Effects of a Diet Supplemented with Exogenous Catalase from Penicillium notatum on Intestinal Development and Microbiota in Weaned Piglets
Abstract
1. Introduction
2. Materials and Methods
2.1. Ethical Approval
2.2. Exogenous Catalase Production
2.3. Experimental Design and Animal Management
2.4. Sampling Procedure
2.5. Mucosal Morphology Measurement
2.6. Determination of H2O2 in Intestinal Tissue
2.7. Intestinal Antioxidant Parameters Determination
2.8. Intestinal Barrier Integrity Determination
2.9. Intestine Mucosal Proinflammatory Cytokine and SIgA Determination
2.10. Digesta pH Values Determination
2.11. Short-Chain Fatty Acids Concentration Analysis
2.12. Microbial Analysis
2.13. Statistical Analysis
3. Results
3.1. Effects of Exogenous CAT on Intestinal Relative Weight and Morphology
3.2. Effects of Exogenous CAT on Intestinal Antioxidative Capacity
3.3. Effects of Exogenous CAT on Intestinal Mucosa Barrier Function
3.4. Effects of Exogenous CAT on Intestinal Mucosa Proinflammatory Cytokines and SIgA Concentration
3.5. Effects of Exogenous CAT on Concentration of SCFAs and pH Values in Colonic Digesta
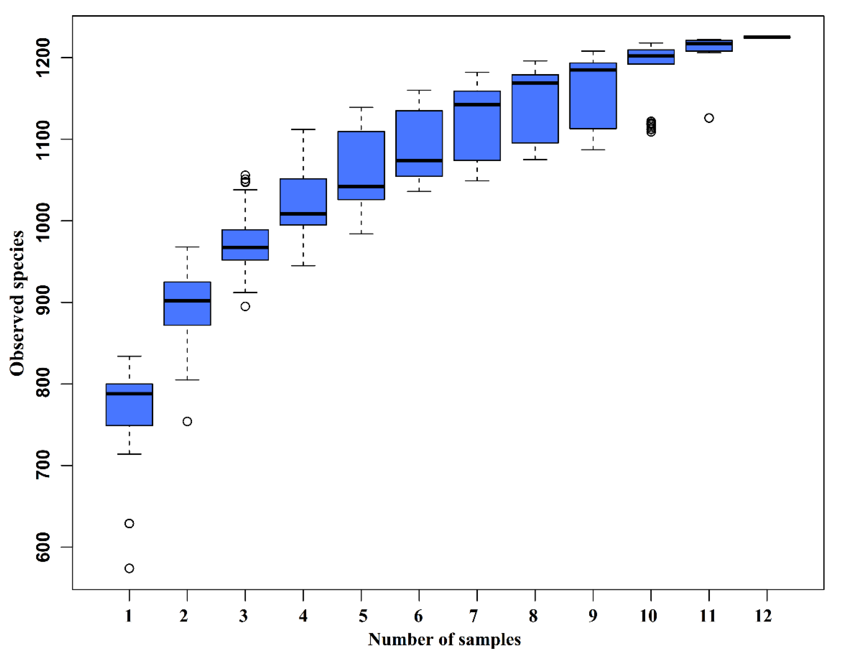
3.6. Effects of Exogenous CAT on Microbial Diversity in Colonic Digesta
3.7. Effects of Exogenous CAT on Microbial Relative Abundances in Colonic Digesta
3.8. Effects of Exogenous CAT on Microbial Functional Characteristics
4. Discussion
5. Conclusions
Supplementary Materials
Author Contributions
Funding
Acknowledgments
Conflicts of Interest
References
- Berkes, J.; Viswanathan, V.K.; Savkovic, S.D.; Hecht, G. Intestinal epithelial responses to enteric pathogens: Effects on the tight junction barrier, ion transport, and inflammation. Gut 2003, 52, 439–451. [Google Scholar] [CrossRef] [PubMed]
- Sekirov, I.; Russell, S.L.; Antunes, L.C.M.; Finlay, B.B. Gut microbiota in health and disease. Physiol. Rev. 2010, 90, 859–904. [Google Scholar] [CrossRef] [PubMed]
- Kau, A.L.; Ahern, P.P.; Griffin, N.W.; Goodman, A.L.; Gordon, J.I. Human nutrition, the gut microbiome and the immune system. Nature 2011, 474, 327. [Google Scholar] [CrossRef] [PubMed]
- Campbell, J.M.; Crenshaw, J.D.; Polo, J. The biological stress of early weaned piglets. J. Anim. Sci. Biotechn. 2013, 4, 19. [Google Scholar] [CrossRef]
- Luo, Z.; Zhu, W.; Guo, Q.; Luo, W.; Zhang, J.; Xu, W.; Xu, J. Weaning induced hepatic oxidative stress; apoptosis; and aminotransferases through mapk signaling pathways in piglets. Oxid. Med. Cell Longev. 2016, 2016, 1–10. [Google Scholar] [CrossRef] [PubMed]
- Hu, J.; Nie, Y.; Chen, J.; Zhang, Y.; Wang, Z.; Fan, Q.; Yan, X. Gradual changes of gut microbiota in weaned miniature piglets. Front. Microbiol. 2016, 7, 1727. [Google Scholar] [CrossRef]
- Qiao, Y.; Sun, J.; Ding, Y.; Le, G.; Yonghui, S. Alterations of the gut microbiota in high-fat diet mice is strongly linked to oxidative stress. Appl. Microbiol. Biotechn. 2013, 97, 1689–1697. [Google Scholar] [CrossRef]
- Chen, J.; Yu, B.; Chen, D.; Huang, Z.; Mao, X.; Zheng, P.; Yu, J.; Luo, J.; He, J. Chlorogenic acid improves intestinal barrier functions by suppressing mucosa inflammation and improving antioxidant capacity in weaned pigs. J. Nutr. Biochem. 2018, 59, 84. [Google Scholar] [CrossRef]
- Zhu, L.H.; Zhao, K.L.; Chen, X.L.; Xu, J.X. Impact of weaning and an antioxidant blend on intestinal barrier function and antioxidant status in pigs. J. Anim. Sci. 2012, 90, 2581. [Google Scholar] [CrossRef]
- Chen, J.; Xie, H.; Chen, D.; Yu, B.; Mao, X.; Zheng, P.; Yu, J.; Luo, Y.; Luo, J.; He, J. Chlorogenic acid improves intestinal development via suppressing mucosa inflammation and cell apoptosis in weaned pigs. Acs Omega 2018, 3, 2211–2219. [Google Scholar] [CrossRef]
- Chen, J.; Li, Y.; Yu, B.; Chen, D.; Mao, X.; Zheng, P.; Luo, J.; He, J. Dietary chlorogenic acid improves growth performance of weaned pigs through maintaining antioxidant capacity and intestinal digestion and absorption function. J. Anim. Sci. 2018, 96, 1108–1118. [Google Scholar] [CrossRef] [PubMed]
- Rezaie, A.; Parker, R.D.; Abdollahi, M. Oxidative stress and pathogenesis of inflammatory bowel disease, an epiphenomenon or the cause? Digest. Dis. Sci. 2007, 52, 2015. [Google Scholar] [CrossRef] [PubMed]
- Nappi, A.J.; Vass, E. Hydroxyl radical formation via iron-mediated Fenton chemistry is inhibited by methylated catechols. BBA-Gen. Subjects 1998, 1425, 159–167. [Google Scholar] [CrossRef]
- Zamocky, M.; Furtmüller, P.G.; Obinger, C. Evolution of catalases from bacteria to humans. Antioxid. Redox Sign. 2008, 10, 1527–1548. [Google Scholar] [CrossRef]
- Schrader, M.; Fahimi, H.D. Peroxisomes and oxidative stress. BBA-Mol. Cell Res. 2006, 1763, 1755–1766. [Google Scholar] [CrossRef]
- Kono, Y.; Fridovich, I. Superoxide radical inhibits catalase. J. Biol. Chem. 1982, 257, 5751–5754. [Google Scholar]
- Nakamura, K.; Watanabe, M.; Sasaki, Y.; Ikeda, T. Purification and characterization of liver catalase in acatalasemic beagle dog, comparison with normal dog liver catalase. Int. J. Biochem. Cell B. 2000, 32, 89–98. [Google Scholar] [CrossRef]
- Yumoto, I.; Ichihashi, D.; Iwata, H.; Istokovics, A.; Ichise, N.; Matsuyama, H.; Okuyama, H.; Kawasaki, K. Purification and characterization of a catalase from the facultatively psychrophilic bacterium Vibrio rumoiensis S-1T exhibiting high catalase activity. J. Bacteriol. 2000, 182, 1903. [Google Scholar] [CrossRef] [PubMed]
- Jackson, R.M.; Russell, W.J.; Veal, C.F. Endogenous and exogenous catalase in reoxygenation lung injury. J. Appl. Physiol. 1992, 72, 858–864. [Google Scholar] [CrossRef]
- Chu, H.D.; Leeder, J.G.; Gilbert, S.G. Immobilized catalase reactor for use in peroxide sterilization of dairy products. J. Food Sci. 1975, 40, 641–643. [Google Scholar] [CrossRef]
- Yoshimoto, M.; Miyazaki, Y.; Kudo, Y.; Fukunaga, K.; Nakao, K. Glucose oxidation catalyzed by liposomal glucose oxidase in the presence of catalase-containing liposomes. Biotechnol. Progr. 2006, 22, 704–709. [Google Scholar] [CrossRef] [PubMed]
- Paar, A.; Costa, S.; Tzanov, T.M.; Robra, K.H.; Cavaco-Paulo, A. Thermo-alkali-stable catalases from newly isolated Bacillus sp for the treatment and recycling of textile bleaching effluents. J. Biotechnol. 2001, 89, 147–153. [Google Scholar] [CrossRef]
- Wang, H. Effects of Exogenous Catalase on Tissue Antioxidant Capacity and Intestinal Microflora. Ph.D. Thesis, Jiangnan University, Wuxi, China, 2016. [Google Scholar]
- Li, Y.; Zhao, X.; Jiang, X.; Chen, L.; Hong, L.; Zhuo, Y.; Lin, Y.; Fang, Z.; Che, L.; Feng, B.; et al. Effects of dietary supplementation with exogenous catalase on growth performance, oxidative stress and hepatic apoptosis in weaned piglets challenged with lipopolysaccharide. J. Anim. Sci. (accepted). [CrossRef] [PubMed]
- Li, Y.; Chen, L.; Lin, Y.; Fang, Z.F.; Che, L.Q.; Xu, S.Y.; Wu, D. Effects of replacing soybean meal with detoxified Jatropha curcas kernel meal in the diet on growth performance and histopathological parameters of growing pigs. Anim. Feed Sci. Tech. 2015, 204, 18–27. [Google Scholar] [CrossRef]
- Li, Y.; Chen, L.; Lin, Y.; Fang, Z.F.; Che, L.Q.; Xu, S.Y.; Wu, D. Substitution of soybean meal with detoxified Jatropha curcas kernel meal, Effects on performance; nutrient utilization; and meat edibility of growing pigs. Asian Austral. J. Anim. 2018, 31, 888–898. [Google Scholar] [CrossRef] [PubMed]
- Li, Y.; Zhang, L.; Liu, H.; Yang, Y.; He, J.; Cao, M.; Yang, M.; Zhong, W.; Lin, Y.; Zhuo, Y.; et al. Effects of the ratio of insoluble fiber to soluble fiber in gestation diets on sow performance and offspring intestinal development. Animals 2019, 9, 422. [Google Scholar] [CrossRef]
- Chen, J.; Yu, B.; Chen, D.; Zheng, P.; Luo, Y.; Huang, Z.; Luo, J.; Mao, X.; Yu, J.; He, J. Changes of porcine gut microbiota in response to dietary chlorogenic acid supplementation. Appl. Microbiol. Biot. 2019, 1, 12. [Google Scholar] [CrossRef]
- Li, Y.; Liu, H.; Zhang, L.; Yang, Y.; Lin, Y.; Zhuo, Y.; Fang, Z.; Che, L.; Feng, B.; Xu, S.; et al. Maternal dietary fiber composition during gestation induces changes in offspring antioxidative capacity, inflammatory response, and gut microbiota in a sow model. Int. J. Mol. Sci. 2020, 21, 31. [Google Scholar] [CrossRef]
- Magoč, T.; Salzberg, S.L. FLASH, fast length adjustment of short reads to improve genome assemblies. Bioinformatics 2011, 27, 2957–2963. [Google Scholar] [CrossRef]
- Bokulich, N.A.; Subramanian, S.; Faith, J.J.; Gevers, D.; Gordon, J.I.; Knight, R.; Mills, D.A.; Caporaso, J.G. Quality-filtering vastly improves diversity estimates from Illumina amplicon sequencing. Nat. Methods 2013, 10, 57. [Google Scholar] [CrossRef]
- Caporaso, J.G.; Kuczynski, J.; Stombaugh, J.; Bittinger, K.; Bushman, F.D.; Costello, E.K.; Fierer, N.; Peña, A.G.; Goodrich, J.K.; Gordon, J.I.; et al. QIIME allows analysis of high-throughput community sequencing data. Nat. Methods 2010, 7, 335. [Google Scholar] [CrossRef] [PubMed]
- Edgar, R.C.; Haas, B.J.; Clemente, J.C.; Quince, C.; Knight, R. UCHIME improves sensitivity and speed of chimera detection. Bioinformatics 2011, 27, 2194–2200. [Google Scholar] [CrossRef] [PubMed]
- Haas, B.J.; Gevers, D.; Earl, A.M.; Feldgarden, M.; Ward, D.V.; Giannoukos, G.; Ciulla, D.; Tabbaa, D.; Highlander, S.K.; Sodergren, E.; et al. Chimeric 16S rRNA sequence formation and detection in Sanger and 454-pyrosequenced PCR amplicons. Genome Res. 2011, 21, 494–504. [Google Scholar] [CrossRef] [PubMed]
- Edgar, R.C. UPARSE, highly accurate OTU sequences from microbial amplicon reads. Nat. Methods 2013, 10, 996. [Google Scholar] [CrossRef] [PubMed]
- DeSantis, T.Z.; Hugenholtz, P.; Larsen, N.; Rojas, M.; Brodie, E.L.; Keller, K.; Huber, T.; Dalevi, D.; Hu, P.; Andersen, G.L. Greengenes; a chimera-checked 16S rRNA gene database and workbench compatible with ARB. Appl. Environ. Microbiol. 2006, 72, 5069–5072. [Google Scholar] [CrossRef] [PubMed]
- Wang, Q.; Garrity, G.M.; Tiedje, J.M.; Cole, J.R. Naive Bayesian classifier for rapid assignment of rRNA sequences into the new bacterial taxonomy. Appl. Environ. Microbiol. 2007, 73, 5261–5267. [Google Scholar] [CrossRef]
- Lozupone, C.; Knight, R. UniFrac, a new phylogenetic method for comparing microbial communities. Appl. Environ. Microbiol. 2005, 71, 8228–8235. [Google Scholar] [CrossRef]
- Louca, S.; Parfrey, L.W.; Doebeli, M. Decoupling function and taxonomy in the global ocean microbiome. Science 2016, 353, 1272–1277. [Google Scholar] [CrossRef]
- Cao, M.; Che, L.; Wang, J.; Yang, M.; Su, G.; Fang, Z.; Lin, Y.; Xu, S.; Wu, D. Effects of maternal over-and undernutrition on intestinal morphology; enzyme activity, and gene expression of nutrient transporters in newborn and weaned pigs. Nutrition 2014, 30, 1442–1447. [Google Scholar] [CrossRef]
- Desai, M.S.; Seekatz, A.M.; Koropatkin, N.M.; Kamada, N.; Hickey, C.A.; Wolter, M.; Pudlo, N.A.; Kitamoto, S.; Terrapon, N.; Muller, A.; et al. A dietary fiber-deprived gut microbiota degrades the colonic mucus barrier and enhances pathogen susceptibility. Cell 2016, 167, 1339–1353. e21. [Google Scholar] [CrossRef]
- Heo, J.; Opapeju, F.; Pluske, J.; Kim, J.; Hampson, D.; Nyachoti, C. Gastrointestinal health and function in weaned pigs, a review of feeding strategies to control post-weaning diarrhoea without using in-feed antimicrobial compounds. J. Anim. Physiol. An. N. 2013, 97, 207–237. [Google Scholar] [CrossRef] [PubMed]
- Ji, Y.; Sakata, Y.; Tso, P. Nutrient-induced inflammation in the intestine. Curr. Opin. Clin. Nutr. 2011, 14, 315. [Google Scholar] [CrossRef] [PubMed]
- Nieto, N.; Torres, M.; Fernandez, M.; Giron, M.; Rios, A.; Suárez, M.D.; Gil, A. Experimental ulcerative colitis impairs antioxidant defense system in rat intestine. Digest. Dis. Sci. 2000, 45, 1820–1827. [Google Scholar] [CrossRef] [PubMed]
- Romano, M.; Polk, W.H.; Awad, J.A.; Arteaga, C.L.; Nanney, L.B.; Wargovich, M.J.; Kraus, E.R.; Boland, C.R.; Coffey, R.J. Transforming growth factor alpha protection against drug-induced injury to the rat gastric mucosa in vivo. Eur. J. Clin. Invest. 1992, 90, 2409–2421. [Google Scholar] [CrossRef] [PubMed]
- McCracken, B.A.; Spurlock, M.E.; Roos, M.A.; Zuckermann, F.A.; Gaskins, H.R. Weaning anorexia may contribute to local inflammation in the piglet small intestine. J. Nutr. 1999, 129, 613–619. [Google Scholar] [CrossRef]
- Gitto, E.; Romeo, C.; Reiter, R.J.; Impellizzeri, P.; Pesce, S.; Basile, M.; Antonuccio, P.; Trimarchi, G.; Gentile, C.; Barberi, I. Melatonin reduces oxidative stress in surgical neonates. J. Pediatr. Surg. 2004, 39, 184–189. [Google Scholar] [CrossRef]
- Van Antwerp, D.J.; Martin, S.J.; Kafri, T.; Green, D.R.; Verma, I.M. Suppression of TNF-α-induced apoptosis by NF-κB. Science 1996, 274, 787–789. [Google Scholar] [CrossRef]
- Raeburn, C.D.; Sheppard, F.; Barsness, K.A.; Arya, J.; Harken, A.H. Cytokines for surgeons. Am. J. Surg. 2002, 183, 268–273. [Google Scholar] [CrossRef]
- Kimura, A.; Kishimoto, T. IL-6, regulator of Treg/Th17 balance. Eur. J. Immunol. 2010, 40, 1830–1835. [Google Scholar] [CrossRef] [PubMed]
- Beringer, A.; Noack, M.; Miossec, P. IL-17 in chronic inflammation: From discovery to targeting. Trends Mol. Med. 2016, 22, 230–241. [Google Scholar] [CrossRef]
- Ushida, K.; Kameue, C.; Tsukahara, T.; Fukuta, K.; Nakanishi, N. Decreasing traits of fecal immunoglobulin A in neonatal and weaning piglets. J. Vet. Med. Sci. 2008, 70, 849–852. [Google Scholar] [CrossRef] [PubMed]
- Rodrigues, A.; Cara, D.; Fretez, S.; Cunha, F.; Vieira, E.; Nicoli, J.; Vieira, L. Saccharomyces boulardii stimulates sIgA production and the phagocytic system of gnotobiotic mice. J. Appl. Microbiol. 2000, 89, 404–414. [Google Scholar] [CrossRef] [PubMed]
- Xu, J.; Xu, C.; Chen, X.; Cai, X.; Yang, S.; Sheng, Y.; Wang, T. Regulation of an antioxidant blend on intestinal redox status and major microbiota in early weaned piglets. Nutrition 2014, 30, 584–589. [Google Scholar] [CrossRef] [PubMed]
- Finkel, T.; Holbrook, N.J. Oxidants, oxidative stress and the biology of ageing. Nature 2000, 408, 239. [Google Scholar] [CrossRef] [PubMed]
- Ley, R.E.; Lozupone, C.A.; Hamady, M.; Knight, R.; Gordon, J.I. Worlds within worlds, evolution of the vertebrate gut microbiota. Nat. Rev. Microbiol. 2008, 6, 776. [Google Scholar] [CrossRef] [PubMed]
- Camara-Lemarroy, C.R.; Metz, L.M.; Yong, V.W. Focus on the gut-brain axis, multiple sclerosis; the intestinal barrier and the microbiome. World J. Gastroentero. 2018, 24, 4217. [Google Scholar] [CrossRef]
- Perez-Lopez, A.; Behnsen, J.; Nuccio, S.P.; Raffatellu, M. Mucosal immunity to pathogenic intestinal bacteria. Nat. Rev. Immunol. 2016, 16, 135. [Google Scholar] [CrossRef]
- Sinclair, N.; Stokes, J. Factors which control maximal growth of bacteria. J. Bacteriol. 1962, 83, 1147–1154. [Google Scholar] [CrossRef]
- Miyazaki, Y.; Kamiya, S.; Hanawa, T.; Fukuda, M.; Kawakami, H.; Kamiya, S.; Hanawa, T. Effect of probiotic bacterial strains of Lactobacillus, Bifidobacterium, and Enterococcus on enteroaggregative Escherichia coli. J. Infect Chemother. 2010, 16, 10–18. [Google Scholar] [CrossRef]
- Wang, Z.; Xiao, G.; Yao, Y.; Guo, S.; Lu, K.; Sheng, Z. The role of Bifidobacteria in gut barrier function after thermal injury in rats. J. Trauma Acute Care 2006, 61, 650–657. [Google Scholar] [CrossRef]
- Awney, H.A. The effects of Bifidobacteria on the lipid profile and oxidative stress biomarkers of male rats fed thermally oxidized soybean oil. Biomarkers 2011, 16, 445–452. [Google Scholar] [CrossRef] [PubMed]
- Tito, R.Y.; Cypers, H.; Joossens, M.; Varkas, G.; Van Praet, L.; Glorieus, E.; Van den Bosch, F.; De Vos, M.; Raes, J.; Elewaut, D. Brief report: Dialister as a microbial marker of disease activity in spondyloarthritis. Arthritis Rheumatol. 2017, 69, 114–121. [Google Scholar] [CrossRef] [PubMed]
- Hantsoo, L.; Jašarević, E.; Criniti, S.; McGeehan, B.; Tanes, C.; Sammel, M.D.; Elovitz, M.A.; Compher, C.; Wu, G.; Epperson, C.N. Childhood adversity impact on gut microbiota and inflammatory response to stress during pregnancy. Brain Behav. Immu 2019, 75, 240–250. [Google Scholar] [CrossRef] [PubMed]
- Tsatsaronis, J.A.; Walker, M.J.; Sanderson-Smith, M.L. Host responses to group a streptococcus, cell death and inflammation. PLoS Pathog. 2014, 10, e1004266. [Google Scholar] [CrossRef] [PubMed]
- Chen, L.; Wang, W.; Zhou, R.; Ng, S.C.; Li, J.; Huang, M.; Zhou, F.; Wang, X.; Shen., B.; Kamm, M.A.; et al. Characteristics of fecal and mucosa-associated microbiota in Chinese patients with inflammatory bowel disease. Medicine 2014, 93. [Google Scholar] [CrossRef]
- Eckburg, P.B.; Bik, E.M.; Bernstein, C.N.; Purdom, E.; Dethlefsen, L.; Sargent, M.; Gill, S.R.; Nelson, K.E.; Relman, D.V. Diversity of the human intestinal microbial flora. Science 2005, 308, 1635–1638. [Google Scholar] [CrossRef]
- Freter, R. Mechanisms that control the microflora in the large intestine. In Human Intestinal Microflora in Health and Disease; Hentges, D.J., Ed.; Academic Press: Cambridge, MA, USA, 1983; pp. 33–54. [Google Scholar]
- Hentges, D.J. Role of the intestinal microflora in host defense against infection. In Human Intestinal Microflora in Health Disease; Hentges, D.J., Ed.; Academic Press: Cambridge, MA, USA, 1983; pp. 311–331. [Google Scholar]
- Jost, T.; Lacroix, C.; Braegger, C.P.; Rochat, F.; Chassard, C. Vertical mother–neonate transfer of maternal gut bacteria via breastfeeding. Environ. Microbiol. 2014, 16, 2891–2904. [Google Scholar] [CrossRef]
- Winter, S.E.; Winter, M.G.; Xavier, M.N.; Thiennimitr, P.; Poon, V.; Keestra, A.M.; Laughlin, R.C.; Gomez, G.; Wu, J.; Lawhon, S.D.; et al. Host-derived nitrate boosts growth of E. coli in the inflamed gut. Science 2013, 339, 708–711. [Google Scholar] [CrossRef]






| Items | Treatment 1 | p value | |
|---|---|---|---|
| CON | CAT | ||
| Body weight 2, kg | 14.62 ± 0.24 | 14.62 ± 0.35 | 1.000 |
| Duodenum, % | 0.10 ± 0.007 | 0.11 ± 0.009 | 0.488 |
| Jejunum, % | 3.75 ± 0.07 | 4.07 ± 0.14 | 0.064 |
| Ileum, % | 0.12 ± 0.008 | 0.17 ± 0.008 | 0.002 |
| Cecum, % | 0.78 ± 0.03 | 0.69 ± 0.09 | 0.344 |
| Colon, % | 2.08 ± 0.09 | 2.22 ± 0.30 | 0.663 |
| Small intestine, % | 3.97 ± 0.08 | 4.34 ± 0.15 | 0.049 |
| Large intestinal 3, % | 2.86 ± 0.09 | 2.91 ± 0.32 | 0.879 |
| Total intestine 3, % | 6.83 ± 0.12 | 7.25 ± 0.40 | 0.331 |
| Items | Treatment 1 | p value | |
|---|---|---|---|
| CON | CAT | ||
| Duodenum | |||
| Villus height, μm | 223.89 ± 20.46 | 277.70 ± 11.18 | 0.051 |
| Crypt depth, μm | 241.39 ± 20.58 | 279.93 ± 19.38 | 0.204 |
| VCR 2 | 0.94 ± 0.06 | 1.02 ± 0.09 | 0.485 |
| Jejunum | |||
| Villus height, μm | 201.46 ± 12.24 | 277.39 ± 15.22 | 0.003 |
| Crypt depth, μm | 171.26 ± 12.40 | 171.24 ± 15.46 | 0.999 |
| VCR 2 | 1.20 ± 0.09 | 1.69 ± 0.18 | 0.035 |
| Ileum | |||
| Villus height, μm | 211.19 ± 16.50 | 220.89 ± 13.34 | 0.657 |
| Crypt depth, μm | 160.27 ± 14.02 | 188.33 ± 30.68 | 0.425 |
| VCR 2 | 1.40 ± 0.21 | 1.31 ± 0.20 | 0.768 |
| Items 2 | Treatment 1 | p value | |
|---|---|---|---|
| CON | CAT | ||
| CAT, U/mg protein | 6.14 ± 0.64 | 8.44 ± 0.74 | 0.040 |
| SOD, U/mg protein | 19.88 ± 0.41 | 21.48 ± 0.45 | 0.025 |
| GSH-Px, U/mg protein | 17.63 ± 0.82 | 19.19 ± 0.82 | 0.209 |
| T-AOC, U/mg protein | 0.52 ± 0.02 | 0.55 ± 0.02 | 0.294 |
| MDA, mmol/mg protein | 1.24 ± 0.19 | 0.66 ± 0.13 | 0.032 |
| H2O2, mmol/g | 19.06 ± 1.36 | 13.57 ± 1.33 | 0.016 |
| Items 2 | Treatment 1 | p value | |
|---|---|---|---|
| CON | CAT | ||
| DAO, U/mg protein | 8.30 ± 1.10 | 12.65 ± 0.81 | 0.010 |
| TGF-α, ng/g protein | 16.20 ± 1.31 | 20.03 ± 0.99 | 0.042 |
| TFF, ng/g protein | 700.55 ± 38.70 | 753.57 ± 59.82 | 0.474 |
| MHC-II, ng/mg protein | 47.42 ± 2.81 | 52.04 ± 2.33 | 0.235 |
| Items 2 | Treatment 1 | p value | |
|---|---|---|---|
| CON | CAT | ||
| TNF-α, pg/mg protein | 34.25 ± 1.83 | 28.63 ± 1.53 | 0.040 |
| IL-6, pg/mg protein | 41.34 ± 2.19 | 33.56 ± 2.10 | 0.028 |
| SIgA, μg/mL | 51.26 ± 3.57 | 66.49 ± 4.58 | 0.025 |
| Items | Treatment 1 | p value | |
|---|---|---|---|
| CON | CAT | ||
| pH value | 6.04 ± 0.09 | 5.57 ± 0.10 | 0.006 |
| Acetate, mmol/g | 33.00 ± 2.93 | 38.24 ± 3.26 | 0.259 |
| Propionate, mmol/g | 11.77 ± 0.90 | 12.69 ± 0.96 | 0.501 |
| Butyrate, mmol/g | 3.75 ± 0.68 | 5.40 ± 0.47 | 0.074 |
| Total SCFAs 2, mmol/g | 48.51 ± 4.16 | 56.34 ± 4.42 | 0.227 |
© 2020 by the authors. Licensee MDPI, Basel, Switzerland. This article is an open access article distributed under the terms and conditions of the Creative Commons Attribution (CC BY) license (http://creativecommons.org/licenses/by/4.0/).
Share and Cite
Li, Y.; Zhao, X.; Zhang, L.; Zhan, X.; Liu, Z.; Zhuo, Y.; Lin, Y.; Fang, Z.; Che, L.; Feng, B.; et al. Effects of a Diet Supplemented with Exogenous Catalase from Penicillium notatum on Intestinal Development and Microbiota in Weaned Piglets. Microorganisms 2020, 8, 391. https://doi.org/10.3390/microorganisms8030391
Li Y, Zhao X, Zhang L, Zhan X, Liu Z, Zhuo Y, Lin Y, Fang Z, Che L, Feng B, et al. Effects of a Diet Supplemented with Exogenous Catalase from Penicillium notatum on Intestinal Development and Microbiota in Weaned Piglets. Microorganisms. 2020; 8(3):391. https://doi.org/10.3390/microorganisms8030391
Chicago/Turabian StyleLi, Yang, Xilun Zhao, Lijia Zhang, Xiaoyan Zhan, Zhiguo Liu, Yong Zhuo, Yan Lin, Zhengfeng Fang, Lianqiang Che, Bin Feng, and et al. 2020. "Effects of a Diet Supplemented with Exogenous Catalase from Penicillium notatum on Intestinal Development and Microbiota in Weaned Piglets" Microorganisms 8, no. 3: 391. https://doi.org/10.3390/microorganisms8030391
APA StyleLi, Y., Zhao, X., Zhang, L., Zhan, X., Liu, Z., Zhuo, Y., Lin, Y., Fang, Z., Che, L., Feng, B., Xu, S., Li, J., & Wu, D. (2020). Effects of a Diet Supplemented with Exogenous Catalase from Penicillium notatum on Intestinal Development and Microbiota in Weaned Piglets. Microorganisms, 8(3), 391. https://doi.org/10.3390/microorganisms8030391

