Yield and Rhizosphere Soil Environment of Greenhouse Zucchini in Response to Different Planting and Breeding Waste Composts
Abstract
1. Introduction
2. Materials and Methods
2.1. Site and Soil Description
2.2. Study Materials and Compost Fermentation
2.3. Experimental Design
2.4. Yield Determination
2.5. Soil Sampling and Analysis of Soil Chemical Properties
2.6. Soil DNA Extraction and PCR Amplification
2.7. Illumina Miseq Sequencing and Sequence Processing
2.8. Statistical Analysis
3. Results
3.1. Effects of Different Composting Treatments on Soil TN, TP, TK, pH, and EC
3.2. Effect of Different Composting Treatments on Soil Available Nutrients and Organic Matter
3.3. Effect of Different Composting Treatments on Zucchini Yield
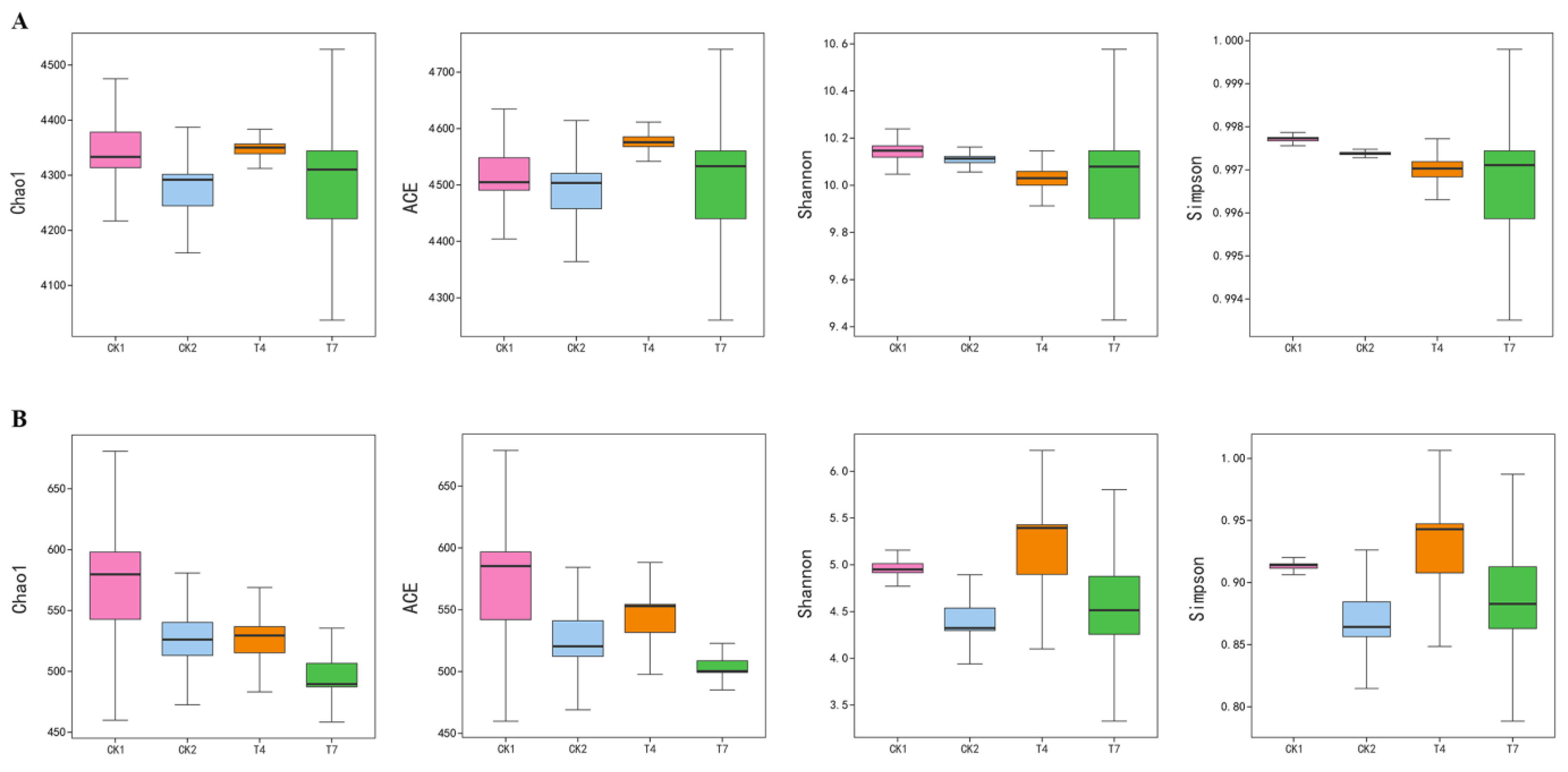
3.4. Effect of Different Composting Treatments on the Alpha Diversity of Bacterial and Fungal Communities in Soils
3.5. Effect of Different Composting Treatments on Beta Diversity of Bacterial and Fungal Communities in Soils
3.6. Phylum-Level Composition and Relative Abundance of Soil Bacterial and Fungal Communities in Different Composting Treatments
3.7. Genus-Level Composition and Relative Abundance of Soil Bacterial and Fungal Communities in Different Composting Treatments
3.8. Prediction of Soil Bacterial Tax4Fun Function after Application of Planting and Breeding Waste Compost
3.9. Prediction of soil Fungal FUNGuild Function after Application of Compost to Planting and Breeding Waste
3.10. Relationship between Soil Bacterial Community Structure and Soil Chemical Properties
3.11. Relationship between Soil Fungal Community Structure and Soil Chemical Properties
4. Discussion
4.1. Effect of Planting and Breeding Compost on Soil Chemical Properties and Zucchini Yield
4.2. Effect of Planting and Breeding Compost on Soil Microbial Diversity and Community Composition
4.3. Effect of Planting and Breeding Compost on Soil Microbial Community Function
4.4. Relationship between the Microbial Community and Soil Environment Factors
5. Conclusions
Supplementary Materials
Author Contributions
Funding
Data Availability Statement
Conflicts of Interest
References
- Makádi, M.; Szegi, T.; Tomócsik, A.; Orosz, V.; Michéli, E.; Ferenczy, A.; Posta, K.; Biró, B. Impact of Digestate Application on Chemical and Microbiological Properties of Two Different Textured Soils. Commun. Soil Sci. Plant Anal. 2016, 47, 167–178. [Google Scholar] [CrossRef]
- Hu, Y.; Cheng, H.; Tao, S. Environmental and human health challenges of industrial livestock and poultry farming in China and their mitigation. Environ. Int. 2017, 107, 111–130. [Google Scholar] [CrossRef] [PubMed]
- Mengqi, Z.; Shi, A.; Ajmal, M.; Ye, L.; Awais, M. Comprehensive review on agricultural waste utilization and high-temperature fermentation and composting. Biomass Convers. Biorefin. 2021, 1–24. [Google Scholar] [CrossRef]
- Tian, S.; Guo, H.H.; Yao, L.; Gong, Z.Y.; Dong, L.; Bian, W.F.; Luo, J.F.; Zhang, Y.F. Development analysis for fertilizer utilization of agricultural planting and animal wastes in China. Trans. Chin. Soc. Agric. Eng. 2018, 34, 123–131. [Google Scholar]
- Scotti, R.; Bonanomi, G.; Scelza, R.; Zoina, A.; Rao, M.A. Organic amendments as sustainable tool to recovery fertility in intensive agricultural systems. J. Soil Sci. Plant Nutr. 2015, 15, 333–352. [Google Scholar] [CrossRef]
- Durmuş, M.; Kızılkaya, R. The Effect of Tomato Waste Compost on Yield of Tomato and Some Biological Properties of Soil. Agronomy 2022, 12, 1253. [Google Scholar] [CrossRef]
- Yu, Y.-Y.; Li, S.-M.; Qiu, J.-P.; Li, J.-G.; Luo, Y.-M.; Guo, J.-H. Combination of agricultural waste compost and biofertilizer improves yield and enhances the sustainability of a pepper field. J. Plant Nutr. Soil Sci. 2019, 182, 560–569. [Google Scholar] [CrossRef]
- Abdul, K.; Abbasi, M.K. Improvements in the physical and chemical characteristics of degraded soils supplemented with organic–inorganic amendments in the Himalayan region of Kashmir, Pakistan. Catena 2015, 126, 209–219. [Google Scholar]
- Shawn, T.L.; Elisa, M.D.A.; Mark, A.W. Improving soil structure by promoting fungal abundance with organic soil amendments. Appl. Soil Ecol. 2014, 75, 13–23. [Google Scholar]
- Morris, S.J.; Blackwood, C.B. The ecology of the soil biota and their function. In Soil Microbiology, Ecology and Biochemistry; Elsevier Inc.: Amsterdam, The Netherlands, 2015; pp. 273–309. [Google Scholar]
- Tao, R.; Liang, Y.; Wakelin, S.A.; Chu, G. Supplementing chemical fertilizer with an organic component increases soil biological function and quality. Appl. Soil Ecol. 2015, 96, 42–51. [Google Scholar] [CrossRef]
- Zhao, J.; Ni, T.; Li, J.; Lu, Q.; Fang, Z.; Huang, Q.; Zhang, R.; Li, R.; Shen, B.; Shen, Q. Effects of organic–inorganic compound fertilizer with reduced chemical fertilizer application on crop yields, soil biological activity and bacterial community structure in a rice–wheat cropping system. Appl. Soil Ecol. 2016, 99, 1–12. [Google Scholar] [CrossRef]
- Hartman, K.; van der Heijden, M.G.; Wittwer, R.A.; Banerjee, S.; Walser, J.; Schlaeppi, K. Cropping practices manipulate abundance patterns of root and soil microbiome members paving the way to smart farming. Microbiome 2018, 6, 14. [Google Scholar] [CrossRef] [PubMed]
- Lee, J.; Park, R.; Kim, Y.; Shim, J.; Chae, D.; Rim, Y.; Sohn, B.; Kim, T.; Kim, K. Effect of food waste compost on microbial population, soil enzyme activity and lettuce growth. Bioresour. Technol. 2004, 93, 21–28. [Google Scholar] [CrossRef]
- Sato, A.; Takeda, H.; Oyanagi, W.; Nishihara, E.; Murakami, M. Reduction of cadmium uptake in spinach (Spinacia oleracea L.) by soil amendment with animal waste compost. J. Hazard. Mater. 2010, 181, 298–304. [Google Scholar] [CrossRef]
- Pane, C.; Piccolo, A.; Spaccini, R.; Celano, G.; Villecco, D.; Zaccardelli, M. Agricultural waste-based composts exhibiting suppressivity to diseases caused by the phytopathogenic soil-borne fungi Rhizoctonia solani and Sclerotinia minor. Appl. Soil Ecol. 2013, 65, 43–51. [Google Scholar] [CrossRef]
- Jin, N.; Jin, L.; Wang, S.; Li, J.; Liu, F.; Liu, Z.; Luo, S.; Wu, Y.; Lyu, J.; Yu, J. Reduced chemical fertilizer combined with bio-organic fertilizer affects the soil microbial community and yield and quality of lettuce. Front. Microbiol. 2022, 13, 863325. [Google Scholar] [CrossRef]
- Doran, J.W.; Coleman, D.C.; Bezdicek, D.F.; Stewart, B.A.; Dick, R.P. Soil enzyme activities as indicators of soil quality. Soil Sci. Soc. Am. J. 1994, 58, 107–124. [Google Scholar]
- Guo, M.; Wu, F.; Hao, G.; Qi, Q.; Li, R.; Li, N.; Wei, L.; Chai, T. Bacillus subtilis improves immunity and disease resistance in rabbits. Front. Immunol. 2017, 8, 354. [Google Scholar] [CrossRef]
- Toju, H.; Tanabe, A.S.; Yamamoto, S.; Sato, H. High-coverage ITS primers for the DNA-based identification of ascomycetes and basidiomycetes in environmental samples. PLoS ONE 2012, 7, e40863. [Google Scholar] [CrossRef]
- Chen, S.; Zhou, Y.; Chen, Y.; Gu, J. Fastp: An ultra-fast all-in-one FASTQ preprocessor. Bioinformatics 2018, 34, i884–i890. [Google Scholar] [CrossRef]
- Magoč, T.; Salzberg, S.L. FLASH: Fast length adjustment of short reads to improve genome assemblies. Bioinformatics 2011, 27, 2957–2963. [Google Scholar] [CrossRef]
- Edgar, R.C. UPARSE: Highly accurate OTU sequences from microbial amplicon reads. Nat. Methods 2013, 10, 996–998. [Google Scholar] [CrossRef] [PubMed]
- Edgar, R.C.; Haas, B.J.; Clemente, J.C.; Quince, C.; Knight, R. UCHIME improves sensitivity and speed of chimera detection. Bioinformatics 2011, 27, 2194–2200. [Google Scholar] [CrossRef]
- Wang, Q.; Garrity, G.M.; Tiedje, J.M.; Cole, J.R. Naive Bayesian classifier for rapid assignment of rRNA sequences into the new bacterial taxonomy. Appl. Environ. Microbiol. 2007, 73, 5261–5267. [Google Scholar] [CrossRef] [PubMed]
- Pruesse, E.; Quast, C.; Knittel, K.; Fuchs, B.M.; Ludwig, W.; Peplies, J.; Glöckner, F.O. SILVA: A comprehensive online resource for quality checked and aligned ribosomal RNA sequence data compatible with ARB. Nucleic Acids Res. 2007, 35, 7188–7196. [Google Scholar] [CrossRef] [PubMed]
- Nilsson, R.H.; Larsson, K.; Taylor, A.F.S.; Bengtsson-Palme, J.; Jeppesen, T.S.; Schigel, D.; Kennedy, P.; Picard, K.; Glöckner, F.O.; Tedersoo, L. The UNITE database for molecular identification of fungi: Handling dark taxa and parallel taxonomic classifications. Nucleic Acids Res. 2019, 47, D259–D264. [Google Scholar] [CrossRef]
- Ankenbrand, M.J.; Keller, A.; Wolf, M.; Schultz, J.; Förster, F. ITS2 database V: Twice as much. Mol. Biol. Evol. 2015, 32, 3030–3032. [Google Scholar] [CrossRef]
- Ondov, B.D.; Bergman, N.H.; Phillippy, A.M. Interactive metagenomic visualization in a Web browser. BMC Bioinformatics 2011, 12, 385. [Google Scholar] [CrossRef]
- Wickham, H. ggplot2. Wiley Interdiscip. Rev. Comput. Stat. 2011, 3, 180–185. [Google Scholar] [CrossRef]
- Revelle, W.; Revelle, M.W. Package ‘psych’. Compr. R Arch. Netw. 2015, 337, 338. [Google Scholar]
- Caporaso, J.G.; Kuczynski, J.; Stombaugh, J.; Bittinger, K.; Bushman, F.D.; Costello, E.K.; Fierer, N.; Peña, A.G.; Goodrich, J.K.; Gordon, J.I. QIIME allows analysis of high-throughput community sequencing data. Nat. Methods 2010, 7, 335–336. [Google Scholar] [CrossRef]
- Han, J.; Dong, Y.; Zhang, M. Chemical fertilizer reduction with organic fertilizer effectively improve soil fertility and microbial community from newly cultivated land in the Loess Plateau of China. Appl. Soil Ecol. 2021, 165, 103966. [Google Scholar] [CrossRef]
- Aßhauer, K.P.; Bernd, W.; Rolf, D.; Peter, M. Tax4Fun: Predicting functional profiles from metagenomic 16S rRNA data. Bioinformatics 2015, 31, 2882–2884. [Google Scholar] [CrossRef] [PubMed]
- Louca, S.; Parfrey, L.W.; Doebeli, M. Decoupling function and taxonomy in the global ocean microbiome. Science 2016, 353, 1272–1277. [Google Scholar] [CrossRef]
- Nguyen, N.H.; Song, Z.; Bates, S.T.; Branco, S.; Tedersoo, L.; Menke, J.; Schilling, J.S.; Kennedy, P.G. FUNGuild: An open annotation tool for parsing fungal community datasets by ecological guild. Fungal Ecol. 2016, 20, 241–248. [Google Scholar] [CrossRef]
- Wagner, H. Vegan: Community Ecology Package. R Package Version 1.17-4; CiNii: Tokyo, Japan, 2010. [Google Scholar]
- Cui, X.; Zhang, Y.; Gao, J.; Peng, F.; Gao, P. Long-term combined application of manure and chemical fertilizer sustained higher nutrient status and rhizospheric bacterial diversity in reddish paddy soil of Central South China. Sci. Rep. 2018, 8, 16554. [Google Scholar] [CrossRef]
- Gmach, M.R.; Cherubin, M.R.; Kaiser, K.; Cerri, C.E.P. Processes that influence dissolved organic matter in the soil: A review. Sci. Agric. 2019, 77, e20180164. [Google Scholar] [CrossRef]
- Chia, W.Y.; Chew, K.W.; Le, C.F.; Lam, S.S.; Chee, C.S.C.; Ooi, M.S.L.; Show, P.L. Sustainable utilization of biowaste compost for renewable energy and soil amendments. Environ. Pollut. 2020, 267, 115662. [Google Scholar] [CrossRef] [PubMed]
- Afreh, D.; Zhang, J.; Guan, D.; Liu, K.; Song, Z.; Zheng, C.; Deng, A.; Feng, X.; Zhang, X.; Wu, Y. Long-term fertilization on nitrogen use efficiency and greenhouse gas emissions in a double maize cropping system in subtropical China. Soil Tillage Res. 2018, 180, 259–267. [Google Scholar] [CrossRef]
- Amini, S.; Asoodar, M.A. The effect of conservation tillage on crop yield production (The Review). N. Y. Sci. J. 2015, 8, 25–29. [Google Scholar]
- Sharpley, A.N.; Halvorson, A.D. The management of soil phosphorus availability and its impact on surface water quality. In Soil Processes and Water Quality; CRC Press: Boca Raton, FL, USA, 2020; pp. 7–90. ISBN 1003070183. [Google Scholar]
- Tesfay, T.; Godifey, T.; Mesfin, R.; Kalayu, G. Evaluation of waste paper for cultivation of oyster mushroom (Pleurotus ostreatus) with some added supplementary materials. AMB Express 2020, 10, 15. [Google Scholar] [CrossRef]
- Yang, C.; Du, W.; Zhang, L.; Dong, Z. Effects of sheep manure combined with chemical fertilizers on maize yield and quality and spatial and temporal distribution of soil inorganic nitrogen. Complexity 2021, 2021, 4330666. [Google Scholar] [CrossRef]
- Wei, W.; Yan, Y.; Cao, J.; Christie, P.; Zhang, F.; Fan, M. Effects of combined application of organic amendments and fertilizers on crop yield and soil organic matter: An integrated analysis of long-term experiments. Agric. Ecosyst. Environ. 2016, 225, 86–92. [Google Scholar] [CrossRef]
- Chen, X.; Opoku-Kwanowaa, Y.; Li, J.; Wu, J. Application of organic wastes to primary saline-alkali soil in Northeast China: Effects on soil available nutrients and salt ions. Commun. Soil Sci. Plant Anal. 2020, 51, 1238–1252. [Google Scholar] [CrossRef]
- Wu, J.; Sha, C.; Wang, M.; Ye, C.; Li, P.; Huang, S. Effect of organic fertilizer on soil bacteria in maize fields. Land 2021, 10, 328. [Google Scholar] [CrossRef]
- Geisseler, D.; Scow, K.M. Long-term effects of mineral fertilizers on soil microorganisms—A review. Soil Biol. Biochem. 2014, 75, 54–63. [Google Scholar] [CrossRef]
- Suzuki, C.; Nagaoka, K.; Shimada, A.; Takenaka, M. Bacterial communities are more dependent on soil type than fertilizer type, but the reverse is true for fungal communities. Soil Sci. Plant Nutr. 2009, 55, 80–90. [Google Scholar] [CrossRef]
- Pan, M.; Gan, X.; Mei, C.; Liang, Y. Structural analysis and transformation of biosilica during lignocellulose fractionation of rice straw. J. Mol. Struct. 2017, 1127, 575–582. [Google Scholar] [CrossRef]
- Zhang, X.; Dou, S.; Ndzelu, B.S.; Guan, X.W.; Zhang, B.Y.; Bai, Y. Effects of different corn straw amendments on humus composition and structural characteristics of humic acid in black soil. Commun. Soil Sci. Plant Anal. 2020, 51, 107–117. [Google Scholar] [CrossRef]
- Guo, J.; Liu, W.; Zhu, C.; Luo, G.; Kong, Y.; Ling, N.; Wang, M.; Dai, J.; Shen, Q.; Guo, S. Bacterial rather than fungal community composition is associated with microbial activities and nutrient-use efficiencies in a paddy soil with short-term organic amendments. Plant Soil 2018, 424, 335–349. [Google Scholar] [CrossRef]
- Hui, C.; Jiang, H.; Liu, B.; Wei, R.; Zhang, Y.; Zhang, Q.; Liang, Y.; Zhao, Y. Chitin degradation and the temporary response of bacterial chitinolytic communities to chitin amendment in soil under different fertilization regimes. Sci. Total Environ. 2020, 705, 136003. [Google Scholar] [CrossRef]
- Samuel, J.; Laure, F.; Sébastien, C.; Timothy, M.V.; Pascal, S.; Eshel, B.J. Soil Bacterial Community Shifts after Chitin Enrichment: An Integrative Metagenomic Approach. PLoS ONE 2013, 8, e79699. [Google Scholar]
- Liu, J.; Sui, Y.; Yu, Z.; Shi, Y.; Chu, H.; Jin, J.; Liu, X.; Wang, G. High throughput sequencing analysis of biogeographical distribution of bacterial communities in the black soils of northeast China. Soil Biol. Biochem. 2014, 70, 113–122. [Google Scholar] [CrossRef]
- Qiao, C.C.R.W. Reshaping the rhizosphere microbiome by bio-organic amendment to enhance crop yield in a maize-cabbage rotation system. Appl. Soil Ecol. 2019, 142, 136–146. [Google Scholar] [CrossRef]
- Lemos, L.N.; Medeiros, J.D.; Dini Andreote, F.; Fernandes, G.R.; Varani, A.M.; Oliveira, G.; Pylro, V.S. Genomic signatures and co-occurrence patterns of the ultra-small Saccharimonadia (phylum CPR/Patescibacteria) suggest a symbiotic lifestyle. Mol. Ecol. 2019, 28, 4259–4271. [Google Scholar] [CrossRef]
- Sánchez Osuna, M.; Barbé, J.; Erill, I. Comparative genomics of the DNA damage-inducible network in the Patescibacteria. Environ. Microbiol. 2017, 19, 3465–3474. [Google Scholar] [CrossRef] [PubMed]
- Chen, Z.; Wang, H.; Liu, X.; Zhao, X.; Li, C. Changes in soil microbial community and organic carbon fractions under short-term straw return in a rice–wheat cropping system. Soil Tillage Res. 2017, 165, 121–127. [Google Scholar] [CrossRef]
- Alvarez, M.; Huygens, D.; Olivares, E.; Saavedra, I.; Alberdi, M.; Valenzuela, E. Ectomycorrhizal fungi enhance nitrogen and phosphorus nutrition of Nothofagus dombeyi under drought conditions by regulating assimilative enzyme activities. Physiol. Plant. 2009, 136, 426–436. [Google Scholar] [CrossRef]
- Yelle, D.J.; Ralph, J.; Lu, F.; Hammel, K.E. Evidence for cleavage of lignin by a brown rot basidiomycete. Environ. Microbiol. 2008, 10, 1844–1849. [Google Scholar] [CrossRef]
- Schoch, C.L.; Sung, G.; López-Giráldez, F.; Townsend, J.P.; Miadlikowska, J.; Hofstetter, V.; Robbertse, B.; Matheny, P.B.; Kauff, F.; Wang, Z. The Ascomycota tree of life: A phylum-wide phylogeny clarifies the origin and evolution of fundamental reproductive and ecological traits. Syst. Biol. 2009, 58, 224–239. [Google Scholar] [CrossRef] [PubMed]
- Treseder, K.K.; Maltz, M.R.; Hawkins, B.A.; Fierer, N.; Stajich, J.E.; Mcguire, K.L. Evolutionary histories of soil fungi are reflected in their large-scale biogeography. Ecol. Lett. 2014, 17, 1086–1093. [Google Scholar] [CrossRef] [PubMed]
- Kang, E.; Li, Y.; Zhang, X.; Yan, Z.; Wu, H.; Li, M.; Yan, L.; Zhang, K.; Wang, J.; Kang, X. Soil pH and nutrients shape the vertical distribution of microbial communities in an alpine wetland. Sci. Total Environ. 2021, 774, 145780. [Google Scholar] [CrossRef]
- Li, H.; Hu, T.; Amombo, E.; Fu, J. Transcriptome profilings of two tall fescue (Festuca arundinacea) cultivars in response to lead (Pb) stress. BMC Genomics 2017, 18, 145. [Google Scholar] [CrossRef]
- Wang, X.; Gao, S.; Chen, J.; Yao, Z.; Zhang, L.; Wu, H.; Shu, Q.; Zhang, X. Response of functional diversity of soil microbial community to forest cutting and regeneration methodology in a Chinese fir plantation. Forests 2022, 13, 360. [Google Scholar] [CrossRef]
- Cai, D.; Yang, X.; Wang, S.; Chao, Y.; Morel, J.; Qiu, R. Effects of dissolved organic matter derived from forest leaf litter on biodegradation of phenanthrene in aqueous phase. J. Hazard. Mater. 2017, 324, 516–525. [Google Scholar] [CrossRef] [PubMed]
- Sterkenburg, E.; Bahr, A.; Brandström Durling, M.; Clemmensen, K.E.; Lindahl, B.D. Changes in fungal communities along a boreal forest soil fertility gradient. New Phytol. 2015, 207, 1145–1158. [Google Scholar] [CrossRef]
- Morrison, E.W.; Frey, S.D.; Sadowsky, J.J.; van Diepen, L.T.; Thomas, W.K.; Pringle, A. Chronic nitrogen additions fundamentally restructure the soil fungal community in a temperate forest. Fungal Ecol. 2016, 23, 48–57. [Google Scholar] [CrossRef]
- Ai, C.; Zhang, S.; Zhang, X.; Guo, D.; Zhou, W.; Huang, S. Distinct responses of soil bacterial and fungal communities to changes in fertilization regime and crop rotation. Geoderma 2018, 319, 156–166. [Google Scholar] [CrossRef]
- Jin, L.; Lyu, J.; Jin, N.; Xie, J.; Wu, Y.; Zhang, G.; Feng, Z.; Tang, Z.; Liu, Z.; Luo, S. Effects of different vegetable rotations on the rhizosphere bacterial community and tomato growth in a continuous tomato cropping substrate. PLoS ONE 2021, 16, e257432. [Google Scholar] [CrossRef]
- Feng, M.; Adams, J.M.; Fan, K.; Shi, Y.; Sun, R.; Wang, D.; Guo, X.; Chu, H. Long-term fertilization influences community assembly processes of soil diazotrophs. Soil Biol. Biochem. 2018, 126, 151–158. [Google Scholar] [CrossRef]
- Huang, M.; Yin, W.W.; Wan-Xia, Y.U.; Zhou, K.L.; Huang, Y.B.; Shi, X.J. Effects of Two Organic Amendments on Phosphorus Transformation in Greenhouse Soil. J. Agro-Environ. Sci. 2015, 64, 39–46. [Google Scholar]
- An, W.L.; Xie, H.Y.; Wang, W.Q.; Zeng, C.S. Effects of straw returning on nutrient content and ecological stoichiometric ratio of soil water-stable aggregates in paddy field. Chin. J. Ecol. 2017, 36, 150–156. [Google Scholar]
- Rong, Q.; Li, R.; Huang, S.; Tang, J.; Zhang, Y.; Wang, L. Soil microbial characteristics and yield response to partial substitution of chemical fertilizer with organic amendments in greenhouse vegetable production. J. Integr. Agric. 2018, 17, 1432–1444. [Google Scholar] [CrossRef]
- Luan, H.; Gao, W.; Huang, S.; Tang, J.; Li, M.; Zhang, H.; Chen, X. Partial substitution of chemical fertilizer with organic amendments affects soil organic carbon composition and stability in a greenhouse vegetable production system. Soil Tillage Res. 2019, 191, 185–196. [Google Scholar] [CrossRef]
- Tveit, A.; Schwacke, R.; Svenning, M.M.; Urich, T. Organic carbon transformations in high-Arctic peat soils: Key functions and microorganisms. ISME J. 2013, 7, 299–311. [Google Scholar] [CrossRef] [PubMed]
- Yuan, H.; Ge, T.; Zhou, P.; Liu, S.; Roberts, P.; Zhu, H.; Zou, Z.; Tong, C.; Wu, J. Soil microbial biomass and bacterial and fungal community structures responses to long-term fertilization in paddy soils. J. Soils Sediments 2013, 13, 877–886. [Google Scholar] [CrossRef]
- Zhao, S.; Qiu, S.; Xu, X.; Ciampitti, I.A.; Zhang, S.; He, P. Change in straw decomposition rate and soil microbial community composition after straw addition in different long-term fertilization soils. Appl. Soil Ecol. 2019, 138, 123–133. [Google Scholar] [CrossRef]










| Treatments | pH | EC (µS·cm−1) | TN (g·kg−1) | TP (g·kg−1) | TK (g·kg−1) |
|---|---|---|---|---|---|
| ck1 | 8.14 ± 0.0033 a | 305.97 ± 4.17 d | 0.18 ± 0.003 f | 2.37 ± 0.02 g | 16.58 ± 0.15 f |
| ck2 | 8.09 ± 0.0067 b | 322.50 ± 1.32 bc | 0.32 ± 0.001 bc | 5.16 ± 0.10 c | 23.12 ± 0.09 c |
| T1 | 8.09 ± 0.0133 b | 315.33 ± 1.20 cd | 0.22 ± 0.006 e | 3.46 ± 0.02 f | 23.71 ± 0.19 bc |
| T2 | 8.11 ± 0.0033 b | 312.07 ± 0.64 d | 0.32 ± 0.003 c | 5.10 ± 0.09 c | 22.23 ± 0.29 d |
| T3 | 8.10 ± 0.0067 b | 291.40 ± 2.08 e | 0.29 ± 0.001 d | 4.22 ± 0.07 d | 19.71 ± 0.07 e |
| T4 | 8.04 ± 0.0058 c | 330.67 ± 4.10 b | 0.34 ± 0.003 b | 5.42 ± 0.03 b | 24.28 ± 0.04 b |
| T5 | 8.10 ± 0.0058 b | 348.33 ± 4.41 a | 0.33 ± 0.005 b | 5.07 ± 0.13 c | 23.75 ± 0.46 bc |
| T6 | 8.09 ± 0.0058 b | 324.33 ± 5.21 bc | 0.30 ± 0.005 d | 3.81 ± 0.15 e | 23.22 ± 0.16 c |
| T7 | 8.06 ± 0.0058 c | 350.33 ± 1.45 a | 0.35 ± 0.004 a | 5.70 ± 0.05 a | 25.35 ± 0.42 a |
| Treatment | AN (mg·kg−1) | AP (mg·kg−1) | AK (mg·kg−1) | SOM (g·kg−1) |
|---|---|---|---|---|
| CK1 | 52.73 ± 0.82 h | 58.95 ± 0.64 h | 164.40 ± 3.09 g | 4.25 ± 0.083 f |
| CK2 | 88.90 ± 0.73 d | 81.54 ± 0.59 c | 259.23 ± 0.67 d | 8.51 ± 0.050 c |
| T1 | 86.33 ± 0.23 e | 74.00 ± 0.66 f | 230.03 ± 0.59 f | 8.06 ± 0.083 d |
| T2 | 75.13 ± 0.31 g | 71.33 ± 0.28 g | 228.90 ± 1.30 f | 7.87 ± 0.050 e |
| T3 | 91.82 ± 0.51 c | 73.26 ± 0.15 f | 288.70 ± 0.91 b | 7.91 ± 0.033 de |
| T4 | 94.38 ± 0.51 b | 87.18 ± 0.50 a | 299.83 ± 3.85 a | 9.30 ± 0.019 a |
| T5 | 82.95 ± 0.40 f | 78.30 ± 0.39 d | 243.00 ± 0.99 e | 8.38 ± 0.083 c |
| T6 | 83.65 ± 0.20 f | 75.60 ± 0.37 e | 262.93 ± 0.38 d | 8.78 ± 0.038 b |
| T7 | 96.72 ± 0.31 a | 82.98 ± 0.20 b | 298.03 ± 0.86 a | 9.46 ± 0.068 a |
Disclaimer/Publisher’s Note: The statements, opinions and data contained in all publications are solely those of the individual author(s) and contributor(s) and not of MDPI and/or the editor(s). MDPI and/or the editor(s) disclaim responsibility for any injury to people or property resulting from any ideas, methods, instructions or products referred to in the content. |
© 2023 by the authors. Licensee MDPI, Basel, Switzerland. This article is an open access article distributed under the terms and conditions of the Creative Commons Attribution (CC BY) license (https://creativecommons.org/licenses/by/4.0/).
Share and Cite
Tie, J.; Qiao, Y.; Jin, N.; Gao, X.; Liu, Y.; Lyu, J.; Zhang, G.; Hu, L.; Yu, J. Yield and Rhizosphere Soil Environment of Greenhouse Zucchini in Response to Different Planting and Breeding Waste Composts. Microorganisms 2023, 11, 1026. https://doi.org/10.3390/microorganisms11041026
Tie J, Qiao Y, Jin N, Gao X, Liu Y, Lyu J, Zhang G, Hu L, Yu J. Yield and Rhizosphere Soil Environment of Greenhouse Zucchini in Response to Different Planting and Breeding Waste Composts. Microorganisms. 2023; 11(4):1026. https://doi.org/10.3390/microorganisms11041026
Chicago/Turabian StyleTie, Jianzhong, Yali Qiao, Ning Jin, Xueqin Gao, Yayu Liu, Jian Lyu, Guobin Zhang, Linli Hu, and Jihua Yu. 2023. "Yield and Rhizosphere Soil Environment of Greenhouse Zucchini in Response to Different Planting and Breeding Waste Composts" Microorganisms 11, no. 4: 1026. https://doi.org/10.3390/microorganisms11041026
APA StyleTie, J., Qiao, Y., Jin, N., Gao, X., Liu, Y., Lyu, J., Zhang, G., Hu, L., & Yu, J. (2023). Yield and Rhizosphere Soil Environment of Greenhouse Zucchini in Response to Different Planting and Breeding Waste Composts. Microorganisms, 11(4), 1026. https://doi.org/10.3390/microorganisms11041026
