Properties of Yoghurt Fortified in Lactoferrin with Effect of Storage Time
Abstract
Simple Summary
Abstract
1. Introduction
2. Materials and Methods
2.1. Research Material
2.2. Yoghurt Production
2.3. Yoghurt Analysis
2.3.1. Basic Composition and Acidity
2.3.2. Lactoferrin
2.3.3. Acidity
2.3.4. Microbiological Evaluation
2.3.5. Texture
2.3.6. Water Activity
2.3.7. Water-Holding Capacity and Syneresis
2.3.8. Colour Measured Instrumentally
2.3.9. Organoleptic Assessment
2.4. Statistical Analysis
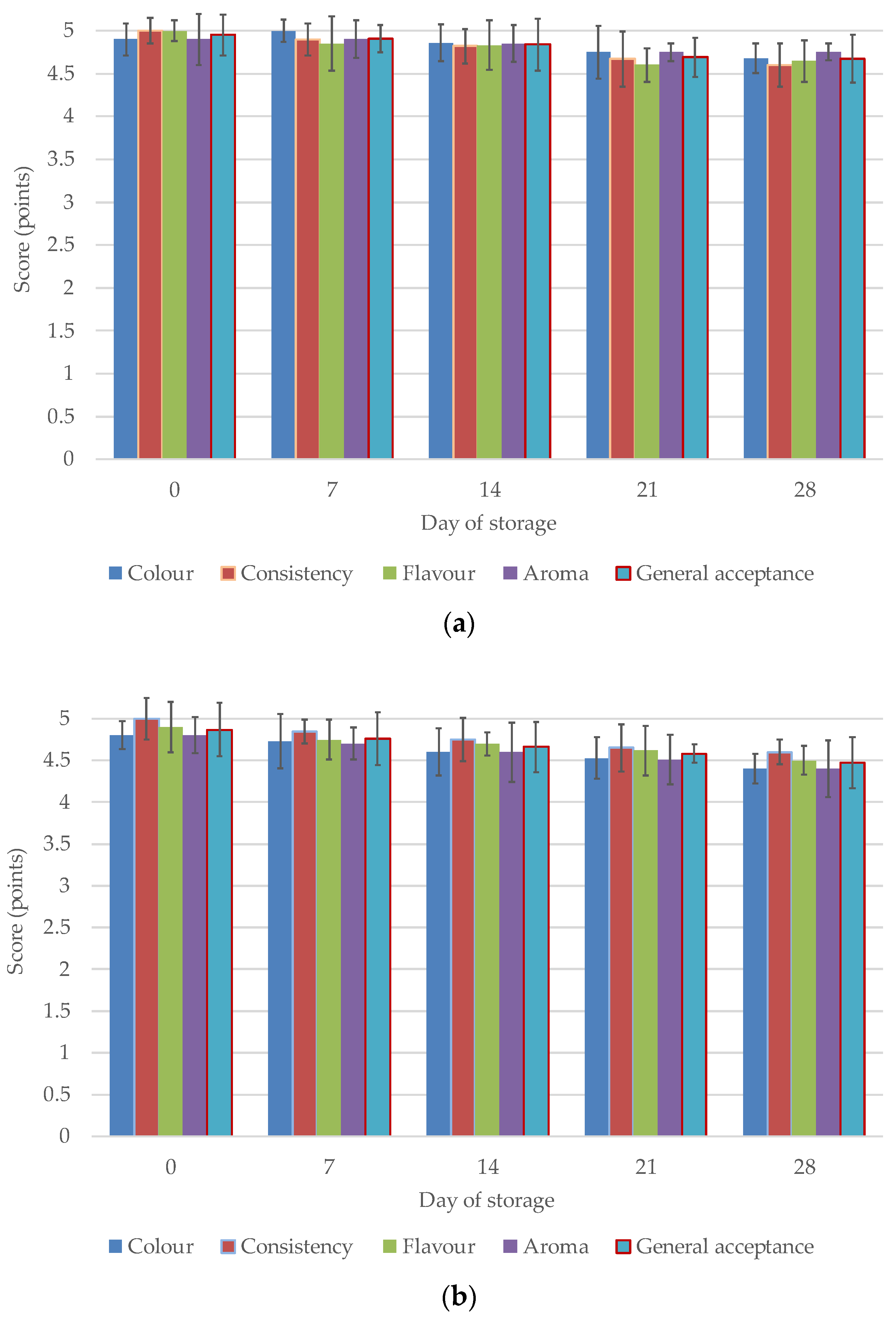
3. Results
3.1. Nutritional Value
3.2. Lactoferrin
3.3. Acidity (pH Value and Lactic Acid)
3.4. Microbiological Evaluation
3.5. Texture
3.6. Water Activity
3.7. Water–Holding Capacity and Syneresis
3.8. Colour Parameters
3.9. Organoleptic Assessment
4. Conclusions
Author Contributions
Funding
Institutional Review Board Statement
Informed Consent Statement
Data Availability Statement
Acknowledgments
Conflicts of Interest
References
- Food and Agriculture Organization of the United Nations. Food-Based Dietary Guidelines. FAO. 2020. Available online: http://www.fao.org/nutrition/education/food-dietary-guidelines/home/en/ (accessed on 16 September 2022).
- Comerford, K.B.; Miller, G.D.; Boileau, A.C.; Masiello Schuette, S.N.; Giddens, J.C.; Brown, K.A. Global review of dairy rec-ommendations in food-based dietary guidelines. Front. Nutr. 2021, 8, 671999. [Google Scholar] [CrossRef] [PubMed]
- Nastaj, M.; Sołowiej, B.; Gustaw, W. Physicochemical properties of high protein meringues made from different whey protein preparations. Zywnosc. Nauk. Technol. Jakosc 2014, 93, 33–47. [Google Scholar]
- Kowalczyk, P.; Kaczyńska, K.; Kleczkowska, P.; Bukowska-Ośko, I.; Kramkowski, K.; Sulejczak, D. The lactoferrin phenom-enon—A miracle molecule. Molecules 2022, 27, 2941. [Google Scholar] [CrossRef]
- Król, J.; Brodziak, A.; Zaborska, A.; Litwińczuk, Z. Comparison of whey proteins and lipophilic vitamins between four cow breeds maintained in intensive production system. Mljekarstvo 2017, 67, 17–24. [Google Scholar]
- Barłowska, J.; Szwajkowska, M.; Litwińczuk, Z.; Król, J. Nutritional Value and Technological Suitability of Milk from Various Animal Species Used for Dairy Production. Compr. Rev. Food Sci. Food Saf. 2011, 10, 291–302. [Google Scholar] [CrossRef]
- Stobiecka, M.; Król, J.; Brodziak, A. Antioxidant Activity of Milk and Dairy Products. Animals 2022, 12, 245. [Google Scholar] [CrossRef]
- Yasueda, A.; Ito, T.; Maeda, K. Review: Evidence-based Clinical Research of Anti-obesity Supplements in Japan. Immunol. Endocr. Metab. Agents Med. Chem. 2013, 13, 185–195. [Google Scholar] [CrossRef]
- Mohamed, W.A.; Schaalan, M.F. Antidiabetic efficacy of lactoferrin in type 2 diabetic pediatrics; controlling impact on PPAR-γ, SIRT-1, and TLR4 downstream signaling pathway. Diabetol. Metab. Syndr. 2018, 10, 89. [Google Scholar] [CrossRef]
- Zee, R.Y.; Cook, N.R.; Cheng, S.; Erlich, H.A.; Lindpaintner, K.; Ridker, P.M. Polymorphism in the beta2-adrenergic receptor and lipoprotein lipase genes as risk determinants for idiopathic venous thromboembolism: A multilocus, population-based, prospective genetic analysis. Circulation 2006, 113, 2193–2200. [Google Scholar] [CrossRef]
- Mayeur, S.; Spahis, S.; Pouliot, Y.; Levy, E. Lactoferrin, a Pleiotropic Protein in Health and Disease. Antioxid. Redox Signal. 2016, 24, 813–836. [Google Scholar] [CrossRef]
- Abu Hashim, H.; Foda, O.; Ghayaty, E. Lactoferrin or ferrous salts for iron deficiency anemia in pregnancy: A meta-analysis of randomized trials. Eur. J. Obstet. Gynecol. Reprod. Biol. 2017, 219, 45–52. [Google Scholar] [CrossRef] [PubMed]
- Tutykhina, I.L.; Bezborodova, O.A.; Shmarov, M.M.; Logunov, D.Y.; Neugodova, G.L.; Nemtsova, E.R.; Naroditsky, B.S.; Yakubovskaya, R.I.; Gintsburg, A.L. Production of recombinant human lactoferrin in the allantoic fluid of embryonated chicken eggs and its characteristics. Protein Expr. Purif. 2009, 65, 100–107. [Google Scholar] [CrossRef] [PubMed]
- Ling, C.J.; Min, Q.Q.; Yang, J.R.; Zhang, Z.; Yang, H.H.; Xu, J.Y.; Qin, L.Q. Lactoferrin alleviates the progression of athero-sclerosis in ApoE−/− mice fed with high-fat/cholesterol diet through cholesterol homeostasis. J. Med. Food 2019, 22, 1000–1008. [Google Scholar] [CrossRef] [PubMed]
- Potì, F.; Pozzoli, C.; Adami, M.; Poli, E.; Costa, L.G. Treatments for COVID-19: Emerging drugs against the coronavirus. Acta Bio Med. Atenei Parm. 2020, 91, 118–136. [Google Scholar] [CrossRef]
- Maciel, K.S.; Santos, L.S.; Bonomo, R.C.F.; Verissimo, L.A.A.; Minim, V.P.R.; Minim, L.A. Purification of lactoferrin from sweet whey using ultrafiltration followed by expanded bed chromatography. Sep. Purif. Technol. 2020, 251, 117324. [Google Scholar] [CrossRef]
- Wang, Q.; Chen, G.Q.; Kentish, S.E. Isolation of lactoferrin and immunoglobulins from dairy whey by an electrodialysis with filtration membrane process. Sep. Purif. Technol. 2020, 233, 115987. [Google Scholar] [CrossRef]
- Commission Implementing Decision of 22 November 2012 Authorising the Placing on the Market of Bovine Lactoferrin as a Novel Food Ingredient under Regulation (EC) No 258/97 of the European Parliament and of the Council (Friesland Campina) (Notified under Document C(2012) 8404). Available online: https://eur-lex.europa.eu/legal-content/EN/TXT/PDF/?uri=CELEX:32012D0727&from=PL (accessed on 16 May 2022).
- Commission Implementing Regulation (EU) 2018/1023 of 23 July 2018 Correcting Implementing Regulation (EU) 2017/2470 Establishing the Union List of Novel Foods (L 187). Available online: https://eur-lex.europa.eu/legal-content/EN/TXT/HTML/?uri=CELEX:32018R1023&from=EN (accessed on 10 May 2022).
- Inay, O.M.; da Silva, A.S.; Honjoya, E.R.; Sugimoto, H.H.; de Souza, C.H.B.; de Santana, E.H.W.; de OliveiraAragon, L.A.; Alegro, L.C. Action of lactoferrin on the multiplication of Lactobacillus casei in vitro and in Minas fresh cheese. Semin. Cienc. Agrar. 2012, 33, 3153–3162. [Google Scholar] [CrossRef]
- Franco, I.; Castillo, E.; Pérez, M.; Calvo, M.; Sánchez, L. Effect of bovine lactoferrin addition to milk in yogurt manufacturing. J. Dairy Sci. 2010, 93, 4480–4489. [Google Scholar] [CrossRef]
- Shaaban, H.A.-G.; Karam-Allah, A.A.K.; Abo-Zaid, E.M.; Refae, M.M.; Saad, S.A.; Hassanin, A.M.; El-Waseif, M.A.E.-M. Functional stirred Yoghurt fortified with buffalo, bovine, mix colostrum and lactoferrin, effect of lactoferrin on pathogenic bacteria and amino acids of buffalo, bovine colostrum and lactoferrin. Egypt J. Chem. 2022, 65, 583–594. [Google Scholar] [CrossRef]
- Akal, H.C.; Ozturkoglu-Budak, S.; Bereli, N.; Cimen, D.; Akgonullu, S. Effect of donkey milk lactoferrin and lysozyme on yoghurt properties. Mljekarstvo 2022, 72, 77–87. [Google Scholar] [CrossRef]
- Glibowski, P.; Rybak, P. Rheological and sensory properties of stirred yoghurt with inulin-type fructans. Int. J. Dairy Technol. 2015, 69, 122–128. [Google Scholar] [CrossRef]
- PN-EN ISO 8968-1:2014; Milk and Milk Products—Determination of Nitrogen Content—Part 1: Kjeldahl Principle and Crude Protein Calculation. ISO: Geneva, Switzerland, 2014.
- PN-A-86061:2006; Milk and Milk Products. Fermented Milk. NCBI: Bethesda, MA, USA, 2006.
- Brodziak, A.; Barłowska, J.; Król, J.; Litwińczuk, Z. Effect of breed and feeding system on content of selected whey proteins in cow’s milk in spring-summer and autumn-winter seasons. Ann. Anim. Sci. 2012, 12, 261–269. [Google Scholar] [CrossRef]
- IDF/ISO Standard; Yogurt. Determination of Titratable Acidity. No. 150. ISO: Brussels, Belgium, 1991.
- PN-EN ISO 7218:2008/A1:2013–10; Food and Feed Microbiology—General Requirements and Principles of Microbiological Testing. ISO: Geneva, Switzerland, 2013.
- PN-EN ISO 6887-5:2020–10; Food Chain Microbiology—Preparation of Samples, Stock Suspension and Tenfold Dilutions for Microbiological Analysis—Part 5: Specific Guidelines for the Preparation of Milk and Milk Products. ISO: Geneva, Switzerland, 2020.
- PN-ISO 7889:2007; Yogurt—Enumeration of Characteristic Microorganisms—Colony Count Technique at 37 °C. ISO: Geneva, Switzerland, 2007.
- PN-ISO 6611: 2007; Milk and Milk Products—Enumeration of Colony Forming Units of Yeast and/or Mold—Plate Method at 25 °C. ISO: Geneva, Switzerland, 2007.
- PN-ISO 20128:2012; Dairy Products—Enumeration of Putative Lactobacillus acidophilus on a Selective Medium—Colony Count Technique at 37 °C. ISO: Geneva, Switzerland, 2012.
- PN-ISO 15213:2005; Food and Feed Microbiology—Horizontal Method for the Enumeration of Sulphate (IV) Reducing Bacteria Growing under Anaerobic Conditions. ISO: Geneva, Switzerland, 2005.
- PN-ISO 4832:2007; Food and Feed Microbiology—Horizontal Method for the Enumeration of Coliform Bacteria—Plate Method. ISO: Geneva, Switzerland, 2007.
- PN-ISO 10272-2:2017; Microbiology of the Food Chain—Horizontal Method for Detection and Enumeration of Campylobacter spp.—Part 1: Detection Method. Part 2: Colony—Count Technique. ISO: Geneva, Switzerland, 2017.
- PN-EN ISO 6579-1:2017-04; Food Chain Microbiology—Horizontal Detection Method, Enumeration and Serotyping of Salmonella—Part 1: Salmonella spp. Detection. ISO: Geneva, Switzerland, 2017.
- Bong, D.; Moraru, C. Use of micellar casein concentrate for Greek-style yogurt manufacturing: Effects on processing and product properties. J. Dairy Sci. 2014, 97, 1259–1269. [Google Scholar] [CrossRef] [PubMed]
- Narayana, N.M.N.K.; Gupta, V.K. Quality of cow milk plain set yogurt as affected by ultrafiltration process. Trop. Agric. Res. Ext. 2015, 16, 74. [Google Scholar] [CrossRef]
- Cais-Sokolińska, D.; Walkowiak-Tomczak, D. Consumer-perception, nutritional, and functional studies of a yogurt with restructured elderberry juice. J. Dairy Sci. 2021, 104, 1318–1335. [Google Scholar] [CrossRef]
- CIE. Colorimetry, 3rd ed.; Commission International de l’Eclairage: Vienna, Austria, 2004; pp. 16–20. Available online: https://cielab.xyz/pdf/cie.15.2004%20colorimetry.pdf (accessed on 17 September 2022).
- ISO 4121:2003; Sensory Analysis—Guidelines for the Use of Quantitative Response Scales. ISO: Geneva, Switzerland, 2003.
- Baryłko-Pikielna, N.; Matuszewska, I. Sensory food testing. In Basics Methods Usage; Polish Society of Food Technologists Scientific Publisher: Kraków, Poland, 2014; pp. 267–275. [Google Scholar]
- Tavakoli, M.; Najafi, M.B.H.; Mohebbi, M. Effect of the milk fat content and starter culture selection on proteolysis and antioxidant activity of probiotic yogurt. Heliyon 2019, 5, e01204. [Google Scholar] [CrossRef]
- Brodziak, A.; Król, J.; Barłowska, J.; Teter, A.; Florek, M. Changes in the Physicochemical Parameters of Yoghurts with Added Whey Protein in Relation to the Starter Bacteria Strains and Storage Time. Animals 2020, 10, 1350. [Google Scholar] [CrossRef]
- Brodziak, A.; Król, J.; Litwińczuk, Z. Evaluation of content of protein fraction components in different types of drinking milk. In Properties of Food Products and Raw Materials; Selected Issues; Tarko, T., DudaChodak, A., Witczak, M., Eds.; Oddział Małopolski Polskiego Towarzystwa Technologów Żywności Publishing: Kraków, Poland, 2014; pp. 4–14. [Google Scholar]
- Claeys, W.; Verraes, C.; Cardoen, S.; De Block, J.; Huyghebaert, A.; Raes, K.; Dewettinck, K.; Herman, L. Consumption of raw or heated milk from different species: An evaluation of the nutritional and potential health benefits. Food Control 2014, 42, 188–201. [Google Scholar] [CrossRef]
- Darmawan, K.K.; Karagiannis, T.C.; Hughes, J.G.; Small, D.M.; Hung, A. High temperature induced structural changes of apo-lactoferrin and interactions with β-lactoglobulin and α-lactalbumin for potential encapsulation strategies. Food Hydrocoll. 2020, 105, 105817. [Google Scholar] [CrossRef]
- Conesa, C.; Sánchez, L.; Rota, C.; Pérez, M.-D.; Calvo, M.; Farnaud, S.; Evans, R.W. Isolation of lactoferrin from milk of different species: Calorimetric and antimicrobial studies. Comp. Biochem. Physiol. Part B Biochem. Mol. Biol. 2008, 150, 131–139. [Google Scholar] [CrossRef]
- Liu, H.; Boggs, I.; Weeks, M.; Li, Q.; Wu, H.; Harris, P.; Ma, Y.; Day, L. Kinetic modelling of the heat stability of bovine lactoferrin in raw whole milk. J. Food Eng. 2020, 280, 109977. [Google Scholar] [CrossRef]
- Matijašić, B.B.; Oberčkal, J.; Mohar Lorbeg, P.; Paveljšek, D.; Skale, N.; Kolenc, B.; Zupančič, J.M. Characterisation of Lactoferrin Isolated from Acid Whey Using Pilot-Scale Monolithic Ion-Exchange Chromatography. Processes 2020, 8, 804. [Google Scholar] [CrossRef]
- Brodziak, A.; Król, J.; Litwińczuk, Z.; Zaborska, A.; Czernecki, T. Effect of storage time under home refrigeration conditions on the quality of opened drinking milk. Mljekarstvo 2017, 67, 283–296. [Google Scholar] [CrossRef]
- De Brabandere, A.G.; De Baerdemaeker, J.G. Effects of process conditions on the pH development during yogurt fermentation. J. Food Eng. 1999, 41, 221–227. [Google Scholar] [CrossRef]
- Amadarshanie, D.B.T.; Gunathilaka, T.L.; Silva, R.M.; Navaratne, S.B.; Peiris, L.D.C. Functional and antiglycation properties of cow milk set yogurt enriched with Nyctanthes arbortristis L. flower extract. LWT 2022, 154, 112910. [Google Scholar] [CrossRef]
- Tamime, A.Y.; Deeth, H.C. Yogurt: Technology and biochemistry. J. Food Prot. 1980, 43, 939–977. [Google Scholar] [CrossRef]
- Arslaner, A.; Salik, M.A.; Bakirci, I. The effects of adding Hibiscus sabdariffa L. flowers marmalade on some quality properties, mineral content and antioxidant activities of yogurt. J. Food Sci. Technol. 2021, 58, 223–233. [Google Scholar] [CrossRef]
- Zakaria, A.; Abdelhiee, E.; Fadl, S.; Ombarak, R. The Impact of Lactoferrin Fortification on the Health Benefits and Sensory Properties of Yogurt. J. Curr. Veter. Res. 2020, 2, 105–112. [Google Scholar] [CrossRef]
- European Uninion Law. Commission Regulation (EC) No 2073/2005 of 15 November 2005 on Microbiological Criteria for Foodstuffs. 2005. Available online: https://eur-lex.europa.eu/legal-content/EN/ALL/?uri=CELEX%3A32005R2073 (accessed on 7 March 2022).
- Kycia, K.; Krysiński, C. Microbiological and hygienic quality of commercial goat milk yoghurts in context of their therapeutic properties. Probl. Hig. Epidemiol. 2014, 95, 186–191. [Google Scholar]
- Codex Stan 243-2003. Codex Standard for Fermented Milks. Adopted in 2003. Revision 2008, 2010. Available online: http://www.fao.org/fao-who-codexalimentarius/sh-proxy/en/?lnk=1&url=https%253A%252F%252Fworkspace.fao.org%252Fsites%252Fcodex%252FStandards%252FCXS%2B243-2003%252FCXS_243e.pdf (accessed on 21 September 2022).
- Kim, W.-S.; Ohashi, M.; Tanaka, T.; Kumura, H.; Kim, G.-Y.; Kwon, I.-K.; Goh, J.-S.; Shimazaki, K.-I. Growth-promoting effects of lactoferrin on L. acidophilus and Bifidobacterium spp. Biometals 2004, 17, 279–283. [Google Scholar] [CrossRef]
- Steijns, J.M.; van Hooijdonk, A.C.M. Occurrence, structure, biochemical properties and technological characteristics of lac-toferrin. Br. J. Nutr. 2000, 84, 11–17. [Google Scholar] [CrossRef] [PubMed]
- Mudgil, P.; Jumah, B.; Ahmad, M.; Hamed, F.; Maqsood, S. Rheological, micro-structural and sensorial properties of camel milk yogurt as influenced by gelatin. LWT 2018, 98, 646–653. [Google Scholar] [CrossRef]
- Dołhańczuk-Śródka, A.; Nabrdalik, M.; Maślak, N.; Wąsiewicz, N.; Ziembik, Z. The rheological properties of natural yoghurt. PECO 2015, 9, 193–200. [Google Scholar]
- Nguyen, P.-T.; Nguyen, T.-T.; Bui, D.-C.; Hong, P.-T.; Hoang, Q.-K.; Nguyen, H.-T. Exopolysaccharide production by lactic acid bacteria: The manipulation of environmental stresses for industrial applications. AIMS Microbiol. 2020, 6, 451–469. [Google Scholar] [CrossRef] [PubMed]
- Sørensen, H.M.; Rochfort, K.D.; Maye, S.; MacLeod, G.; Brabazon, D.; Loscher, C.; Freeland, B. Exopolysaccharides of Lactic Acid Bacteria: Production, Purification and Health Benefits towards Functional Food. Nutrients 2022, 14, 2938. [Google Scholar] [CrossRef]
- Hassan, A.N.; Ipsen, R.; Janzen, T.; Qvist, K.B. Microstructure and Rheology of Yogurt Made with Cultures Differing Only in Their Ability to Produce Exopolysaccharides. J. Dairy Sci. 2003, 86, 1632–1638. [Google Scholar] [CrossRef]
- Nishinari, K.; Takemasa, M.; Brenner, T.; Su, L.; Fang, Y.; Hirashima, M.; Yoshimura, M.; Nitta, Y.; Moritaka, H.; Tomczynska-Mleko, M.; et al. The Food Colloid Principle in the Design of Elderly Food. J. Texture Stud. 2016, 47, 284–312. [Google Scholar] [CrossRef]
- Moschopoulou, E.; Sakkas, L.; Zoidou, E.; Theodorou, G.; Sgouridou, E.; Kalathaki, C.; Liarakou, A.; Chatzigeorgiou, A.; Politis, I.; Moatsou, G. Effect of milk kind and storage on the biochemical, textural and biofunctional characteristics of set-type yoghurt. Int. Dairy J. 2018, 77, 47–55. [Google Scholar] [CrossRef]
- Domagała, J.; Wszołek, M.; Tamime, A.Y.; Kupiec-Teahan, B. The effect of transglutaminase concentration on the texture, syneresis and microstructure of set-type goat’s milk yoghurt during the storage period. Small Rum. Res. 2013, 112, 154–161. [Google Scholar] [CrossRef]
- Pawlos, M.; Znamirowska, A.; Kalicka, D.; Szajnar, K. Effect of storage time and type of vaccine on the texture and sensory quality of yoghurts obtained by the thermostatic method. In Properties of Products and Food Raw Materials; Tarko, T., Duda-Chodak, A., Witczak, M., Najgebauer-Lejko, M., Eds.; Małopolska Branch of the Polish Society of Food Technologists: Krakov, Poland, 2014; Volume I, pp. 15–25. [Google Scholar]
- Bierzuńska, P.; Cais-Sokolińska, D.; Yiğit, A. Storage Stability of Texture and Sensory Properties of Yogurt with the Addition of Polymerized Whey Proteins. Foods 2019, 8, 548. [Google Scholar] [CrossRef]
- Das, A.; Seth, R. Chemical compositional analysis and physical attributes of curd fortified with bovine colostrum whey powder. Int. J. Chem. Stud. 2017, 5, 334–338. [Google Scholar]
- Ayar, A.; Sicramaz, H.; Cetin, I. The effect of bovine colostrum on the lactic flora of yoghurt and kefir. JSM Biotechnol. Biomed. Eng. 2016, 3, 1063–1074. [Google Scholar]
- Gürbüz, Z.; Erkaya-Kotan, T.; Şengül, M. Evaluation of physicochemical, microbiological, texture and microstructure charac-teristics of set-style yoghurt supplemented with quince seed mucilage powder as a novel natural stabiliser. Int. Dairy J. 2021, 114, 104938. [Google Scholar] [CrossRef]
- Olkowski, M.A.; Pluta, A.; Berthold-Pluta, A.; Wiska, J. Water activity of dairy products. Part I. Food Ind. 2012, 66, 31–34. [Google Scholar]
- Godlewska, K. Additives: How to determine the best-before date for milk and milk products. Forum Mlecz Bizn. 2012, 15, 1–3. [Google Scholar]
- Lee, W.J.; Lucey, J.A. Formation and physical properties of yoghurt. Asian Australas J. Anim. Sci. 2010, 23, 1127–1136. [Google Scholar] [CrossRef]
- Akalın, A.S.; Unal, G.; Dinkci, N.; Hayaloglu, A.A. Microstructural, textural, and sensory characteristics of probiotic yogurts fortified with sodium calcium caseinate or whey protein concentrate. J. Dairy Sci. 2012, 95, 3617–3628. [Google Scholar] [CrossRef]
- Kozioł, J.; Gustaw, W.; Waśko, A.; Skrzypczak, K.; Sławińska, A.; Sołowiej, B. Effect of selected milk protein preparations on growth and survival of lactobacillus acidophilus as well as on rheological properties of fermented milk beverages. Food Sci. Technol. Qual. 2014, 20, 41–55. [Google Scholar] [CrossRef]
- Ning, X.; Luo, Z.; Chen, Z.; Zhou, C.; Xie, C.; Du, W.; Wang, L. Fortification of set yogurt with passion fruit juice: Effects on fermentation kinetics, physicochemical properties, and functionality. J. Dairy Sci. 2021, 104, 4084–4093. [Google Scholar] [CrossRef]
- Dimitrellou, D.; Solomakou, N.; Kokkinomagoulos, E.; Kandylis, P. Yogurts Supplemented with Juices from Grapes and Berries. Foods 2020, 9, 1158. [Google Scholar] [CrossRef]
- Zielińska, D.; Marciniak-Lukasiak, K.; Karbowiak, M.; Lukasiak, P. Effects of Fructose and Oligofructose Addition on Milk Fermentation Using Novel Lactobacillus Cultures to Obtain High-Quality Yogurt-like Products. Molecules 2021, 26, 5730. [Google Scholar] [CrossRef] [PubMed]
- Znamirowska, A.; Buniowska, M.; Rożek, P.; Kalicka, D.; Pawlos, M. Evaluation of the quality of thermostatic yoghurts with spelt fibre and inulin. Nauka Przyroda Technol. 2018, 12, 103–112. [Google Scholar]
- Khalil, O.S.F.; Ismail, H.A.; Elkot, W.F. Physicochemical, functional and sensory properties of probiotic yoghurt flavored with white sapote fruit (Casimiroa edulis). J. Food Sci. Technol. 2022, 59, 3700–3710. [Google Scholar] [CrossRef] [PubMed]
- Pires, T.C.; Dias, M.I.; Barros, L.; Barreira, J.C.; Santos-Buelga, C.; Ferreira, I.C. Incorporation of natural colorants obtained from edible flowers in yogurts. LWT 2018, 97, 668–675. [Google Scholar] [CrossRef]
- Cais-Sokolińska, D.; Pikul, J. Use of colour measurement to evaluate yoghurt quality during storage. Ital. J. Food Sci. 2006, 18, 63–71. [Google Scholar]
- Routray, W.; Mishra, H.N. Scientific and Technical Aspects of Yogurt Aroma and Taste: A Review. Compr. Rev. Food Sci. Food Saf. 2011, 10, 208–220. [Google Scholar] [CrossRef]
- Saad, M.A.; Ombarak, R.A.; Abd Rabou, H.S. Effect of nisin and lysozyme on bacteriological and sensorial quality of pasteurized milk. J. Adv. Vet. Anim. Res. 2019, 6, 403–408. [Google Scholar] [CrossRef]
- Nottagh, S.; Hesari, J.; Peighambardoust, S.H.; Rezaei-Mokarram, R.; Jafarizadeh-Malmiri, H. Effectiveness of edible coating based on chitosan and Natamycin on biological, physico-chemical and organoleptic attributes of Iranian ultra-filtrated cheese. Biologia 2020, 75, 605–611. [Google Scholar] [CrossRef]




| Yoghurt Type | Day of Storage | Number of Samples * | Energy (kJ/100 g) | Total Protein (%) | Fat (%) | Dry Matter (%) |
|---|---|---|---|---|---|---|
| Plain, natural yoghurt | 0 | 3 | 63 ± 3 | 3.14 bx ± 0.05 | 3.26 ± 0.06 | 12.27 Bx ± 0.26 |
| 7 | 3 | 63 ± 4 | 3.12 bx ± 0.08 | 3.22 ± 0.08 | 12.18 Bx ± 0.20 | |
| 14 | 3 | 62 ± 3 | 3.07 abx ± 0.11 | 3.16 ± 0.12 | 11.99 Bx ± 0.31 | |
| 21 | 3 | 63 ± 4 | 2.98 ax ± 0.09 | 3.12 ± 0.10 | 11.34 Ax ± 0.25 | |
| 28 | 3 | 62 ± 5 | 2.88 ax ± 0.12 | 3.10 ± 0.15 | 10.95 Ax ± 0.43 | |
| Yoghurt with lactoferrin | 0 | 3 | 64 ± 2 | 3.33 by ± 0.04 | 3.25 ± 0.07 | 12.36 Cy ± 0.30 |
| 7 | 3 | 64 ± 3 | 3.22 by ± 0.07 | 3.23 ± 0.11 | 12.29 BCy ± 0.37 | |
| 14 | 3 | 64 ± 4 | 3.16 by ± 0.13 | 3.18 ± 0.14 | 12.12 By ± 0.40 | |
| 21 | 3 | 63 ± 4 | 3.08 ay ± 0.11 | 3.15 ± 0.12 | 11.49 Ay ± 0.33 | |
| 28 | 3 | 63 ± 6 | 3.00 ay ± 0.10 | 3.11 ± 0.16 | 11.10 Ay ± 0.52 |
| Yoghurt Type | Number of Samples * | Day of Storage | Lactoferrin (mg/100 g) |
|---|---|---|---|
| Plain, natural yoghurt | 3 | 0 | 47.69 bX ± 2.95 |
| 3 | 7 | 47.12 bX ± 2.51 | |
| 3 | 14 | 45.24 abX ± 4.25 | |
| 3 | 21 | 44.01 abX ± 4.90 | |
| 3 | 28 | 41.17 aX ± 4.86 | |
| Yoghurt with lactoferrin | 3 | 0 | 131.15 bY ± 9.17 |
| 3 | 7 | 130.37 bY ± 12.01 | |
| 3 | 14 | 129.20 bY ± 11.38 | |
| 3 | 21 | 126.64 abY ± 14.10 | |
| 3 | 28 | 123.55 aY ± 14.84 |
| Yoghurt Type | Day of Storage | Number of Samples * | Total Bacteria Count | Total Number of Fungi | Total Number of Lactic Acid Bacteria | Total Number of Bacteria of the Genus Clostridium sp. | Total Number of Coli Bacteria (Endo) | Total Number of Faecal Coliforms (mFC) | Presence of Salmonella Bacilli | Presence of Campylobacter Bacilli |
|---|---|---|---|---|---|---|---|---|---|---|
| Plain, natural yoghurt | 0 | 3 | 0 | 0 | 6.9 × 107 | 0 | 0 | 0 | 0 | 0 |
| 7 | 3 | 0 | 0 | 7.6 × 107 | 0 | 0 | 0 | 0 | 0 | |
| 14 | 3 | <1.5 × 101 Y | 0 | 6.4 × 107 | 0 | 0 | 0 | 0 | 0 | |
| 21 | 3 | <1.5 × 101 Y | 0 | 5.9 × 107 | 0 | 0 | 0 | 0 | 0 | |
| 28 | 3 | <1.5 × 101 Y | 0 | 5.2 × 107 | 0 | 0 | 0 | 0 | 0 | |
| Yoghurt with lactoferrin | 0 | 3 | 0 | 0 | 7.1 × 107 | 0 | 0 | 0 | 0 | 0 |
| 7 | 3 | 0 | 0 | 7.4 × 107 | 0 | 0 | 0 | 0 | 0 | |
| 14 | 3 | 0 X | 0 | 6.5 × 107 | 0 | 0 | 0 | 0 | 0 | |
| 21 | 3 | 0 X | 0 | 5.8 × 107 | 0 | 0 | 0 | 0 | 0 | |
| 28 | 3 | 0 X | 0 | 5.0 × 107 | 0 | 0 | 0 | 0 | 0 |
| Yoghurt Type | Day of Storage | Number of Samples * | Firmness (N) | Consistency (mJ) | Cohesive Strength (N) | Dynamic Viscosity (mPa·s) |
|---|---|---|---|---|---|---|
| Plain, natural yoghurt | 0 | 3 | 3.89 A ± 2.17 | 2.38 A ± 0.40 | 1.18 ± 0.12 | 812 ± 86 |
| 7 | 3 | 4.43 B ± 1.51 | 2.82 A ± 0.14 | 1.16 ± 0.10 | 950 ± 102 | |
| 14 | 3 | 4.73 AB ± 1.34 | 3.09 B ± 0.23 | 1.13 ± 0.10 | 1130 ± 76 | |
| 21 | 3 | 6.23 C ± 1.02 | 3.85 C ± 0.29 | 1.10 ± 0.14 | 1292 ± 100 | |
| 28 | 3 | 6.45 C ± 1.10 | 3.73 C ± 0.42 | 1.07 ± 0.15 | 1975 ± 143 | |
| Yoghurt with lactoferrin | 0 | 3 | 3.35 A ± 2.09 | 2.01 B ± 0.28 | 1.20 ± 0.09 | 850 ± 62 |
| 7 | 3 | 4.21 B ± 1.38 | 2.47 A ± 0.60 | 1.17 ± 0.13 | 910 ± 57 | |
| 14 | 3 | 4.08 AB ± 1.21 | 2.26 B ± 0.35 | 1.13 ± 0.12 | 1090 ± 91 | |
| 21 | 3 | 6.09 C ± 1.42 | 4.06 C ± 0.55 | 1.13 ± 0.11 | 1209 ± 126 | |
| 28 | 3 | 6.27 C ± 1.35 | 4.08 C ± 0.34 | 1.10 ± 0.16 | 1370 ± 107 |
| Yoghurt Type | Day of Storage | Number of Samples * | Water Activity | Water-Holding Capacity—WHC (%) | Spontaneous Whey Syneresis—SWS (%) |
|---|---|---|---|---|---|
| Plain, natural yoghurt | 0 | 3 | 0.937 a ± 0.008 | 86.25 c ± 0.62 | 0.1 A ± 0.0 |
| 7 | 3 | 0.945 a ± 0.007 | 82.94 b ± 0.53 | 0.5 B ± 0.1 | |
| 14 | 3 | 0.960 ab ± 0.013 | 80.79 a ± 0.94 | 0.8 B ± 0.2 | |
| 21 | 3 | 0.964 b ± 0.009 | 80.05 a ± 1.68 | 1.0 BC ± 0.3 | |
| 28 | 3 | 0.971 b ± 0.005 | 78.04 a ± 1.15 | 1.2 C ± 0.2 | |
| Yoghurt fortified in lactoferrin | 0 | 3 | 0.948 a ± 0.006 | 87.00 c ± 0.34 | 0.1 A ± 0.1 |
| 7 | 3 | 0.957 a ± 0.014 | 84.46 b ± 0.60 | 0.4 B ± 0.1 | |
| 14 | 3 | 0.952 a ± 0.009 | 81.63 a ± 0.87 | 0.5 B ± 0.3 | |
| 21 | 3 | 0.961 a ± 0.010 | 80.17 a ± 1.79 | 0.8 BC ± 0.2 | |
| 28 | 3 | 0.978 b ± 0.007 | 79.02 a ± 1.52 | 1.0 C ± 0.3 |
| Yoghurt Type | Day of Storage | Number of Samples * | L* | a* | b* |
|---|---|---|---|---|---|
| Plain, natural yoghurt | 0 | 3 | 97.75 By ± 1.69 | −4.43 AX± 0.18 | 18.12 ay ± 0.14 |
| 7 | 3 | 96.48 By ± 1.37 | −4.01 AX ± 0.23 | 18.15 ay ± 0.10 | |
| 14 | 3 | 96.01 By ± 1.25 | −3.82 AX ± 0.27 | 18.32 ay ± 0.08 | |
| 21 | 3 | 94.62 ABy ± 1.90 | −3.57 ABX ± 0.37 | 18.45 aby ± 0.11 | |
| 28 | 3 | 93.71 Ay ± 1.86 | −3.16 BX ± 0.38 | 18.57 by ± 0.13 | |
| Yoghurt fortified in lactoferrin | 0 | 3 | 91.06 Bx ± 1.71 | −2.04 AY ± 0.22 | 17.68 ax ± 0.20 |
| 7 | 3 | 90.43 Bx ± 1.15 | −1.75 AY ± 0.16 | 17.73 ax ± 0.14 | |
| 14 | 3 | 90.02 Bx ± 1.38 | −1.44 ABY ± 0.29 | 17.84 ax ± 0.15 | |
| 21 | 3 | 88.31 ABx ± 1.20 | −1.18 BY ± 0.36 | 17.96 abx ± 0.20 | |
| 28 | 3 | 87.15 Ax ± 1.42 | −0.85 BY ±0.45 | 18.12 bx ± 0.23 |
Disclaimer/Publisher’s Note: The statements, opinions and data contained in all publications are solely those of the individual author(s) and contributor(s) and not of MDPI and/or the editor(s). MDPI and/or the editor(s) disclaim responsibility for any injury to people or property resulting from any ideas, methods, instructions or products referred to in the content. |
© 2023 by the authors. Licensee MDPI, Basel, Switzerland. This article is an open access article distributed under the terms and conditions of the Creative Commons Attribution (CC BY) license (https://creativecommons.org/licenses/by/4.0/).
Share and Cite
Jańczuk, A.; Brodziak, A.; Król, J.; Czernecki, T. Properties of Yoghurt Fortified in Lactoferrin with Effect of Storage Time. Animals 2023, 13, 1610. https://doi.org/10.3390/ani13101610
Jańczuk A, Brodziak A, Król J, Czernecki T. Properties of Yoghurt Fortified in Lactoferrin with Effect of Storage Time. Animals. 2023; 13(10):1610. https://doi.org/10.3390/ani13101610
Chicago/Turabian StyleJańczuk, Anna, Aneta Brodziak, Jolanta Król, and Tomasz Czernecki. 2023. "Properties of Yoghurt Fortified in Lactoferrin with Effect of Storage Time" Animals 13, no. 10: 1610. https://doi.org/10.3390/ani13101610
APA StyleJańczuk, A., Brodziak, A., Król, J., & Czernecki, T. (2023). Properties of Yoghurt Fortified in Lactoferrin with Effect of Storage Time. Animals, 13(10), 1610. https://doi.org/10.3390/ani13101610

