Perceptions of Body Condition, Diet and Exercise by Sports Dog Owners and Pet Dog Owners
Abstract
Simple Summary
Abstract
1. Introduction
2. Methods
2.1. Participants
2.2. Body Condition/Composition
(Measurements were obtained with a flexible tape measure.)
2.3. Modified Dog Owner Attitude Questionnaire
2.4. Data Analysis
3. Results
3.1. Human Participants
3.2. Dog Participants
3.3. Feeding
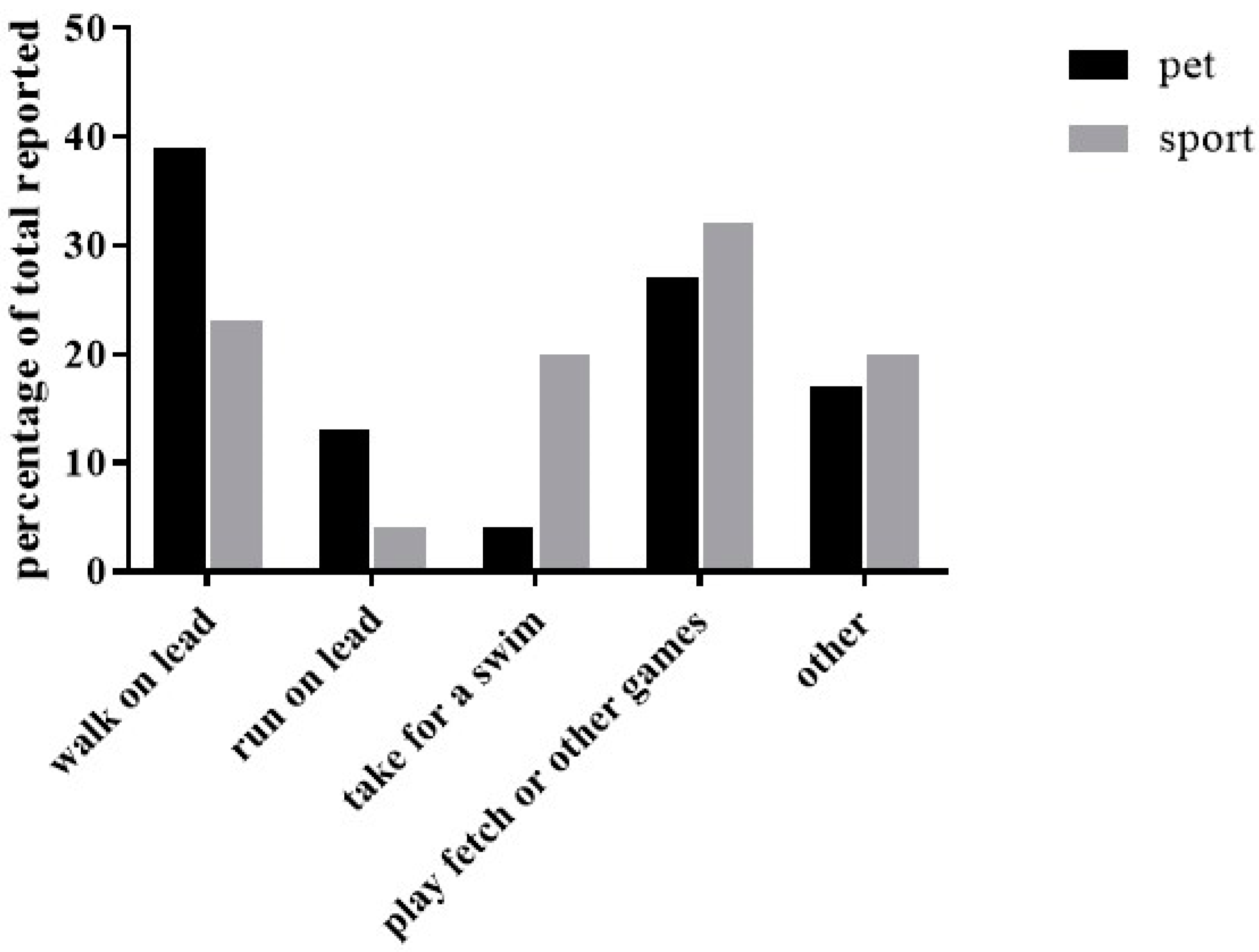
3.4. Exercise
3.5. Questionnaire
3.6. Feeding
3.7. Exercise
4. Discussion
4.1. Dogs
4.2. Spay/Neuter Status
4.3. Owner’s Knowledge of Dog’s Body Condition
4.4. Feeding
4.5. Exercise
4.6. Limitations
Supplementary Materials
Author Contributions
Funding
Institutional Review Board Statement
Data Availability Statement
Acknowledgments
Conflicts of Interest
References
- McGreevy, P.D.; Thomson, P.C.; Pride, C.; Fawcett, A.; Grassi, T.; Jones, B. Prevalence of obesity in dogs examined by Australian veterinary practices and the risk factors involved. Vet. Rec. 2005, 156, 695–702. [Google Scholar] [CrossRef]
- Lund, E.M.; Armstrong, P.J.; Kirk, C.A.; Klausner, J.S. Prevalence and risk factors for obesity in adult dogs from private US veterinary practices. Int. J. Appl. Res. Vet. Med. 2006, 4, 177–186. [Google Scholar]
- Colliard, L.; Ancel, J.; Benet, J.J.; Paragon, B.M.; Blanchard, G. Risk factors for obesity in dogs in France. J. Nutr. 2006, 136, 1951S–1954S. [Google Scholar] [CrossRef]
- Courcier, E.A.; Mellor, D.J.; Thomson, R.M.; Yam, P.S. A cross sectional study of the prevalence and risk factors for owner misperception of canine body shape in first opinion practice in Glasgow. Prev. Vet. Med. 2011, 102, 66–74. [Google Scholar] [CrossRef]
- Bjornvad, C.R.; Gloor, S.; Johansen, S.S.; Sandoe, P.; Lund, T.B. Neutering increases the risk of obesity in male dogs but not in bitches—A cross-sectional study of dog- and owner-related risk factors for obesity in Danish companion dogs. Prev. Vet. Med. 2019, 170, 104730. [Google Scholar] [CrossRef]
- Raffan, E.; Smith, S.P.; O’Rahilly, S.; Wardle, J. Development, factor structure and application of the Dog Obesity Risk and Appetite (DORA) questionnaire. PeerJ 2015, 3. [Google Scholar] [CrossRef]
- Bland, I.M.; Guthrie-Jones, A.; Taylor, R.D.; Hill, J. Dog obesity: Owner attitudes and behaviour. Prev. Vet. Med. 2009, 92, 333–340. [Google Scholar] [CrossRef] [PubMed]
- Robertson, I.D. The association of exercise, diet and other factors with owner-perceived obesity in privately owned dogs from metropolitan Perth, WA. Prev. Vet. Med. 2003, 58, 75–83. [Google Scholar] [CrossRef]
- Kienzle, E.; Bergler, R.; Mandernach, A. A comparison of the feeding behavior and the human-animal relationship in owners of normal and obese dogs. J. Nutr. 1998, 128, 2779S–2782S. [Google Scholar] [CrossRef]
- Rohlf, V.I.; Toukhsati, S.; Coleman, G.J.; Bennett, P.C. Dog obesity: Can dog caregivers’ (owners’) feeding and exercise intentions and behaviors be predicted from attitudes? J. Appl. Anim. Welf. Sci. 2010, 13, 213–236. [Google Scholar] [CrossRef] [PubMed]
- Webb, T.L.; Krasuska, M.; Toth, Z.; du Plessis, H.R.; Colliard, L. Using research on self-regulation to understand and tackle the challenges that owners face helping their (overweight) dogs lose weight. Prev. Vet. Med. 2018, 159, 227–231. [Google Scholar] [CrossRef]
- White, G.A.; Ward, L.; Pink, C.; Craigon, J.; Millar, K.M. “Who’s been a good dog?”—Owner perceptions and motivations for treat giving. Prev. Vet. Med. 2016, 132, 14–19. [Google Scholar] [CrossRef] [PubMed]
- Farrell, J.M.; Hope, A.E.; Hulstein, R.; Spaulding, S.J. Dog-sport competitors: What motivates people to participate with their dogs in sporting events? Anthrozoos 2015, 28, 61–71. [Google Scholar] [CrossRef]
- Hultsman, W.Z. Couple involvement in serious leisure: Examining participation in dog agility. Leis. Stud. 2012, 31, 231–253. [Google Scholar] [CrossRef]
- Gillespie, D.L.; Leffler, A.; Lerner, E. If it weren’t for my hobby, I’d have a life: Dog sports, serious leisure, and boundary negotiations. Leis. Stud. 2002, 21, 285–304. [Google Scholar] [CrossRef]
- Ajzen, I. The theory of planned behavior. Organ. Behav. Hum. Dec. 1991, 50, 179–211. [Google Scholar] [CrossRef]
- Mawby, D.I.; Bartges, J.W.; d’Avignon, A.; Laflamme, D.P.; Moyers, T.D.; Cottrell, T. Comparison of various methods for estimating body fat in dogs. J. Am. Anim. Hosp. Assoc. 2004, 40, 109–114. [Google Scholar] [CrossRef] [PubMed]
- German, A.J.; Holden, S.L.; Wiseman-Orr, M.L.; Reid, J.; Nolan, A.M.; Biourge, V.; Morris, P.J.; Scott, E.M. Quality of life is reduced in obese dogs but improves after successful weight loss. Vet. J. 2012, 192, 428–434. [Google Scholar] [CrossRef] [PubMed]
- Eastland-Jones, R.C.; German, A.J.; Holden, S.L.; Biourge, V.; Pickavance, L.C. Owner misperception of canine body condition persists despite use of a body condition score chart. J. Nutr. Sci. 2014, 3, e45. [Google Scholar] [CrossRef] [PubMed]
- Hart, B.L.; Hart, L.A.; Thigpen, A.P.; Willits, N.H. Neutering of German shepherd dogs: Associated joint disorders, cancers and urinary incontinence. Vet. Med. Sci. 2016, 2, 191–199. [Google Scholar] [CrossRef]
- Hart, B.L.; Hart, L.A.; Thigpen, A.P.; Willits, N.H. Long-term health effects of neutering dogs: Comparison of labrador retrievers with golden retrievers. PLoS ONE 2014, 9. [Google Scholar] [CrossRef]
- De la Riva, G.T.; Hart, B.L.; Farver, T.B.; Oberbauer, A.M.; Messam, L.L.M.; Willits, N.; Hart, L.A. Neutering dogs: Effects on joint disorders and cancers in golden retrievers. PLoS ONE 2013, 8. [Google Scholar] [CrossRef] [PubMed]
- Toth, S.A.; Siegel, M.I. Canine cruciate ligament ruptures: Implications for financial costs and human health. Anat. Rec. 2020. [Google Scholar] [CrossRef]
- Linder, D.; Mueller, M. Pet obesity management: Beyond nutrition. Vet. Clin. N. Am. Small Anim. Pract. 2014, 44, 789–806. [Google Scholar] [CrossRef]
- Webb, T.L.; du Plessis, H.; Christian, H.; Raffan, E.; Rohlf, V.; White, G.A. Understanding obesity among companion dogs: New measures of owner’s beliefs and behaviour and associations with body condition scores. Prev. Vet. Med. 2020, 180. [Google Scholar] [CrossRef]
- Rolph, N.C.; Noble, P.J.M.; German, A.J. How often do primary care veterinarians record the overweight status of dogs? J. Nutr. Sci. 2014, 3. [Google Scholar] [CrossRef] [PubMed]
- White, G.A.; Hobson-West, P.; Cobb, K.; Craigon, J.; Hammond, R.; Millar, K.M. Canine obesity: Is there a difference between veterinarian and owner perception? J. Small Anim. Pract. 2011, 52, 622–626. [Google Scholar] [CrossRef] [PubMed]
- Warren, B.S.; Wakshlag, J.J.; Maley, M.; Farrell, T.J.; Struble, A.M.; Panasevich, M.R.; Wells, M.T. Use of pedometers to measure the relationship of dog walking to body condition score in obese and non-obese dogs. Br. J. Nutr. 2011, 106, S85–S89. [Google Scholar] [CrossRef] [PubMed]
- Westgarth, C.; Christley, R.M.; Jewell, C.; German, A.J.; Boddy, L.M.; Christian, H.E. Dog owners are more likely to meet physical activity guidelines than people without a dog: An investigation of the association between dog ownership and physical activity levels in a UK community. Sci. Rep. 2019, 9, 5704. [Google Scholar] [CrossRef] [PubMed]
- Cutt, H.; Giles-Corti, B.; Knuiman, M. Encouraging physical activity through dog walking: Why don’t some owners walk with their dog? Prev. Med. 2008, 46, 120–126. [Google Scholar] [CrossRef]
- Cutt, H.; Giles-Corti, B.; Knuiman, M.; Burke, V. Dog ownership, health and physical activity: A critical review of the literature. Health Place 2007, 13, 261–272. [Google Scholar] [CrossRef] [PubMed]
- Cutt, H.E.; Giles-Corti, B.; Knuiman, M.W.; Pikora, T.J. Physical activity behavior of dog owners: Development and reliability of the dogs and physical activity (DAPA) tool. J. Phys. Act. Health 2008, 5, S73–S89. [Google Scholar] [CrossRef] [PubMed]
- Richards, E.A.; McDonough, M.H.; Edwards, N.E.; Lyle, R.M.; Troped, P.J. Development and psychometric testing of the Dogs and WalkinG Survey (DAWGS). Res. Q. Exerc. Sport 2013, 84, 492–502. [Google Scholar] [CrossRef] [PubMed]
- LaVallee, E.; Mueller, M.K.; McCobb, E. A systematic review of the literature addressing veterinary care for underserved communities. J. Appl. Anim. Welf. Sci. 2017, 20, 381–394. [Google Scholar] [CrossRef] [PubMed]



| Categories from the Questionnaire | Average Score of Sports Dog Group n = 101 | Average Score of Pet Dog Group n = 70 | p | Effect Size Cohen’s D | Cronbach’s Alpha |
|---|---|---|---|---|---|
| Feeding barriers, external owner | 1.7 ± 0.7 | 2.2 ± 1.0 | 0.0001 | −0.57 | 0.71 |
| Feeding control | 6.7 ± 0.8 | 6.4 ± 0.9 | 0.037 | 0.33 | 0.71 |
| Feeding norms comply with others | 2.9 ± 1.3 | 2.7 ± 1.2 | NS | 0.16 | 0.79 |
| Feeding norms comply with vet | 4.1 ± 1.4 | 6.0 ± 1.0 | 0.0001 | −1.55 | 0.86 |
| Feeding norms, other | 2.0 ± 0.9 | 2.3 ± 0.9 | 0.024 | −0.35 | 0.76 |
| Categories from the Questionnaire | Average Score of Sports Dog Group n = 101 | Average Score of Pet Dog Group n = 70 | p | Effect Size Cohen’s D | Cronbach’s Alpha |
|---|---|---|---|---|---|
| Exercise beliefs external | 1.6 ± 0.8 | 2.1 ± 1.1 | 0.001 | −0.51 | 0.85 |
| Exercise beliefs owner | 1.8 ± 0.8 | 2.2 ± 0.8 | 0.002 | −0.46 | 0.78 |
| Exercise beliefs value | 6.5 ± 0.6 | 6.3 ± 0.7 | 0.017 | 0.38 | 0.72 |
| Exercise control | 6.6 ± 0.9 | 6.2 ± 1.0 | 0.007 | 0.43 | 0.95 |
| Exercise intentions | 6.6 ± 0.7 | 6.2 ± 0.8 | 0.0001 | 0.56 | 0.89 |
| Exercise lack of knowledge | 2.0 ± 1.0 | 3.2 ± 1.5 | 0.0001 | −0.92 | 0.85 |
| Exercise norms comply with others | 3.4 ± 1.4 | 3.2 ± 1.5 | NS | 0.14 | 0.85 |
| Exercise norms comply with vet | 4.6 ± 1.2 | 6.1 ± 0.8 | 0.0001 | −1.4 | 0.89 |
| Exercise norms other | 2.0 ± 1.0 | 2.6 ± 1.0 | 0.00001 | −0.66 | 0.89 |
Publisher’s Note: MDPI stays neutral with regard to jurisdictional claims in published maps and institutional affiliations. |
© 2021 by the authors. Licensee MDPI, Basel, Switzerland. This article is an open access article distributed under the terms and conditions of the Creative Commons Attribution (CC BY) license (https://creativecommons.org/licenses/by/4.0/).
Share and Cite
Kluess, H.A.; Jones, R.L.; Lee-Fowler, T. Perceptions of Body Condition, Diet and Exercise by Sports Dog Owners and Pet Dog Owners. Animals 2021, 11, 1752. https://doi.org/10.3390/ani11061752
Kluess HA, Jones RL, Lee-Fowler T. Perceptions of Body Condition, Diet and Exercise by Sports Dog Owners and Pet Dog Owners. Animals. 2021; 11(6):1752. https://doi.org/10.3390/ani11061752
Chicago/Turabian StyleKluess, Heidi A., Rebecca L. Jones, and Tekla Lee-Fowler. 2021. "Perceptions of Body Condition, Diet and Exercise by Sports Dog Owners and Pet Dog Owners" Animals 11, no. 6: 1752. https://doi.org/10.3390/ani11061752
APA StyleKluess, H. A., Jones, R. L., & Lee-Fowler, T. (2021). Perceptions of Body Condition, Diet and Exercise by Sports Dog Owners and Pet Dog Owners. Animals, 11(6), 1752. https://doi.org/10.3390/ani11061752

