Probiotic Characteristics of Streptococcus thermophilus and Lactobacillus bulgaricus as Influenced by New Food Sources
Abstract
:1. Introduction
2. Materials and Methods
2.1. Plant Material
2.2. Experimental Design
2.3. Bile Tolerance Test
2.4. Acid Tolerance Test
2.5. Protease Activity
2.6. Viability of Culture Bacteria
2.7. Tolerance to Simulated Gastric Juice
2.8. Lysozyme Tolerance Test
2.9. Enumeration of Culutre Bacteria
2.10. Statistical Analysis
3. Results and Discussion
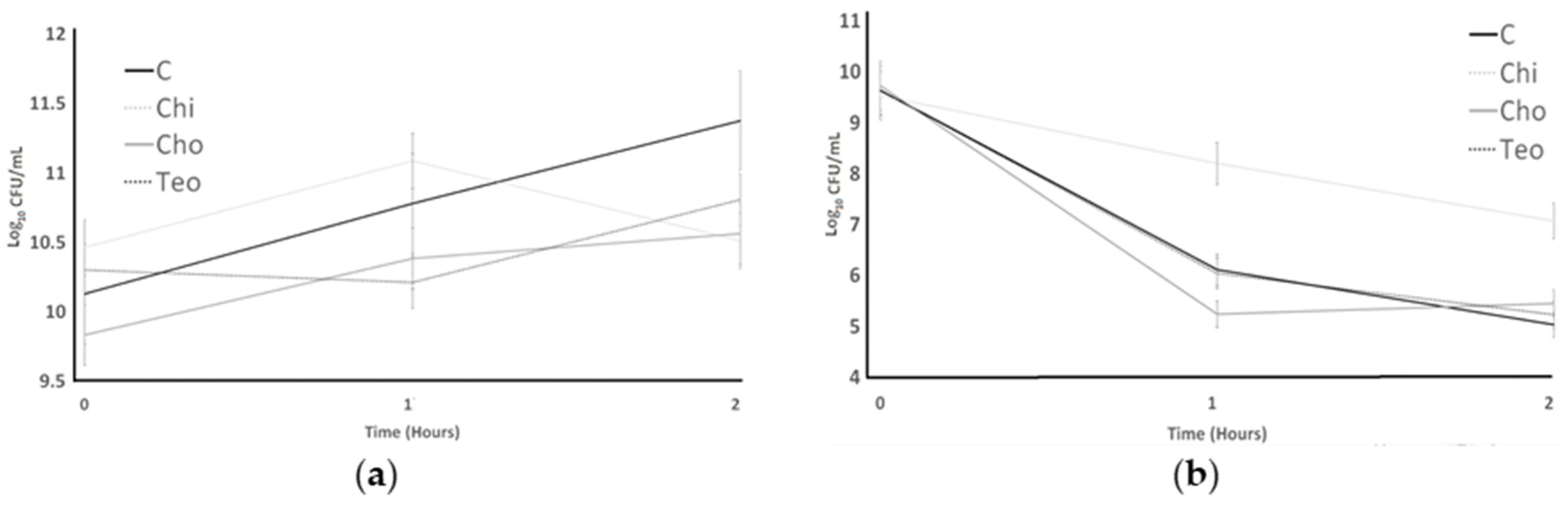
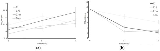
Bile, Acid, Lysozyme, and Gastric Juice Effects on Probiotic Resistance and Protease Activity
4. Discussion
5. Conclusions
Author Contributions
Funding
Data Availability Statement
Conflicts of Interest
References
- Fijan, S. Microorganisms with Claimed Probiotic Properties: An Overview of Recent Literature. Int. J. Environ. Res. Public Health 2014, 11, 4745. [Google Scholar] [CrossRef]
- Odintsova, V.; Klimenko, N.; Tyakht, A.; Volokh, O.; Popov, V.; Alexeev, D.; Berezhnaya, Y. Yogurt fortified with vitamins and probiotics impacts the frequency of upper respiratory tract infections but not gut microbiome: A multicenter double-blind placebo controlled randomized study. J. Funct. Foods 2021, 83, 104572. [Google Scholar] [CrossRef]
- Washburn, R.L.; Sandberg, D.; Stofer, M.A.G. Supplementation of a single species probiotic does not affect diversity and composition of the healthy adult gastrointestinal microbiome. Hum. Nutr. Metab. 2022, 28, 200148. [Google Scholar] [CrossRef]
- Dhopatkar, N.; Keeler, J.L.; Mutwalli, H.; Whelan, K.; Treasure, J.; Himmerich, H. Gastrointestinal symptoms, gut microbiome, probiotics and prebiotics in anorexia nervosa: A review of mechanistic rationale and clinical evidence. Psychoneuroendocrinology 2023, 147, 105959. [Google Scholar] [CrossRef] [PubMed]
- Baig, M.A.; Turner, M.S.; Liu, S.-Q.; Shah, N.N.; Ayyash, M.M. Heat, cold, acid, and bile salt induced differential proteomic responses of a novel potential probiotic Lactococcus garvieae C47 isolated from camel milk. Food Chem. 2022, 397, 133774. [Google Scholar] [CrossRef] [PubMed]
- Bezkorovainy, A. Probiotics: Determinants of survival and growth in the gut. Am. J. Clin. Nutr. 2001, 73, 399–405. [Google Scholar] [CrossRef]
- Peres, C.M.; Peres, C.; Hernández-Mendoza, A.; Malcata, F.X. Review on fermented plant materials as carriers and sources of potentially probiotic lactic acid bacteria—With an emphasis on table olives. Trends Food Sci. Technol. 2012, 26, 31–42. [Google Scholar] [CrossRef]
- Ooi, C.T.; Syahida, A.; Stanslas, J.; Maziah, M. Efficiency of different Agrobacterium rhizogenes strains on hairy roots induction in Solanum mammosum. World J. Microbiol. Biotechnol. 2013, 29, 421–430. [Google Scholar] [CrossRef]
- Bastias-Montes, J.-M.; Flores-Varela, L.-E.; Reyes-Calderón, O.-A.; Vidal-San-Martín, C.; Muñoz-Fariña, O.; Quevedo-León, R.; Acuña-Nelson, S.-M. Teosinte (Dioon mejiae) Flour: Nutritional and Physicochemical Characterization of the Seed Flour of the Living Fossil in Honduras. Agronomy 2020, 10, 481. [Google Scholar] [CrossRef]
- Silva, A.M.; Preto, M.; Grosso, C.; Vieira, M.; Delerue-Matos, C.; Vasconcelos, V.; Reis, M.; Barros, L.; Martins, R. Tracing the Path between Mushrooms and Alzheimer’s Disease—A Literature Review. Molecules 2023, 28, 5614. [Google Scholar] [CrossRef]
- Ivanova, M.T.; Katrandzhiev, N.T.; Dospatliev, L.K.; Papazov, P.K. Comparison of mathematical models describing mushroom (Amanita caesarea) drying. J. Chem. Technol. Metall. 2019, 54, 920–925. [Google Scholar]
- Mena, B.; Aryana, K. Short communication: Lactose enhances bile tolerance of yogurt culture bacteria. J. Dairy Sci. 2018, 101, 1957–1959. [Google Scholar] [CrossRef] [PubMed]
- Lee, Y.-E.; Kang, Y.-R.; Chang, Y.H. Effect of pectic oligosaccharide on probiotic survival and physicochemical properties of hydrogel beads for synbiotic encapsulation of Lactobacillus bulgaricus. Food Biosci. 2023, 51, 102260. [Google Scholar] [CrossRef]
- Pereira, D.I.A.; Gibson, G.R. Cholesterol assimilation by lactic acid bacteria and bifidobacteria isolated from the human gut. Appl. Environ. Microbiol. 2002, 68, 4689–4693. [Google Scholar] [CrossRef] [PubMed]
- Oberg, C.J.; Weimer, B.C.; Moyes, L.V.; Brown, R.J.; Richardson, G.H. Proteolytic Characterization of Lactobacillus delbrueckii ssp. bulgaricus Strains by the o-Phthaldialdehyde Test and Amino Acid Analysis. J. Dairy Sci. 1991, 74, 398–403. [Google Scholar] [CrossRef]
- Shihata, A.; Shah, N. Proteolytic profiles of yogurt and probiotic bacteria. Int. Dairy J. 2000, 10, 401–408. [Google Scholar] [CrossRef]
- Meng, L.; Li, S.; Liu, G.; Fan, X.; Qiao, Y.; Zhang, A.; Lin, Y.; Zhao, X.; Huang, K.; Feng, Z. The nutrient requirements of Lactobacillus acidophilus LA-5 and their application to fermented milk. J. Dairy Sci. 2021, 104, 138–150. [Google Scholar] [CrossRef]
- García-Ruiz, A.; González de Llano, G.; Esteban-Fernández, A.; Requena, T.; Bartolomé, B.; Moreno-Arribas, M.V. Assessment of probiotic properties in lactic acid bacteria isolated from wine. Food Microbiol. 2014, 44, 220–225. [Google Scholar] [CrossRef]
- Liao, N.; Luo, B.; Gao, J.; Li, X.; Zhao, Z.; Zhang, Y.; Ni, Y.; Tian, F. Oligosaccharides as co-encapsulating agents: Effect on oral Lactobacillus fermentum survival in a simulated gastrointestinal tract. Biotechnol. Lett. 2019, 41, 263–272. [Google Scholar] [CrossRef]
- Zago, M.; Fornasari, M.E.; Carminati, D.; Burns, P.; Suàrez, V.; Vinderola, G.; Reinheimer, J.; Giraffa, G. Characterization and probiotic potential of Lactobacillus plantarum strains isolated from cheeses. Food Microbiol. 2011, 28, 1033–1040. [Google Scholar] [CrossRef]
- Dave, R.I.; Shah, N.P. Evaluation of media for selective enumeration of Streptococcus thermophilus, Lactobacillus delbrueckii ssp. bulgaricus, Lactobacillus acidophilus and Btfidobacterium spp. J. Dairy Sci. 1996, 79, 1529–1536. [Google Scholar] [CrossRef] [PubMed]
- Mena, B.; Aryana, K. Effect of Lactose on Acid Tolerance of Yogurt Culture Bacteria. Food Nutr. Sci. 2020, 11, 457–462. [Google Scholar] [CrossRef]
- Vargas, L.; Olson, D.; Aryana, K. Whey protein isolate improves acid and bile tolerances of Streptococcus thermophilus ST-M5 and Lactobacillus delbrueckii ssp. bulgaricus LB-12. J. Dairy Sci. 2015, 98, 2215–2221. [Google Scholar] [CrossRef]
- Paz, D.; Aleman, R.S.; Cedillos, R.; Olson, D.W.; Aryana, K.; Marcia, J.; Boeneke, C. Probiotic Characteristics of Streptococcus thermophilus and Lactobacillus delbrueckii ssp. bulgaricus as Influenced by Carao (Cassia grandis). Fermentation 2022, 8, 499. [Google Scholar] [CrossRef]
- Pilaquinga, F.; Morey, J.; Fernandez, L.; Espinoza-Montero, P.; Moncada-Basualto, M.; Pozo-Martinez, J.; Olea-Azar, C.; Bosch, R.; Meneses, L.; Debut, A.; et al. Determination of antioxidant activity by oxygen radical absorbance capacity (Orac-fl), cellular antioxidant activity (caa), electrochemical and microbiological analyses of silver nanoparticles using the aqueous leaf extract of Solanum mammosum L. Int. J. Nanomed. 2021, 16, 5879–5894. [Google Scholar] [CrossRef]
- Nijveldt, R.J.; van Nood, E.; van Hoorn, D.E.C.; Boelens, P.G.; van Norren, K.; van Leeuwen, P.A.M. Flavonoids: A review of probable mechanisms of action and potential applications. Am. J. Clin. Nutr. 2001, 74, 418–425. [Google Scholar] [CrossRef]
- Cabanillas, B.; Chassagne, F.; Vásquez-Ocmín, P.; Tahrioui, A.; Chevalier, S.; Vansteelandt, M.; Triastuti, A.; Guerra, C.A.; Fabre, N.; Haddad, M. Pharmacological validation of Solanum mammosum L. as an anti-infective agent: Role of solamargine. J. Ethnopharmacol. 2021, 280, 114473. [Google Scholar] [CrossRef]
- Kasprzak-Drozd, K.; Oniszczuk, T.; Stasiak, M.; Oniszczuk, A. Beneficial effects of phenolic compounds on gut microbiota and metabolic syndrome. Int. J. Mol. Sci. 2021, 22, 3715. [Google Scholar] [CrossRef]
- El Gendy, H.; Mostafa, S.; Kabbash, A.; Shoeib, N.A. Pharmacognostical and biological investigation of Dioon holmgrenii De Luca, Sabato & Vázq.Torres, Dioon mejiae Standl. & L.O.Williams, and Dioon meorlae De Luca, Sabato & Vázq.Torres cultivated in Egypt. J. Adv. Med. Pharm. Res. 2022, 3, 45–52. [Google Scholar] [CrossRef]
- Sakata, T.; Kojima, T.; Fujieda, M.; Takahashi, M.; Michibata, T. Influences of probiotic bacteria on organic acid production by pig caecal bacteria in vitro. Proc. Nutr. Soc. 2003, 62, 73–80. [Google Scholar] [CrossRef]
- Patel, P.; Jethani, H.; Radha, C.; Vijayendra, S.V.N.; Mudliar, S.N.; Sarada, R.; Chauhan, V.S. Development of a carotenoid enriched probiotic yogurt from fresh biomass of Spirulina and its characterization. J. Food Sci. Technol. 2019, 56, 3721–3731. [Google Scholar] [CrossRef] [PubMed]
- Donkor, O.; Henriksson, A.; Vasiljevic, T.; Shah, N. Effect of acidification on the activity of probiotics in yoghurt during cold storage. Int. Dairy J. 2006, 16, 1181–1189. [Google Scholar] [CrossRef]
- Shi, L.E.; Li, Z.H.; Li, D.T.; Xu, M.; Chen, H.Y.; Zhang, Z.L.; Tang, Z.X. Encapsulation of Probiotic Lactobacillus bulgaricus inAlginate-Milk Microspheres and Evaluation of the Survival in Simulated Gastrointestinal Conditions. J. Food Eng. 2013, 117, 99–104. [Google Scholar] [CrossRef]
- Zhu, Y.; Ding, X.; Wang, M.; Hou, Y.; Hou, W.; Yue, C. Structure and antioxidant activity of a novel polysaccharide derived from Amanita caesarea. Mol. Med. Rep. 2016, 14, 3947–3954. [Google Scholar] [CrossRef]
- Sarikurkcu, C.; Tepe, B.; Semiz, D.K.; Solak, M.H. Evaluation of metal concentration and antioxidant activity of three edible mushrooms from Mugla, Turkey. Food Chem. Toxicol. 2010, 48, 1230–1233. [Google Scholar] [CrossRef]
- Beganović, J.; Kos, B.Ž.; Pavunc, A.L.; Uroić, K.; Džidara, P.; Šušković, J. Proteolytic activity of probiotic strain Lactobacillus helveticus M92. Anaerobe 2013, 20, 58–64. [Google Scholar] [CrossRef]





Disclaimer/Publisher’s Note: The statements, opinions and data contained in all publications are solely those of the individual author(s) and contributor(s) and not of MDPI and/or the editor(s). MDPI and/or the editor(s) disclaim responsibility for any injury to people or property resulting from any ideas, methods, instructions or products referred to in the content. |
© 2023 by the authors. Licensee MDPI, Basel, Switzerland. This article is an open access article distributed under the terms and conditions of the Creative Commons Attribution (CC BY) license (https://creativecommons.org/licenses/by/4.0/).
Share and Cite
Castro, A.; Aleman, R.S.; Tabora, M.; Kazemzadeh, S.; Pournaki, L.K.; Cedillos, R.; Marcia, J.; Aryana, K. Probiotic Characteristics of Streptococcus thermophilus and Lactobacillus bulgaricus as Influenced by New Food Sources. Microorganisms 2023, 11, 2291. https://doi.org/10.3390/microorganisms11092291
Castro A, Aleman RS, Tabora M, Kazemzadeh S, Pournaki LK, Cedillos R, Marcia J, Aryana K. Probiotic Characteristics of Streptococcus thermophilus and Lactobacillus bulgaricus as Influenced by New Food Sources. Microorganisms. 2023; 11(9):2291. https://doi.org/10.3390/microorganisms11092291
Chicago/Turabian StyleCastro, Ashly, Ricardo S. Aleman, Miguel Tabora, Shirin Kazemzadeh, Leyla K. Pournaki, Roberto Cedillos, Jhunior Marcia, and Kayanush Aryana. 2023. "Probiotic Characteristics of Streptococcus thermophilus and Lactobacillus bulgaricus as Influenced by New Food Sources" Microorganisms 11, no. 9: 2291. https://doi.org/10.3390/microorganisms11092291
APA StyleCastro, A., Aleman, R. S., Tabora, M., Kazemzadeh, S., Pournaki, L. K., Cedillos, R., Marcia, J., & Aryana, K. (2023). Probiotic Characteristics of Streptococcus thermophilus and Lactobacillus bulgaricus as Influenced by New Food Sources. Microorganisms, 11(9), 2291. https://doi.org/10.3390/microorganisms11092291

