A Study on the Growth and Development Characteristics of Lindian Chickens
Abstract
Simple Summary
Abstract
1. Introduction
2. Materials and Methods
2.1. Experimental Animals
2.2. Measurement Indicators and Methods
2.3. Data Statistical Analysis
3. Results
3.1. Patterns of Change in Body Composition Traits of Lindian Chickens
3.1.1. Comparative Analysis of Body Composition Traits
3.1.2. Growth Intensity Analysis of Body Composition Traits
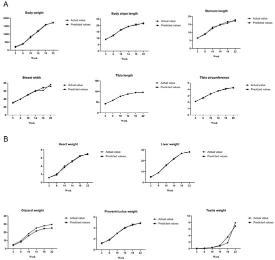
3.2. Curve Fitting of Growth Traits in Lindian Chickens
3.3. Correlation Analysis of Growth Traits of Lindian Chickens
4. Discussion
5. Conclusions
Author Contributions
Funding
Institutional Review Board Statement
Informed Consent Statement
Data Availability Statement
Acknowledgments
Conflicts of Interest
References
- Deng, S.; Xing, T.; Li, C.; Xu, X.; Zhou, G. The Effect of Breed and Age on the Growth Performance, Carcass Traits and Metabolic Profile in Breast Muscle of Chinese Indigenous Chickens. Foods 2022, 11, 483. [Google Scholar] [CrossRef] [PubMed]
- Fan, B.; Xie, J.; Li, J.; Xu, L.; Chu, S. Current Situation and Future Development Trends of China’s Yellow Feather Broiler Industry. North Anim. Husb. 2022, 22, 17–19. [Google Scholar]
- Gao, Y.; Feng, C.G.; Song, C.; Du, Z.Q.; Deng, X.M.; Li, N.; Hu, X.X. Mapping Quantitative Trait Loci Affecting Chicken Body Size Traits via Genome Scanning. Anim. Genet. 2011, 42, 670–674. [Google Scholar] [CrossRef] [PubMed]
- Carleial, R.; McDonald, G.C.; Pizzari, T. Dynamic Phenotypic Correlates of Social Status and Mating Effort in Male and Female Red Junglefowl, Gallus Gallus. J. Evol. Biol. 2020, 33, 22–40. [Google Scholar] [CrossRef] [PubMed]
- Venturini, G.C.; Cruz, V.a.R.; Rosa, J.O.; Baldi, F.; El Faro, L.; Ledur, M.C.; Peixoto, J.O.; Munari, D.P. Genetic and Phenotypic Parameters of Carcass and Organ Traits of Broiler Chickens. Genet. Mol. Res. 2014, 13, 10294–10300. [Google Scholar] [CrossRef]
- Poompramun, C.; Mignon-Grasteau, S.; Juanchich, A.; Hennequet-Antier, C.; Thumanu, K.; Bihan-Duval, E.L.; Molee, A. Phenotypic Correlations between Feed Efficiency, Growth, and Meat Quality of Slow-Growing Chickens. Br. Poult. Sci. 2022, 63, 742–746. [Google Scholar] [CrossRef] [PubMed]
- Nguyen, T.H.; Nguyen, C.X.; Luu, M.Q.; Nguyen, A.T.; Bui, D.H.; Pham, D.K.; Do, D.N. Mathematical Models to Describe the Growth Curves of Vietnamese Ri Chicken. Braz. J. Biol. Rev. Brasleira Biol. 2021, 83, e249756. [Google Scholar] [CrossRef] [PubMed]
- Rizzi, C.; Contiero, B.; Cassandro, M. Growth Patterns of Italian Local Chicken Populations. Poult. Sci. 2013, 92, 2226–2235. [Google Scholar] [CrossRef]
- Hedman, H.D.; Vasco, K.A.; Zhang, L. A Review of Antimicrobial Resistance in Poultry Farming within Low-Resource Settings. Animals 2020, 10, 1264. [Google Scholar] [CrossRef]
- Nguyen Van, D.; Moula, N.; Moyse, E.; Do Duc, L.; Vu Dinh, T.; Farnir, F. Productive Performance and Egg and Meat Quality of Two Indigenous Poultry Breeds in Vietnam, Ho and Dong Tao, Fed on Commercial Feed. Animals 2020, 10, 408. [Google Scholar] [CrossRef]
- González Ariza, A.; Navas González, F.J.; León Jurado, J.M.; Arando Arbulu, A.; Delgado Bermejo, J.V.; Camacho Vallejo, M.E. Data Mining as a Tool to Infer Chicken Carcass and Meat Cut Quality from Autochthonous Genotypes. Animals 2022, 12, 2702. [Google Scholar] [CrossRef] [PubMed]
- Fanatico, A.C.; Cavitt, L.C.; Pillai, P.B.; Emmert, J.L.; Owens, C.M. Evaluation of Slower-Growing Broiler Genotypes Grown with and without Outdoor Access: Meat Quality. Poult. Sci. 2005, 84, 1785–1790. [Google Scholar] [CrossRef] [PubMed]
- Choo, Y.K.; Kwon, H.J.; Oh, S.T.; Um, J.S.; Kim, B.G.; Kang, C.W.; Lee, S.K.; An, B.K. Comparison of Growth Performance, Carcass Characteristics and Meat Quality of Korean Local Chickens and Silky Fowl. Asian-Australas. J. Anim. Sci. 2014, 27, 398–405. [Google Scholar] [CrossRef] [PubMed]
- Jaturasitha, S.; Srikanchai, T.; Kreuzer, M.; Wicke, M. Differences in Carcass and Meat Characteristics Between Chicken Indigenous to Northern Thailand (Black-Boned and Thai Native) and Imported Extensive Breeds (Bresse and Rhode Island Red). Poult. Sci. 2008, 87, 160–169. [Google Scholar] [CrossRef] [PubMed]
- Yuan, H.; Zhang, X.; Zhang, Q.; Wang, Y.; Wang, S.; Li, Y.; Zhang, Y.; Jing, J.; Qiu, J.; Wang, Z.; et al. Comparative Transcriptome Profiles of Lindian Chicken Eyelids Identify Melanin Genes Controlling Eyelid Pigmentation. Br. Poult. Sci. 2019, 60, 15–22. [Google Scholar] [CrossRef]
- Wang, C.; Wang, B.; Zhou, Q.; Yang, H.; Cheng, G.; Miao, T.; Han, C. The Effects of Different Low Temperature Cold Stimulation on Cort and T4 of China-Lindian Native Chickens. In Proceedings of the 2nd International Conference on New Energy and Renewable Resources (ICNERR 2017), Guangzhou, China, 24–25 June 2017. [Google Scholar] [CrossRef]
- Qiu, J.; Wang, Z.; Zhang, Y.; Leng, L.; Li, Y.; Luan, P.; Li, H. Genetic basis analysis of rose crown, fishy taste, and dwarfism traits in lin Dian chicken. Chin. Poult. 2015, 37, 7–12. [Google Scholar] [CrossRef]
- Xu, Y.; Jiang, E.; Chen, C.; Liu, J.; Zhu, K.; Zhang, Z.; Ning, F.; Du, Z.; Bai, X. The Complete Mitochondrial Genome Sequence of Lindian Chicken (Gallus gallus) in China. Mitochondrial DNA Part B 2018, 3, 1228–1229. [Google Scholar] [CrossRef]
- Chen, K.; Gao, Y.; Wang, Z.; Ding, Y.; Zhang, X.; Li, H. The agricultural industry standard of the People’s Republic of China for poultry production performance terminology and measurement statistical methods. Guide Chin. Poult. 2006, 40, 45–46. [Google Scholar]
- Li, H.; Wang, S.; Yan, F.; Liu, X.; Jiang, R.; Han, R.; Li, Z.; Li, G.; Tian, Y.; Kang, X.; et al. Effect of Polymorphism within miRNA-1606 Gene on Growth and Carcass Traits in Chicken. Gene 2015, 566, 8–12. [Google Scholar] [CrossRef]
- Ma, M.; Mao, H.; Wang, K.; Qu, L.; Dou, C.; Guo, J.; Wang, X.; Hu, Y. Comparative analysis of the developmental patterns of body size traits among different breeds of broiler chickens. Chin. Poult. 2021, 43, 111–115. [Google Scholar] [CrossRef]
- Ning, K.; Gao, S.; Lv, J.; Jiang, J. The growth pattern of visceral organs during the growth period of Qingjiao Ma chicken. Contemp. Anim. Husb. 2010, 42, 6–8. [Google Scholar]
- Lan, R.; Wei, L.; Yu, H.; Jiang, P.; Zhao, Z. Age-Related Changes in Hepatic Lipid Metabolism and Abdominal Adipose Deposition in Yellow-Feathered Broilers Aged from 1 to 56 Days. Animals 2023, 13, 3860. [Google Scholar] [CrossRef] [PubMed]
- Mfoundou, J.D.L.; Guo, Y.; Yan, Z.; Wang, X. Morpho-Histology and Morphometry of Chicken Testes and Seminiferous Tubules among Yellow-Feathered Broilers of Different Ages. Vet. Sci. 2022, 9, 485. [Google Scholar] [CrossRef] [PubMed]
- Fu, R.; Zhao, G.; Liu, R.; Zheng, M.; Chen, J.; Wen, J. Study on the distribution and deposition patterns of body fat in Beijing fried chicken. Chin. J. Anim. Nutr. 2013, 25, 1465–1472. [Google Scholar]
- Xie, L.; Zhang, X.; Luo, C.; Li, X.; Wei, J.; Li, H.; Xiang, H. Regression Analysis of Growth Traits and Abdominal Fat Deposition Levels in Qingyuan Mackeys of Different Age. Chin. J. Anim. Sci. 2023, 59, 130–133. [Google Scholar]
- Ono, R.; Miyachi, H.; Usui, H.; Oguchi, R.; Nishimura, K.; Takahashi, K.; Yamagishi, Y.; Kawamura, N.; Matsushita, R.; Goto, T. Phenotypic Analysis of Growth and Morphological Traits in Miniature Breeds of Japanese Indigenous Chickens. J. Poult. Sci. 2022, 59, 38–47. [Google Scholar] [CrossRef]
- Udoumoh, A.F.; Igwebuike, U.M.; Okoye, C.N.; Ugwu, U.M.; Oguejiofor, C.F. Assessment of Age-Related Morphological Changes in the Testes of Post-Hatch Light Ecotype Nigerian Indigenous Chicken. Anat. Histol. Embryol. 2021, 50, 459–466. [Google Scholar] [CrossRef]
- Mata-Estrada, A.; González-Cerón, F.; Pro-Martínez, A.; Torres-Hernández, G.; Bautista-Ortega, J.; Becerril-Pérez, C.M.; Vargas-Galicia, A.J.; Sosa-Montes, E. Comparison of Four Nonlinear Growth Models in Creole Chickens of Mexico. Poult. Sci. 2020, 99, 1995–2000. [Google Scholar] [CrossRef]
- Nguyen Hoang, T.; Do, H.T.T.; Bui, D.H.; Pham, D.K.; Hoang, T.A.; Do, D.N. Evaluation of Non-Linear Growth Curve Models in the Vietnamese Indigenous Mia Chicken. Anim. Sci. J. 2021, 92, e13483. [Google Scholar] [CrossRef]
- Neysi, S.; Ghaderi-Zefrehei, M.; Rafeie, F.; Dolatabady, M.M.; Elahi Torshizi, M.; Zakizadeh, S.; Smith, J. Estimation of Genetic Parameters for Production, Reproduction, and Growth Curve of Fars Indigenous Chicken. Anim. Sci. J. Nihon Chikusan Gakkaiho 2023, 94, e13808. [Google Scholar] [CrossRef]
- Manjula, P.; Park, H.-B.; Seo, D.; Choi, N.; Jin, S.; Ahn, S.J.; Heo, K.N.; Kang, B.S.; Lee, J.-H. Estimation of Heritability and Genetic Correlation of Body Weight Gain and Growth Curve Parameters in Korean Native Chicken. Asian-Australas. J. Anim. Sci. 2018, 31, 26–31. [Google Scholar] [CrossRef] [PubMed]
- Bai, Y.; Zhang, Y.; Luo, K.; Wang, X.; Lu, J.; Mo, X.; He, Q.; Huang, M.J. Fitting and correlation study on the growth curves of body weight and tibia length of Wumeng chicken. Chin. J. Anim. Sci. 2018, 54, 35–38. [Google Scholar] [CrossRef]
- Mignon-Grasteau, S.; Piles, M.; Varona, L.; de Rochambeau, H.; Poivey, J.P.; Blasco, A.; Beaumont, C. Genetic Analysis of Growth Curve Parameters for Male and Female Chickens Resulting from Selection on Shape of Growth Curve. J. Anim. Sci. 2000, 78, 2515–2524. [Google Scholar] [CrossRef] [PubMed]
- Brito, N.V.; Lopes, J.C.; Ribeiro, V.; Dantas, R.; Leite, J.V. Biometric Characterization of the Portuguese Autochthonous Hens Breeds. Animals 2021, 11, 498. [Google Scholar] [CrossRef] [PubMed]
- Yang, X.; Zou, L.; Sun, T.; Yang, Z.; Xu, W.; Zeng, L.; Xiao, C.; Qiu, Q.; Jia, Y.; Yuan, X.; et al. Measurement and correlation analysis of body size traits and slaughter traits in Xiayan chickens. Heilongjiang J. Anim. Sci. Vet. Med. 2020, 67, 32–36. [Google Scholar] [CrossRef]
- Zhang, J.; Lu, L.; Wang, J.; Lv, J.; Yang, F.; Shen, J.; Tao, Z.; Wang, D.; Tian, Y.; Ren, J.; et al. Measurement and correlation analysis of body size and slaughter traits in Xiaoshan chickens. Anim. Husb. Vet. Med. 2010, 42, 43–44. [Google Scholar]
- Gaya, L.G.; Ferraz, J.B.S.; Rezende, F.M.; Mourão, G.B.; Mattos, E.C.; Eler, J.P.; Michelan Filho, T. Heritability and Genetic Correlation Estimates for Performance and Carcass and Body Composition Traits in a Male Broiler Line. Poult. Sci. 2006, 85, 837–843. [Google Scholar] [CrossRef]
- Yang, F.; Li, N.; Du, B.; Tao, L.; Chen, J. Correlation analysis between body size and slaughter performance of Kirin chickens at 14 weeks of age. Chin. Poult. 2014, 46, 8–11. [Google Scholar]
- Lang, Q.; Zhang, Y.; Xu, Z.; Zhang, D. Study on the correlation between body size traits and abdominal fat deposition in yellow feather broilers. Chin. J. Anim. Vet. Sci. 2020, 56, 43–46. [Google Scholar] [CrossRef]





| Model | Expression | Inflection Point Length/Weight | Inflection Point Age |
|---|---|---|---|
| Logistic | Y = A/(1 + Be−kt) | A/2 | (lnB)/K |
| Gompertz | Y = Ae−Bexp(−kt) | A/e | (lnB)/K |
| Bertalanffy | Y = A(1 − Be−kt)3 | 8A/27 | (ln3B)/K |
| Body Size Traits | 3 Weeks | 6 Weeks | 10 Weeks | 14 Weeks | 19 Weeks | 22 Weeks |
|---|---|---|---|---|---|---|
| n = 29 | n = 40 | n = 39 | n = 39 | n = 42 | n = 42 | |
| Body weight (g) | 174.10 ± 20.18 F | 382.48 ± 52.18 E | 851.82 ± 77.03 D | 1164.26 ± 119.79 C | 1569.76 ± 90.01 B | 1738.07 ± 152.09 A |
| Body slope length (cm) | 9.26 ± 0.40 F | 11.96 ± 0.76 E | 16.68 ± 0.73 D | 19.23 ± 0.70 C | 20.21 ± 0.88 B | 21.84 ± 0.86 A |
| Sternum length (cm) | 6.50 ± 0.41 F | 8.76 ± 0.60 E | 13.21 ± 0.78 D | 14.62 ± 0.73 C | 15.79 ± 0.82 B | 17.91 ± 0.88 A |
| Breast width (mm) | 29.96 ± 2.26 E | 39.68 ± 3.46 D | 51.06 ± 2.70 C | 61.08 ± 3.68 B | 61.36 ± 3.74 B | 76.18 ± 3.84 A |
| Breast angle (°) | 75.17 ± 4.15 A | 75.42 ± 2.75 A | 67.82 ± 5.44 B | 58.88 ± 4.50 C | 61.26 ± 6.30 C | 69.31 ± 4.13 B |
| Tibia length (mm) | 42.57 ± 3.45 E | 57.88 ± 3.19 D | 77.94 ± 5.48 C | 88.12 ± 4.64 B | 94.56 ± 2.96 A | 95.70 ± 4.95 A |
| Tibia circumference (cm) | 2.10 ± 0.12 F | 2.70 ± 0.15 E | 3.30 ± 0.20 D | 3.76 ± 0.21 C | 4.05 ± 0.18 B | 4.30 ± 0.20 A |
| Carcass Traits | 3 Weeks | 6 Weeks | 10 Weeks | 14 Weeks | 19 Weeks | 22 Weeks |
|---|---|---|---|---|---|---|
| n = 29 | n = 40 | n = 39 | n = 39 | n = 42 | n = 42 | |
| Heart weight (g) | 1.22 ± 0.16 F | 1.82 ± 0.29 E | 4.00 ± 0.44 D | 5.07 ± 0.85 C | 6.37 ± 0.98 B | 7.01 ± 0.89 A |
| Liver weight (g) | 4.83 ± 0.49 E | 8.96 ± 1.17 D | 15.96 ± 2.14 C | 21.52 ± 2.65 B | 26.76 ± 2.53 A | 28.05 ± 3.44 A |
| Gizzard weight (g) | 4.77 ± 0.76 Ee | 9.37 ± 1.47 Dd | 18.31 ± 2.27 Cc | 25.10 ± 3.85 Bb | 27.94 ± 3.88 ABa | 29.50 ± 4.10 Aa |
| Proventriculus weight (g) | 1.24 ± 0.17 Ee | 1.76 ± 0.23 Dd | 2.99 ± 0.3 Cc | 4.08 ± 0.59 Bb | 4.51 ± 0.60 ABa | 4.91 ± 0.67 Aa |
| Testis weight (g) | 0.04 ± 0.02 F | 0.14 ± 0.04 E | 0.33 ± 0.13 D | 0.78 ± 0.42 C | 1.79 ± 0.97 B | 7.89 ± 4.96 A |
| Abdominal fat weight (g) | 1.60 ± 0.73 Ee | 2.70 ± 1.49 Dd | 4.95 ± 3.31 BCc | 2.99 ± 1.54 CDd | 7.98 ± 4.53 Bb | 13.92 ± 6.40 Aa |
| Heart content (%) | 0.70 ± 0.07 Aa | 0.48 ± 0.06 Bb | 0.47 ± 0.05 BCc | 0.43 ± 0.06 BCc | 0.41 ± 0.06 Cc | 0.40 ± 0.04 Cc |
| Liver content (%) | 2.79 ± 0.24 Aa | 2.36 ± 0.27 Bb | 1.87 ± 0.19 Cc | 1.85 ± 0.21 CDc | 1.71 ± 0.18 Dd | 1.62 ± 0.18 Ee |
| Gizzard content (%) | 2.74 ± 0.31 A | 2.46 ± 0.33 B | 2.16 ± 0.28 C | 2.16 ± 0.30 C | 1.78 ± 0.25 D | 1.70 ± 0.18 D |
| Proventriculus content (%) | 0.71 ± 0.08 A | 0.46 ± 0.05 B | 0.35 ± 0.04 C | 0.35 ± 0.05 C | 0.29 ± 0.04 D | 0.28 ± 0.03 D |
| Testis content (%) | 0.03 ± 0.01 Aa | 0.04 ± 0.01 Bb | 0.04 ± 0.02 Bc | 0.07 ± 0.04 Cd | 0.12 ± 0.06 Cd | 0.45 ± 0.28 De |
| Abdominal fat percentage (%) | 0.90 ± 0.38 Aa | 0.69 ± 0.33 ABabc | 0.58 ± 0.38 ABbc | 0.26 ± 0.13 Cd | 0.51 ± 0.29 Bc | 0.81 ± 0.38 Aab |
| Traits | Model | A | B | K | Fitting (R2) | Inflection Point Growth Amount | Inflection Point Age (Weeks) |
|---|---|---|---|---|---|---|---|
| Body weight (g) | Logistic | 1846.301 | 14.971 | 0.239 | 0.966 | 923.15 | 11.32 |
| Body slope length (cm) | Logistic | 22.020 | 2.66 | 0.204 | 0.963 | 11.01 | 4.80 |
| Sternum length (cm) | Logistic | 17.827 | 3.187 | 0.200 | 0.942 | 8.91 | 5.79 |
| Breast width (mm) | Logistic | 79.659 | 2.318 | 0.138 | 0.892 | 39.83 | 6.09 |
| Tibia length (mm) | Logistic | 97.545 | 2.601 | 0.229 | 0.952 | 48.77 | 4.17 |
| Tibia circumference (mm) | Logistic | 4.453 | 1.772 | 0.162 | 0.997 | 2.23 | 3.59 |
| Traits | Model | A | B | K | Fitting (R2) | Inflection Point Growth Amount | Inflection Point Age (Weeks) |
|---|---|---|---|---|---|---|---|
| Heart weight (g) | Logistic | 7.267 | 10.383 | 0.235 | 0.991 | 3.63 | 9.96 |
| Liver weight (g) | Logistic | 29.386 | 9.746 | 0.240 | 0.999 | 14.69 | 9.49 |
| Gizzard weight (g) | Logistic | 25.569 | 13.260 | 0.306 | 0.999 | 12.78 | 8.45 |
| Proventriculus weight (g) | Logistic | 5.052 | 6.770 | 0.229 | 0.995 | 2.53 | 8.35 |
| Testis weight (g) | Logistic | 26.274 | 1190.978 | 0.275 | 0.911 | 13.14 | 25.75 |
| Body Slope Length | Sternum Length | Breast Width | Breast Angle | Tibia Length | Tibia Circumference | Body Weight | Heart Weight | Liver Weight | Gizzard Weight | Proventriculus Weight | Testis Weight | Abdominal Fat Weight | Abdominal Fat Percentage | |
|---|---|---|---|---|---|---|---|---|---|---|---|---|---|---|
| Body slope length | 1 | |||||||||||||
| Sternum length | 0.784 ** | 1 | ||||||||||||
| Breast width | 0.597 ** | 0.600 ** | 1 | |||||||||||
| Breast angle | −0.403 ** | −0.210 * | 0.036 | 1 | ||||||||||
| Tibia length | 0.779 ** | 0.652 ** | 0.463 ** | −0.488 ** | 1 | |||||||||
| Tibia circumference | 0.674 ** | 0.588 ** | 0.553 ** | −0.235 ** | 0.627 ** | 1 | ||||||||
| Body weight | 0.561 ** | 0.411 ** | 0.298 ** | −0.186 * | 0.428 ** | 0.523 ** | 1 | |||||||
| Heart weight | 0.379 ** | 0.315 ** | 0.236 ** | −0.075 | 0.350 ** | 0.423 ** | 0.602 ** | 1 | ||||||
| Liver weight | 0.460 ** | 0.328 ** | 0.123 | −0.249 ** | 0.411 ** | 0.396 ** | 0.623 ** | 0.157 | 1 | |||||
| Gizzard weight | 0.590 ** | 0.436 ** | 0.281 ** | −0.316 ** | 0.535 ** | 0.436 ** | 0.613 ** | 0.312 ** | 0.591 ** | 1 | ||||
| Proventriculus weight | 0.506 ** | 0.356 ** | 0.278 ** | −0.304 ** | 0.417 ** | 0.465 ** | 0.562 ** | 0.313 ** | 0.563 ** | 0.631 ** | 1 | |||
| Testis weight | −0.369 ** | −0.208 * | −0.003 | 0.416 ** | −0.434 ** | −0.127 | −0.216 ** | 0.094 | −0.486 ** | −0.482 ** | −0.366 ** | 1 | ||
| Abdominal fat weight | −0.159 | −0.046 | −0.046 | 0.281 ** | −0.234 ** | −0.049 | 0.077 | −0.052 | 0.134 | −0.143 | −0.061 | 0.287 ** | 1 | |
| Abdominal fat percentage | −0.297 ** | −0.151 | −0.131 | 0.307 ** | −0.346 ** | −0.194 * | −0.046 | −0.095 | −0.007 | −0.230 ** | −0.143 | 0.270 ** | 0.824 ** | 1 |
Disclaimer/Publisher’s Note: The statements, opinions and data contained in all publications are solely those of the individual author(s) and contributor(s) and not of MDPI and/or the editor(s). MDPI and/or the editor(s) disclaim responsibility for any injury to people or property resulting from any ideas, methods, instructions or products referred to in the content. |
© 2024 by the authors. Licensee MDPI, Basel, Switzerland. This article is an open access article distributed under the terms and conditions of the Creative Commons Attribution (CC BY) license (https://creativecommons.org/licenses/by/4.0/).
Share and Cite
Liu, J.; Jin, Y.; Zhou, S.; Wang, X.; Li, Y.; Luan, P.; Li, H.; Leng, L.; Wang, Y. A Study on the Growth and Development Characteristics of Lindian Chickens. Animals 2024, 14, 354. https://doi.org/10.3390/ani14020354
Liu J, Jin Y, Zhou S, Wang X, Li Y, Luan P, Li H, Leng L, Wang Y. A Study on the Growth and Development Characteristics of Lindian Chickens. Animals. 2024; 14(2):354. https://doi.org/10.3390/ani14020354
Chicago/Turabian StyleLiu, Jie, Yitong Jin, Shijie Zhou, Xinyu Wang, Yumao Li, Peng Luan, Hui Li, Li Leng, and Yuxiang Wang. 2024. "A Study on the Growth and Development Characteristics of Lindian Chickens" Animals 14, no. 2: 354. https://doi.org/10.3390/ani14020354
APA StyleLiu, J., Jin, Y., Zhou, S., Wang, X., Li, Y., Luan, P., Li, H., Leng, L., & Wang, Y. (2024). A Study on the Growth and Development Characteristics of Lindian Chickens. Animals, 14(2), 354. https://doi.org/10.3390/ani14020354

