Data-Driven Model-Free Adaptive Containment Control for Uncertain Rehabilitation Exoskeleton Robots with Input Constraints
Abstract
1. Introduction
2. Problem Statement
3. The MFACC Scheme Design and Its Stability Analysis
3.1. The FFDL-MFACC Scheme Design
| Algorithm 1: Hildreth’s quadratic programming |
| Step1: Define the matrix , the vector , the vector , Lagrange multipliers satisfy Step2: Parameters initialization , , , Step3: while or do Step4: end while Step5: Output the optimal Lagrange multipliers |
3.2. Stability Analysis
4. Simulation and Results
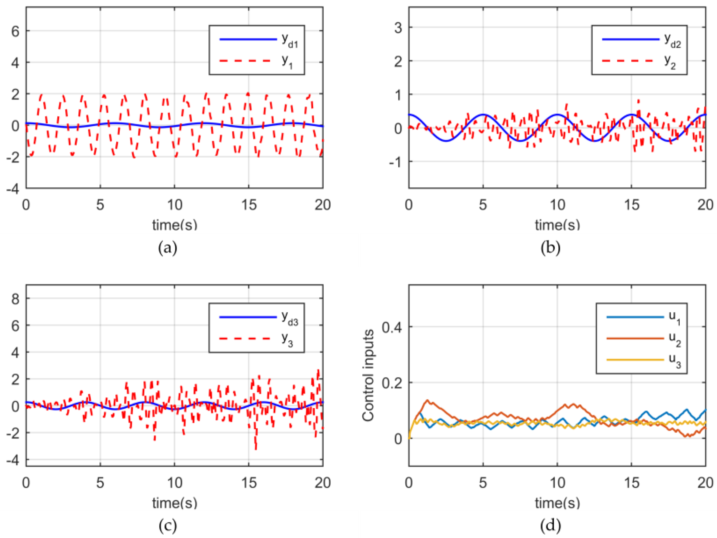
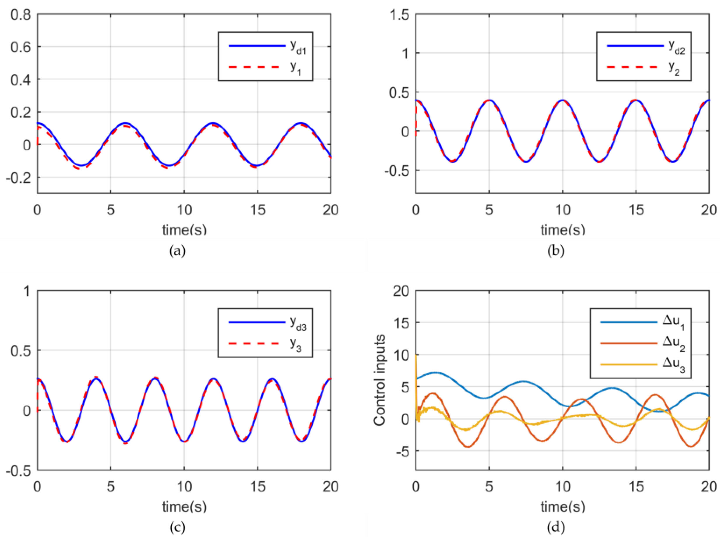
4.1. Example 1
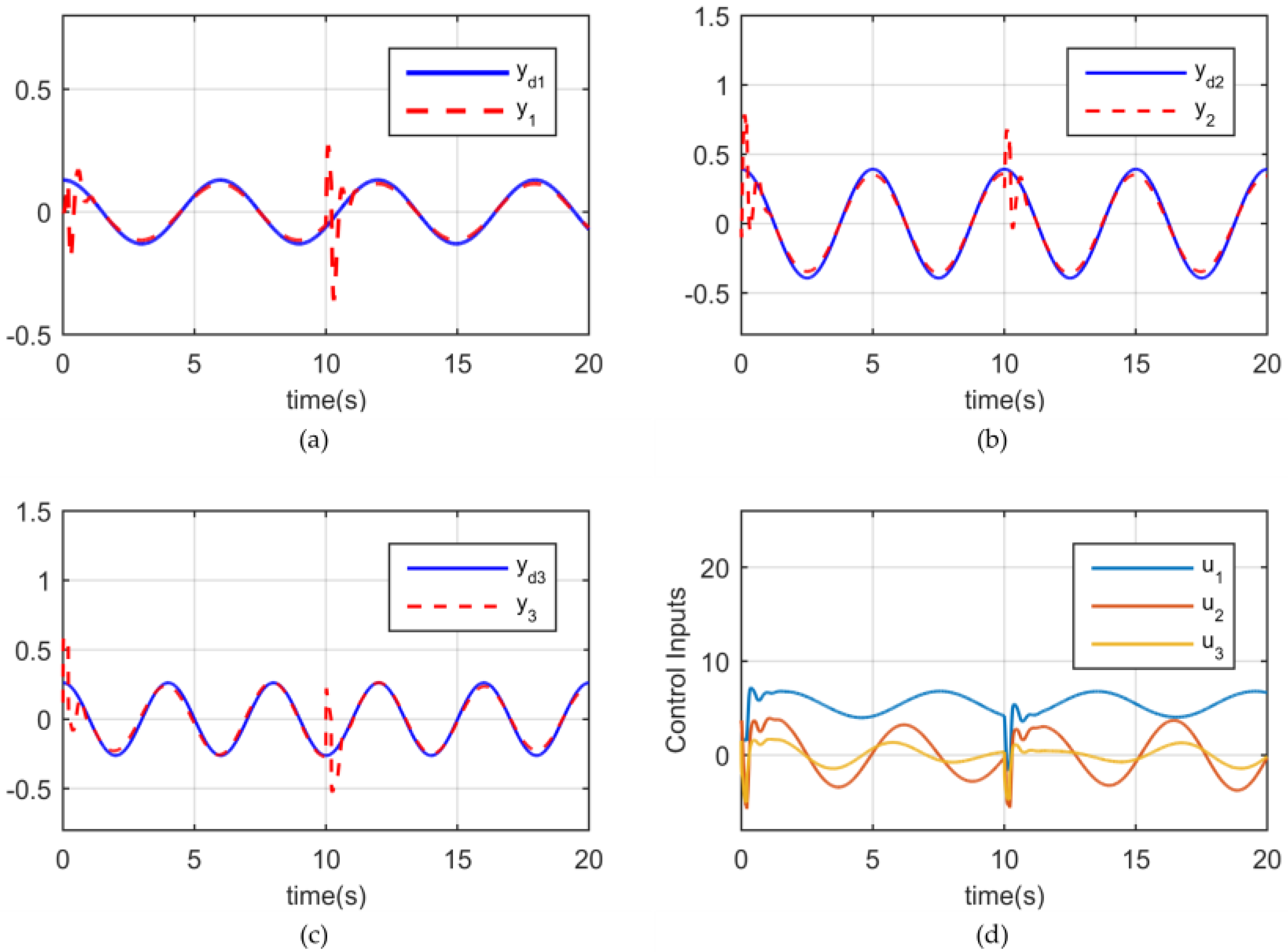
4.2. Example 2
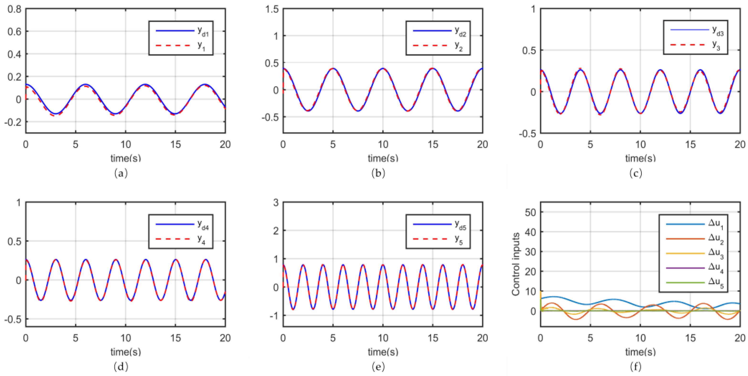
4.3. Example 3
4.4. Results Analysis
5. Conclusions
Author Contributions
Funding
Data Availability Statement
Conflicts of Interest
References
- Sawaki, L. Use-dependent plasticity of the human motor cortex in health and disease. IEEE Eng. Med. Biol. Mag. 2005, 24, 36–39. [Google Scholar] [CrossRef] [PubMed]
- Ito, S.; Kawasaki, H.; Ishigure, Y.; Natsume, M.; Mouri, T.; Nishimoto, Y. A design of fine motion assist equipment for disabled hand in robotic rehabilitation system. J. Frankl. Inst. 2011, 348, 79–89. [Google Scholar] [CrossRef]
- Luijten, F.; Chu, B.; Rogers, E. Iterative learning control for stroke rehabilitation with input dependent muscle fatigue modeling. In Proceedings of the 2018 Annual American Control Conference, Milwaukee, WI, USA, 27–29 June 2018; pp. 6396–6401. [Google Scholar]
- Kang, H.B.; Wang, J.H. Adaptive robust control of 5 DOF Upper-limb exoskeleton robot. Int. J. Control Autom. Syst. 2015, 13, 733–741. [Google Scholar] [CrossRef]
- Hogan, N.; Krebs, H.I.; Charnnarong, J.; Srikrishna, P.; Sharon, A. MIT-MANUS: A workstation for manual therapy and training. I. In Proceedings of the Proceedings IEEE International Workshop on Robot and Human Communication, Nice, France, 12–14 May 1992; pp. 161–165. [Google Scholar]
- Lum, P.S.; Burgar, C.G.; Van der Loos, M.; Shor, P.C.; Majmundar, M.; Yap, R. The MIME robotic system for upper-limb neuro-rehabilitation: Results from a clinical trial in subacute stroke. In Proceedings of the 9th International Conference on Rehabilitation Robotics, Chicago, IL, USA, 28 June–1 July 2005; pp. 511–514. [Google Scholar]
- Nef, T.; Mihelj, M.; Riener, R. ARMin: A robot for patient-cooperative arm therapy. Med. Biol. Eng. Comput. 2007, 45, 887–900. [Google Scholar] [CrossRef]
- Fazekas, G.; Horvath, M.; Toth, A. A novel robot training system designed to supplement upper limb physiotherapy of patients with spastic hemiparesis. Int. J. Rehabil. Res. 2006, 29, 251–254. [Google Scholar] [CrossRef]
- Perry, J.C.; Rosen, J.; Burns, S. Upper-limb powered exoskeleton design. IEEE/ASME Trans. Mechatron. 2007, 12, 408–417. [Google Scholar] [CrossRef]
- Mao, Y.; Agrawal, S.K. Design of a cable-driven arm exoskeleton (CAREX) for neural rehabilitation. IEEE Trans. Robot. 2012, 28, 922–931. [Google Scholar] [CrossRef]
- Lee, M.; Rittenhouse, M.; Abdullah, H.A. Design issues for therapeutic robot systems: Results from a survey of physiotherapists. J. Intell. Robot. Syst. 2005, 42, 239–252. [Google Scholar] [CrossRef]
- Proietti, T.; Crocher, V.; Roby-Brami, A.; Jarrasse, N. Upper-limb robotic exoskeletons for neurorehabilitation: A review on control strategies. IEEE Rev. Biomed. Eng. 2016, 9, 4–14. [Google Scholar] [CrossRef]
- Li, Z.; Huang, Z.; He, W.; Su, C.Y. Adaptive impedance control for an upper limb robotic exoskeleton using biological signals. IEEE Trans. Ind. Electron. 2016, 64, 1664–1674. [Google Scholar] [CrossRef]
- Chen, Z.; Li, Z.; Chen, C.P. Disturbance observer-based fuzzy control of uncertain MIMO mechanical systems with input nonlinearities and its application to robotic exoskeleton. IEEE Trans. Cybern. 2016, 47, 984–994. [Google Scholar] [CrossRef] [PubMed]
- Yang, Z.; Peng, J.; Liu, Y. Adaptive neural network force tracking impedance control for uncertain robotic manipulator based on nonlinear velocity observer. Neurocomputing 2019, 331, 263–280. [Google Scholar] [CrossRef]
- Li, Z.; Liu, J.; Huang, Z.; Peng, Y.; Pu, H.; Ding, L. Adaptive impedance control of human–robot cooperation using reinforcement learning. IEEE Trans. Ind. Electron. 2017, 64, 8013–8022. [Google Scholar] [CrossRef]
- Yu, X.; He, W.; Li, Y.; Xue, C.; Li, J.; Zou, J.; Yang, C. Bayesian estimation of human impedance and motion intention for human–robot collaboration. IEEE Trans. Cybern. 2019, 51, 1822–1834. [Google Scholar] [CrossRef]
- Yu, X.; He, W.; Li, H.; Sun, J. Adaptive fuzzy full-state and output-feedback control for uncertain robots with output constraint. IEEE Trans. Syst. Man Cybern. Syst. 2020, 51, 6994–7007. [Google Scholar] [CrossRef]
- Yin, S.; Ding, S.X.; Xie, X.; Luo, H. A review on basic data-driven approaches for industrial process monitoring. IEEE Trans. Ind. Electron. 2014, 61, 6418–6428. [Google Scholar] [CrossRef]
- Yin, S.; Li, X.; Gao, H.; Kaynak, O. Data-based techniques focused on modern industry: An overview. IEEE Trans. Ind. Electron. 2014, 62, 657–667. [Google Scholar] [CrossRef]
- Hou, Z.S.; Wang, Z. From model-based control to data-driven control: Survey, classification and perspective. Inf. Sci. 2013, 235, 3–5. [Google Scholar] [CrossRef]
- Astrom, K.J.; Hagglund, T. PID Controllers: Theory, Design and Tuning, 2nd ed.; The International Society of Measurement and Control: Research Triangle Park, NC, USA, 1995. [Google Scholar]
- Hjalmarsson, H.; Gevers, M.; Gunnarsson, S.; Lequin, O. Iterative feedback tuning: Theory and applications. IEEE Control Syst. Mag. 1998, 18, 26–41. [Google Scholar]
- Campi, M.C.; Lecchini, A.; Savaresi, S.M. Virtual reference feedback tuning: A direct method for the design of feedback controllers. Automatica 2002, 38, 1337–1346. [Google Scholar] [CrossRef]
- Hou, Z.; Jin, S. Model Free Adaptive Control: Theory and Applications; CRC Press: Boca Raton, FL, USA, 2013. [Google Scholar]
- Hou, Z.; Xiong, S. On model-free adaptive control and its stability analysis. IEEE Trans. Autom. Control 2019, 64, 4555–4569. [Google Scholar] [CrossRef]
- Wang, Y.; Wang, Z. Model-free adaptive tracking control for networked nonlinear systems with data dropout. Int. J. Robust Nonlinear Control 2022, 32, 1453–1468. [Google Scholar] [CrossRef]
- Liu, D.; Liu, N.; Li, T. Event-triggered model-free adaptive control for nonlinear systems with output saturation. Int. J. Robust Nonlinear Control 2023, 33, 7204–7220. [Google Scholar] [CrossRef]
- Hou, Z.; Bu, X. Model-free adaptive control with data dropouts. Expert Syst. Appl. 2011, 38, 10709–10717. [Google Scholar] [CrossRef]
- Hou, Z.; Jin, S. Data-driven model-free adaptive control for a class of MIMO nonlinear discrete-time systems. IEEE Trans. Neural Netw. 2011, 22, 2173–2188. [Google Scholar] [PubMed]
- Zhu, Y.; Hou, Z. Controller dynamic linearisation-based model-free adaptive control framework for a class of non-linear system. IET Control Theory Appl. 2015, 9, 1162–1172. [Google Scholar] [CrossRef]
- Liu, T.; Hou, Z. Model-free adaptive containment control for unknown multi-input multi-output nonlinear MASs with output saturation. IEEE Trans. Circuits Syst. I Regul. Pap. 2023, 70, 2156–2166. [Google Scholar] [CrossRef]
- Bu, X.; Liang, J.; Hou, Z.; Chi, R. Data-driven terminal iterative learning consensus for nonlinear multiagent systems with output saturation. IEEE Trans. Neural Netw. Learn. Syst. 2020, 32, 1963–1973. [Google Scholar] [CrossRef]
- Xu, D.; Jiang, B.; Shi, P. A novel model-free adaptive control design for multivariable industrial processes. IEEE Trans. Ind. Electron. 2014, 61, 6391–6398. [Google Scholar] [CrossRef]
- Wang, X.; Li, X.; Wang, J.; Fang, X.; Zhu, X. Data-driven model-free adaptive sliding mode control for the multi degree-of-freedom robotic exoskeleton. Inf. Sci. 2016, 327, 246–257. [Google Scholar] [CrossRef]
- Yang, H.; Gao, X.; Chen, Y.; Hao, L. Hammerstein adaptive impedance controller for bionic wrist joint actuated by pneumatic muscles. IEEE Access 2018, 7, 47–56. [Google Scholar] [CrossRef]
- Wang, L. Model Predictive Control System Design and Implementation Using Matlab; Springer: Berlin/Heidelberg, Germany, 2009. [Google Scholar]
- Slotine, J.J.; Li, W. On the adaptive control of robot manipulators. Int. J. Robot. Res. 1987, 6, 49–59. [Google Scholar] [CrossRef]
- Głowiński, S.; Krzyżyński, T.; Pecolt, S.; Maciejewski, I. Design of motion trajectory of an arm exoskeleton. Arch. Appl. Mech. 2015, 85, 75–87. [Google Scholar] [CrossRef]






| Parameters | |||||||
|---|---|---|---|---|---|---|---|
| 3-DOF | 1 | 1 | 0.1 | 0.6 | 0.00001 | ||
| 5-DOF | 1 | 1 | 0.1 | 0.6 | 0.00001 |
| Index | ASMC | FFDL-MFACC |
|---|---|---|
| 0.0470 | 0.0156 | |
| 0.0690 | 0.0278 | |
| 0.0690 | 0.0187 |
Disclaimer/Publisher’s Note: The statements, opinions and data contained in all publications are solely those of the individual author(s) and contributor(s) and not of MDPI and/or the editor(s). MDPI and/or the editor(s) disclaim responsibility for any injury to people or property resulting from any ideas, methods, instructions or products referred to in the content. |
© 2024 by the authors. Licensee MDPI, Basel, Switzerland. This article is an open access article distributed under the terms and conditions of the Creative Commons Attribution (CC BY) license (https://creativecommons.org/licenses/by/4.0/).
Share and Cite
Pei, X.; Fang, X.; Wen, L.; Zhang, Y.; Wang, J. Data-Driven Model-Free Adaptive Containment Control for Uncertain Rehabilitation Exoskeleton Robots with Input Constraints. Actuators 2024, 13, 382. https://doi.org/10.3390/act13100382
Pei X, Fang X, Wen L, Zhang Y, Wang J. Data-Driven Model-Free Adaptive Containment Control for Uncertain Rehabilitation Exoskeleton Robots with Input Constraints. Actuators. 2024; 13(10):382. https://doi.org/10.3390/act13100382
Chicago/Turabian StylePei, Xinglong, Xiaoke Fang, Liqun Wen, Yan Zhang, and Jianhui Wang. 2024. "Data-Driven Model-Free Adaptive Containment Control for Uncertain Rehabilitation Exoskeleton Robots with Input Constraints" Actuators 13, no. 10: 382. https://doi.org/10.3390/act13100382
APA StylePei, X., Fang, X., Wen, L., Zhang, Y., & Wang, J. (2024). Data-Driven Model-Free Adaptive Containment Control for Uncertain Rehabilitation Exoskeleton Robots with Input Constraints. Actuators, 13(10), 382. https://doi.org/10.3390/act13100382

