Next Article in Journal
Ocular Surface Characteristics in Pugs with Pigmentary Keratitis in the Canary Islands, Spain
Next Article in Special Issue
Effects of a Saccharomyces cerevisiae Fermentation Product on Diet Palatability and Feline Intestinal Health, Immunity, and Microbiome
Previous Article in Journal
Antimicrobial Tolerance in Salmonella: Contributions to Survival and Persistence in Processing Environments
Previous Article in Special Issue
The Impact of Fiber Source on Digestive Function, Fecal Microbiota, and Immune Response in Adult Dogs
 
 
Font Type:
Arial Georgia Verdana
Font Size:
Aa Aa Aa
Line Spacing:
Column Width:
Background:
Article

Supplementation with Silybum marianum Extract, Synbiotics, Omega-3 Fatty Acids, Vitamins, and Minerals: Impact on Biochemical Markers and Fecal Microbiome in Overweight Dogs

1
Department of Agrifood, Environmental and Animal Science, University of Udine, Via delle Scienze 206, 33100 Udine, Italy
2
Division of Epidemiology and Public Health, School of Medicine, University of Nottingham, Nottingham City Hospital Campus, Nottingham NG5 1PB, UK
3
Department of Veterinary Sciences, School of Agriculture and Veterinary Medicine, University of Turin, Grugliasco, 10095 Turin, Italy
*
Author to whom correspondence should be addressed.
Animals 2024, 14(4), 579; https://doi.org/10.3390/ani14040579
Submission received: 28 November 2023 / Revised: 24 January 2024 / Accepted: 6 February 2024 / Published: 9 February 2024
(This article belongs to the Special Issue Nutrition, Gut Microbiome and Health in Dogs and Cats)

Abstract

Simple Summary

The effects of a 35-day administration of a supplement containing extracts from Silybum marianum, prebiotics, probiotics, n-3 polyunsaturated fatty acids, minerals, and vitamins were considered in our research involving 10 overweight adult dogs. The supplement demonstrated positive impacts on ALP, glucose, direct bilirubin, and CRP, with a decrease observed during the 35-day administration period. Fecal microbiota diversity decreased just after 7 days from the beginning of supplement administration and recovered from day 14 onwards. However, there was significant individual variability in the interaction between the supplement and the microbiome. Overall, the study suggests a potential benefit of the supplement in supporting the health of overweight dogs.

Abstract

Overweight and obese dogs can develop metabolic dysfunction, characterized by an inflammatory response and involvement of liver functions. If a modulation of the gut microbiome and its interaction with the gut–liver axis is implicated in the development of metabolic dysfunction, exploration becomes necessary. Over the past decade, diverse therapeutic approaches have emerged to target pathogenic factors involved in metabolic dysfunction. This study investigated the impact of a supplement with hepatoprotective activity, containing extracts of Silybum marianum, prebiotics, probiotics, n-3 polyunsaturated fatty acids, vitamins, and minerals on hematological markers of liver functions and inflammation, as well as on the intestinal microbiota of 10 overweight adult dogs over a 35-day time span. Animals underwent clinical and laboratory evaluations every 7 days, both before the administration of the supplement (T0) and after 7, 14, 21, 28, and 35 days (T1, T2, T3, T4, and T5). In comparison to T0, a significant (p < 0.05) decrease in ALP, glucose, direct bilirubin, and CRP was observed from T3 to T5. The alpha diversity of the fecal microbiota significantly decreased (p < 0.05) only at T1, with high variability observed between dogs. Total short-chain fatty acid and lactic acid were also lower at T1 (p < 0.05) compared to the other times of sampling. The beta diversity of the fecal microbiota failed to show a clear pattern in relation to the sampling times. These results of blood parameters in overweight dogs show a reduction of the inflammation and an improvement of metabolic status during the study period, but the effective contribution of the supplement in this clinical outcome deserves further investigation. Furthermore, the considerable individual variability observed in the microbiome hinders the confident detection of supplement effects.

1. Introduction

Nutritionists have become increasingly aware of the importance of prevention in maintaining the health of companion animals. This heightened awareness has led to a surge in the popularity of dietary supplements for pets [1], typically consisting of one or more ingredients intended to complement their diet. These supplements serve the purpose of preventing nutritional deficiencies and often contain essential components like vitamins, minerals, amino acids, and essential fatty acids. They can also provide other functional compounds, such as herbs, nutraceutical plants, enzymes, and metabolites. In addition to their preventive role in disease development, nutritional and functional supplements also fall under the realm of complementary or alternative medicine. These supplements provide an alternative or adjunct approach to drug therapies, offering a means to minimize side effects [2]. The hepatoprotective activity of Silybum marianum in canine medicine has been reported [3,4,5] in relation to its antioxidant and anti-inflammatory activities. The liver plays a vital role in regulating the body’s internal antioxidant levels, primarily through the synthesis of glutathione, a significant intracellular antioxidant. Recurrent factors in obesity are the disrupted oxidative balance and alteration of liver function [6], along with an inflammatory response [7], emphasizing the importance of a well-rounded diet in achieving a favorable oxidative balance in dogs. Furthermore, Bahmani et al. [8] reported that the activity of Silybum marianum extends beyond hepatoprotection; it also has hypolipidemic and cardiovascular properties, preventing insulin resistance.
Oxidative stress arises when the production of reactive oxygen species (ROS) exceeds the body’s capacity to counteract them with antioxidant defense mechanisms. To effectively manage oxidative stress and inflammation, antioxidant supplementation with vitamins E and C is often recommended [9], in addition to nutraceuticals. These vitamins aid in building a robust antioxidant network, replenishing glutathione levels, and restoring the activity of glutathione peroxidase in the livers of dogs [10,11]. However, there are few studies on the effects of vitamins E and C on the treatment of liver diseases [12], and the American College of Veterinary Internal Medicine in 2019 [13] reported that no clinical study relating the effect of these vitamins on liver disease had been published at that time.
Choline and betaine are methyl donors and, together with sulfur-containing amino acids, participate in the synthesis of S-adenosylmethionine and glutathione [14]. In the biosynthesis of S-adenosylmethionine (SAM), choline and betaine act as intermediates and play a vital role. They act as precursors to phosphatidylcholine, enabling the transportation of fat from the liver to muscles and adipose tissue [15]. These compounds play a crucial role in the regulation of antioxidant defenses and in the anti-inflammatory response [16]. Omega-3 fatty acids are other compounds fed to dogs to control the inflammatory process [17]. Supplementation with a mixture of compounds is a strategy aimed at potentiating the control of oxidative stress and inflammation [4,18,19].
Moreover, there is a significant focus on understanding the role of gut microbiota in animal health [20,21] and in obesity [22,23], also considering the relationship between the gut and liver. This connection, known as the gut–liver axis [24], is maintained through a complex interplay of metabolic, immune, neuroendocrine, and microbial interactions, ensuring the regulation and stability of the gut–liver axis relationship via the portal circulation [25]. The tight junctions of the intestinal epithelium act as a natural barrier against bacteria and their metabolic by-products. When antigens, whether from pathogenic microorganisms or food, cross these junctions, they trigger an immune response that alters the behavior of T lymphocytes (T-regulatory cells and T-helper 17 cells), resulting in the release of inflammatory cytokines and chemokines that ultimately enter the portal circulation [26].
Given the influence of the microbiome on metabolic dysfunction, it becomes crucial to explore substances that can positively modulate the microbiota, preventing dysbiosis and inflammatory processes at the intestinal mucosal level.
Probiotics, prebiotics, and synbiotics have gained significant recognition as potential treatment options for liver disease in humans [27]. The concept of “synbiotics” refers to the combination of prebiotics and probiotics, acting synergistically by providing the former with substrates for the latter to better survive within the gut, thus promoting the production of short-chain fatty acids (SCFAs). These SCFAs can serve as energy substances for intestinal cells [21], mimicking the effects of probiotics [20]. In this way, prebiotics contribute to promoting a healthy intestinal environment and fostering a symbiotic relationship between the host and beneficial microorganisms [28,29]. In particular, prebiotics are substances that stimulate the growth or activity of microorganisms, functioning as undigested foods that aid in intestinal peristalsis and selectively promoting the growth of beneficial intestinal bacteria. Certain prebiotics, such as fructo-oligosaccharides (FOS), have demonstrated potential in reducing signs of liver damage in humans by restoring levels of beneficial bacteria, making them a promising therapeutic option [30,31].
Considering the positive activity of natural compounds on liver and metabolic functions and gut health, in the present study, we wanted to investigate the safety and efficacy of a supplement made with a mix of nutraceuticals in overweight dogs. We evaluated changes in biochemical parameters and assessed the impact on the composition of the gut microbiome.

2. Materials and Methods

2.1. Animals and Study Design

A total of 10 adult overweight dogs were carefully selected from a veterinary clinic in Italy (Table 1). The inclusion criteria for dogs in the study were overweight and body condition score (BCS) higher than normal. Enlisted dogs exhibited at least one of the altered liver parameters: AST, ALT, ALP, GGT, or direct bilirubin. Additionally, subjects had at least one altered metabolic parameter: glucose, triglycerides, or CRP higher than the reference value. On the basis of the medical history and general clinical examinations by the veterinarian, other diseases, such as kidney disease, dermatitis, otitis, inflammatory bowel disease, and diabetes were excluded, and dogs were free from internal and external parasites, and not under pharmacological treatments for the last 30 days. The study was approved by the Ethical Committee of the University of Turin (Protocol N° 1234 of 14 April 2022). After obtaining informed consent from the pet owners, the dogs remained domiciled at their usual site for the entire duration of the study, ensuring minimal disruption to their daily routines.
At the commencement of the trial (T0) and subsequently during every week of treatment, comprehensive nutritional assessments and physical examinations were conducted by the clinicians on the subjects to evaluate their overall health and monitor any changes. Body weight (kg) and body condition score (BCS) were recorded at the beginning of the study. BCS assessments were conducted by a trained veterinarian who assigned values ranging from one to nine [32], with a BCS score of four or five considered the ideal value according to FEDIAF guidelines [33].
Throughout a period of 42 days, dogs were closely monitored and observed, with regular check-ups conducted at the veterinary facility. To establish the daily portion of the maintenance diet, the estimated requirements were computed following NRC guidelines [34] using the value of 110 kcal of metabolizable energy per kg metabolic live weight. Since the aim was to evaluate the effects of the supplement on blood and fecal parameters, the owners were asked to feed the amount of feed indicated on the commercial label of the complete diets. After 7 days of adjustment of the amount of food, the subjects continued to be fed with the same regular maintenance adult diet. After these 7 days, a supplementary feed, consisting of 1 tablet (2 g) per 15 kg of body weight, was given every 24 h, which continued to be provided throughout the study duration.
The supplement contained a combination of natural ingredients as reported in Table 2. The formulation of supplements was based on the published data by Marchegiani et al. [35].
At weekly intervals, following a longitudinal study design, the attending veterinarian conducted thorough clinical examinations of the subjects and evaluated biochemical data to monitor the general health of the animal. Fecal and blood samples were collected starting at 7 days from the enrolment of the dog (T0) and then after 7, 14, 21, 28, and 35 days (T1, T2, T3, T4, and T5, respectively).

2.2. Laboratory Analysis

2.2.1. Blood Analysis

Blood tests on serum samples were conducted to assess specific parameters linked to liver functions and metabolism, including aspartate transaminase (AST), alanine transaminase (ALT), alkaline phosphatase (ALP), gamma glutamyl transaminase (GGT), glucose, triglycerides, direct bilirubin, and C-reactive protein (CRP). For the biochemical parameters, we used Catalyst I (IDEXX Laboratories, Inc.; Westbrook, ME, USA) and for the CRP parameter, we utilized the rapid test TestICT (Diagnosticavet srl, Milan, Italy).

2.2.2. Microbiome Analysis

Fecal samples were collected by the owner on the day of the enrolment (T0) and before each of the other scheduled weekly appointments. Owners were instructed to collect stools in a plastic sterile collection tube and to store them immediately at −20 °C. The samples were delivered in an ice pack box to the clinic on the day of the appointment and stored at −20 °C. At the end of the 35 days of the trial, all fecal samples were delivered in an ice pack box to the veterinary clinic and immediately sent to the laboratory for analysis [36].
To quantify the content of SCFAs, namely acetate, propionate, butyrate, isobutyrate, isovalerate, and lactic acid in fecal samples, high-performance liquid chromatography (HPLC) equipment was employed (Shimadzu Corporation, Kyoto, Japan). Fecal samples (1 g) were diluted 1:20 with H2SO4 0.1 N (Carlo Erba, Milan, Italy) and briefly vortexed, and then centrifuged at 4000× g for 15 min in a centrifuge (5804R, Eppendorf AG, Hamburg, Germany). Supernatants were filtered through syringe filters (RC 0.45 μm, 25 mm, DTO Servizi Srl, Venice, Italy) and the filtrate was transferred into an autosampler vial. Twenty microliters (20 μL) were injected into HPLC Shimadzu LC-20AT, equipped with a Prominence SPD-M20A photodiode-array detector. For separation, an Aminex HPX-87H column (300 mm × 7.8 mm) and a pre-column (Bio-Rad, Hercules, CA, USA) were used. Peaks of analytes were identified by comparing the retention times of standard mixtures to those of the samples, and quantification was based on peak area measurements by the external standard method. Standards of acetic, propionic, butyric, isobutyric, isovaleric, valeric, and lactic acid were obtained from Merck (Darmstadt, Germany).
Total DNA was extracted from 150 mg of feces using a fecal DNA miniprep kit (Zymo Research; Irvine, CA, USA), following the manufacturer’s instructions. After the extraction, quantification and quality assessment were performed using a QubitTM 3 Fluorometer (Thermo Scientific; Waltham, MA, USA). Libraries were prepared by amplifying the V3 and V4 regions of the 16S rRNA gene, incorporating indexes for sequencing. This was accomplished using a Nextera DNA Library Prep kit (Illumina; San Diego, CA, USA), following the manufacturer’s instructions and utilizing specific primers [37]. The resulting amplicons were sequenced on a MiSeq platform (Illumina; San Diego, CA, USA) in 2 × 250 paired-end mode, adhering to standard procedures and generating a sequencing depth of 50,000 reads.
The effectiveness of the entire pipeline, from DNA extraction to taxonomic annotation, was assessed using a ZymoBIOMICSTM Microbial Community Standard (Zymo Research, Irvine, CA, USA). According to the manufacturer’s specifications, the mock community included eight bacterial species with their corresponding percentages: Pseudomonas aeruginosa (4.2%), Escherichia coli (10.1%), Salmonella enterica (10.4%), Lactobacillus fermentum (18.4%), Enterococcus faecalis (9.9%), Staphylococcus aureus (15.5%), Listeria monocytogenes (14.1%), and Bacillus subtilis (17.4%).

2.3. Bioinformatic and Statistical Analysis

The initial raw sequences (FASTQ) from the 10 DNA isolation samples were processed using the bioinformatic tool Quantitative Insights Into Microbial Ecology 2 (QIIME 2) [38]. After demultiplexing, the sequenced reads meeting the quality threshold (Phred score ≥ 30) were identified, and chimeras were filtered out. The remaining high-quality sequences were then clustered into amplicon sequence variants (ASV) against the Greengenes database [39] for 16S rRNA. Alpha diversity between dogs and times of treatment was reported as a Shannon rarefaction curve, and comparison of evenness was also computed. To evaluate beta diversity, the phylogeny was constructed based on the weighted UniFrac distance metric [40], and the results were visualized using Principal Coordinate Analysis (PCoA) plots. The differences in community composition were assessed by performing a permutational multivariate analysis of variance (PERMANOVA) using weighted UniFrac distances.
The normalized relative abundance profiles (RAs) of taxa were obtained for annotated sequences for each sample. Data were uploaded into the MicrobiomeAnalyst suite [41] for further statistical evaluation, including LefSe, single analysis, and multifactorial analysis, with times of sampling as the main factors. In the multifactorial analysis, the dog was considered to be a covariate to determine its impact on community composition. The raw sequence data were subsequently uploaded to the NCBI Sequence Read Archive (PRJNA1051361).
Blood variables were analyzed using the mixed model procedure of SPSS v. 25 [42] with time as a repeated factor and subjects as a random factor.

3. Results

The mean ± sd values of enzymatic activity (AST, ALT, ALP, and GGT) and concentrations of glucose, triglycerides, direct bilirubin, and CRP in the serum sampled from the dogs before and after the administration of a supplement over a time span of 35 days are reported in Table 3.
The activity of AST at the start of the study, before supplement administration (T0), was 49.5 UI/L and decreased to 31.0 UI/L after 14 days (T2; p < 0.05). Subsequently, there was an increase in AST, and the values were not different from T0 or T2. The mean ALT activity was higher than the reference value at T0 and decreased from T0 to T5, with the lowest values at T1, but these differences were not significant. The mean ALP decreased from the initial values (T0) until T3 (p < 0.05). Although there was a decrease in ALP, all mean values for all time points remained higher than the maximum reference value.
The mean GGT activity did not vary between sampling times, although a slight decrease was observed. At T0 and T1, the mean glucose concentrations were significantly (p < 0.05) higher than at T3, T4, and T5, but all the values were within the reference range. Triglycerides showed a trend similar to glucose, with a constant decrease from T0 to T5, but due to wide individual variability, the changes in concentration were not significantly different. At time point T0, the direct bilirubin concentration was 0.6 mg/100 mL, which was above the normal reference range. At T1 and T2, the direct bilirubin concentration was reduced to 0.4 mg/100 mL, and fell within the normal reference range for T3, T4, and T5 (p < 0.05). The initial CRP concentration (T0) was 1.2 mg/L, exhibiting a significant decrease (p < 0.05) until the sampling time T3 (0.6 mg/L), and it maintained stability throughout the remaining duration of the study.
The evaluation of the effect of supplementation on the gut microbiome was considered in terms of the composition of the bacterial population and the main products of fermentation, namely SCFAs and lactic acid.
Figure 1A contains data representing the values of the Shannon index of alpha diversity in the intestinal microbiota of the 10 adult dogs over the course of a complementary diet intervention at different time points (T0, T1, T2, T3, T4, and T5). There was not a large variation in the index for each time of sampling, and the p-value of the ANOVA test indicates that there were no statistically significant differences in these values, suggesting limited dynamic changes in the taxa abundances during the dietary intervention.
The data provided in Figure 1B represent the alpha diversity values for each dog during the study and highlight the wide variations between the subjects (p < 0.05). Some dogs exhibit alpha diversity values higher than three (D8, D1, D10), while others have values around two (D6, D2). Conversely, the rarefaction curves clearly indicated that the sequence depth was appropriate to describe the diversity of the microbiome in the fecal samples.
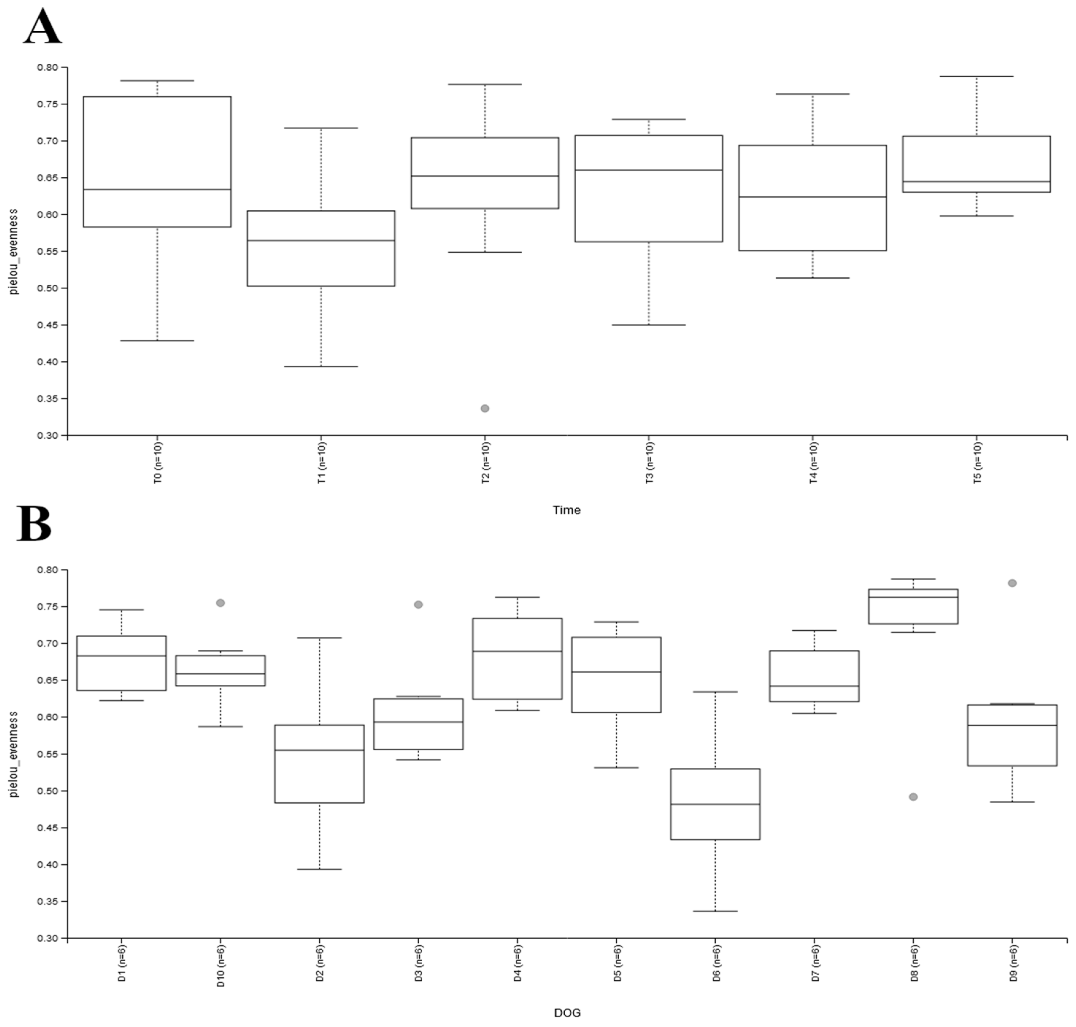
The evenness, calculated starting from the alpha biodiversity, was significantly lower (p < 0.05) at T1 compared to T0. For the samples collected after T1 (Figure 2A), the evenness was not significantly different from T0. However, the variability between dogs was significant (Figure 2A), with D6 having the lowest and D8 the highest values. Of note, the within-dog variability of evenness was very reduced for four dogs (D5, D3, D8, and D10) in comparison to the other subjects, confirming the large individual variability.
The beta diversity was assessed using weighted UniFrac distances (Figure 3A) for adult dogs over 35 days (T0 to T5). The graphical appraisal showed that the samples from T0 to T5 did not cluster and were almost scattered, underlining limited variations during the time course of the study. The results of beta diversity distances for different dogs showed two distinct clusters of samples representing dogs D7 and D4, while the samples from other dogs were more scattered and tended to overlap (Figure 3B).
As a final evaluation of the variation of the fecal microbiome in relation to supplement administration, the comparison of relative abundances (RAs) between times of sampling was computed and features significantly different are reported in Figure 4.
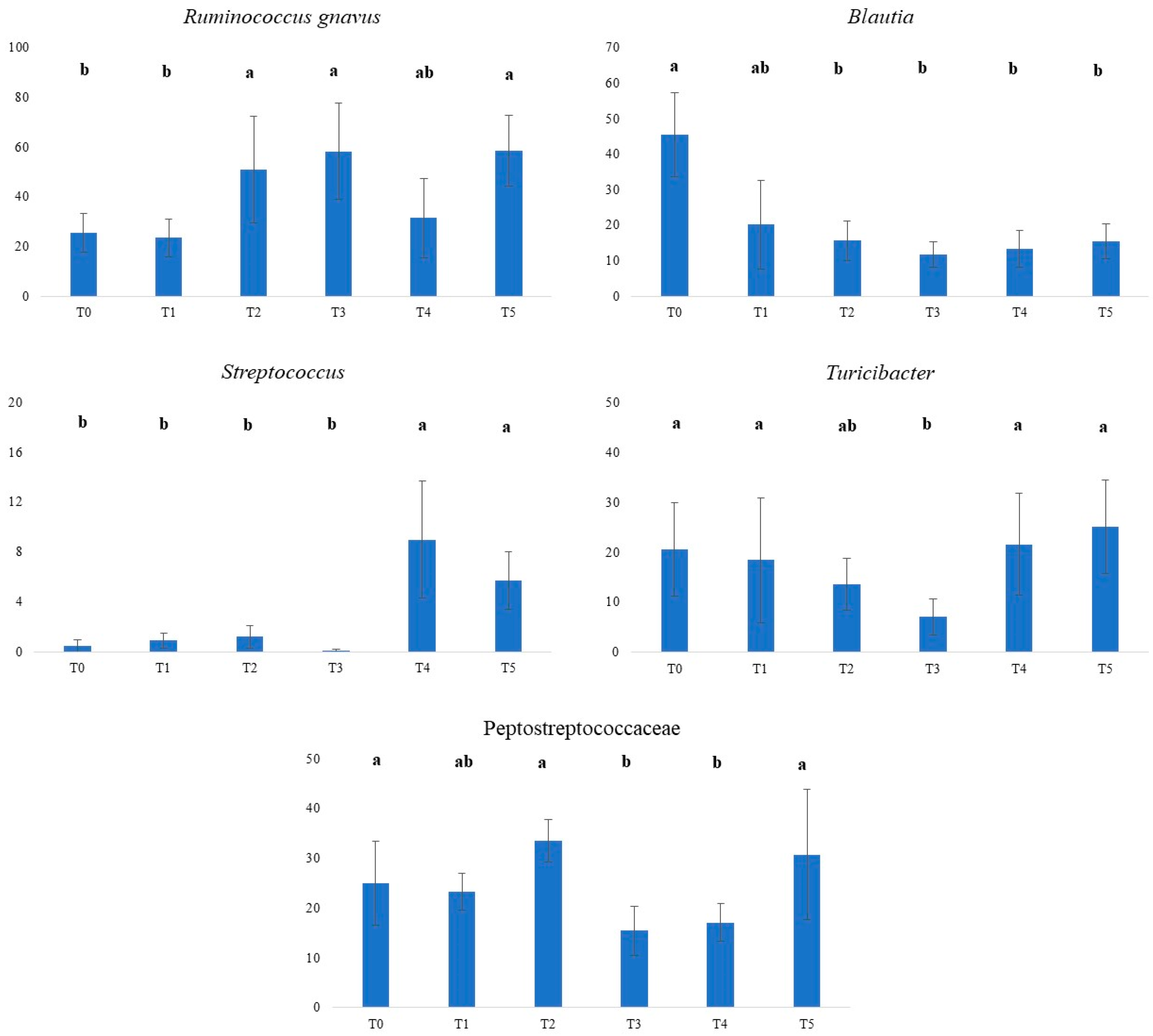
Ruminococcus gnavus showed a large fluctuation over the specified time points. Notably, the highest RA of Ruminococcus gnavus was at T3 and T5 (58.4 and 58.6, respectively) and these values were higher than those measured at T0 and T1 (25.6 and 23.7, respectively; p < 0.05). Apart from the decrease from T3 to T4, we can consider that this species increased after the administration of the supplement. The variations in RA of Blautia in adult dogs with liver damage after the administration of the supplement dramatically decreased (p < 0.05) from T0 to the other time points of sampling. At T0, the highest RA of Blautia accounted for 45.5, indicating a high presence of this microbial species at the beginning of the study, and the lowest was 11.8 at T3. The RAs of Streptococcus were very low from T0 to T3 and sharply increased at T4 and T5, reaching values of 9.0 and 5.7 (p < 0.05).
In relation to the initial RA at T0, Turicibacter showed a fluctuation, decreasing until T3 (p < 0.05), followed by an increase to a basal value at T5, and the mean values ranged from 7.1 to 25.1. The RA of the family of Peptostreptococcaceae remained relatively stable at T0 and T1, notably increased at T2 (33.5), and had the lowest values at T3 (15.5) and T4 (17.1). These differences were statistically significant (p < 0.05).
Table 4 reports the concentrations of total SCFA in μmol/g and lactic acid in percentage at the different time points (T0 to T5) in 10 overweight adult dogs. The concentrations of SCFA and lactic acid and were significantly (p < 0.05) lower at T1 (213.9 μmol/g) and significantly (p < 0.05) higher at T3 (249.7 μmol/g). Lactic acid concentrations were lower at T1 (0.4 μmol/g) and were significantly (p < 0.05) higher at T3 (2.6 μmol/g) and T5 (2.5 μmol/g).
During supplement administration, lactic acid levels displayed dynamic fluctuations, initially declining and subsequently increasing, hinting at possible shifts in metabolic processes. Meanwhile, the levels of acetic acid, propionic acid, isobutyric acid, butyric acid, and isovaleric acid remained relatively constant throughout the study, showing no significant changes.

4. Discussion

The study involved 10 adult dogs fed with a supplement over the course of 35 days, with a focus on assessing the impact on overall well-being and biochemical parameters. Additionally, the study aimed to evaluate changes in the composition of the intestinal microbiota.
According to the inclusion criteria and biochemical data (Table 3), dogs were overweight, with associated liver damage, and had one or more blood parameters out of range of the reference value. In humans, metabolic syndrome is a complex dysfunction that increases the risk of cardiovascular disease, liver damage, and non-insulin dependent diabetes mellitus [43]. In dogs, metabolic syndrome is not yet clearly recognized [44], and a similar condition is reported as obesity-related metabolic dysfunction. Dogs suffering from metabolic dysfunction associated with obesity show higher ALT, ALP, glucose, and triglycerides in comparison to healthy dogs [45]. Obese dogs often exhibit oxidative stress and inflammation [6,7], which, in turn, can affect liver functions. As reported by Gommeren et al. [46] and Torrente et al. [47], a high concentration of CRP is associated with a systemic inflammatory condition and can be used to monitor the progress of recovery during treatments.
After the administration of the supplement, a significant improvement in ALP, glucose, direct bilirubin, and CRP was observed starting from T3 (Table 3), supporting a positive effect on liver functions and metabolic condition in the 10 overweight dogs.
The supplement contained different compounds, and it is not feasible to understand the main roles of each of them. The use of a multi-compound supplement is a limitation of the study, since this does not allow for the clear elucidation of compound-specific activity. On the other hand, in clinical practice, supplements often consist of a blend of different ingredients that require testing in in vivo trials.
Silybum marianum is a biennial plant belonging to the Asteraceae family. The predominant active constituent of the extract is silymarin, a phytocomplex composed of various flavonoids, with silybin, isosilybin, silychristin, and silydianin being the most significant ones, primarily concentrated in its fruits and seeds [48]. In humans, silymarin possesses multiple beneficial effects for hepatobiliary disease treatment, encompassing antioxidant, anti-inflammatory, and antifibrotic properties [49,50]. Supplementation with Silybum marianum to support the treatment of liver disease could also be postulated in dogs [5,51]. In a previous study of dogs with liver disease [5], the plasma activity of ALT was significantly reduced, and paraxonose activity increased after 60 days of treatment with silymarin. Moreover, the mRNA expression of mitochondrial SOD2 was significantly upregulated. In the study by Gogulsky et al. [52] the oral administration of silymarin in dogs with hepatopathy resulted in a significant decrease in the plasma activity of ALT, AST, and GGT. Other compounds with anti-inflammatory activity are EPA and DHA, which mediate the release of proinflammatory cytokines [53]. Specifically, EPA stimulates the biosynthesis of resolvins, and DHA stimulates the biosynthesis of resolvins, maresins, and protectins. In humans, the dietary administration of n-3 PUFA is beneficial for the treatment of non-alcoholic fatty liver disease [54,55]. In dogs, there is no proven evidence for the efficacy of EPA and DHA on liver disease, but anti-inflammatory activity is reported for other conditions, such as atopic dermatitis [17] and atrial fibrillation [56].
Although ALP, CRP, glucose, and direct bilirubin could indicate a recovery of the dogs from inflammation and metabolic dysfunction, the fecal microbiome showed only a transient decrease in alpha diversity after 7 days (T0) of supplement administration (Figure 2, p < 0.05).
The administration of Bacillus subtilis to weaned puppies, together with other ingredients, caused only minor modification to the RA of fecal microbiota [57]. The species is considered positive for the gut health of dogs, affecting the production of SCFAs [58,59]. But, in the present study, changes in the microbiome were not in line with previous studies. Our results agree with those of Isidori et al. [60] for dogs with chronic inflammatory enteropathy supplemented with a dose of 125 billion B. Subtilis, which is comparable to what we used. The authors did not find significant variations in SCFAs, alpha diversity, and beta diversity in the fecal samples in relation to the administration of B. Subtilis.
The supplement fed to the dogs in the present study also contained FOS and beta glucans from barley, which are prebiotics known to modify fecal microbiota and end products of fermentation in dogs [61,62,63]. However, the amounts of prebiotics contained in our supplement was much lower than those used in these studies, and they are likely to have a very small effect on the gut bacterial population. In another study, FOS were administered either independently or in conjunction with mannan-oligosaccharide to dogs whose diet primarily consisted of meat. This resulted in elevated ileal immunoglobulin A concentrations but reduced concentrations of fecal total indole and phenol [64]. Flickinger et al. [65] reported that in adult male beagles, an oligofructose-enriched diet decreased fecal ammonia and Clostridium perfringens concentrations, while total aerobes increased, thus ameliorating overall dog health.
Nutraceuticals from plant extracts can also modify gut microbiota, and polyphenols have gained the attention of researchers of dogs [18,36,66]. However, to the best of our knowledge, no results are available in the literature concerning the effect of Silybum marianum on the fecal microbiota of dogs, although silybin has been reported to positively affect the microbial population of the gut. Interestingly, studies conducted by Wang et al. [67] indicated a beneficial effect of silybin on the gut microbiota of mice.
The slight variation observed in the fecal microbiome of dogs was probably due to the different effects of each compound contained in the supplement on microbial populations. However, other factors can be implied, as deducted from the large individual variability of the fecal microbiome at the beginning of the study and later after feeding the supplement (Figure 2 and Figure 3).
In our study, the fluctuation in the relative abundance of Turicibacter, the linear decrease in Blautia with the times of sampling, and the higher relative abundance of Streptococcus at T4 and T5 (Figure 4) would suggest that the supplement decreased the overall health condition of the gut. In the dysbiosis index proposed by AlShawaqfeh et al. [68], Blautia and Turicibacter contribute positively to gut health, while Streptococcus has a negative impact. Conversely, the relative abundance of Ruminococcus gnavus was higher at the end of the study (T5) in comparison to T0 and T1. This species, or at least some strains, is thought to have beneficial roles in the guts of humans [69] and possibly in dogs [10]. Blautia, Turicibacter, and Ruminococcus gnavus are considered butyrate-producing bacteria [27,70,71,72] and their variation would impact SCFA fecal content. However, the results reported in Table 4 did not show any variation in individual and total SCFA, apart from T1. It is likely that in the complex microbiota ecosystem of the gut, the ecological niche of these bacteria was occupied by other taxa.
The study has some limitations, including the relatively small sample size of dogs and the absence of a control group. Additionally, the dogs were kept on their usual diets, making it challenging to determine the specific quantities of the nutrients they consumed. Consequently, the interpretation of the study’s findings is confined to understanding the impact of adding a supplement within the context of a typical nutrient intake.

5. Conclusions

Our study and results highlight the individualized nature of the diet–microbiota relationship in overweight adult dogs. The dietary supplement had positive effects on blood parameters associated with the liver and on metabolic dysfunction. The dogs displayed considerable inter-individual variation in microbiota composition, and overall, the supplement’s impact on the gut microbiota was complex and not uniform. These findings underscore the importance of considering individual variability when assessing the effects of dietary interventions on canine health. The limited number of studies in the literature emphasizes the need for further research to understand the effectiveness of dietary supplements for metabolic dysfunction and associated liver alterations in overweight dogs.

Author Contributions

Conceptualization, G.M. and E.M.; methodology, F.B., B.S. and M.S.; blood analysis, D.A., G.M. and E.M.; microbiome analysis, F.B., B.S. and M.S.; bioinformatic and statistical analysis, F.B. and B.S.; investigation, G.M., E.M. and D.A.; writing, F.B., B.S., E.M.; funding acquisition, G.M. All authors have read and agreed to the published version of the manuscript.

Funding

This research received no external funding.

Institutional Review Board Statement

The study was approved by the Ethical Committee of the University of Turin (Protocol N° 1234 of 14 April 2022).

Informed Consent Statement

All owners provided written informed consent prior to the enrollment of their pet.

Data Availability Statement

Raw sequence data are available at NCBI Sequence Read Archive (PRJNA1051361).

Acknowledgments

We would like to thank the Clinica Veterinaria Mattalia (Margarita, CN, Italy) for their support during the trial.

Conflicts of Interest

The authors declare no conflict of interest.

References

  1. Krawczyk, M.; Grąt, M.; Barski, K.; Ligocka, J.; Antczak, A.; Kornasiewicz, O.; Skalski, M.; Patkowski, W.; Nyckowski, P.; Zieniewicz, K.; et al. 1000 liver transplantations at the Department of General, Transplant and Liver Surgery, Medical University of Warsaw—Analysis of indications and results. Pol. Przegl. Chir. 2012, 84, 304–312. [Google Scholar] [CrossRef] [PubMed]
  2. De Almeida Andrade, F.; Schlechta Portella, C.F. Research methods in complementary and alternative medicine: An integrative review. J. Integr. Med. 2018, 16, 6–13. [Google Scholar] [CrossRef] [PubMed]
  3. Martello, E.; Perondi, F.; Bisanzio, D.; Lippi, I.; Meineri, G.; Gabriele, V. Antioxidant Effect of a Dietary Supplement Containing Fermentative S-Acetyl-Glutathione and Silybin in Dogs with Liver Disease. Vet. Sci. 2023, 10, 131. [Google Scholar] [CrossRef] [PubMed]
  4. Perondi, F.; Bisanzio, D.; Adami, R.; Lippi, I.; Meineri, G.; Cutrignelli, M.I.; Massa, S.; Martello, E. The effect of a diet supplement containing S-acetyl-glutathione (SAG) and other antioxidant natural ingredients on glutathione peroxidase in healthy dogs: A pilot study. Ital. J. Anim. Sci. 2023, 22, 589–593. [Google Scholar] [CrossRef]
  5. Sgorlon, S.; Stefanon, B.; Sandri, M.; Colitti, M. Nutrigenomic activity of plant derived compounds in health and disease: Results of a dietary intervention study in dog. Res. Vet. Sci. 2016, 109, 142–148. [Google Scholar] [CrossRef]
  6. Murai, T.; Kawasumi, K.; Tominaga, K.; Okada, Y.; Kobayashi, M.; Arai, T. Effects of astaxanthin supplementation in healthy and obese dogs. Vet. Med. 2019, 10, 29–35. [Google Scholar] [CrossRef] [PubMed]
  7. Barić Rafaj, R.; Kuleš, J.; Marinculić, A.; Tvarijonaviciute, A.; Ceron, J.; Mihaljević, Ž.; Tumpa, A.; Mrljak, V. Plasma markers of inflammation and hemostatic and endothelial activity in naturally overweight and obese dogs. BMC Vet. Res. 2017, 13, 13. [Google Scholar] [CrossRef]
  8. Bahmani, M.; Shirzad, H.; Rafieian, S.; Rafieian-Kopaei, M. Silybum marianum: Beyond Hepatoprotection. J. Evid. Based Complement. Altern. Med. 2015, 20, 292–301. [Google Scholar] [CrossRef]
  9. Margaritelis, N.V.; Veskoukis, A.S.; Paschalis, V.; Vrabas, I.S.; Dipla, K.; Zafeiridis, A.; Kyparos, A.; Nikolaidis, M.G. Blood reflects tissue oxidative stress: A systematic review. Biomarkers 2015, 20, 97–108. [Google Scholar] [CrossRef]
  10. Li, Q.; Lauber, C.L.; Czarnecki-Maulden, G.; Pan, Y.; Hannah, S.S. Effects of the Dietary Protein and Carbohydrate Ratio on Gut Microbiomes in Dogs of Different Body Conditions. mBio 2017, 8, e01703-16. [Google Scholar] [CrossRef]
  11. Barry-Heffernan, C.; Ekena, J.; Dowling, S.; Pinkerton, M.E.; Viviano, K. Biomarkers of oxidative stress as an assessment of the redox status of the liver in dogs. J. Vet. Intern. Med. 2019, 33, 611–617. [Google Scholar] [CrossRef]
  12. Habermaass, V.; Olivero, D.; Gori, E.; Mariti, C.; Longhi, E.; Marchetti, V. Intestinal Microbiome in Dogs with Chronic Hepatobiliary Disease: Can We Talk about the Gut-Liver Axis? Animals 2023, 13, 3174. [Google Scholar] [CrossRef]
  13. Webster, C.R.L.; Center, S.A.; Cullen, J.M.; Penninck, D.G.; Richter, K.P.; Twedt, D.C.; Watson, P.J. ACVIM consensus statement on the diagnosis and treatment of chronic hepatitis in dogs. J. Vet. Intern. Med. 2019, 33, 1173–1200. [Google Scholar] [CrossRef] [PubMed]
  14. Lu, S.C. Regulation of glutathione synthesis. Mol. Asp. Med. 2009, 30, 42–59. [Google Scholar] [CrossRef] [PubMed]
  15. Sherriff, J.L.; O’Sullivan, T.A.; Properzi, C.; Oddo, J.L.; Adams, L.A. Choline, Its Potential Role in Nonalcoholic Fatty Liver Disease, and the Case for Human and Bacterial Genes. Adv. Nutr. 2016, 7, 5–13. [Google Scholar] [CrossRef]
  16. Lee, S.Y.; Ko, K.S. Protective Effects of S-Adenosylmethionine and Its Combinations with Taurine and/or Betaine Against Lipopolysaccharide or Polyinosinic-polycytidylic Acid-induced Acute Hepatotoxicity. J. Cancer Prev. 2016, 21, 152–163. [Google Scholar] [CrossRef] [PubMed]
  17. Nishiyama, T.; Kusakabe, M.; Imanishi, I.; Hisano, T.; Fukamachi, T.; Taguchi, N.; Iyori, K.; Hsiao, Y.H. A randomised, double-blinded, controlled trial to determine the efficacy of combined therapy of oclacitinib and marine oil extract PCSO-524 in dogs with atopic dermatitis. Vet. Dermatol. 2023, 34, 523–531. [Google Scholar] [CrossRef]
  18. Ephraim, E.; Brockman, J.A.; Jewell, D.E. A Diet Supplemented with Polyphenols, Prebiotics and Omega-3 Fatty Acids Modulates the Intestinal Microbiota and Improves the Profile of Metabolites Linked with Anxiety in Dogs. Biology 2022, 11, 976. [Google Scholar] [CrossRef]
  19. Giannetto, C.; Arfuso, F.; Giudice, E.; Rizzo, M.; Piccione, G.; Mhalhel, K.; Levanti, M. Antioxidant and Hepatoprotective Effect of a Nutritional Supplement with Silymarin Phytosome, Choline Chloride, l-Cystine, Artichoke, and Vitamin E in Dogs. Antioxidants 2022, 11, 2339. [Google Scholar] [CrossRef]
  20. Pilla, R.; Suchodolski, J.S. The Role of the Canine Gut Microbiome and Metabolome in Health and Gastrointestinal Disease. Front. Vet. Sci. 2020, 6, 498. [Google Scholar] [CrossRef] [PubMed]
  21. Chen, W.; Zhang, S.; Wu, J.; Ye, T.; Wang, S.; Wang, P.; Xing, D. Butyrate-producing bacteria, and the gut-heart axis in atherosclerosis. Clin. Chim. Acta Int. J. Clin. Chem. 2020, 507, 236–241. [Google Scholar] [CrossRef]
  22. Oba, P.M.; Kelly, J.; Kostiuk, D.; Swanson, K.S. Effects of weight loss and feeding specially formulated diets on the body composition, blood metabolite profiles, voluntary physical activity, and fecal metabolites and microbiota of obese dogs. J. Anim. Sci. 2023, 101, skad073. [Google Scholar] [CrossRef] [PubMed]
  23. Phungviwatnikul, T.; Lee, A.H.; Belchik, S.E.; Suchodolski, J.S.; Swanson, K.S. Weight loss and high-protein, high-fiber diet consumption impact blood metabolite profiles, body composition, voluntary physical activity, fecal microbiota, and fecal metabolites of adult dogs. J. Anim. Sci. 2022, 100, skab379. [Google Scholar] [CrossRef]
  24. Albillos, A.; de Gottardi, A.; Rescigno, M. The gut-liver axis in liver disease: Pathophysiological basis for therapy. J. Hepatol. 2020, 72, 558–577. [Google Scholar] [CrossRef]
  25. Shalaby, N.; Samocha-Bonet, D.; Kaakoush, N.O.; Danta, M. The Role of the Gastrointestinal Microbiome in Liver Disease. Pathogens 2023, 12, 1087. [Google Scholar] [CrossRef]
  26. Chassaing, B.; Etienne-Mesmin, L.; Gewirtz, A.T. Microbiota-liver axis in hepatic disease. Hepatology 2014, 59, 328–339. [Google Scholar] [CrossRef]
  27. Konturek, P.C.; Harsch, I.A.; Konturek, K.; Schink, M.; Konturek, T.; Neurath, M.F.; Zopf, Y. Gut–Liver Axis: How Do Gut Bacteria Influence the Liver? Med. Sci. 2018, 6, 79. [Google Scholar] [CrossRef] [PubMed]
  28. Minemura, M.; Shimizu, Y. Gut microbiota and liver diseases. World J. Gastroenterol. 2015, 21, 1691–1702. [Google Scholar] [CrossRef] [PubMed]
  29. Costantini, L.; Molinari, R.; Farinon, B.; Merendino, N. Impact of omega-3 fatty acids on the gut microbiota. Int. J. Mol. Sci. 2017, 18, 2645. [Google Scholar] [CrossRef]
  30. Desdouets, C. Oxidative stress promotes pathologic polyploidization in non-alcoholic fatty liver disease. J. Clin. Investig. 2015, 125, 981–992. [Google Scholar]
  31. Wan, M.L.Y.; El-Nezami, H. Targeting gut microbiota in hepatocellular carcinoma: Probiotics as a novel therapy. Hepatobiliary Surg. Nutr. 2018, 7, 11–20. [Google Scholar] [CrossRef]
  32. Laflamme, D.P. Development and validation of a body condition score system for dogs. Canine Pract. 1997, 22, 10–15. [Google Scholar]
  33. FEDIAF. Nutritional Guidelines for Complete and Complementary Pet Food. Available online: https://europeanpetfood.org (accessed on 31 December 2023).
  34. National Research Council; Division on Earth and Life Studies; Board on Agriculture and Natural Resources; Subcommittee on Dog and Cat Nutrition; Committee on Animal Nutrition. Available online: https://nap.nationalacademies.org/catalog/10668 (accessed on 31 December 2023).
  35. Marchegiani, A.; Fruganti, A.; Gavazza, A.; Mangiaterra, S.; Candellone, A.; Fusi, E.; Rossi, G.; Cerquetella, M. Evidence on Molecules Most Frequently Included in Canine and Feline Complementary Feed to Support Liver Function. Vet. Med. Int. 2020, 9, 9185759. [Google Scholar] [CrossRef] [PubMed]
  36. Scarsella, E.; Cintio, M.; Iacumin, L.; Ginaldi, F.; Stefanon, B. Interplay between Neuroendocrine Biomarkers and Gut Microbiota in Dogs Supplemented with Grape Proanthocyanidins: Results of Dietary Intervention Study. Animals 2020, 10, 531. [Google Scholar] [CrossRef] [PubMed]
  37. Klindworth, A.; Pruesse, E.; Schweer, T.; Peplies, J.; Quast, C.; Horn, M.; Glockner, F.O. Evaluation of general 16S ribosomal RNA gene PCR primers for classical and next-generation sequencing-based diversity studies. Nucleic Acids Res. 2013, 41, e1. [Google Scholar] [CrossRef] [PubMed]
  38. Bolyen, E.; Rideout, J.R.; Dillon, M.R.; Bokulich, N.A.; Abnet, C.C.; Al-Ghalith, G.A.; Alexander, H.; Alm, E.J.; Arumugam, M.; Asnicar, F. Reproducible, interactive, scalable, and extensible microbiome data science using QIIME 2. Nat. Biotechnol. 2019, 37, 852–857. [Google Scholar] [CrossRef] [PubMed]
  39. Greengene Database. Available online: https://greengenes.secondgenome.com (accessed on 31 December 2023).
  40. Lozupone, C.A.; Hamady, M.; Kelley, S.T.; Knigh, R. Quantitative and qualitative diversity measures lead to different insights into factors that structure microbial communities. Appl. Environ. Microbiol. 2007, 73, 1576–1585. [Google Scholar] [CrossRef] [PubMed]
  41. Available online: https://www.microbiomeanalyst.ca/ (accessed on 31 December 2023).
  42. IBM SPSS Statistics for Windows; Version 25.0; IBM Corp.: Armonk, NY, USA, 2017; Available online: https://www.ibm.com (accessed on 31 December 2023).
  43. Grundy, S.M.; Hansen, B.; Smith, S.C.; Cleeman, J.I.; Kahn, R.A.; American Heart Association, National Heart, Lung, and Blood Institute, American Diabetes Association. Clinical management of metabolic syndrome: Report of the American Heart Association/National Heart, Lung, and Blood Institute/American Diabetes Association conference on scientific issues related to management. Arterioscler. Thromb. Vasc. Biol. 2004, 24, 19–24. [Google Scholar]
  44. Verkest, K.R. Is the metabolic syndrome a useful clinical concept in dogs? review of the evidence. Vet. J. 2014, 199, 24–30. [Google Scholar] [CrossRef]
  45. Tvarijonaviciute, A.; Barić-Rafaj, R.; Horvatic, A.; Muñoz-Prieto, A.; Guillemin, N.; Lamy, E.; Tumpa, A.; Ceron, J.J.; Martinez-Subiela, S.; Mrljak, V. Identification of changes in serum analytes and possible metabolic pathways associated with canine obesity-related metabolic dysfunction. Vet. J. 2019, 244, 51–59. [Google Scholar] [CrossRef]
  46. Gommeren, K.; Desmas, I.; Garcia, A.; Bauer, N.; Moritz, A.; Roth, J.; Peeters, D. Inflammatory cytokine and C-reactive protein concentrations in dogs with systemic inflammatory response syndrome. J. Vet. Emerg. Crit. Care 2018, 28, 9–19. [Google Scholar] [CrossRef] [PubMed]
  47. Torrente, C.; Manzanilla, E.G.; Bosch, L.; Fresno, L.; Rivera Del Alamo, M.; Andaluz, A.; Saco, Y.; Ruiz de Gopegui, R. Plasma iron, C-reactive protein, albumin, and plasma fibrinogen concentrations in dogs with systemic inflammatory response syndrome. J. Vet. Emerg. Crit. Care 2015, 25, 611–619. [Google Scholar] [CrossRef] [PubMed]
  48. Pradhan, S.C.; Girish, C. Hepatoprotective herbal drug, silymarin from experimental pharmacology to clinical medicine. Indian J. Med. Res. 2006, 124, 491–504. [Google Scholar] [PubMed]
  49. Trappoliere, M.; Caligiuri, A.; Schmid, M.; Bertolani, C.; Failli, P.; Vizzutti, F.; Novo, E.; di Manzano, C.; Marra, F.; Loguercio, C.; et al. Silybin, a component of sylimarin, exerts anti-inflammatory and anti-fibrogenic effects on human hepatic stellate cells. J. Hepatol. 2009, 50, 1102–1111. [Google Scholar] [CrossRef] [PubMed]
  50. Verma, S.; Thuluvath, P.J. Complementary and alternative medicine in hepatology: Review of the evidence of efficacy. Clin. Gastroenterol. Hepatol. 2007, 5, 408–416. [Google Scholar] [CrossRef] [PubMed]
  51. Vandeweerd, J.M.; Cambier, C.; Gustin, P. Nutraceuticals for canine liver disease: Assessing the evidence. Vet. Clin. N. Am. Small Anim. Pract. 2013, 43, 1171–1179. [Google Scholar] [CrossRef]
  52. Gogulski, M.; Cieślak, A.; Grabska, J.; Ardois, M.; Pomorska-Mól, M.; Kołodziejski, P.A.; Libera, K.; Strompfová, V.; Szumacher-Strabel, M. Effects of silybin supplementation on nutrient digestibility, hematological parameters, liver function indices, and liver-specific mi-RNA concentration in dogs. BMC Vet. Res. 2021, 17, 228. [Google Scholar] [CrossRef]
  53. Serhan, C.N.; Dalli, J.; Colas, R.A.; Winkler, J.W.; Chiang, N. Protectins and maresins: New pro-resolving families of mediators in acute inflammation and resolution bioactive metabolome. Biochim. Biophys. Acta 2015, 1851, 397–413. [Google Scholar] [CrossRef]
  54. Scorletti, E.; Byrne, C.D. Omega-3 fatty acids and non-alcoholic fatty liver disease: Evidence of efficacy and mechanism of action. Mol. Asp. Med. 2018, 64, 135–146. [Google Scholar] [CrossRef]
  55. Jump, D.B.; Lytle, K.A.; Depner, C.M.; Tripathy, S. Omega-3 polyunsaturated fatty acids as a treatment strategy for non-alcoholic fatty liver disease. Pharmacol. Ther. 2018, 181, 108–125. [Google Scholar] [CrossRef]
  56. Tu, T.; Li, B.; Li, X.; Zhang, B.; Xiao, Y.; Li, J.; Qin, F.; Liu, N.; Sun, C.; Liu, Q.; et al. Dietary ω-3 fatty acids reduced atrial fibrillation vulnerability via attenuating myocardial endoplasmic reticulum stress and inflammation in a canine model of atrial fibrillation. J. Cardiol. 2022, 79, 194–201. [Google Scholar] [CrossRef] [PubMed]
  57. Meineri, G.; Cocolin, L.; Morelli, G.; Schievano, C.; Atuahene, D.; Ferrocino, I. Effect of an Enteroprotective Complementary Feed on Faecal Markers of Inflammation and Intestinal Microbiota Composition in Weaning Puppies. Vet. Sci. 2023, 10, 434. [Google Scholar] [CrossRef] [PubMed]
  58. Schauf, S.; Nakamura, N.; Castrillo, C. Effect of Calsporin (Bacillus subtilis C-3102) addition to the diet on faecal quality and nutrient digestibility in healthy adult dogs. J. Appl. Anim. Nutr. 2019, 7, e3. [Google Scholar] [CrossRef]
  59. de Lima, D.C.; Souza, C.M.M.; Nakamura, N.; Mesa, D.; de Oliveira, S.G.; Félix, A.P. Dietary supplementation with Bacillus subtilis C-3102 improves gut health indicators and fecal microbiota of dogs. Anim. Feed Sci. Technol. 2020, 270, 114672. [Google Scholar] [CrossRef]
  60. Isidori, M.; Rueca, F.; Massacci, F.R.; Diaferia, M.; Giontella, A.; Caldin, M.; Furlanello, T.; Corbee, R.J.; Mannucci, G.; Pezzotti, G.; et al. The Use of Ascophyllum nodosum and Bacillus subtilis C-3102 in the Management of Canine Chronic Inflammatory Enteropathy: A Pilot Study. Animals 2021, 11, 3417. [Google Scholar] [CrossRef] [PubMed]
  61. Panasevich, M.R.; Daristotle, L.; Quesnell, R.; Reinhart, G.A.; Frantz, N.Z. Altered fecal microbiota, IgA, and fermentative end-products in adult dogs fed prebiotics and a nonviable Lactobacillus acidophilus. J Anim Sci. 2021, 99, skab347. [Google Scholar] [CrossRef]
  62. Pinna, C.; Vecchiato, C.G.; Bolduan, C.; Grandi, M.; Stefanelli, C.; Windisch, W.; Zaghini, G.; Biagi, G. Influence of dietary protein and fructooligosaccharides on fecal fermentative end-products, fecal bacterial populations, and apparent total tract digestibility in dogs. BMC Vet. Res. 2018, 14, 106. [Google Scholar] [CrossRef]
  63. Van den Abbeele, P.; Duysburgh, C.; Rakebrandt, M.; Marzorati, M. Dried yeast cell walls high in beta-glucan and mannan-oligosaccharides positively affect microbial composition and activity in the canine gastrointestinal tract in vitro. J. Anim. Sci. 2020, 98, skaa173. [Google Scholar] [CrossRef]
  64. Swanson, K.S.; Grieshop, C.M.; Flickinger, E.A.; Bauer, L.L.; Healy, H.P.; Dawson, K.A.; Merchen, N.R.; Fahey, G.C.j.r. Supplemental fructooligosaccharides and mannanoligosaccharides influence immune function, ileal and total tract nutrient digestibilities, microbial populations and concentrations of protein catabolites in the large bowel of dogs. J. Nutr. 2002, 132, 980–989. [Google Scholar] [CrossRef]
  65. Flickinger, E.A.; Schreijen, E.M.; Patil, A.R.; Hussein, H.S.; Grieshop, C.M.; Merchen, N.R.; Fahey, G.C., Jr. Nutrient digestibilities, microbial populations, and protein catabolites as affected by fructan supplementation of dog diets. J. Anim. Sci. 2003, 81, 2008–2018. [Google Scholar] [CrossRef]
  66. Li, Y.; Rahman, S.U.; Huang, Y.; Zhang, Y.; Ming, P.; Zhu, L.; Chu, X.; Li, J.; Feng, S.; Wang, X.; et al. Green tea polyphenols decrease weight gain, ameliorate alteration of gut microbiota, and mitigate intestinal inflammation in canines with high-fat-diet-induced obesity. J. Nutr. Biochem. 2020, 78, 108324. [Google Scholar] [CrossRef]
  67. Wang, W.; Zhai, T.; Luo, P.; Miao, X.; Wang, J.; Chen, Y. Beneficial effects of silibinin on serum lipids, bile acids, and gut microbiota in methionine-choline-deficient diet-induced mice. Front. Nutr. 2023, 10, 1257158. [Google Scholar] [CrossRef]
  68. AlShawaqfeh, M.K.; Wajid, B.; Minamoto, Y.; Markel, M.; Lidbury, J.A.; Steiner, J.M.; Serpedin, E.; Suchodolski, J.S. A dysbiosis index to assess microbial changes in fecal samples of dogs with chronic inflammatory enteropathy. FEMS Microbiol. Ecol. 2017, 93, 10. [Google Scholar] [CrossRef] [PubMed]
  69. Crost, E.H.; Tailford, L.E.; Le Gall, G.; Fons, M.; Henrissat, B.; Juge, N. Utilisation of mucin glycans by the human gut symbiont Ruminococcus gnavus is strain dependent. PLoS ONE 2013, 8, e76341. [Google Scholar] [CrossRef] [PubMed]
  70. Caspani, G.; Kennedy, S.; Foster, J.A.; Swann, J. Gut microbial metabolites in depression: Understanding the biochemical mechanisms. Microb. Cell 2019, 6, 454–481. [Google Scholar] [CrossRef] [PubMed]
  71. Sandri, M.; Dal Monego, S.; Conte, G.; Sgorlon, S.; Stefanon, B. Raw meat-based diet influences faecal microbiome and end products of fermentation in healthy dogs. BMC Vet. Res. 2017, 13, 65. [Google Scholar] [CrossRef]
  72. Gilley, S.P.; Ruebel, M.L.; Sims, C.; Zhong, Y.; Turner, D.; Lan, R.S.; Pack, L.M.; Piccolo, B.D.; Chintapalli, S.V.; Abraham, A.; et al. Associations between maternal obesity and offspring gut microbiome in the first year of life. Pediatr. Obes. 2022, 17, e12921. [Google Scholar] [CrossRef]
Figure 1. Rarefaction curves of the alpha diversity Shannon index between days of sampling (A), and between dogs participating in the study (B). Panel (A): T0, before administration of supplement; T1, T2, T3, T4, and T5 correspond to 7, 14, 21, 28, and 35 days from the administration of supplement; Panel (B): each rarefaction curve corresponds to the six samples for each of the dogs reported in the legend.
Figure 1. Rarefaction curves of the alpha diversity Shannon index between days of sampling (A), and between dogs participating in the study (B). Panel (A): T0, before administration of supplement; T1, T2, T3, T4, and T5 correspond to 7, 14, 21, 28, and 35 days from the administration of supplement; Panel (B): each rarefaction curve corresponds to the six samples for each of the dogs reported in the legend.
Animals 14 00579 g001
Figure 2. Evenness of the samples between days of sampling (A); and between dogs participating in the study (B). Panel (A): T0, before administration of supplement; T1, T2, T3, T4, and T5 correspond to 7, 14, 21, 28, and 35 days from the administration of supplement; Panel (B): the box plots correspond to the six samples for each of the dogs.
Figure 2. Evenness of the samples between days of sampling (A); and between dogs participating in the study (B). Panel (A): T0, before administration of supplement; T1, T2, T3, T4, and T5 correspond to 7, 14, 21, 28, and 35 days from the administration of supplement; Panel (B): the box plots correspond to the six samples for each of the dogs.
Animals 14 00579 g002
Figure 3. Principal coordinates analysis of weighted UniFrac distance metric for beta diversity between days of sampling (A); and between dogs (B). Panel (A): T0, before administration of supplement; T1, T2, T3, T4, and T5 correspond to 7, 14, 21, 28, and 35 days from the administration of supplement; Panel (B): D1 to D10 denotes the dogs.
Figure 3. Principal coordinates analysis of weighted UniFrac distance metric for beta diversity between days of sampling (A); and between dogs (B). Panel (A): T0, before administration of supplement; T1, T2, T3, T4, and T5 correspond to 7, 14, 21, 28, and 35 days from the administration of supplement; Panel (B): D1 to D10 denotes the dogs.
Animals 14 00579 g003
Figure 4. Normalized counts (y axis) of Ruminococcus gnavus, Blautia, Streptococcus, Turicibacter, and Peptostreptococcaceae in 10 adult dogs with liver disease at various time points (x axis). T0, before administration of supplement; T1, T2, T3, T4, and T5 correspond to 7, 14, 21, 28, and 35 days from the administration of supplement; a, b denotes a mean that significantly differs for p < 0.05.
Figure 4. Normalized counts (y axis) of Ruminococcus gnavus, Blautia, Streptococcus, Turicibacter, and Peptostreptococcaceae in 10 adult dogs with liver disease at various time points (x axis). T0, before administration of supplement; T1, T2, T3, T4, and T5 correspond to 7, 14, 21, 28, and 35 days from the administration of supplement; a, b denotes a mean that significantly differs for p < 0.05.
Animals 14 00579 g004
Table 1. Data on included dogs. Age (years), sex, breed, weight, and body condition score.
Table 1. Data on included dogs. Age (years), sex, breed, weight, and body condition score.
Dog NumberAgeSex BreedWeight (kg)BCSTablet
D112FAmerican Staffordshire terrier3072
D210FDachshund980.75
D38MEnglish Bulldog3082
D48MShar Pei35.572.3
D512MStaffordshire bull terrier22.171.5
D611FBeagle17.581
D713MBullterrier38.172.3
D810FDalmatian28.872
D99FGerman shepherd34.862
D108MBasset hound30.582
Data were recorded at the beginning of the trial (T0); BCS: scores 0–9; sex: M = male; F = female.
Table 2. Formulation of the supplement administered to the dogs for the study.
Table 2. Formulation of the supplement administered to the dogs for the study.
DietAmount
Sylibum marianum extract2.52%
Choline chloride0.80%
Bacillus subtilis6.40%
Fructoligosaccharides0.50%
Beta glucans from barley0.50%
Betaine0.90%
n-3 polyunsaturated fatty acids (n-3 PUFA) in fish oil *6.40%
Vitamin B120.00002%
Vitamin C0.15%
Alpha tocopherol3.40%
Zinc0.93%
Magnesium1.65%
Arginine0.40%
Taurine2.40%
Hydrolyzed proteins24.30%
Maltodextrine48.75%
* Fish oil contains 27% EPA and 16% DHA.
Table 3. Plasma enzymatic activity, metabolites concentration, and C-reactive protein concentration in the plasma of dogs with liver disease before and after the administration of the supplement.
Table 3. Plasma enzymatic activity, metabolites concentration, and C-reactive protein concentration in the plasma of dogs with liver disease before and after the administration of the supplement.
ItemRV T0 T1 T2 T3 T4 T5
AST23–66Mean49.5a32.8ab31.0b34.3ab36.0ab40.5ab
UI/L sd21.1 16.8 11.5 14.0 14.5 14.0
ALT21–102Mean107.2ns82.4ns91.2ns91.6ns96.0ns91.1ns
UI/L sd45.9 36.4 69.6 62.2 70.2 65.9
ALP20–156Mean302.1a246.0ab242.9ab208.6b213.4b204.6b
UI/L sd241.5 220.3 239.2 211.8 202.7 201.7
GGT, UI/L1.2–6.0Mean6.3ns6.2ns6.3ns6.2ns5.4ns5.2ns
UI/L sd3.5 2.3 3.8 3.2 2.8 2.8
Direct Bilirubin0.1–0.5Mean0.6a0.4ab0.4ab0.3b0.3b0.3b
mg/100 mL sd0.2 0.1 0.2 0.1 0.1 0.1
Glucose65–110Mean106.4a108.6a97.4ab92.9b93.9b91.2b
mg/100 mL sd15.2 30.0 24.8 14.8 22.8 13.7
Tryglicerides20–112Mean162.7ns119.1ns150.6ns110.5ns114.6ns103.1ns
mg/100 mL sd94.6 61.0 103.7 54.5 80.9 48.2
CRP<0.5Mean1.2a1.0a0.9ab0.5b0.5b0.5b
mg/L sd0.8 0.5 0.6 0.1 0.2 0.1
Abbreviations: ALT, alanine aminotransferase; ALP, alkaline phosphatase; GGT, gamma-glutamyl transferase; T0, before administration of supplement; T1, T2, T3, T4, and T5 correspond to 7, 14, 21, 28, and 35 days from the administration of supplement; a, b on the same column denote statistical differences for p < 0.05. ns: not significant.
Table 4. Sum of short-chain fatty acid, and lactic acid (Total) and molar partitioning (%) in the feces of dogs with liver disease before and after the administration of supplement.
Table 4. Sum of short-chain fatty acid, and lactic acid (Total) and molar partitioning (%) in the feces of dogs with liver disease before and after the administration of supplement.
TimeTotal
μmol/g
Lactic
%
Acetic
%
Propionic
%
Isobutyric
%
Butyric
%
Isovaleric
%
T0213.9 ab2.1 ab66.7 ns15.9 ns3.3 ns3.5 ns8.5 ns
T1173.5 b0.4 b66.9 ns20.9 ns3.9 ns2.5 ns5.4 ns
T2227.1 ab1.4 ab69.6 ns16.4 ns4.0 ns4.5 ns4.1 ns
T3249.7 a2.6 a72.1 ns14.0 ns3.8 ns4.2 ns3.4 ns
T4225.1 ab1.9 ab66.6 ns17.4 ns4.6 ns3.2 ns6.3 ns
T5210.0 ab2.5 a67.4 ns16.7 ns4.3 ns4.1 ns5.0 ns
RMSE8.90.31.81.30.40.30.9
T0, before administration of supplement; T1, T2, T3, T4, and T5 correspond to 7, 14, 21, 28, and 35 days from the administration of supplement; a, b on the same column denotes statistical differences for p < 0.05. ns: not significant.
Disclaimer/Publisher’s Note: The statements, opinions and data contained in all publications are solely those of the individual author(s) and contributor(s) and not of MDPI and/or the editor(s). MDPI and/or the editor(s) disclaim responsibility for any injury to people or property resulting from any ideas, methods, instructions or products referred to in the content.

Share and Cite

MDPI and ACS Style

Balouei, F.; Stefanon, B.; Martello, E.; Atuahene, D.; Sandri, M.; Meineri, G. Supplementation with Silybum marianum Extract, Synbiotics, Omega-3 Fatty Acids, Vitamins, and Minerals: Impact on Biochemical Markers and Fecal Microbiome in Overweight Dogs. Animals 2024, 14, 579. https://doi.org/10.3390/ani14040579

AMA Style

Balouei F, Stefanon B, Martello E, Atuahene D, Sandri M, Meineri G. Supplementation with Silybum marianum Extract, Synbiotics, Omega-3 Fatty Acids, Vitamins, and Minerals: Impact on Biochemical Markers and Fecal Microbiome in Overweight Dogs. Animals. 2024; 14(4):579. https://doi.org/10.3390/ani14040579

Chicago/Turabian Style

Balouei, Fatemeh, Bruno Stefanon, Elisa Martello, David Atuahene, Misa Sandri, and Giorgia Meineri. 2024. "Supplementation with Silybum marianum Extract, Synbiotics, Omega-3 Fatty Acids, Vitamins, and Minerals: Impact on Biochemical Markers and Fecal Microbiome in Overweight Dogs" Animals 14, no. 4: 579. https://doi.org/10.3390/ani14040579

APA Style

Balouei, F., Stefanon, B., Martello, E., Atuahene, D., Sandri, M., & Meineri, G. (2024). Supplementation with Silybum marianum Extract, Synbiotics, Omega-3 Fatty Acids, Vitamins, and Minerals: Impact on Biochemical Markers and Fecal Microbiome in Overweight Dogs. Animals, 14(4), 579. https://doi.org/10.3390/ani14040579

Note that from the first issue of 2016, this journal uses article numbers instead of page numbers. See further details here.

Article Metrics

Back to TopTop