128 ± 12 [12] | 124 ± 23 [14] | 118 ± 21 [13] | 0.6873 |
| −4 (−20 to 12) | −10 (−26 to 7) | ||||
| −6 (−19 to 8) | |||||
| EMATc | % | 10 ± 2 [12] | 10 ± 4 [14] | 11 ± 4 [13] | 0.4870 |
| −0.2 (−4 to 4) | 0.3 (−3 to 3) | ||||
| 1 (−1 to 2) | |||||
| LVST | ms | 439 ± 54 [12] | 444 ± 62 [14] | 412 ± 86 [13] | 0.4967 |
| 5 (−42 to 51) | −27 (−114 to 60) | ||||
| −32 (−89 to 26) | |||||
| LVSTc | % | 34 ± 2 [12] | 31 ± 3 [14] | 30 ± 4 [13] | 0.0104 |
| −3 (−6 to −0.4) | −4 (−7 to −1) | ||||
| −1 (−4 to 2) | |||||
| EMAT/LVST | 0.296 ± 0.048 [12] | 0.284 ± 0.060 [14] | 0.304 ± 0.107 [13] | 0.6474 | |
| −0.013 (−0.063 to 0.038) | 0.008 (−0.096 to 0.112) | ||||
| 0.021 (−0.069 to 0.111) | |||||
| S3 ≥ 5 | % | 10 ± 10 [12] | 11 ± 13 [14] | 10 ± 16 [13] | 0.6265 |
| 1 (−7 to 8) | −0.2 (−11 to 11) | ||||
| −1 (−9 to 8) | |||||
| SDI ≥ 5 | % | 5 ± 7 [12] | 8 ± 15 [14] | 13 ± 13 [13] | 0.1034 |
| 4 (−12 to 19) | 8 (−3 to 19) | ||||
| 4 (−5 to 13) | |||||
| EMATc ≥ 15 | % | 11 ± 13 [12] | 18 ± 23 [14] | 24 ± 23 [13] | 0.1274 |
| 7 (−20 to 34) | 13 (−10 to 35) | ||||
| 6 (−5 to 16) |
Disclaimer/Publisher’s Note: The statements, opinions and data contained in all publications are solely those of the individual author(s) and contributor(s) and not of MDPI and/or the editor(s). MDPI and/or the editor(s) disclaim responsibility for any injury to people or property resulting from any ideas, methods, instructions or products referred to in the content. |
© 2025 by the authors. Licensee MDPI, Basel, Switzerland. This article is an open access article distributed under the terms and conditions of the Creative Commons Attribution (CC BY) license (https://creativecommons.org/licenses/by/4.0/).
Share and Cite
Schneider, M.J.; Piotrowski, I.L.; Junge, H.K.; van Steenkiste, G.; Vernemmen, I.; van Loon, G.; Schwarzwald, C.C. Application of Acoustic Cardiography in Assessment of Cardiac Function in Horses with Atrial Fibrillation Before and After Cardioversion. Animals 2025, 15, 1993. https://doi.org/10.3390/ani15131993
Schneider MJ, Piotrowski IL, Junge HK, van Steenkiste G, Vernemmen I, van Loon G, Schwarzwald CC. Application of Acoustic Cardiography in Assessment of Cardiac Function in Horses with Atrial Fibrillation Before and After Cardioversion. Animals. 2025; 15(13):1993. https://doi.org/10.3390/ani15131993
Chicago/Turabian StyleSchneider, Mélodie J., Isabelle L. Piotrowski, Hannah K. Junge, Glenn van Steenkiste, Ingrid Vernemmen, Gunther van Loon, and Colin C. Schwarzwald. 2025. "Application of Acoustic Cardiography in Assessment of Cardiac Function in Horses with Atrial Fibrillation Before and After Cardioversion" Animals 15, no. 13: 1993. https://doi.org/10.3390/ani15131993
APA StyleSchneider, M. J., Piotrowski, I. L., Junge, H. K., van Steenkiste, G., Vernemmen, I., van Loon, G., & Schwarzwald, C. C. (2025). Application of Acoustic Cardiography in Assessment of Cardiac Function in Horses with Atrial Fibrillation Before and After Cardioversion. Animals, 15(13), 1993. https://doi.org/10.3390/ani15131993

