Benefits of Crotalaria juncea L. as Green Manure in Fertility and Soil Microorganisms on the Peruvian Coast
Abstract
1. Introduction
2. Materials and Methods
2.1. Field Site and Sampling
2.2. Analysis of the Leaf and Root Tissue of the Crotalaria
2.3. Soil Biogeochemical Properties
2.4. DNA Extraction and Illumina MiSeq Sequencing
2.5. Processing of 16S/ITS Sequences and Taxonomic Attribution
2.6. Statistical Data Processing
3. Results
3.1. Nutrient Supply of Crotalaria juncea L. as Green Manure and Changes in Soil Fertility
3.2. Sequencing and Reads Quality Control
3.3. Diversity of Bacteria and Fungi
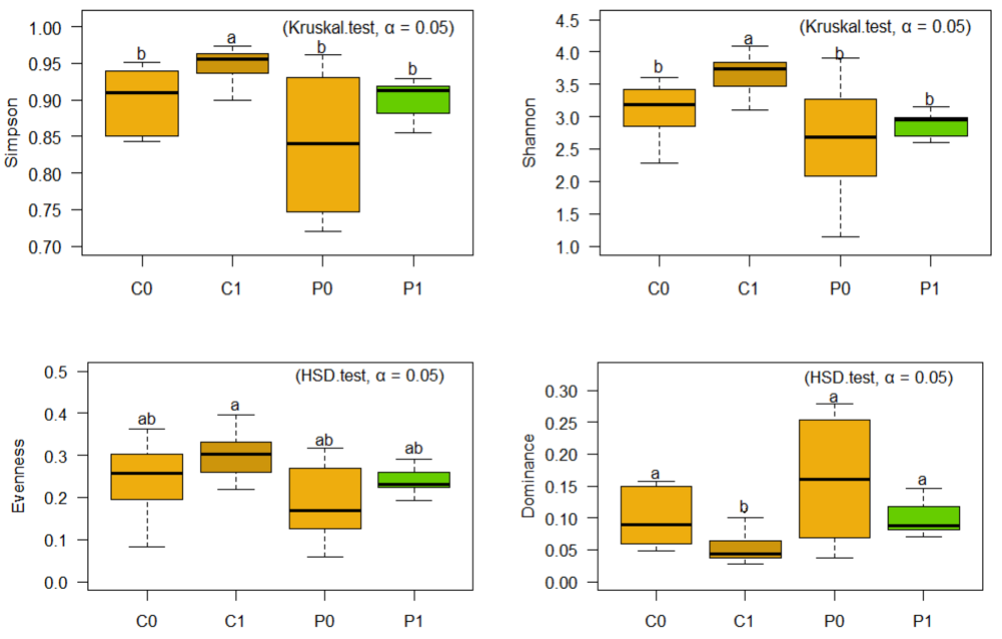
3.4. The Alpha and β-Diversity
3.5. Incorporation of Crotalaria as Green Manure Restricts Some Pathogenic Fungi in Soil
3.6. The Incorporation of Crotalaria as Green Manure Promotes Beneficial Soil Fungi
3.7. Incorporation of Crotalaria as a Green Manure Promotes Beneficial Soil Bacteria
3.8. Venn Diagrams of Soil Bacteria and Fungi Promoted by Green Manure
4. Discussion
5. Conclusions
Author Contributions
Funding
Data Availability Statement
Acknowledgments
Conflicts of Interest
References
- Naciones Unidas. La Agenda 2030 y Los Objetivos de Desarrollo Sostenible Una Oportunidad Para América Latina y El (LC/G.2681-P/Rev.3); Naciones Unidas: Santiago, Chile, 2018; p. 91. ISBN 978-92-1-058643-6. [Google Scholar]
- Naciones Unidas. Agenda 2030 y Los Objetivos de Desarrollo Sostenible. Una Oportunidad Para América Latina y El Caribe; Naciones Unidas: Santiago, Chile, 2016; p. 50. ISBN 9788578110796. [Google Scholar]
- Caramanica, A.; Mesia, L.H.; Morales, C.R.; Huckleberry, G.; Luis Jaime Castillo, B.; Quilter, J. El Niño Resilience Farming on the North Coast of Peru. Proc. Natl. Acad. Sci. USA 2020, 117, 24127–24137. [Google Scholar] [CrossRef] [PubMed]
- Gunstone, T.; Cornelisse, T.; Klein, K.; Dubey, A.; Donley, N. Pesticides and Soil Invertebrates: A Hazard Assessment. Front. Environ. Sci. 2021, 9, 643847. [Google Scholar] [CrossRef]
- Bejger, R.; Ukalska-Jaruga, A.; Ćwieląg-piasecka, I.; Weber, J.; Jamroz, E.; Jerzykiewicz, M.; Dębicka, M.; Bekier, J. Identification of Potential Pesticide Accumulation Processes in Soil. In Proceedings of the the 23rd EGU General Assembly, Online, 19–30 April 2021; pp. 4–5. [Google Scholar] [CrossRef]
- Kumar, R.; Saurabh, K.; Kumawat, N.; Mishra, J.S.; Hans, H.; Krishna, B.; Meena, R.S.; Jha, B.K.; Upadhyay, P.K.; Hazra, K.K. Conservation Agriculture: Perspectives on Soil and Environmental Management in Indo-Gangetic Plains of South Asia. In Sustainable Management of Soil and Environment; Springer: Berlin/Heidelberg, Germany, 2019; ISBN 9789811388323. [Google Scholar]
- Potharaju, R.; Aruna, M. The Effects of Pesticide Exposure on Waterbodies and Remediation. Int. Res. J. Mod. Eng. Technol. Sci. 2024, 6. [Google Scholar] [CrossRef]
- Pandey, C. Management of Crop Residue for Sustaining Soil Fertility and Foodgrains Production in India. Acta Sci. Agric. 2019, 3, 188–195. [Google Scholar]
- Pradesh, M. Crop Residue Burning: Consequences on Soil Microbes 2. Har. Dhara 2019, 2, 25–32. [Google Scholar]
- Ngole-Jeme, V.M. Fire-Induced Changes in Soil and Implications on Soil Sorption Capacity and Remediation Methods. Appl. Sci. 2019, 9, 3447. [Google Scholar] [CrossRef]
- Rodríguez-Eugenio, N.; McLaughlin, M.; Pennock, D. La Contaminación Del Suelo: Una Realidad Oculta; FAO: Roma, Italy, 2019; ISBN 9789251316399. [Google Scholar]
- Meena, R.S.; Kumar, S.; Datta, R.; Lal, R.; Vijayakumar, V.; Brtnicky, M.; Sharma, M.P.; Yadav, G.S.; Jhariya, M.K.; Jangir, C.K.; et al. Impact of Agrochemicals on Soil Microbiota and Management: A Review. Land 2020, 9, 34. [Google Scholar] [CrossRef]
- Prashar, P.; Shah, S. Impact of Fertilizers and Pesticides on Soil Microflora in Agriculture. In Sustainable Agriculture Reviews; Springer: Berlin/Heidelberg, Germany, 2016; pp. 331–361. ISBN 9783319267777. [Google Scholar]
- Ziblim, A. Assessing Soil Amendment Potentials of Mucuna Pruriens and Crotalaria Juncea When Used as Fallow Crops. J. Soil Sci. Environ. Manag. 2013, 4, 28–34. [Google Scholar] [CrossRef][Green Version]
- Silva, B.N.P.; Masetto, T.E.; Rocha, L.G. An Insight into Seed Priming Response of Crotalaria Ochroleuca and Crotalaria Spectabilis during Storage. Braz. J. Biol. 2024, 84, 1–8. [Google Scholar] [CrossRef]
- Sharma, S.G.; Sharma, N.R.; Sharma, M. Microbes in Soil and Their Metagenomics. In Microbial Diversity, Interventions and Scope; Springer: Singapore, 2020; pp. 85–96. ISBN 9789811540998. [Google Scholar] [CrossRef]
- Koudahe, K.; Allen, S.C.; Djaman, K. Critical Review of the Impact of Cover Crops on Soil Properties. Int. Soil Water Conserv. Res. 2022, 10, 343–354. [Google Scholar] [CrossRef]
- Gummert, M.; Van Hung, N.; Chivenge, P.; Douthwaite, B. Sustainable Rice Straw Management; Springer: Berlin/Heidelberg, Germany, 2020; ISBN 9783030323721. [Google Scholar]
- Sarkar, S.; Skalicky, M.; Hossain, A.; Brestic, M.; Saha, S.; Garai, S.; Ray, K.; Brahmachari, K. Management of Crop Residues for Improving Input Use Efficiency and Agricultural Sustainability. Sustainability 2020, 12, 9808. [Google Scholar] [CrossRef]
- Naik, M.R.; Kumar, R.; Kundu, S. Cover-Crop Technology for Soil Health Improvement, Land Degradation Neutrality, and Climate Change Adaptation. Legume Cover. Crops 2022, 18, 440–460. [Google Scholar]
- Abdalla, M.; Hastings, A.; Cheng, K.; Yue, Q.; Chadwick, D.; Espenberg, M.; Truu, J.; Rees, R.M.; Smith, P. A Critical Review of the Impacts of Cover Crops on Nitrogen Leaching, Net Greenhouse Gas Balance and Crop Productivity. Glob. Chang. Biol. 2019, 25, 2530–2543. [Google Scholar] [CrossRef]
- Singh, B.; Rengel, Z. The Role of Crop Residues in Improving Soil Fertility. In Nutrient Cycling in Terrestrial Ecosystems; Springer: Berlin/Heidelberg, Germany, 2007; ISBN 9783540680277. [Google Scholar]
- Lal, R. Restoring Soil Quality to Mitigate Soil Degradation. Sustainability 2015, 7, 5875–5895. [Google Scholar] [CrossRef]
- Meena, R.S.; Das, A.; Singh, G.; Lal, R. Legumes for Soil Health and Sustainable Management; Springer: Berlin/Heidelberg, Germany, 2018; ISBN 9789811302527. [Google Scholar]
- Shirale, A.O.; Meena, B.P.; Biswas, A.K. Green Manuring: A Panacea for the Reclamation of Saline and Sodic Soils. Har. Dhara 2018, 1, 19–21. [Google Scholar]
- Frossard, E.; Bünemann, E.K.; Gunst, L.; Oberson, A.; Schärer, M.; Tamburini, F. Fate of Fertilizer P in Soils-the Organic Pathway; Springer: Berlin/Heidelberg, Germany, 2016; ISBN 9789401776127. [Google Scholar]
- Kakraliya, S.K.; Singh, U.; Bohra, A.; Choudhary, K.K.; Kumar, S.; Meena, R.S.; Jat, M.L. Nitrogen and Legumes: A Meta-Analysis; Springer: Berlin/Heidelberg, Germany, 2018; ISBN 9789811302527. [Google Scholar]
- Ma, D.; Yin, L.; Ju, W.; Li, X.; Liu, X.; Deng, X.; Wang, S. Meta-Analysis of Green Manure Effects on Soil Properties and Crop Yield in Northern China. Field Crop. Res. 2021, 266, 108146. [Google Scholar] [CrossRef]
- Cherr, C.M.; Scholberg, J.M.S.; McSorley, R. Green Manure Approaches to Crop Production: A Synthesis. Agron. J. 2006, 98, 302–319. [Google Scholar] [CrossRef]
- Meagher, R.L.; Watrous, K.M.; Fleischer, S.J.; Nagoshi, R.N.; Brown, J.T.; Bowers, K.; Miller, N.; Hight, S.D.; Legaspi, J.C.; Westbrook, J.K. Documenting Potential Sunn Hemp (Crotalaria juncea L.) (Fabaceae) Pollinators in Florida. Environ. Entomol. 2019, 48, 343–350. [Google Scholar] [CrossRef]
- Florentín, M.A.; Peñalva, M.; Calegari, A.; Translated, R.D.; Mcdonald, M.J. Green Manure/Cover Crops and Crop Rotation in Conservation Agriculture on Small Farms; 2010; Volume 12, ISBN 978-92-5-106856-4. Available online: https://www.fao.org/fileadmin/user_upload/agp/icm12.pdf (accessed on 23 July 2024).
- ECHO Community. Sunn Hemp. Available online: https://www.echocommunity.org/es/resources/1ad2329d-2019-4dd2-a3a2-2700b01b2cbe (accessed on 24 May 2024).
- Jimenes, S.A.M.; Farfán, V.F.; Morales-Londoño, C.S. Biomasa Seca y Contenido de Nutrientes de Cajanus Cajan, Crotalaria Juncea y Tephrosia Candida, Empleadas Como Abonos Verdes En Cafetales. Cenicafé 2005, 56, 93–109. [Google Scholar]
- Guerrero, A.M.; Rodríguez, E.E.; Leiva, S.; Pollack, L.E. Zonas de Vida En El Proceso de La Zonificación Ecológica Económica (ZEE) de La Provincia de Trujillo, Región La Libertad, Perú. Arnaldoa 2019, 26, 761–792. [Google Scholar]
- Estrada, R.; Cosme, R.; Porras, T.; Reynoso, A.; Calderon, C.; Arbizu, C.I.; Arone, G.J. Changes in Bulk and Rhizosphere Soil Microbial Diversity Communities of Native Quinoa Due to the Monocropping in the Peruvian Central Andes. Microorganisms 2023, 11, 1926. [Google Scholar] [CrossRef] [PubMed]
- Gazoulis, I.; Kanatas, P.; Antonopoulos, N.; Tataridas, A.; Travlos, I. Νarrow Row Spacing and Cover Crops to Suppress Weeds and Improve Sulla (Hedysarum coronarium L.) Biomass Production. Energies 2022, 15, 7425. [Google Scholar] [CrossRef]
- Anwar, S.; Faisal Nadeem, M.; Pervaiz, I.; Khurshid, U.; Akmal, N.; Aamir, K.; Haseeb ur Rehman, M.; Almansour, K.; Alshammari, F.; Shaikh, M.F.; et al. A Comprehensive Phytochemical, Biological, and Toxicological Studies of Roots and Aerial Parts of Crotalaria Burhia Buch.-Ham: An Important Medicinal Plant. Front. Plant Sci. 2022, 13, 988352. [Google Scholar] [CrossRef] [PubMed]
- Grabau, Z.J. Management of Nematodes and Soil Fertility with Sunn Hemp Cover Crop. Edis 2022, 2022, 1–9. [Google Scholar] [CrossRef]
- Lanna, A.C.; Silva, M.A.; Moreira, A.S.; Nascente, A.S.; de Fillipi, M.C.C. Improved Nutrient Uptake in Three Crotalaria Species Inoculated with Multifunctional Microorganisms. Rev. Bras. Eng. Agric. e Ambient. 2021, 25, 460–465. [Google Scholar] [CrossRef]
- Jalali, Z.; Falahzadah, M.H. Effect of Sunnhemp (Crotalaria juncea L.) Green Manuring on Weed Dynamics in Puddle Transplanted Rice-Based Systems. Egypt. J. Agric. Res. 2021, 99, 314–323. [Google Scholar] [CrossRef]
- Tabatabai, M.A. Handbook of Reference Methods for Plant Analysis; CRC Press: Boca Raton, FI, USA, 1998; Volume 38, ISBN 9781574441246. [Google Scholar]
- Álvaro-Fuentes, J.; Lóczy, D.; Thiele-Bruhn, S.; Zornoza, R. Handbook of Plant and Soil Analysis for Agricultural Systems; CERN: Meyrin, Switzerland, 2019; ISBN 9788416325863. [Google Scholar]
- IUSS Working Group WRB. World Reference Base for Soil Resources. International Soil Classification System for Naming Soils and Creating Legends for Soil Maps, 4th ed.; International Union of Soil Sciences (IUSS): Vienna, Austria, 2022; ISBN 9798986245119. [Google Scholar]
- Bazán, T.; Rubén. Manual de Procedimientos de los Análisis de Suelos y Agua con Fines de Riego. 2017, p. 89. Available online: https://repositorio.inia.gob.pe/bitstream/20.500.12955/504/1/Bazan-Manual_de_procedimientos_de_los.pdf (accessed on 24 May 2024).
- Pansu, M.; Pansu, M. Handbook of Soil Analysis Mineralogical, Organic and Inorganic Methods; Springer: Berlin/Heidelberg, Germany, 2006; ISBN 9783540312109. [Google Scholar]
- Oliveros, J. Venny2.1.0 An Interactive Tool for Comparing Lists with Venn’s Diagrams. 2015. Available online: https://bioinfogp.cnb.csic.es/tools/venny/index.html (accessed on 20 May 2024).
- Takahashi, S.; Tomita, J.; Nishioka, K.; Hisada, T.; Nishijima, M. Development of a Prokaryotic Universal Primer for Simultaneous Analysis of Bacteria and Archaea Using Next-Generation Sequencing. PLoS ONE 2014, 9, e105592. [Google Scholar] [CrossRef]
- White, T.J.; Bruns, T.; Lee, S.; Taylor, J. Amplification and Direct Sequencing of Fungal Ribosomal Rna Genes for Phylogenetics. PCR Protoc. 1990, 31, 315–322. [Google Scholar] [CrossRef]
- Ihrmark, K.; Bödeker, I.T.M.; Cruz-Martinez, K.; Friberg, H.; Kubartova, A.; Schenck, J.; Strid, Y.; Stenlid, J.; Brandström-Durling, M.; Clemmensen, K.E.; et al. New Primers to Amplify the Fungal ITS2 Region—Evaluation by 454-Sequencing of Artificial and Natural Communities. FEMS Microbiol. Ecol. 2012, 82, 666–677. [Google Scholar] [CrossRef]
- Curry, E. Introduction to Bioinformatics with R, 1st ed.; Chapman and Hall/CRC: London, UK, 2020; ISBN 9781138498952. [Google Scholar]
- Gentleman, R. R Programming for Bioinformatics; CRC Press: London, UK, 2009; ISBN 9781420063677. [Google Scholar]
- Callahan, B.J.; McMurdie, P.J.; Rosen, M.J.; Han, A.W.; Johnson, A.J.A.; Holmes, S.P. DADA2: High-Resolution Sample Inference from Illumina Amplicon Data. Nat. Methods 2016, 13, 581–583. [Google Scholar] [CrossRef]
- Saeidipour, B.; Bakhshi, S. The Relationship between Organizational Culture and Knowledge Management,& Their Simultaneous Effects on Customer Relation Management. Adv. Environ. Biol. 2013, 7, 2803–2809. [Google Scholar]
- Bars-Cortina, D.; Moratalla-Navarro, F.; García-Serrano, A.; Mach, N.; Riobó-Mayo, L.; Vea-Barbany, J.; Rius-Sansalvador, B.; Murcia, S.; Obón-Santacana, M.; Moreno, V. Improving Species Level-Taxonomic Assignment from 16S RRNA Sequencing Technologies. Curr. Protoc. 2023, 3, e930. [Google Scholar] [CrossRef]
- Abarenkov, K.; Nilsson, R.H.; Larsson, K.H.; Taylor, A.F.S.; May, T.W.; Frøslev, T.G.; Pawlowska, J.; Lindahl, B.; Põldmaa, K.; Truong, C.; et al. The UNITE Database for Molecular Identificationãnd Taxonomic Communication of Fungiãnd Other Eukaryotes: Sequences, Taxaãnd Classifications r Econsider Ed. Nucleic Acids Res. 2024, 52, D791–D797. [Google Scholar] [CrossRef]
- Nilsson, R.H.; Larsson, K.H.; Taylor, A.F.S.; Bengtsson-Palme, J.; Jeppesen, T.S.; Schigel, D.; Kennedy, P.; Picard, K.; Glöckner, F.O.; Tedersoo, L.; et al. The UNITE Database for Molecular Identification of Fungi: Handling Dark Taxa and Parallel Taxonomic Classifications. Nucleic Acids Res. 2019, 47, D259–D264. [Google Scholar] [CrossRef]
- Silva-Ávila, N.; Hernández, F.J.; Nájera-Luna, J.A.; Aguirre-Calderón, C.E.; Domínguez-Gómez, T.G. Characterization of the Flora Diversity of the San Ignacio Oasis, Baja California Sur. Rev. Chapingo Ser. Ciencias For. y del Ambient. 2023, 29, 109–127. [Google Scholar] [CrossRef]
- González, M.L.; Chimeno, S.V.; Sturm, M.E.; Becerra, L.M.; Lerena, M.C.; Rojo, M.C.; Combina, M.; Mercado, L.A. Populations of Saccharomyces Cerevisiae in Vineyards: Biodiversity and Persistence Associated with Terroir. Fermentation 2023, 9, 292. [Google Scholar] [CrossRef]
- Brinkgreve, R.B.J.; Kumarswamy, S. Reference Manual Reference Manual. Technology 2008, 1, 720–766. [Google Scholar]
- de Mendiburu, F. Agricolae Tutorial. 2023. Available online: https://cran.r-project.org/web/packages/agricolae/vignettes/tutorial.pdf (accessed on 24 June 2024).
- Ramanjaneyulu, A.V.; Sainath, N.; Swetha, D.; Reddy, R.U.; Jagadeeshwar, R. Green Manure Crops: A Review. Biol. Forum-An Int. J. 2021, 13, 445. [Google Scholar]
- Barbosa, I.R.; Santana, R.S.; Mauad, M.; Garcia, R.A. Dry Matter Production and Nitrogen, Phosphorus and Potassium Uptake in Crotalaria Juncea and Crotalaria Spectabilis. Pesqui. Agropecu. Trop. 2020, 50, e61011. [Google Scholar] [CrossRef]
- Daimon, H. Traits of the Genus Crotalaria Used as a Green Manure Legume on Sustainable Cropping Systems. Japan Agric. Res. Q. 2006, 40, 299–305. [Google Scholar] [CrossRef][Green Version]
- Sankhla, I.S.; Meghwal, R.R.; Choudhary, S.; Rathi, S.; Tak, N.; Tak, A.; Gehlot, H.S. Molecular Characterization of Microsymbionts Associated with Root Nodules of Crotalaria Burhia Buch.-Ham. Ex Benth., a Native Keystone Legume Species from Thar Desert of India. Indian J. Exp. Biol. 2018, 56, 373–384. [Google Scholar]
- Nezomba, H.; Tauro, T.P.; Mtambanengwe, F.; Mapfumo, P. Nitrogen Fixation and Biomass Productivity of Indigenous Legumes for Fertility Restoration of Abandoned Soils in Smallholder Farming Systems. S. Afr. J. Plant Soil 2008, 25, 161–171. [Google Scholar] [CrossRef]
- Berriel, V.; Monza, J.; Perdomo, C.H. Cover Crop Selection by Jointly Optimizing Biomass Productivity, Biological Nitrogen Fixation, and Transpiration Efficiency: Application to Two Crotalaria Species. Agronomy 2020, 10, 1116. [Google Scholar] [CrossRef]
- Rech, C.; Ribeiro, L.P.; Bento, J.M.S.; Pott, C.A.; Nardi, C. Monocrotaline Presence in the Crotalaria (Fabaceae) Plant Genus and Its Influence on Arthropods in Agroecosystems. Braz. J. Biol. 2024, 84, e256916. [Google Scholar] [CrossRef] [PubMed]
- Cruz-Rodríguez, R.I.; Meza-Gordillo, R.; Rodríguez-Mendiola, M.A.; Arias-Castro, C.; Mancilla-Margalli, N.A.; Ávila-Miranda, M.E.; Culebro-Ricaldi, J.M.; Gutiérrez-Miceli, F.A.; Ruiz-Valdiviezo, V.M.; Ayora-Talavera, T.D.R. Antifungal Activity of Crotalaria Longirostrata Hook. & Arn. Extracts against Phytopathogen Fungi from Maize. Gayana. Botánica 2017, 74, 167–175. [Google Scholar] [CrossRef]
- Cruz-Rodríguez, R.I.; Cruz-Salomón, A.; Ruiz-Lau, N.; Pérez-Villatoro, J.I.; Esquinca-Avilés, H.A.; Meza-Gordillo, R. Potential Application of Crotalaria Longirostrata Branch Extract to Reduce the Severity of Disease Caused by Fusarium. Agronomy 2020, 10, 524. [Google Scholar] [CrossRef]
- López, H.L.; Beache, M.B.; Castro, E.; Chávez, E.C.; Carlos, J.; Ortiz, D. Potencial Agroecológico de Crotalaria spp. Como Extracto Vegetal En La Agricultura Agriculture. Rev. De La Fac. De Agron. 2022, 121, 112. [Google Scholar]
- Miranda-Granados, J.; Chacón, C.; Ruiz-Lau, N.; Vargas-Díaz, M.E.; Zepeda, L.G.; Alvarez-Gutiérrez, P.; Meza-Gordillo, R.; Lagunas-Rivera, S. Alternative Use of Extracts of Chipilín Leaves (Crotalaria Longirostrata Hook. & Arn) as Antimicrobial. Sustainability 2018, 10, 883. [Google Scholar] [CrossRef]
- Patle, T.; Khaddar, V.K.; Tiwari, R.; Para, P. Evaluation of Phosphorus Availability and Phosphorus Fixation in Four Different Soils Orders. J. Pharmacogn. Phytochem. 2019, 8, 2087–2090. [Google Scholar]
- Tunesi, S.; Poggi, V.; Gessa, C. Phosphate Adsorption and Precipitation in Calcareous Soils: The Role of Calcium Ions in Solution and Carbonate Minerals. Nutr. Cycl. Agroecosystems 1999, 53, 219–227. [Google Scholar] [CrossRef]
- Srinivasarao, C.; Kundu, S.; Rao, K.V.; Shukla, A.K.; Rao, A.S.; Imas, P.; Bolan, N.S.; Lal, R.; Prasad, J.V.N.S.; Abhilash, P.C.; et al. Soil Potassium Fertility and Management Strategies in South Asian Agriculture. Adv. Agron. 2023, 177, 51–124. [Google Scholar] [CrossRef]
- Najafi-Ghiri, M.; Abtahi, A. Potassium Fixation in Soil Size Fractions of Arid Soils. Soil Water Res. 2013, 8, 49–55. [Google Scholar] [CrossRef]
- Ikiriko, M.E.; Kamalu, O.J.; Joseph, I.E. Potassium Fixation of Some Soils Derived from Different Parent Materials in Cross River State, Nigeria. Greener J. Agric. Sci. 2022, 12, 1–15. [Google Scholar]
- Butterly, C.R.; Baldock, J.A.; Tang, C. The Contribution of Crop Residues to Changes in Soil PH under Field Conditions. Plant Soil 2013, 366, 185–198. [Google Scholar] [CrossRef]
- Sumiahadi, A.; Acar, R. Green Manure for Soil Properties Improvement. In Proceedings of the 2nd International Eurasian Conference on Science, Engineering and Technology, Gaziantep, Turkey, 7–9 October 2020. [Google Scholar]
- FAO Mapa de Carbono Orgánico Del Suelo. Alianza Mund. por el Suelo; FAO: Quebec City, QC, Canada, 2017; pp. 1–5. [Google Scholar]
- Saleh, M.I. Influence of Effective Microorganisms and Green Manure on Soil Properties and Productivity of Pearl Millet and Alfalfa Grown on Sandy Loam in Saudi Arabia. Afr. J. Microbiol. Res. 2013, 7, 375–382. [Google Scholar] [CrossRef]
- Soni, R.; Chandra, D.; Prachi, S.; Reeta, B. Microbiological Activity for Soil and Plant Health Management; Springer: Berlin/Heidelberg, Germany, 2021; ISBN 9789811629211. [Google Scholar]
- Hasan, A.; Tabassum, B.; Hashim, M.; Khan, N. Role of Plant Growth Promoting Rhizobacteria (PGPR) as a Plant Growth Enhancer for Sustainable Agriculture: A Review. Bacteria 2024, 3, 59–75. [Google Scholar] [CrossRef]
- Saharan, B.S.; Nehra, V. Plant Growth Promoting Rhizobacteria: A Critical Review. Life Sci. Med. Res. 2011, 2011, 1–30. [Google Scholar]
- Azadi, D.; Shojaei, H. Biodegradation of Polycyclic Aromatic Hydrocarbons, Phenol and Sodium Sulfate by Nocardia Species Isolated and Characterized from Iranian Ecosystems. Sci. Rep. 2020, 10, 21860. [Google Scholar] [CrossRef] [PubMed]
- Silva, J.P.; Ticona, A.R.P.; Hamann, P.R.V.; Quirino, B.F.; Noronha, E.F. Deconstruction of Lignin: From Enzymes to Microorganisms. Molecules 2021, 26, 2299. [Google Scholar] [CrossRef]
- Rodríguez-Fonseca, M.F.; Sánchez-Suárez, J.; Valero, M.F.; Ruiz-Balaguera, S.; Díaz, L.E. Streptomyces as Potential Synthetic Polymer Degraders: A Systematic Review. Bioengineering 2021, 8, 154. [Google Scholar] [CrossRef]
- Hamdan, A.M.; Abd-El-Mageed, H.; Ghanem, N. Biological Treatment of Hazardous Heavy Metals by Streptomyces Rochei ANH for Sustainable Water Management in Agriculture. Sci. Rep. 2021, 11, 9314. [Google Scholar] [CrossRef] [PubMed]
- Chatterjee, S.; Kuang, Y.; Splivallo, R.; Chatterjee, P.; Karlovsky, P. Interactions among Filamentous Fungi Aspergillus Niger, Fusarium Verticillioides and Clonostachys Rosea: Fungal Biomass, Diversity of Secreted Metabolites and Fumonisin Production. BMC Microbiol. 2016, 16, 83. [Google Scholar] [CrossRef] [PubMed]
- Peng, Y.; Li, S.J.; Yan, J.; Tang, Y.; Cheng, J.P.; Gao, A.J.; Yao, X.; Ruan, J.J.; Xu, B.L. Research Progress on Phytopathogenic Fungi and Their Role as Biocontrol Agents. Front. Microbiol. 2021, 12, 670135. [Google Scholar] [CrossRef] [PubMed]
- Herrera-Cebreros, J.M.; Preciado-Rodríguez, J.M.; Robles-Parra, J.M. Impacto Económico de Las Pérdidas Postcosecha En Los Sistemas Agrícolas: El Sistema de Uva de Mesa. Rev. Iberoam. Tecnol. Postcosecha 2022, 23, 1–17. [Google Scholar]
- Ünüsan, N. Systematic Review of Mycotoxins in Food and Feeds in Turkey. Food Control 2019, 97, 1–14. [Google Scholar] [CrossRef]
- García-Nicolás, M.; Arroyo-Manzanares, N.; Viñas, P. Dispersive Magnetic Solid-Phase Extraction as a Novelty Sample Treatment for the Determination of the Main Aflatoxins in Paprika. Toxins 2023, 15, 160. [Google Scholar] [CrossRef]
- Karami-Osboo, R.; Mirabolfathy, M.; Kamran, R.; Shetab-Boushehri, M.; Sarkari, S. Aflatoxin B1 in Maize Harvested over 3 Years in Iran. Food Control 2012, 23, 271–274. [Google Scholar] [CrossRef]
- Veresoglou, S.D.; Barto, E.K.; Menexes, G.; Rillig, M.C. Fertilization Affects Severity of Disease Caused by Fungal Plant Pathogens. Plant Pathol. 2013, 62, 961–969. [Google Scholar] [CrossRef]
- Liu, X.; Lyu, S.; Sun, D.; Bradshaw, C.J.A.; Zhou, S. Species Decline under Nitrogen Fertilization Increases Community-Level Competence of Fungal Diseases. Proc. R. Soc. B Biol. Sci. 2017, 284, 20162621. [Google Scholar] [CrossRef]
- Nimsi, K.A.; Manjusha, K.; Kathiresan, K.; Arya, H. Plant Growth-Promoting Yeasts (PGPY), the Latest Entrant for Use in Sustainable Agriculture: A Review. J. Appl. Microbiol. 2023, 134, lxac088. [Google Scholar] [CrossRef]
- Wang, Y.; Chen, G.; Sun, Y.; Zhu, K.; Jin, Y.; Li, B.; Wang, G. Different Agricultural Practices Specify Bacterial Community Compositions in the Soil Rhizosphere and Root Zone. Soil Ecol. Lett. 2022, 4, 18–31. [Google Scholar] [CrossRef]
- Răut, I.; Călin, M.; Capră, L.; Gurban, A.M.; Doni, M.; Radu, N.; Jecu, L. Cladosporium Sp. Isolate as Fungal Plant Growth Promoting Agent. Agronomy 2021, 11, 392. [Google Scholar] [CrossRef]
- Temperini, C.V.; Pardo, A.G.; Pose, G.N. Diversity of Airborne Cladosporium Species Isolated from Agricultural Environments of Northern Argentinean Patagonia: Molecular Characterization and Plant Pathogenicity. Aerobiologia 2018, 34, 227–239. [Google Scholar] [CrossRef]
- Dwibedi, V.; Rath, S.K.; Jain, S.; Martínez-Argueta, N.; Prakash, R.; Saxena, S.; Rios-Solis, L. Key Insights into Secondary Metabolites from Various Chaetomium Species. Appl. Microbiol. Biotechnol. 2023, 107, 1077–1093. [Google Scholar] [CrossRef] [PubMed]
- Mérillon, J.-M.; Ramawat, K.G. Progress in Biological Control Plant Defence: Biological Control; Springer: Berlin/Heidelberg, Germany, 2020; ISBN 978-3-030-51034-3. [Google Scholar]
- Moya, P.; Pedemonte, D.; Amengual, S.; Franco, M.E.E.; Sisterna, M.N. Antagonism and Modes of Action of Chaetomium Globosum Species Group, Potential Biocontrol Agent of Barley Foliar Diseases. Bol. la Soc. Argentina Bot. 2016, 51, 569–578. [Google Scholar] [CrossRef]
- Radhakrishnan, R.; Khan, A.L.; Kang, S.M.; Lee, I.J. A Comparative Study of Phosphate Solubilization and the Host Plant Growth Promotion Ability of Fusarium Verticillioides RK01 and Humicola Sp. KNU01 under Salt Stress. Ann. Microbiol. 2015, 65, 585–593. [Google Scholar] [CrossRef]
- Hosseyni Moghaddam, M.S.; Safaie, N.; Soltani, J.; Pasdaran, A. Endophytic Association of Bioactive and Halotolerant Humicola Fuscoatra with Halophytic Plants, and Its Capability of Producing Anthraquinone and Anthranol Derivatives. Antonie Van Leeuwenhoek Int. J. Gen. Mol. Microbiol. 2020, 113, 279–291. [Google Scholar] [CrossRef]
- Ibrahim, S.R.M.; Mohamed, S.G.A.; Altyar, A.E.; Mohamed, G.A. Natural Products of the Fungal Genus Humicola: Diversity, Biological Activity, and Industrial Importance. Curr. Microbiol. 2021, 78, 2488–2509. [Google Scholar] [CrossRef]
- Waill, A.E.; Daba, G.M. Chemical and Bioactive Metabolites of Humicola and Nigrospora Secondary Metabolites. Pharm. Pharmacol. Res. 2022, 5, 1–4. [Google Scholar] [CrossRef]
- Lee, J.; Kim, S.; Jung, H.; Koo, B.K.; Han, J.A.; Lee, H.S. Exploiting Bacterial Genera as Biocontrol Agents: Mechanisms, Interactions and Applications in Sustainable Agriculture. J. Plant Biol. 2023, 66, 485–498. [Google Scholar] [CrossRef]
- Olanrewaju, O.S.; Babalola, O.O. Streptomyces: Implications and Interactions in Plant Growth Promotion. Appl. Microbiol. Biotechnol. 2019, 103, 1179–1188. [Google Scholar] [CrossRef] [PubMed]
- Pacios-Michelena, S.; Aguilar González, C.N.; Alvarez-Perez, O.B.; Rodriguez-Herrera, R.; Chávez-González, M.; Arredondo Valdés, R.; Ascacio Valdés, J.A.; Govea Salas, M.; Ilyina, A. Application of Streptomyces Antimicrobial Compounds for the Control of Phytopathogens. Front. Sustain. Food Syst. 2021, 5, 696518. [Google Scholar] [CrossRef]
- Miljaković, D.; Marinković, J.; Balešević-Tubić, S. The Significance of Bacillus Spp. in Disease Suppression and Growth Promotion of Field and Vegetable Crops. Microorganisms 2020, 8, 1037. [Google Scholar] [CrossRef] [PubMed]












| Time Zero | Time 1 | Plots with and without Crotalaria Sowing for Use as Green Manure |
|---|---|---|
| C0: Initial control soil evaluated before sowing of the plot without cultivation. | C1: Soil that has remained untilled since the time of C0 and evaluated at the same time as P1. | ![]() |
| P0: Initial control soil for the plot with Crotalaria | P1: Plot where the Crotalaria is sown and incorporated 75 days after its sowing and evaluated 90 days after its incorporation. | ![]() |
| Element | Crotalaria Leaf Biomass (LB) | Crotalaria Root Biomass (RB) | Total Input (LB + RB) (kg ha−1) | ||||
|---|---|---|---|---|---|---|---|
| Nutrient Content (g kg−1) | Dry Matter (t ha−1) | Nutrient Supply (kg ha−1) | Nutrient Content (g kg−1) | Dry Matter (t ha−1) | Nutrient Supply (kg ha−1) | ||
| N | 25.40 | 8.767 | 222.70 | 10.90 | 0.968 | 10.55 | 233.23 |
| P | 2.80 | 8.767 | 24.50 | 2.20 | 0.968 | 2.13 | 26.68 |
| K | 13.30 | 8.767 | 116.60 | 10.90 | 0.968 | 10.55 | 127.15 |
| Ca | 17.00 | 8.767 | 149.00 | 4.60 | 0.968 | 4.45 | 153.49 |
| Mg | 2.80 | 8.767 | 24.50 | 2.10 | 0.968 | 2.03 | 26.58 |
| S | 2.30 | 8.767 | 20.20 | 2.20 | 0.968 | 2.13 | 22.29 |
| Na | 0.100 | 8.767 | 0.90 | 1.20 | 0.968 | 1.16 | 2.04 |
| Zn | 0.021 | 8.767 | 0.20 | 0.040 | 0.968 | 0.04 | 0.22 |
| Cu | 0.009 | 8.767 | 0.10 | 0.013 | 0.968 | 0.01 | 0.09 |
| Mn | 0.085 | 8.767 | 0.70 | 0.061 | 0.968 | 0.06 | 0.80 |
| Fe | 0.152 | 8.767 | 1.30 | 1.293 | 0.968 | 1.25 | 2.58 |
| B * | 0.048 | 8.767 | 0.40 | 0.017 | 0.968 | 0.02 | 0.44 |
| Treatment | pH | C.E | OM | P | K | CEC | Ca+2 | Mg+2 | K+1 | Na+1 | Sum of Bases |
|---|---|---|---|---|---|---|---|---|---|---|---|
| (dS/m) | (g kg−1) | (mg kg−1) | (mEq/100 g soil) | ||||||||
| C0 | 6.91 | 0.52 | 9.8 | 34.11 | 328.25 | 11.00 | 8.15 | 1.78 | 0.64 | 0.18 | 10.75 |
| P0 | 7.09 | 0.65 | 10.7 | 31.54 | 268.25 | 11.04 | 8.54 | 1.88 | 0.56 | 0.07 | 11.04 |
| C1 * | 6.86 b | 1.12 a | 9 b | 32.25 a | 267.67 a | 10.24 a | 7.43 a | 1.77 a | 0.57 a | 0.14 a | 9.91 |
| P1 | 7.09 a | 0.99 a | 11 a | 32.16 a | 269.00 a | 10.83 a | 8.25 a | 1.93 a | 0.58 a | 0.05 a | 10.81 |
Disclaimer/Publisher’s Note: The statements, opinions and data contained in all publications are solely those of the individual author(s) and contributor(s) and not of MDPI and/or the editor(s). MDPI and/or the editor(s) disclaim responsibility for any injury to people or property resulting from any ideas, methods, instructions or products referred to in the content. |
© 2024 by the authors. Licensee MDPI, Basel, Switzerland. This article is an open access article distributed under the terms and conditions of the Creative Commons Attribution (CC BY) license (https://creativecommons.org/licenses/by/4.0/).
Share and Cite
Arone, G.J.; Ocaña, R.; Sánchez, A.; Villadas, P.J.; Fernández-López, M. Benefits of Crotalaria juncea L. as Green Manure in Fertility and Soil Microorganisms on the Peruvian Coast. Microorganisms 2024, 12, 2241. https://doi.org/10.3390/microorganisms12112241
Arone GJ, Ocaña R, Sánchez A, Villadas PJ, Fernández-López M. Benefits of Crotalaria juncea L. as Green Manure in Fertility and Soil Microorganisms on the Peruvian Coast. Microorganisms. 2024; 12(11):2241. https://doi.org/10.3390/microorganisms12112241
Chicago/Turabian StyleArone, Gregorio J., Roger Ocaña, Arcadio Sánchez, Pablo J. Villadas, and Manuel Fernández-López. 2024. "Benefits of Crotalaria juncea L. as Green Manure in Fertility and Soil Microorganisms on the Peruvian Coast" Microorganisms 12, no. 11: 2241. https://doi.org/10.3390/microorganisms12112241
APA StyleArone, G. J., Ocaña, R., Sánchez, A., Villadas, P. J., & Fernández-López, M. (2024). Benefits of Crotalaria juncea L. as Green Manure in Fertility and Soil Microorganisms on the Peruvian Coast. Microorganisms, 12(11), 2241. https://doi.org/10.3390/microorganisms12112241



