Impact of Straw Incorporation on the Physicochemical Profile and Fungal Ecology of Saline–Alkaline Soil
Abstract
1. Introduction
2. Results
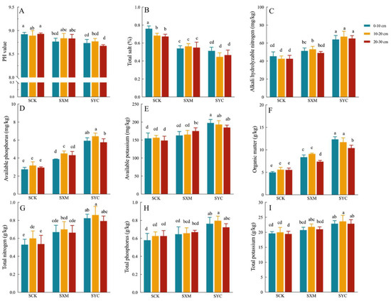
2.1. Effects of Different Treatments on pH, Total Salinity and Nutrients in Saline Soils
2.1.1. Effects of Different Treatments on Soil pH and Total Salinity of Saline–alkali Soil
2.1.2. Effects of Different Straw Returning on Soil Nutrients in Saline–Alkali Soil
2.2. Distribution of OTUs and Community Diversity of Soil Fungi under Different Treatments
2.2.1. Distribution of OTU Number in Soil Fungi under Different Treatments
2.2.2. Diversity of Soil Fungal Communities under Different Treatments
2.3. Prediction of Soil Fungal Community Composition and Function under Different Treatments
2.4. Correlation Network Analysis of Soil Fungal Communities
2.5. Relationship between Soil Fungal Communities and Environmental Factors
2.6. Network Analysis of the Correlation between Soil Fungal Communities and Environmental Factors
3. Discussion
3.1. Effects of Different Straw Returning on Soil Physicochemical Indices
3.2. Effects of Different Straw Returning on Soil Fungal Community Structure and Diversity
3.3. Environmental Drivers of Soil Fungal Communities
4. Materials and Methods
4.1. Overview of the Test Site
4.2. Experimental Design
4.3. Soil Sampling and Analysis
4.4. Soil DNA Extraction, Illumina Sequencing
4.5. Statistical Analysis
5. Conclusions
Supplementary Materials
Author Contributions
Funding
Institutional Review Board Statement
Informed Consent Statement
Data Availability Statement
Acknowledgments
Conflicts of Interest
References
- Cui, L.; Liu, Y.; Yan, J.; Hina, K.; Hussain, Q.; Qiu, T.; Zhu, J. Revitalizing coastal saline-alkali soil with biochar application for improved crop growth. Ecol. Eng. 2022, 179, 106594. [Google Scholar] [CrossRef]
- Yang, J.; Yao, R.; Wang, X.; Xie, W.; Zhang, X.; Zhu, W.; Zhang, L.; Sun, R. Research on Salt-affected Soils in China: History, Status Quo and Prospect. Acta Pedol. Sin. 2022, 59, 10–27. [Google Scholar] [CrossRef]
- Majda Khalil, S.; Bhatt, A.; Madouh, T.A.; Islam, M.A.; Jacob, S.; Rini, R.T.; Sivadasan, M.T. Effects of Salt Stress on Growth, Proline and Mineral Content in Native Desert Species. Sustainability 2023, 15, 6232. [Google Scholar] [CrossRef]
- Heng, T.; He, X.-L.; Yang, L.-L.; Xu, X.; Feng, Y. Mechanism of Saline–Alkali land improvement using subsurface pipe and vertical well drainage measures and its response to agricultural soil ecosystem. Environ. Pollut. 2022, 293, 118583. [Google Scholar] [CrossRef]
- Zhao, W.; Zhou, Q.; Tian, Z.; Cui, Y.; Liang, Y.; Wang, H. Apply biochar to ameliorate soda saline-alkali land, improve soil function and increase corn nutrient availability in the Songnen Plain. Sci. Total Environ. 2020, 722, 137428. [Google Scholar] [CrossRef]
- Wei, B.; Shen, Z.; Zhou, J. Effect and mechanism of powder ridge tillage in improving saline-alkali soil. Soils 2020, 52, 699–703. [Google Scholar] [CrossRef]
- Zheng, M.; Liang, X.; Han, Z.; Kang, J.; Chen, Y. Effects of Different Improvement Measures on the Diversity of Soil Bacteria Communities in Salt-alkali Soil. Acta Agrestia Sin. 2021, 29, 1200–1209. [Google Scholar] [CrossRef]
- Fan, Z.; Jia, Y.; Fan, Y.; Song, H.; Feng, Z. Growth of Elymus nutans in saline saline-alkali soil amended with calcium silicate slag: Performance and mechanism. Acta Prataculturae Sin. 2021, 30, 93–101. [Google Scholar] [CrossRef]
- Chen, L.; Feng, Q.; Zhang, X. Dynamic simulation of soil water and salt under the condition of open ditch drainage and salt washing. Soil Water Conserv. Res. 2010, 17, 235–238. [Google Scholar]
- Geng, Q.; Yan, H.; Yang, J. Evaluation of soil improvement effect of open ditch and hidden pipe drainage engineering on saline-alkali land development. Soil Bull. 2019, 50, 617–624. [Google Scholar] [CrossRef]
- Li, H.; Peng, H.; Niu, D.; Wang, Q. Analysis of the Effect of Biomeasures on Discarded Salkaline Land in Chidamu Basin. Acta Agrestia Sin. 2002, 10, 63–68. [Google Scholar] [CrossRef]
- Lv, X.; Zhang, J.; Li, Y.; He, A.; Wang, S.; Zhang, J. Soil Saline Characteristics of Different Plants Inhabitant on Horqin Grassland. Acta Agrestia Sin. 2017, 25, 749–755. [Google Scholar] [CrossRef]
- Zhu, W.; Yang, J.; Yao, R.; Xie, W.; Wang, X.; Liu, Y. Soil water-salt control and yield improvement under the effect of compound control in saline soil of the Yellow River Delta, China. Agric. Water Manag. 2022, 263, 107455. [Google Scholar] [CrossRef]
- Gao, R.; Zhao, S.; Diao, S. Effects of Straw Mulching on Soil Microorganism, Enzyme Activity and Crop Yield in Loess Desert. Acta Agrestia Sin. 2019, 50, 1370–1377. [Google Scholar]
- Gao, R.; Zhao, P.; Han, Y. Effects of Straw returning and nitrogen Application on photosynthetic characteristics and yield of Maize. J. North. Agric. 2020, 48, 67–73. [Google Scholar]
- Gao, R.; Zhao, S.; Gao, Y. Effects of Straw returning on soil nutrient characteristics and Maize yield in Loess Plateau of Inner Mongolia. J. North. Agric. 2019, 47, 52–56. [Google Scholar]
- Monteiro, M.C.O.; Koper, M.T.M. Measuring local pH in electrochemistry. Curr. Opin. Electrochem. 2021, 25, 100649. [Google Scholar] [CrossRef]
- Wang, N.; Peng, J.; Xue, J.; Zhang, X.; Huang, J.; Biswas, A.; He, Y.; Shi, Z. A framework for determining the total salt content of soil profiles using time-series Sentinel-2 images and a random forest-temporal convolution network. Geoderma 2022, 409, 115656. [Google Scholar] [CrossRef]
- Yu, C.; Li, Y.; Mo, R.; Deng, W.; Zhu, Z.; Liu, D.; Hu, X. Effects of long-term straw retention on soil microorganisms under a rice–wheat cropping system. Arch. Microbiol. 2020, 202, 1915–1927. [Google Scholar] [CrossRef]
- Shuaib, M.; Azam, N.; Bahadur, S.; Romman, M.; Yu, Q.; Xuexiu, C. Variation and succession of microbial communities under the conditions of persistent heavy metal and their survival mechanism. Microb. Pathog. 2020, 150, 104713. [Google Scholar] [CrossRef]
- Li, B.; Xu, R.; Sun, X.; Han, F.X.; Xiao, E.; Chen, L.; Qiu, L.; Sun, W. Microbiome-environment interactions in antimony-contaminated rice paddies and the correlation of core microbiome with arsenic and antimony contamination. Chemosphere 2021, 263, 128227. [Google Scholar] [CrossRef]
- Zhang, L.; Tang, C.; Yang, J.; Yao, R.; Wang, X.; Xie, W.; Ge, A.-H. Salinity-dependent potential soil fungal decomposers under straw amendment. Sci. Total Environ. 2023, 891, 164569. [Google Scholar] [CrossRef]
- Zhang, S.; Li, M.; Cui, X.; Pan, Y. Effect of different straw retention techniques on soil microbial community structure in wheat-maize rotation system. Front. Microbiol. 2022, 13, 1069458. [Google Scholar] [CrossRef]
- Liu, B.; Xia, H.; Jiang, C.; Riaz, M.; Yang, L.; Chen, Y.; Fan, X.; Xia, X. 14 year applications of chemical fertilizers and crop straw effects on soil labile organic carbon fractions, enzyme activities and microbial community in rice-wheat rotation of middle China. Sci. Total Environ. 2022, 841, 156608. [Google Scholar] [CrossRef]
- Kenarova, A.; Radeva, G.; Traykov, I.; Boteva, S. Community level physiological profiles of bacterial communities inhabiting uranium mining impacted sites. Ecotoxicol. Environ. Saf. 2014, 100, 226–232. [Google Scholar] [CrossRef] [PubMed]
- Stemmer, M.A.; Watzinger, A.; Blochberger, K.; Haberhauer, G.; Gerzabek, M.H. Linking dynamics of soil microbial phospholipid fatty acids to carbon mineralization in a 13C natural abundance experiment: Impact of heavy metals and acid rain. Soil. Biol. Biochem. 2007, 39, 3177–3186. [Google Scholar] [CrossRef]
- Liu, Y.; Yan, G.; Wu, C.; Zhao, H.; Wenhe, H.; Chen, X.; Chen, X. Short-Term Straw Returning Improves Quality and Bacteria Community of Black Soil in Northeast China. Pol. J. Environ. Stud. 2022, 31, 1869–1883. [Google Scholar] [CrossRef]
- Yin, Y.; Wang, Y.; Li, S.; Liu, Y.; Zhao, W.; Ma, Y.; Wang, H.; Wen, H. Study on seasonal characteristics of soil microbial community in degraded alpine meadow in the source area of the three Rivers. J. Ecol. Environ. 2018, 27, 1791–1800. [Google Scholar] [CrossRef]
- Li, Y. Application prospect of quinoa in saline-alkali soil improvement. Green Technol. 2018, 2018, 104–105+108. [Google Scholar] [CrossRef]
- Oo, A.; Iwai, C.B.; Saenjan, P. Soil Properties and Maize Growth in Saline and Nonsaline Soils using Cassava-Industrial Waste Compost and Vermicompost with or without Earthworms. Land Degrad. Dev. 2015, 26, 300–310. [Google Scholar] [CrossRef]
- Tejada, M.; García, C.; González, J.L.; Hernández, M.T.S. Use of organic amendment as a strategy for saline soil remediation: Influence on the physical, chemical and biological properties of soil. Soil Biol. Biochem. 2006, 38, 1413–1421. [Google Scholar] [CrossRef]
- Wang, L.; Sun, X.; Li, S.; Tao, Z.; Zhang, W.; Zhai, P. Application of Organic Amendments to a Coastal Saline Soil in North China: Effects on Soil Physical and Chemical Properties and Tree Growth. PLoS ONE 2014, 9, e89185. [Google Scholar] [CrossRef]
- Xu, G.; Duan, H.; Wang, Z.; Liu, L.; Yang, J. Effect of Wheat-Residue Application on Physical and Chemical Characters and Enzymatic Activities in Soil. Sci. Agric. Sin. 2009, 42, 934–942. [Google Scholar]
- Chen, X.; Yaa, O.K.; Wu, J. Effects of Different Organic Materials Application on Soil Physicochemical Properties in a Primary Saline-Alkali Soil. Eurasian Soil Sci. 2020, 53, 798–808. [Google Scholar] [CrossRef]
- Pan, B. Effect of soil improvement substances on salinized soil improvement. Northeast. For. Univ. 2006, 10, 46. [Google Scholar]
- Zhou, Y.; Chen, J.; Li, Y.; Hou, Z.; Min, W. Effects of Cotton Stalk Returning on Soil Enzyme Activity and Bacterial Community Structure Diversity in Cotton Field with Long-term Saline Water Irrigation. Huan Jing Ke Xue Huanjing Kexue 2022, 43, 2192–2203. [Google Scholar] [CrossRef]
- Li, C. Effects of rape green manure returning on nitrogen and microbial characteristics of saline-alkali soil. Shihezi Univ. 2022, 5, 45. [Google Scholar] [CrossRef]
- Jin, Y.; Li, X.; Cai, Y.; Hu, H.; Liu, Y.; Fu, S.; Zhang, B. Effects of Straw Returning with Chemical Fertilizer on Soil Enzyme Activities and Microbial Community Structure in Rice-Rape Rotation. Huan Jing Ke Xue Huanjing Kexue 2021, 42, 3985–3996. [Google Scholar] [CrossRef] [PubMed]
- Zhang, P.; Chen, X.; Wei, T.; Yang, Z.; Jia, Z.-K.; Yang, B.-P.; Han, Q.-F.; Ren, X.-L. Effects of straw incorporation on the soil nutrient contents, enzyme activities, and crop yield in a semiarid region of China. Soil Tillage Res. 2016, 160, 65–72. [Google Scholar] [CrossRef]
- Wang, W.; Lai, D.Y.F.; Wang, C.; Pan, T.; Zeng, C. Effects of rice straw incorporation on active soil organic carbon pools in a subtropical paddy field. Soil Tillage Res. 2015, 152, 8–16. [Google Scholar] [CrossRef]
- Fang, Y. Effects of Continuous Returning Straw to Maize Tilth Soil on Chemical Character and Microbial Biomass. J. Soil Water Conserv. 2011. [Google Scholar]
- Ji, C.; Sun, Y.; Meng, Y.; Liu, Y.; Xu, C.; Zhang, Y.; Gu, Y.; Wang, J. Effects of long-term straw incorporation on soil fungal community structure and straw decomposition potential in a rice–wheat rotation system. J. Agro-Environ. Sci. 2022, 41, 819–825. [Google Scholar] [CrossRef]
- Xu, G.; Chen, X.; Mao, W.; Li, W.; Yu, J.; Xia, W. Effect of Continuous Total Amount Straw Returning to Field on Soil Properties and Rice Yield. Mod. Agric. Sci. Technol. 2021, 1–3+7. [Google Scholar] [CrossRef]
- Zhang, Y.; Yang, J.; Huang, Y.; Yao, R.; Wang, M.K.; Lin, J.-s.; Jiang, F.-s. Use of Freeze-Thaw Purified Saline Water to Leach and Reclaim Gypsum-Amended Saline-Alkali Soils. Soil Sci. Soc. Am. J. 2019, 83, 1333–1342. [Google Scholar] [CrossRef]
- Zhao, S.; Zhang, S.-Q. Linkages between straw decomposition rate and the change in microbial fractions and extracellular enzyme activities in soils under different long-term fertilization treatments. PLoS ONE 2018, 13, e0202660. [Google Scholar] [CrossRef] [PubMed]
- Hamayun, M.; Khan, S.A.; Iqbal, I.; Ahmad, B.; Lee, I.J. Isolation of a gibberellin-producing fungus (Penicillium sp. MH7) and growth promotion of Crown daisy (Chrysanthemum coronarium). J. Microbiol. Biotechnol. 2010, 20, 202–207. [Google Scholar] [CrossRef]
- Alam, M.; Dharni, S.; Abdul, K.; Srivastava, S.K.; Samad, A.; Gupta, M.K. A promising strain of Streptomyces sp. with agricultural traits for growth promotion and disease management. Indian J. Exp. Biol. 2012, 50, 559–568. [Google Scholar] [PubMed]
- Sánchez-Montesinos, B.; Diánez, F.; Moreno-Gavira, A.; Gea, F.J.; Santos, M. Plant Growth Promotion and Biocontrol of Pythium ultimum by Saline Tolerant Trichoderma Isolates under Salinity Stress. Int. J. Environ. Res. Public Health 2019, 16, 2053. [Google Scholar] [CrossRef]
- Nieto-Jacobo, M.F.; Steyaert, J.M.; Salazar-Badillo, F.B.; Nguyen, D.V.; Rostás, M.; Braithwaite, M.; De Souza, J.T.; Jimenez-Bremont, J.F.; Ohkura, M.; Stewart, A.; et al. Environmental Growth Conditions of Trichoderma spp. Affects Indole Acetic Acid Derivatives, Volatile Organic Compounds, and Plant Growth Promotion. Front. Plant Sci. 2017, 8, 102. [Google Scholar] [CrossRef]
- Li, Z.; Ma, L.; Zhang, Y.; Zhao, W.; Zhao, B.; Zhang, J. Effect of wheat cultivars with different resistance to Fusarium head blight on rhizosphere Fusarium graminearum abundance and microbial community composition. Plant Soil 2020, 448, 383–397. [Google Scholar] [CrossRef]
- Bünemann, E.K.; Bongiorno, G.; Bai, Z.; Creamer, R.E.; Deyn, G.B.d.; Goede, R.G.M.d.; Fleskens, L.; Geissen, V.; Kuyper, T.W.; Mäder, P.; et al. Soil quality—A critical review. Soil. Biol. Biochem. 2018, 120, 105–125. [Google Scholar] [CrossRef]
- Wang, M.; Qi, X.; Shi, Y.; Zhao, J.; Ahmad, S.; Akhtar, K.; Chen, B.; Lian, T.; He, B.; Wen, R. Sugarcane straw returning is an approaching technique for the improvement of rhizosphere soil functionality, microbial community, and yield of different sugarcane cultivars. Front. Microbiol. 2023, 14, 1133973. [Google Scholar] [CrossRef] [PubMed]
- Guo, X.W.; Chen, J.; Lu, X.Y.; Li, Y.; Tao, Y.F.; Min, W. Effects of Biochar and Straw Returning on Soil Fungal Community Structure Diversity in Cotton Field with Long-term Brackish Water Irrigation. Huan Jing Ke Xue 2022, 43, 4625–4635. [Google Scholar] [CrossRef] [PubMed]
- Fan, W.; Wu, J. Short-term effects of returning granulated straw on soil microbial community and organic carbon fractions in dryland farming. J. Microbiol. 2020, 58, 657–667. [Google Scholar] [CrossRef] [PubMed]
- Li, P.; Li, Y.; Zheng, X.-Q.; Ding, L.; Ming, F.; Pan, A.; Lv, W.; Tang, X. Rice straw decomposition affects diversity and dynamics of soil fungal community, but not bacteria. J. Soils Sediments 2017, 18, 248–258. [Google Scholar] [CrossRef]
- Chen, Q.; An, X.; Li, H.; Zhu, Y.; Su, J.; Cui, L. Do manure-borne or indigenous soil microorganisms influence the spread of antibiotic resistance genes in manured soil? Soil Biol. Biochem. 2017, 114, 229–237. [Google Scholar] [CrossRef]
- Zeng, X.; Ma, Y.; Ma, L. Utilization of straw in biomass energy in China. Renew. Sustain. Energy Rev. 2007, 11, 976–987. [Google Scholar] [CrossRef]
- Bu, R.; Ren, T.; Lei, M.; Liu, B.; Li, X.; Cong, R.; Zhang, Y.; Lu, J. Tillage and straw-returning practices effect on soil dissolved organic matter, aggregate fraction and bacteria community under rice-rice-rapeseed rotation system. Agric. Ecosyst. Environ. 2020, 287, 106681. [Google Scholar] [CrossRef]
- Chaparro, J.M.; Sheflin, A.M.; Manter, D.K.; Vivanco, J.M. Manipulating the soil microbiome to increase soil health and plant fertility. Biol. Fertil. Soils 2012, 48, 489–499. [Google Scholar] [CrossRef]
- Niu, J.; Chao, J.; Xiao, Y.; Chen, W.; Zhang, C.; Liu, X.-d.; Rang, Z.; Yin, H.; Dai, L. Insight into the effects of different cropping systems on soil bacterial community and tobacco bacterial wilt rate. J. Basic. Microbiol. 2017, 57, 3–11. [Google Scholar] [CrossRef]
- Yang, G.; Wagg, C.; Veresoglou, S.D.; Hempel, S.; Rillig, M.C. How Soil Biota Drive Ecosystem Stability. Trends Plant Sci. 2018, 23, 1057–1067. [Google Scholar] [CrossRef]
- Li, H.; Xia, Y.; Zhang, G.; Zheng, G.; Fan, M.; Zhao, H. Effects of straw and straw-derived biochar on bacterial diversity in soda saline-alkaline paddy soil. Ann. Microbiol. 2022, 72, 15. [Google Scholar] [CrossRef]
- Schoch, C.L.; Sung, G.H.; López-Giráldez, F.; Townsend, J.P.; Miadlikowska, J.; Hofstetter, V. The Ascomycota tree of life: A phylum-wide phylogeny clarifies the origin and evolution of fundamental reproductive and ecological traits. Syst. Biol. 2009, 58, 224–239. [Google Scholar] [CrossRef] [PubMed]
- Yu, S.; Wang, T.; Meng, Y.; Yao, S.; Wang, L.; Zheng, H.; Zhou, Y.; Song, Z.; Zhang, B. Leguminous cover crops and soya increased soil fungal diversity and suppressed pathotrophs caused by continuous cereal cropping. Front. Microbiol. 2022, 13, 993214. [Google Scholar] [CrossRef]
- Chen, F.; Yu, G.; Sun, Y.; Zhang, H.; Tian, X.; Xia, B. Characteristics of Microbial Community Structure in the Surrounding Farmlands of a Mercury Mining Area and Its Environmental Driving Factors. Environ. Sci. 2022, 43, 4342–4352. [Google Scholar] [CrossRef]
- Deng, L.; Shangguan, Z. Afforestation Drives Soil Carbon and Nitrogen Changes in China. Land Degrad. Dev. 2017, 28, 151–165. [Google Scholar] [CrossRef]
- Aciego Pietri, J.C.; Brookes, P.C. Relationships between soil pH and microbial properties in a UK arable soil. Soil Biol. Biochem. 2008, 40, 1856–1861. [Google Scholar] [CrossRef]
- Li, Y.; Liu, L.; He, X.; Qiu, Y.; Ren, L.; Huang, R.; Fu, J. Effect of continuous cropping on fungal community structure in rhizosphere soil of pepper. Nat. Sci. Ed. 2023, 52, 400–407. [Google Scholar] [CrossRef]
- Wei, X.; Fu, T.; He, G.; Cen, R.; Huang, C.R.; Yang, M.; Zhang, W.; He, T. Plant types shape soil microbial composition, diversity, function, and co-occurrence patterns in cultivated land of a karst area. Land Degrad. Dev. 2022, 34, 1097–1109. [Google Scholar] [CrossRef]
- Sun, K.; Fu, L.; Song, Y.; Yuan, L.; Zhang, H.; Wen, D.; Yang, N.; Wang, X.; Yue, Y.; Li, X.; et al. Effects of continuous cucumber cropping on crop quality and soil fungal community. Environ. Monit. Assess. 2021, 193, 436. [Google Scholar] [CrossRef]
- Billah, M.; Khan, M.; Bano, A.; Hassan, T.U.; Munir, A.; Gurmani, A.R. Phosphorus and phosphate solubilizing bacteria: Keys for sustainable agriculture. Geomicrobiol. J. 2019, 36, 904–916. [Google Scholar] [CrossRef]
- González de la Huebra, M.J.; Hernández, P.; Ballesteros, Y.; Hernández, L. Determination of linuron in soil by stripping voltammetry with a carbon fiber microelectrode. Talanta 2001, 54, 1077–1085. [Google Scholar] [CrossRef]
- Corwin, D.L.; Yemoto, K. Salinity: Electrical conductivity and total dissolved solids. Soil. Sci. Soc. Am. J. 2017, 84, 1442–1461. [Google Scholar] [CrossRef]
- Zhao, Y.; Xu, W.; He, Y. Influence of set-planting southern red bean fir on soil fertility of fir plantation forests. J. Appl. Environ. Biol. 2023, 84, 1442–1461. [Google Scholar] [CrossRef]
- Drescher, G.L.; Da Silva, L.S.; Sarfaraz, Q.; Molin, G.D.A.L.; Marzari, L.B.; Lopes, A.F.; Cella, C.; Facco, D.B.; Hammerschmitt, R.K. Alkaline hydrolyzable nitrogen and properties that dictate its distribution in paddy soil profiles. Pedosphere 2020, 30, 326–335. [Google Scholar] [CrossRef]
- Xie, W.; Yang, J.; Gao, S.; Yao, R.; Wang, X. The Effect and Influence Mechanism of Soil Salinity on Phosphorus Availability in Coastal Salt-Affected Soils. Water 2022, 14, 2804. [Google Scholar] [CrossRef]
- Jiang, H.; Jiang, J.; Jia, Y.; Li, F.; Xu, J. Soil carbon pool and effects of soil fertility in seeded alfalfa fields on the semi-arid Loess Plateau in China. Soil Biol. Biochem. 2006, 38, 2350–2358. [Google Scholar] [CrossRef]
- Pontes, F.V.M.; Carneiro, M.C.; Vaitsman, D.S.; da Rocha, G.P.; da Silva, L.I.D.; Neto, A.A.; Monteiro, M.I.C. A simplified version of the total kjeldahl nitrogen method using an ammonia extraction ultrasound-assisted purge-and-trap system and ion chromatography for analyses of geological samples. Anal. Chim. Acta 2009, 632, 284–288. [Google Scholar] [CrossRef]
- Li, G.; Dong, S.; Wang, H.; Guan, Y.; Deja, P.T.; Nie, W. Effect of ecological restoration on topsoil phosphorus following afforestation on abandoned ponds in northern Chaohu Lake, China. Nat. Conserv. 2023, 53, 1–16. [Google Scholar] [CrossRef]
- Fan, H.; Zhang, Y.; Li, J.; Jiang, J.; Waheed, A.; Wang, S.; Rasheed, S.M.; Zhang, L.; Zhang, R. Effects of Organic Fertilizer Supply on Soil Properties, Tomato Yield, and Fruit Quality: A Global Meta-Analysis. Sustainability 2023, 15, 2556. [Google Scholar] [CrossRef]
- Bellemain, E.; Carlsen, T.; Brochmann, C.; Coissac, E.; Taberlet, P.; Kauserud, H. ITS as an environmental DNA barcode for fungi: An in silico approach reveals potential PCR biases. BMC Microbiol. 2010, 10, 189. [Google Scholar] [CrossRef]
- Olesen, J.M.; Bascompte, J.; Dupont, Y.L.; Jordano, P. The modularity of pollination networks. Proc. Natl. Acad. Sci. USA 2007, 104, 19891–19896. [Google Scholar] [CrossRef]
- Bolyen, E.; Rideout, J.R.; Dillon, M.R.; Bokulich, N.A. Reproducible, interactive, scalable and extensible microbiome data science using QIIME 2. Nat. Biotechnol. 2019, 37, 852–857. [Google Scholar] [CrossRef]
- Wang, Y.; Sheng, H.; He, Y.; Wu, J.; Jiang, Y.; Tam, N.F.; Zhou, H. Comparison of the Levels of Bacterial Diversity in Freshwater, Intertidal Wetland, and Marine Sediments by Using Millions of Illumina Tags. Appl. Environ. Microbiol. 2012, 78, 8264–8271. [Google Scholar] [CrossRef] [PubMed]
- Lozupone, C.A.; Hamady, M.; Kelley, S.T.; Knight, R. Quantitative and qualitative beta diversity measures lead to different insights into factors that structure microbial communities. Appl. Environ. Microbiol. 2007, 73, 1576–1585. [Google Scholar] [CrossRef] [PubMed]
- Guimerà, R.; Amaral, L.A.N. Functional cartography of complex metabolic networks. Nature 2005, 433, 895–900. [Google Scholar] [CrossRef] [PubMed]






| Environment Factors | Order of Importance | Explains/% | p-Value |
|---|---|---|---|
| TN | 1 | 47.74% | 0.001 |
| OM | 2 | 47.21% | 0.001 |
| pH | 3 | 42.78% | 0.003 |
| AN | 4 | 41.66% | 0.002 |
| AP | 5 | 34.93% | 0.007 |
| TK | 6 | 33.60% | 0.013 |
| TS | 7 | 31.68% | 0.01 |
| AK | 8 | 25.55% | 0.032 |
| TP | 9 | 10.28% | 0.269 |
| Content | Fungal Parameter Information |
|---|---|
| Amplicon information | its its1_f |
| Primer information | F:5′-CTTGGTCATTTAGAGGAAGTAA-3′; |
| R:5′-GCTGCGTTCTTCATCGATGC-3′ | |
| Species annotation methods | Bayesian |
| Species annotation database | UNITE |
| Feature acquisition method | dada2 |
| Feature filters | 2 |
Disclaimer/Publisher’s Note: The statements, opinions and data contained in all publications are solely those of the individual author(s) and contributor(s) and not of MDPI and/or the editor(s). MDPI and/or the editor(s) disclaim responsibility for any injury to people or property resulting from any ideas, methods, instructions or products referred to in the content. |
© 2024 by the authors. Licensee MDPI, Basel, Switzerland. This article is an open access article distributed under the terms and conditions of the Creative Commons Attribution (CC BY) license (https://creativecommons.org/licenses/by/4.0/).
Share and Cite
Ma, W.; Ma, L.; Jiao, J.; Fahim, A.M.; Wu, J.; Tao, X.; Lian, Y.; Li, R.; Li, Y.; Yang, G.; et al. Impact of Straw Incorporation on the Physicochemical Profile and Fungal Ecology of Saline–Alkaline Soil. Microorganisms 2024, 12, 277. https://doi.org/10.3390/microorganisms12020277
Ma W, Ma L, Jiao J, Fahim AM, Wu J, Tao X, Lian Y, Li R, Li Y, Yang G, et al. Impact of Straw Incorporation on the Physicochemical Profile and Fungal Ecology of Saline–Alkaline Soil. Microorganisms. 2024; 12(2):277. https://doi.org/10.3390/microorganisms12020277
Chicago/Turabian StyleMa, Weiming, Li Ma, Jintang Jiao, Abbas Muhammad Fahim, Junyan Wu, Xiaolei Tao, Yintao Lian, Rong Li, Yapeng Li, Gang Yang, and et al. 2024. "Impact of Straw Incorporation on the Physicochemical Profile and Fungal Ecology of Saline–Alkaline Soil" Microorganisms 12, no. 2: 277. https://doi.org/10.3390/microorganisms12020277
APA StyleMa, W., Ma, L., Jiao, J., Fahim, A. M., Wu, J., Tao, X., Lian, Y., Li, R., Li, Y., Yang, G., Liu, L., Pu, Y., Sun, W., & Wang, W. (2024). Impact of Straw Incorporation on the Physicochemical Profile and Fungal Ecology of Saline–Alkaline Soil. Microorganisms, 12(2), 277. https://doi.org/10.3390/microorganisms12020277

