Changes of Hepcidin, Ferritin and Iron Levels in Cycling Purebred Spanish Mares
Abstract
Simple Summary
Abstract
1. Introduction
2. Materials and Methods
2.1. Animals
2.2. Blood Samples
2.3. Determination of Serum iron (Fe), Ferritin (Ferr), Hepcidin (Hepc), 17β-Estradiol (E2) and Progesterone (P4) Concentrations
2.4. Statistical Analyses
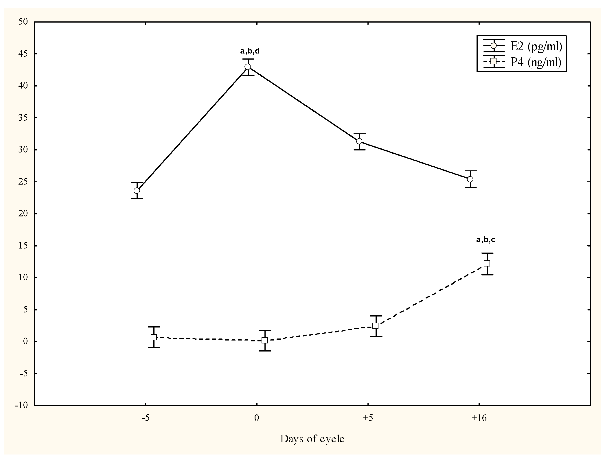
3. Results
4. Discussion
4.1. Effects of Estrous Cycle on the Fe and Ferr Homeostasis
4.2. Effects of Estradiol-17β and Progesterone on Fe and Ferr Homeostasis
5. Conclusions
Author Contributions
Funding
Institutional Review Board Statement
Informed Consent Statement
Data Availability Statement
Conflicts of Interest
References
- Carter, E.I.; Valli, V.E.; McSherry, B.J.; Milne, F.J.; Robinson, G.A.; Lumsden, J.H. The kinetics of hematopoiesis in the light horse. I. The lifespan of peripheral blood cells in the normal horse. Can. J. Comp. Med. 1974, 38, 303–313. [Google Scholar]
- National Research Council (NRC). The Nutrient Requirements of Horses, 6th ed.; Natl Acad. Press: Washington, DC, USA, 2007.
- Oliveira Filho, J.P.; Badial, P.R.; Cunha, P.H.J.; Cruz, T.F.; Araújo, J.P., Jr.; Divers, T.J.; Winand, N.J.; Borges, A.S. Cloning, sequencing and expression analysis ofthe equine hepcidin gene by real-time PCR. Vet. Immunol. Immunopathol. 2010, 135, 34–42. [Google Scholar] [CrossRef]
- Nemeth, E.; Tuttle, M.S.; Powelson, J.; Vaughn, M.B.; Donovan, A.; Ward, D.M.; Ganz, T.; Kaplan, J. Hepcidin regulates cellular iron efflux by binding to ferroportin and inducing its internalization. Science 2004, 306, 2090–2093. [Google Scholar] [CrossRef] [PubMed]
- Ganz, T.; Nemeth, E. Hepcidin and iron homeostasis. Biochim. Biophys. Acta 2012, 1823, 1434–1443. [Google Scholar] [CrossRef] [PubMed]
- Belza, A.; Henriksen, M.; Ersbøll, A.K.; Thilsted, S.H.; Tetens, I. Day-to-day variation in iron-status measures in young iron-deplete women. Br. J. Nutr. 2005, 94, 551–556. [Google Scholar] [CrossRef] [PubMed]
- Angeli, A.; Lainé, F.; Lavenu, A.; Ropert, M.; Lacut, K.; Gissot, V.; Sylvie Sacher-Huvelin, S.; Jezequel, C.; Moignet, A.; Laviolle, B.; et al. Joint model of iron and hepcidin during the menstrual cycle in healthy women. AAPS J. 2016, 18, 490–504. [Google Scholar] [CrossRef]
- Lainé, F.; Angeli, A.; Ropert, M.; Jezequel, C.; Bardou-Jacquet, E.; Deugnier, Y.; Gissot, V.; Lacut, K.; Sacher-Huvelin, S.; Lavenu, A.; et al. Variations of hepcidin and iron-status parameters during the menstrual cycle in healthy women. Br. J. Haematol. 2016, 175, 980–982. [Google Scholar] [CrossRef]
- Suzuki, Y.; Sakuraba, K.; Sunohara, M.; Takaragawa, M. Variations in iron status linked to menstrual cycles among Japanese female athletes. Int. J. Anal. Bio-Sci. 2018, 6, 45–50. [Google Scholar]
- Zheng, H.; Badenhorst, C.E.; Lei, T.H.; Liao, Y.H.; Muhamed, A.M.C.; Fujii, N.; Kondo, N.; Mündel, T. Menstrual phase and ambient temperature do not influence iron regulation in the acute exercise period. Am. J. Physiol. 2021, 320, R780–R790. [Google Scholar] [CrossRef]
- Alfaro-Magallanes, V.M.; Romero-Parra, N.; Barba-Moreno, L.; Rael, B.; Benito, P.J.; Díaz, Á.E.; Cupeiro, R.; Peinado, A.B. Serum iron availability, but not iron stores, is lower in naturally menstruating than in oral contraceptive athletes. Eur. J. Sport Sci. 2022, 6, 231–240. [Google Scholar] [CrossRef]
- Peinado, A.B.; Alfaro-Magallanes, V.M.; Romero-Parra, N.; Barba-Moreno, L.; Rael, B.; Maestre-Cascales, C.; Rojo-Tirado, M.A.; Castro, E.A.; Benito, P.J.; Ortega-Santos, C.P.; et al. Methodological approach of the iron and muscular damage: Female metabolism and menstrual cycle during exercise project (IronFEMME study). Int. J. Environ. Res. Public Health 2021, 18, 735. [Google Scholar] [CrossRef] [PubMed]
- Lehtihet, M.; Bonde, Y.; Beckman, L.; Berinder, K.; Hoybye, C.; Rudling, M.; Sloan, J.H.; Konrad, R.J.; Angelin, B. Circulating hepcidin-25 is reduced by endogenous estrogen in humans. PLoS ONE 2016, 11, e0148802. [Google Scholar] [CrossRef] [PubMed]
- Bajbouj, K.; Shafarin, J.; Allam, H.; Madkour, M.; Awadallah, S.; El-Serafy, A.; Sandeep, D.; Hamad, M. Elevated levels of estrogen suppress hepcidin synthesis and enhance serum iron availability in premenopausal women. Exp. Clin. Endocrinol. Diabetes 2018, 126, 453–459. [Google Scholar] [CrossRef]
- Hamad, M.; Bajbouj, K.; Taneera, J. The case for an estrogen-iron axis in health and disease. Exp. Clin. Endocrinol. Diabetes 2020, 128, 270–277. [Google Scholar] [CrossRef]
- Qian, Y.; Zhang, S.; Guo, W.; Ma, J.; Chen, Y.; Wang, L.; Zhao, M.; Liu, S. Polychlorinated biphenyls (PCBs) inhibit hepcidin expression through an estrogen-like effect associated with disordered systemic iron homeostasis. Chem. Res. Toxicol. 2015, 28, 629–640. [Google Scholar] [CrossRef] [PubMed]
- Li, X.; Rhee, D.K.; Malhotra, R.; Mayeur, C.; Hurst, L.A.; Ager, E.; Shelton, G.; Kramer, Y.; McCulloh, D.; Keefe, D.; et al. Progesterone receptor membrane component-1 regulates hepcidin biosynthesis. J. Clin. Investig. 2016, 126, 389–401. [Google Scholar] [CrossRef]
- Wijekoon, S.; Tsogbadrakh, M.; Sunaga, T.; Wang, Y.; Mwale, C.; Kim, S.; Alimaa, D.; Okumura, M. Pentosan polysulfate regulates hepcidin expression in native Mongolian horses. J. Vet. Med. Sci. 2022, 84, 1437–1441. [Google Scholar] [CrossRef]
- Oliveira-Filho, J.P.; Badial, P.R.; Cunha, P.H.J.; Bordon, A.P. Freund’s adjuvant induced inflammation: Clinical findings and its effect on hepcidin mRNA expression in horses. Pesq. Vet. Bras. 2014, 34, 51–56. [Google Scholar] [CrossRef]
- Oliveira-Filho, J.P.; Badial, P.R.; Cunha, P.H.; Peiró, J.R.; Araújo, J.P., Jr.; Divers, T.J.; Winand, N.J.; Borges, A.S. Lipopolysaccharide infusion up-regulates hepcidin mRNA expression in equine liver. Innate Immun. 2012, 18, 438–446. [Google Scholar] [CrossRef]
- Hou, Y.; Zhang, S.; Wang, L.; Li, J.; Qu, G.; He, J.; Rong, H.; Ji, H.; Liuet. Estrogen regulates iron homeostasis through governing hepatic hepcidin expression via an estrogen response element. Gene 2012, 511, 398–403. [Google Scholar] [CrossRef]
- Ratcliffe, W.A.; Carter, G.D.; Dowsett, M.; Hillier, S.G.; Middle, J.G.; Reed, M.J. Oestradiol assays: Applications and guidelines for the provision of a clinical biochemistry service. Ann. Clin. Biochem. 1988, 25, 466–483. [Google Scholar] [CrossRef]
- Satué, K.; Marcilla, M.; Medica, P.; Ferlazzo, A.; Fazio, E. Sequential concentrations of placental growth factor and haptoglobin, and their relation to oestrone sulphate and progesterone in pregnant Spanish Purebred mare. Theriogenology 2018, 115, 77–83. [Google Scholar] [CrossRef]
- Satué, K.; Calvo, A.; Muñoz, A.; Fazio, E.; Medica, P. Interrelationship between reproductive hormones and acute phase proteins during estrous cycle and pregnancy in Spanish purebred broodmares. Vet. Anim. Sci. 2021, 14, 100212. [Google Scholar] [CrossRef]
- Aguree, S.; Murray-Kolb, L.E.; Diaz, F.; Gernand, A.D. Menstrual cycle-associated changes in micronutrient biomarkers concentration: A prospective cohort study. J. Am. Nutr. Assoc. 2022, 24, 339–348. [Google Scholar] [CrossRef] [PubMed]
- Inoue, K.; Sugiyama, M. Changes in body iron status, heart rate, and unspecific symptoms across menstrual cycle in marginally iron-deficient young women. J. Clin. Biochem. Nutr. 1998, 24, 99–104. [Google Scholar] [CrossRef]
- Barba-Moreno, L.; Alfaro-Magallanes, V.M.; de Jonge, X.A.K.J.; Díaz, A.E.; Cupeiro, R.; Peinado, A.B. Hepcidin and interleukin-6 responses to endurance exercise over the menstrual cycle. Eur. J. Sport Sci. 2020, 22, 218–226. [Google Scholar] [CrossRef] [PubMed]
- Galetti, V.; Stoffel, N.; Sieber, C.; Zeder, C.; Moretti, D.; Zimmermann, M. Threshold ferritin and hepcidin concentrations indicating early iron deficiency in young women based on upregulation of iron absorption. EClinicalMedicine 2021, 39, 101052. [Google Scholar] [CrossRef] [PubMed]
- Kim, I.; Yetley, E.A.; Calvo, M.S. Variations in iron-status measures during the menstrual cycle. Am. J. Clin. Nutr. 1993, 58, 705–709. [Google Scholar] [CrossRef]
- Ginther, O.J.; Gastal, E.L.; Gastal, M.O.; Beg, M.A. Regulation of circulating gonadotropins by the negative effects of ovarian hormones in mares. Biol. Reprod. 2005, 73, 315–323. [Google Scholar] [CrossRef] [PubMed]
- Gastal, E.L. Recent advances and new concepts on follicle and endocrine dynamics during the equine periovulatory period. Anim. Reprod. 2009, 6, 144–158. [Google Scholar]
- Yang, Q.; Jian, J.; Katz, S.; Abramson, S.B.; Huang, X. 17β-Estradiol inhibits iron hormone hepcidin through an estrogen responsive element half-site. Endocrinology 2012, 153, 3170–3178. [Google Scholar] [CrossRef]
- Ikeda, Y.; Tajima, S.; Izawa-Ishizawa, Y.; Kihira, Y.; Ishizawa, K.; Tomita, S.; Tsuchiya, K.; Tamaki, T. Estrogen regulates hepcidin expression via GPR30-BMP6-dependent signaling in hepatocytes. PLoS ONE 2012, 7, e40465. [Google Scholar] [CrossRef]
- Bajbouj, K.; Shafarin, J.; Muhammad, J.S.; Ali, A.; Unnikannan, H.; Suleiman, B.; Al-Jabi, N.; Menon, K.; Hamad, M. Estrogen signaling differentially alters iron metabolism in monocytes in an Interleukin 6-dependent manner. Immunobiology 2020, 225, 151995. [Google Scholar] [CrossRef]
- Straub, R.H. The complex role of estrogens in inflammation. Endocr. Rev. 2007, 28, 521–574. [Google Scholar] [CrossRef] [PubMed]
- Gaskins, A.J.; Wilchesky, M.; Mumford, S.L.; Whitcomb, B.W.; Browne, R.W.; Wactawski-Wende, J.; Perkins, N.J.; Schisterman, E.F. Endogenous reproductive hormones and C-reactive protein across the menstrual cycle: The BioCycle Study. Am. J. Epidemiol. 2012, 175, 423–431. [Google Scholar] [CrossRef] [PubMed]
- Samimi, A.S.; Aghamiri, S.M.; Babaei, H.; Heidarabadypor, R. Changes of acute-phase proteins during different phases of the estrous cycle in Ovsynch-synchronized Holstein cows. Iran. J. Vet. Res. 2020, 21, 226–229. [Google Scholar] [PubMed]
- Sciorsci, R.L.; Galgano, M.; Mutinati, M.; Rizzo, A. Oxidative state in the estrus cycle of the buffaloes: A preliminary study. Trop. Anim. Health Prod. 2020, 52, 1331–1334. [Google Scholar] [CrossRef]
- Cook, C.J.; Crewther, B.T.; Kilduff, L.P.; Agnew, L.L.; Fourie, P.; Serpell, B.G. Testosterone and dihydrotestosterone changes in male and female athletes relative to training status. Int. J. Sports Physiol. Perform. 2021, 16, 1700–1706. [Google Scholar] [CrossRef]
- Latour, C.; Kautz, L.; Besson-Fournier, C.; Island, M.L.; Canonne-Hergaux, F.; Loréal, O.; Ganz, T.; Coppin, E.; Rothet, M.P. Testosterone perturbs systemic iron balance through activation of epidermal growth factor receptor signaling in the liver and repression of hepcidin. Hepatology 2014, 59, 683–694. [Google Scholar] [CrossRef]
- Nemeth, E.; Ganz, T. 2009. The role of hepcidin in iron metabolism. Acta Haematol. 2009, 122, 78–86. [Google Scholar] [CrossRef]
- Matta, R.A.; AbdElftah, M.E.; Essawy, M.G.; Abdelfadel Saedii, A. Interplay of serum hepcidin with female sex hormones, metabolic syndrome, and abdominal fat distribution among premenopausal and postmenopausal women. Egypt J. Intern. Med. 2022, 34, 8. [Google Scholar] [CrossRef]
- Chandra, S.; Gupta, N.; Patel, S. Study of iron status indicators in different phases of menstrual cycle in first year medical college females. Int. J. Res. Med. Sci. 2017, 5, 46–49. [Google Scholar] [CrossRef]
- Ferreira, C.; Santambrogio, P.; Martin, M.E.; Andrieu, V.; Feldmann, G.; Hénin, D.; Beaumont, C.H. Ferritin knockout mice: A model of hyperferritinemia in the absence of iron overload. Blood 2001, 98, 525–532. [Google Scholar] [CrossRef] [PubMed]
- Peeling, P.; Sim, M.; Badenhorst, C.E.; Dawson, B.; Govus, A.D.; Abbiss, C.R.; Swinkels, D.S.; Trinder, D. Iron status and the acute post-exercise hepcidin response in athletes. PLoS ONE 2014, 9, e93002. [Google Scholar] [CrossRef]
- Andersen, S.; Petersen, H.H.; Ersbøll, A.K.; Falk-Rønne, J.; Jacobsen, S. Vaccination elects a prominent acute phase response in horses. Vet. J. 2012, 191, 199–202. [Google Scholar] [CrossRef] [PubMed]
- Jacobsen, S.; Nielsen, J.V.; Kjelgaard-Hansen, M.; Toelboell, T.; Fjeldborg, J.; Halling-Thomsen, M.; Martinussen, T.; Thoefner, M.B. Acute phase response to surgery of varying intensity in horses: A preliminary study. Vet. Surg. 2009, 38, 762–769. [Google Scholar] [CrossRef] [PubMed]
- Inoue, Y.; Matsui, A.; Asai, Y.; Aoki, F.; Matsui, T.; Yano, H. Effect of exercise on iron metabolism in horses. Biol. Trace Elem. Res. 2005, 107, 33–42. [Google Scholar] [CrossRef]


| Parameters | Days of Cycle | Mean ± SD | Range |
|---|---|---|---|
| Fe (μg/dL) | −5 | 173.2 ± 24.9 | 140–202 |
| 0 | 182.7 ± 11.3 | 165–201 | |
| +5 | 157.7 ± 21.2 | 183–188 | |
| +16 | 136.6 ± 17.9 | 110–160 | |
| Ferr (μg/dL) | −5 | 181.2 ± 19.8 | 134–202 |
| 0 | 182.2 ± 14.0 | 158–202 | |
| +5 | 148.4 ± 32.9 | 56–189 | |
| +16 | 198.2 ± 6.4 | 189–208 | |
| Hepc (μg/dL) | −5 | 132.2 ± 24.3 | 100–189 |
| 0 | 73.2 ± 9.48 | 56–89 | |
| +5 | 141.0 ± 12.92 | 110–159 | |
| +16 | 170.1 ± 17.5 | 135–190 | |
| E2 (pg/mL) | −5 | 24.3 ± 0.77 | 22.2–25.3 |
| 0 | 44.62 ± 3.58 | 36.9–49.0 | |
| +5 | 31.3 ± 0.10 | 31.2–31.4 | |
| +16 | 26.8 ± 1.32 | 23.3–27.8 | |
| P4 (ng/mL) | −5 | 0.71 ± 0.04 | 0.63–0.74 |
| 0 | 0.17 ± 0.01 | 0.13–0.18 | |
| +5 | 2.52 ± 0.08 | 2.34–2.56 | |
| +16 | 7.04 ± 6.56 | 1.10–22.5 |
| Ferr (μg/dL) | Hepc (ng/dL) | E2 (pg/mL) | P4 (ng/mL) | |
|---|---|---|---|---|
| Fe (μg/dL) | 0.53 | −0.72 | 0.40 | −0.52 |
| Ferr (μg/dL) | −0.02 | −0.08 | 0.28 | |
| Hepc (ng/mL) | −0.75 | 0.54 | ||
| E2 (pg/mL) | −0.36 |
Disclaimer/Publisher’s Note: The statements, opinions and data contained in all publications are solely those of the individual author(s) and contributor(s) and not of MDPI and/or the editor(s). MDPI and/or the editor(s) disclaim responsibility for any injury to people or property resulting from any ideas, methods, instructions or products referred to in the content. |
© 2023 by the authors. Licensee MDPI, Basel, Switzerland. This article is an open access article distributed under the terms and conditions of the Creative Commons Attribution (CC BY) license (https://creativecommons.org/licenses/by/4.0/).
Share and Cite
Satué, K.; Fazio, E.; La Fauci, D.; Medica, P. Changes of Hepcidin, Ferritin and Iron Levels in Cycling Purebred Spanish Mares. Animals 2023, 13, 1229. https://doi.org/10.3390/ani13071229
Satué K, Fazio E, La Fauci D, Medica P. Changes of Hepcidin, Ferritin and Iron Levels in Cycling Purebred Spanish Mares. Animals. 2023; 13(7):1229. https://doi.org/10.3390/ani13071229
Chicago/Turabian StyleSatué, Katiuska, Esterina Fazio, Deborah La Fauci, and Pietro Medica. 2023. "Changes of Hepcidin, Ferritin and Iron Levels in Cycling Purebred Spanish Mares" Animals 13, no. 7: 1229. https://doi.org/10.3390/ani13071229
APA StyleSatué, K., Fazio, E., La Fauci, D., & Medica, P. (2023). Changes of Hepcidin, Ferritin and Iron Levels in Cycling Purebred Spanish Mares. Animals, 13(7), 1229. https://doi.org/10.3390/ani13071229

