Easy, Flexible and Standardizable Anti-Nascent Biofilm Activity Assay to Assess Implant Materials
Abstract
1. Introduction
2. Materials and Methods
2.1. Chemicals
2.2. Surfaces
2.2.1. Control Surfaces
2.2.2. Material Surface Manufacturing
- Metal surface manufacturing
- Polycaprolactone membrane with tetracycline
- Silver-loaded cements
- Monolayered (PLA/Ag or PLA/ZnOAg) and three-layered ZnO PLA surfaces (PLA/3xZnO and PLA/3xZnO/ZnOAg)
- Gentamycin-sulfate-loaded bioactive hydroxyapatite chitosan composite
- Electrophoretic deposition
2.2.3. Surface Sample Preparation
2.3. Inoculum Preparation
2.4. Biofilm Development Inhibition Assay after Transient Microbial Contact
2.5. Biofilm Development Inhibition Assay with Persistent Microbial Inoculum Contact
2.6. Microbial Adhesion Assessment
2.7. Biofilm Imaging
2.8. Statistical Analysis
3. Results
3.1. Repeatability and Robustness of Positive and Negative Control Surfaces in the Biofilm Development Inhibition Assay (Anti-Nascent Biofilm Assay) Performed with Persistent Microbial Inoculum Contact
3.2. Time-Dependent Antimicrobial Activity of the Biofilm Development Inhibition Test
3.3. Biofilm Development Inhibition Assay after Transient Microbial Inoculum Contact
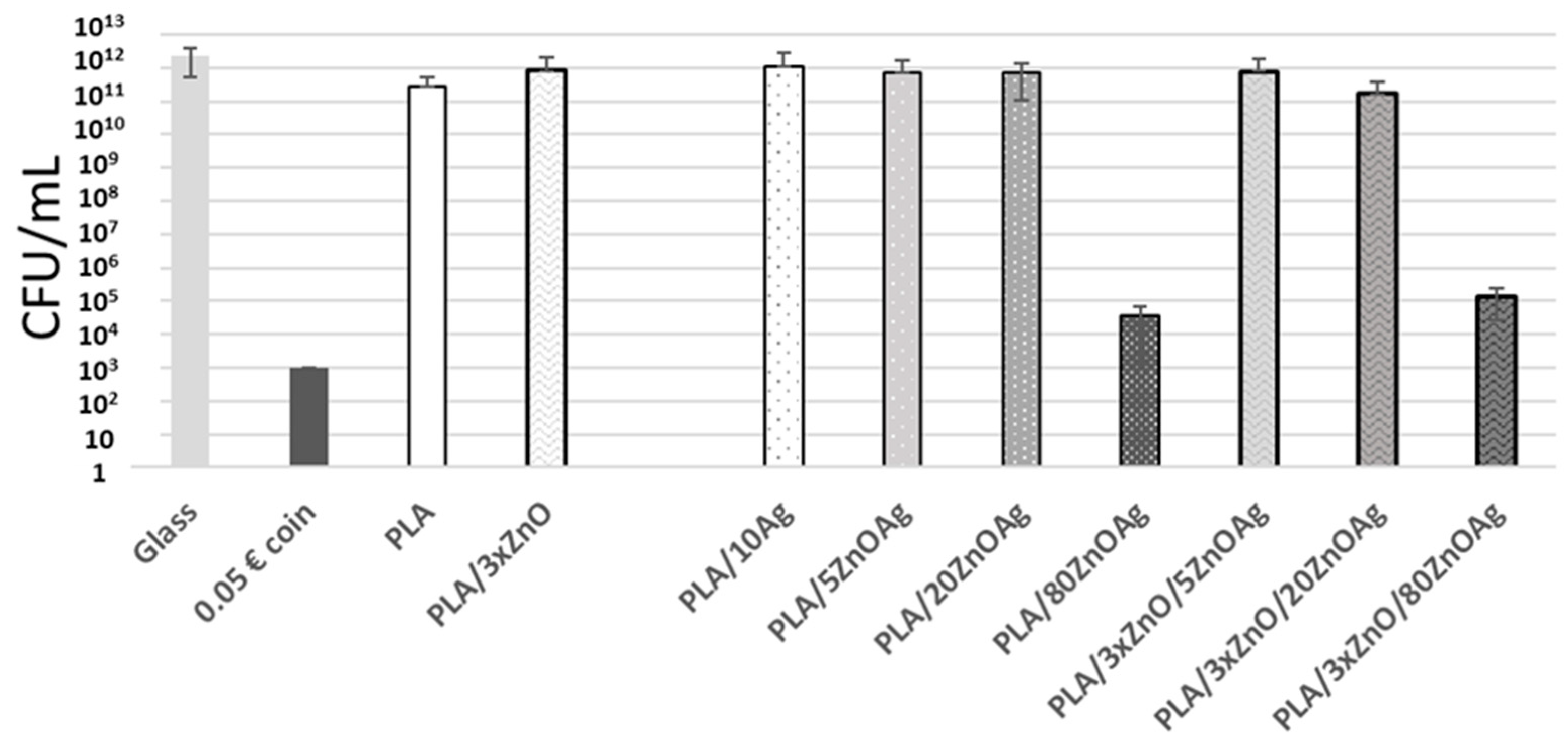
3.4. Dose-Dependent Response and Flexibility in the Biofilm Development Inhibition Assay
4. Discussion
5. Conclusions
Author Contributions
Funding
Institutional Review Board Statement
Informed Consent Statement
Data Availability Statement
Acknowledgments
Conflicts of Interest
References
- Kurtz, S.M.; Lau, E.C.; Son, M.-S.; Chang, E.T.; Zimmerli, W.; Parvizi, J. Are we winning or losing the battle with periprosthetic joint infection: Trends in periprosthetic joint infection and mortality risk for the medicare population. J. Arthroplasty 2018, 33, 3238–3245. [Google Scholar] [CrossRef]
- Sjollema, J.; Zaat, S.A.J.; Fontaine, V.; Ramstedt, M.; Luginbuehl, R.; Thevisse, K.; Li, J.; van der Me, H.C.; Busscher, H.J. In vitro methods for the evaluation of antimicrobial surface designs. Acta Biomater. 2018, 70, 12–24. [Google Scholar] [CrossRef]
- VanEpps, J.S.; Younger, J.G. Implantable Device Related Infection. Shock 2016, 46, 597–608. [Google Scholar] [CrossRef]
- Kanematsu, H.; Barry, D.M.; Ikegai, H.; Mizunoe, Y. Biofilm control on metallic materials in medical fields from the viewpoint of materials science—From the fundamental aspects to evaluation. Int. Mater. Rev. 2022, 68, 1–25. [Google Scholar] [CrossRef]
- Kanematsu, H.; Barry, D.M. Formation and Control of Biofilm in Various Environments, 1st ed.; Springer: Singapore, 2020. [Google Scholar] [CrossRef]
- Castro, J.; Lima, Â.; Sousa, L.G.V.; Rosca, A.S.; Muzny, C.A.; Cerca, N. Crystal Violet Staining Alone Is Not Adequate to Assess Synergism or Antagonism in Multi-Species Biofilms of Bacteria Associated with Bacterial Vaginosis. Front. Cell. Infect. Microbiol. 2022, 11, 795797. [Google Scholar] [CrossRef]
- Azeredo, J.; Azevedo, N.F.; Briandet, R.; Cerca, N.; Coenye, T.; Costa, A.R.; Desvaux, M.; Di Bonaventura, G.; Hébraud, M.; Jaglic, Z.; et al. Critical review on biofilm methods. Crit. Rev. Microbiol. 2017, 43, 313–351. [Google Scholar] [CrossRef]
- Haney, E.F.; Trimble, M.J.; Cheng, J.T.; Vallé, Q.; Hancock, R.E.W. Critical assessment of methods to quantify biofilm growth and evaluate antibiofilm activity of host defense peptides. Biomolecules 2018, 8, 29. [Google Scholar] [CrossRef]
- Frei, A.; Verderosa, A.D.; Elliott, A.G.; Zuegg, J.; Blaskovich, M.A.T. Metals to combat antimicrobial resistance. Nat. Rev. Chem. 2023, 7, 202–224. [Google Scholar] [CrossRef]
- Meyer, F.; Raquez, J.-M.; Verge, P.; De Arenaza, M.I.; Coto, B.; Van Der Voort, P.; Meaurio, E.; Dervaux, B.; Sarasua, J.-R.; Du Prez, F.; et al. Poly(Ethylene Oxide)- b -Poly(l -Lactide) Diblock Copolymer/Carbon Nanotube-Based Nanocomposites: LiCl as Supramolecular Structure-Directing Agent. Biomacromolecules 2011, 12, 4086–4094. [Google Scholar] [CrossRef]
- Meyer, F.; Raquez, J.M.; Coulembier, O.; De Winter, J.; Gerbaux, P.; Dubois, P. Imidazolium End-Functionalized Poly(l-Lactide) for Efficient Carbon Nanotube Dispersion. Chem. Commun. 2010, 46, 5527–5529. [Google Scholar] [CrossRef]
- Jacquart, S.; Siadous, R.; Henocq-Pigasse, C.; Bareille, R.; Roques, C.; Rey, C.; Combes, C. Composition and properties of silver-containing calcium carbonate-calcium phosphate bone cement. J. Mater. Sci. Mater. Med. 2013, 24, 2665–2675. [Google Scholar] [CrossRef]
- Francq, R.; Snyders, R.; Cormier, P.-A. Structural and Morphological study of ZnO-Ag thin films synthesized by reactive magnetron co-sputtering. Vacuum 2017, 137, 1–7. [Google Scholar] [CrossRef]
- Manfredi, E.; Meyer, F.; Verge, P.; Raquez, J.-M.; Thomassin, J.-M.; Alexandre, M.; Dervaux, B.; Duprez, F.; Van Der Voort, P.; Jérôme, C.; et al. Supramolecular Design of High-Performance Poly(l-Lactide)/Carbon Nanotube Nanocomposites: From Melt-Processing to Rheological, Morphological and Electrical Properties. J. Mater. Chem. 2011, 21, 16190–16196. [Google Scholar] [CrossRef]
- Murariu, M.; Paint, Y.; Murariu, O.; Raquez, J.M.; Bonnaud, L.; Dubois, P. Current progress in the production of PLA–ZnO nanocomposites: Beneficial effects of chain extender addition on key properties. J. Appl. Polym. Sci. 2015, 132, 42480. [Google Scholar] [CrossRef]
- Stevanović, M.; Djošić, M.; Janković, A.; Kojić, V.; Vukašinović-Sekulić, M.; Stojanović, J.; Odović, J.; Crevar Sakač, M.; Ree, K.Z.; Mišković Stanković, V. Gentamicin-Loaded Bioactive Hydroxyapatite/Chitosan Composite Coating Electrodeposited on Titanium. ACS Biomater. Sci. Eng. 2018, 4, 3994–4007. [Google Scholar] [CrossRef]
- Stevanović, M.; Djošić, M.; Janković, A.; Nešović, K.; Kojić, V.; Stojanović, J.; Grujić, S.; Bujagić, M.I.; Rhee, K.Y.; Mišković-Stanković, V. Assessing the Bioactivity of Gentamicin-Preloaded Hydroxyapatite/Chitosan Composite Coating on Titanium Substrate. ACS Omega 2020, 5, 15433–15445. [Google Scholar] [CrossRef]
- Fowler, L.; Janson, O.; Engqvist, H.; Norgren, S.; Öhman-Mägi, C. Antibacterial investigation of titanium-copper alloys using luminescent Staphylococcus epidermidis in a direct contact test. Mater. Sci. Eng. C Mater. Biol. Appl. 2019, 97, 707–714. [Google Scholar] [CrossRef]
- Grass, G.; Rensing, C.; Solioz, M. Metallic copper as an antimicrobial surface. Appl. Environ. Microbiol. 2011, 77, 1541–1547. [Google Scholar] [CrossRef]
- Juttukonda, L.J.; Beavers, W.N.; Unsihuay, D.; Kim, K.G.; Horning, K.J.; Weiss, A.; Al-Tameemi, H.; Boyd, J.M.; Sulikowski, G.A.; Bowman, A.B.; et al. A Small-Molecule Modulator of Metal Homeostasis in Gram-Positive Pathogens. mBio 2020, 11, e02555-20. [Google Scholar] [CrossRef]
- Molteni, C.; Abicht, H.K.; Solioz, M. Killing of Bacteria by Copper Surfaces Involves Dissolved Copper. Appl. Environ. Microbiol. 2010, 76, 4099–4101. [Google Scholar] [CrossRef]
- Hans, M.; Erbe, A.; Mathews, S.; Chen, Y.; Solioz, M.; Mücklich, F. Role of Copper Oxides in Contact Killing of Bacteria. Langmuir 2013, 29, 16160–16166. [Google Scholar] [CrossRef]
- Nagant, C.; Tré-Hardy, M.; Devleeschouwer, M.; Dehaye, J.P. Study of the initial phase of biofilm formation using a biofomic approach. J. Microbiol. Methods 2010, 82, 243–248. [Google Scholar] [CrossRef]
- Jacquart, S.; Girod-Fullana, S.; Brouillet, F.; Pigasse, C.; Siadous, R.; Fatnassi, M.; Grimoud, J.; Rey, C.; Roques, C.; Combes, C. Injectable bone cement containing carboxymethyl cellulose microparticles as a silver delivery system able to reduce implant-associated infection risk. Acta Biomater. 2022, 145, 342–357. [Google Scholar] [CrossRef]
- Lok, C.-N.; Ho, C.-M.; Chen, R.; He, Q.Y.; Yu, W.-Y.; Sun, H.; Tam, P.K.-H.; Chiu, J.-F.; Che, C.-M. Proteomic analysis of the mode of antibacterial action of silver nanoparticles. J. Proteome Res. 2006, 5, 916–924. [Google Scholar] [CrossRef]
- Gomes, J.C.; Mergulhão, F.J.M. A Selection of Platforms to Evaluate Surface Adhesion and Biofilm Formation in Controlled Hydrodynamic Conditions. Microorganisms 2021, 9, 1993. [Google Scholar] [CrossRef]
- Al Nakib, R.; Toncheva, A.; Fontaine, V.; Vanheuverzwijn, J.; Raquez, J.M.; Meyer, F. Thermoplastic Polyurethanes for Biomedical Application: A Synthetic, Mechanical, Antibacterial, and Cytotoxic Study. J. Appl. Polym. Sci. 2022, 139, e51666. [Google Scholar] [CrossRef]
- Al Nakib, R.; Toncheva, A.; Fontaine, V.; Vanheuverzwijn, J.; Raquez, J.M.; Meyer, F. Design of Thermoplastic Polyurethanes with Conferred Antibacterial, Mechanical, and Cytotoxic Properties for Catheter Application. ACS Appl. Bio Mater. 2022, 5, 5532–5544. [Google Scholar] [CrossRef]




| Material | Log Reduction of Bacterial Inoculum at 24 h |
|---|---|
| Glass test coupon | 0 |
| 5 cent Euro coin | 7 |
| Cu test coupon | >6 |
| Zn test coupon | >6 |
| PLA/80 nm plasma ZnOAg | 7 |
| PLA/ZnO trilayer 1%/80 nm plasma ZnOAg | 7 |
| HAP_CHI-GEN | >4 |
| PCL-0.5% TET | >6 |
| PCL-1% TET | >6 |
Disclaimer/Publisher’s Note: The statements, opinions and data contained in all publications are solely those of the individual author(s) and contributor(s) and not of MDPI and/or the editor(s). MDPI and/or the editor(s) disclaim responsibility for any injury to people or property resulting from any ideas, methods, instructions or products referred to in the content. |
© 2023 by the authors. Licensee MDPI, Basel, Switzerland. This article is an open access article distributed under the terms and conditions of the Creative Commons Attribution (CC BY) license (https://creativecommons.org/licenses/by/4.0/).
Share and Cite
Vanheuverzwijn, J.; Maillard, E.-E.; Mahat, A.; Fowler, L.; Monteyne, D.; Bonnaud, L.; Landercy, N.; Hemberg, A.; Janković, A.; Meyer, F.; et al. Easy, Flexible and Standardizable Anti-Nascent Biofilm Activity Assay to Assess Implant Materials. Microorganisms 2023, 11, 1023. https://doi.org/10.3390/microorganisms11041023
Vanheuverzwijn J, Maillard E-E, Mahat A, Fowler L, Monteyne D, Bonnaud L, Landercy N, Hemberg A, Janković A, Meyer F, et al. Easy, Flexible and Standardizable Anti-Nascent Biofilm Activity Assay to Assess Implant Materials. Microorganisms. 2023; 11(4):1023. https://doi.org/10.3390/microorganisms11041023
Chicago/Turabian StyleVanheuverzwijn, Jérome, Eloise-Eliane Maillard, Amal Mahat, Lee Fowler, Daniel Monteyne, Leïla Bonnaud, Nicolas Landercy, Axel Hemberg, Ana Janković, Franck Meyer, and et al. 2023. "Easy, Flexible and Standardizable Anti-Nascent Biofilm Activity Assay to Assess Implant Materials" Microorganisms 11, no. 4: 1023. https://doi.org/10.3390/microorganisms11041023
APA StyleVanheuverzwijn, J., Maillard, E.-E., Mahat, A., Fowler, L., Monteyne, D., Bonnaud, L., Landercy, N., Hemberg, A., Janković, A., Meyer, F., Mišković-Stanković, V., Stevanović, M., Mirica, C., Pérez-Morga, D., Luginbuehl, R., Combes, C., Furtos, G., & Fontaine, V. (2023). Easy, Flexible and Standardizable Anti-Nascent Biofilm Activity Assay to Assess Implant Materials. Microorganisms, 11(4), 1023. https://doi.org/10.3390/microorganisms11041023

