Comparative Study on Coordinated Control of Path Tracking and Vehicle Stability for Autonomous Vehicles on Low-Friction Roads
Abstract
:1. Introduction
- This paper compares three types of coordinated controllers for PTC and VSC using LQR with regard to path-tracking performance. Different from the previous works, β and γ are included as state variables instead of the rates of lateral offset and heading errors. A preview function is also introduced into the state-space model. With the state vector, it is easier to include the preview function in the state-space model.
- Through comparison, the effects of input configurations and controller structures on path-tracking performance under low-friction conditions were investigated. With the investigation, which type of controller is more effective than others for path tracking is determined.
- From the comparison results, the best control structure and input configuration for path tracking and vehicle stability on low-friction roads is recommended. If there are little differences among those types of controllers, the simplest one is the best.
2. Design of Controllers for Coordinated Control of Path Tracking and Vehicle Stability
2.1. Derivation of State-Space Model
2.2. Design of LQR for PTC#1 and PTC#2
2.3. Derivation of the Reference Yaw Rate for PTC#2 and PTC#3
2.4. Design of Yaw Rate Tracking Controller for PTC#2 and PTC#3
2.5. Control Allocation with WLS for PTC#1, PTC#2, and PTC#3
3. Performance Measures for Path Tracking and Vehicle Stability
4. Simulation and Discussion
4.1. Simulation Environment
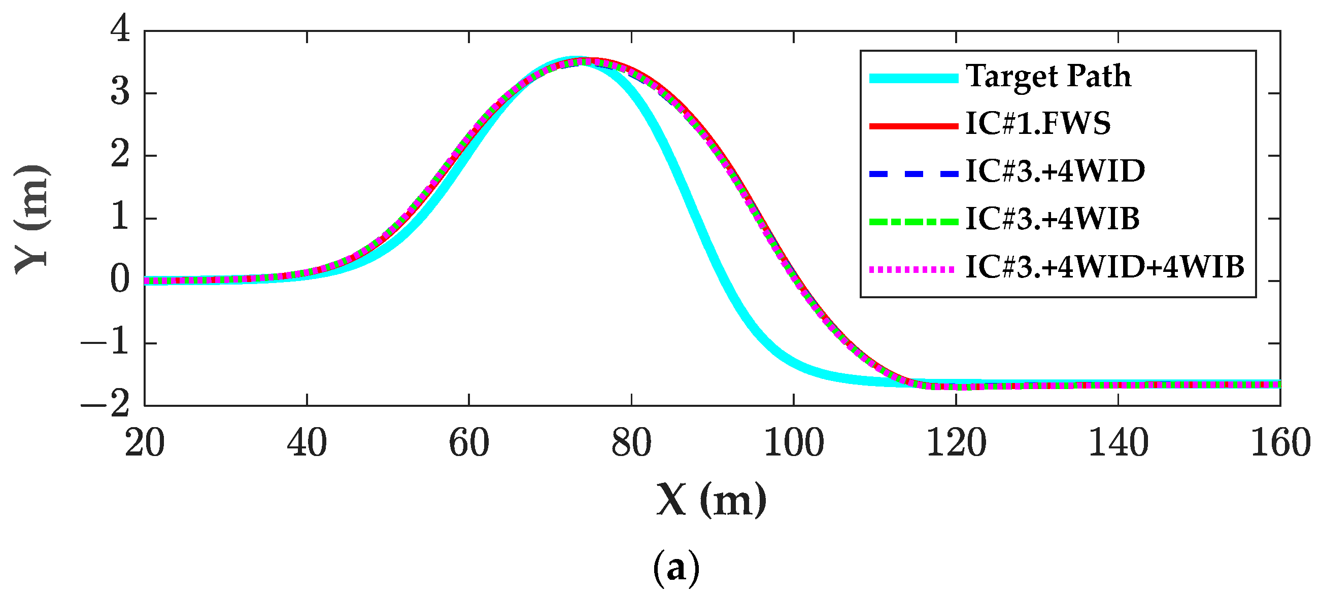
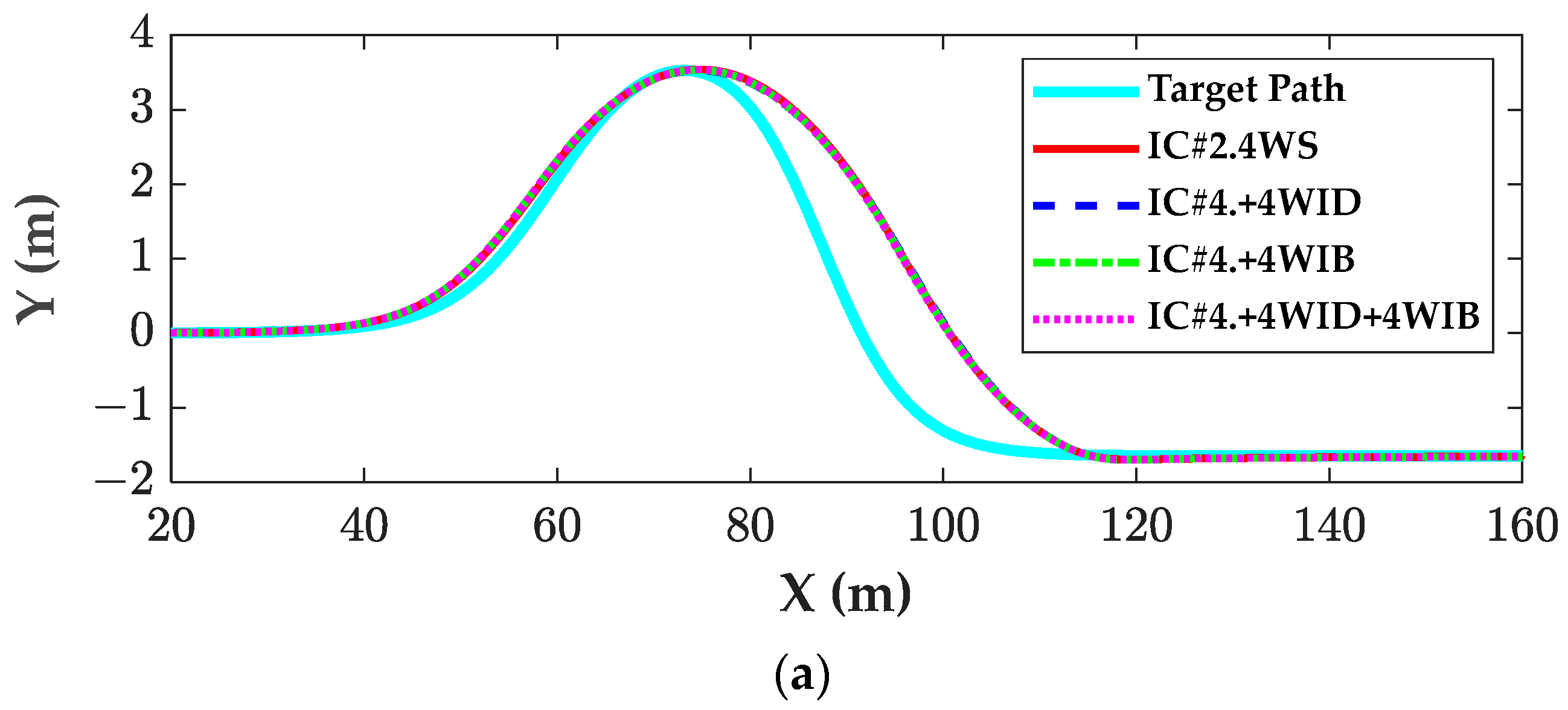
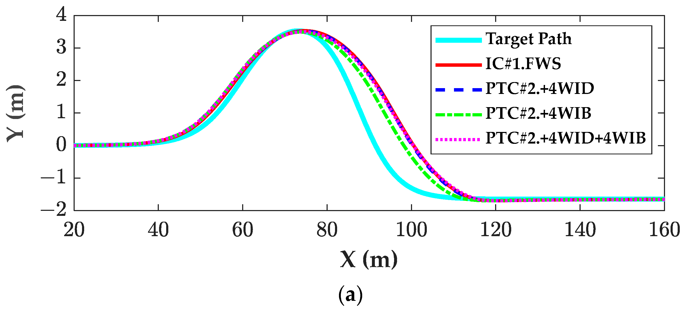
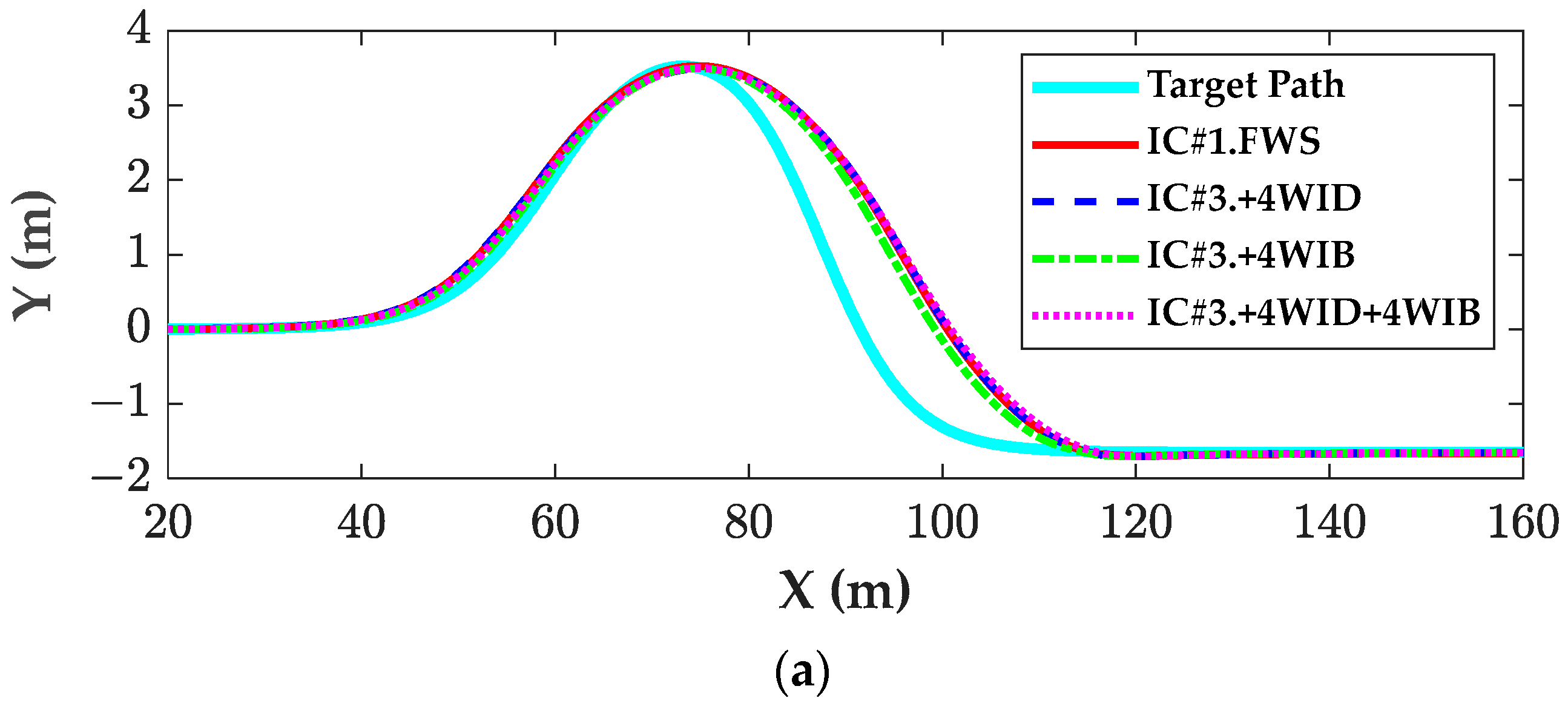
4.2. Simulation with PTC#1
4.3. Simulation with PTC#2 and PTC#3
5. Conclusions
Author Contributions
Funding
Data Availability Statement
Conflicts of Interest
Nomenclature
| 4WS | Four-wheel steering |
| 4WIB | Four-wheel independent braking |
| 4WID | Four-wheel independent drive |
| FWS | Front-wheel steering |
| MASSA | Maximum absolute side-slip angle |
| RWS | Rear-wheel steering |
| WLS | Weighted least square |
| Cf, Cr | Cornering stiffness of front and rear tires (N/rad) |
| ey, eφ | Lateral offset error (m) and heading error (rad) |
| Fxi, Fzi | Longitudinal and vertical tire forces of i-th wheel (N) |
| Fyf, Fyr | Front and rear lateral tire forces in the 2-DOF bicycle model (N) |
| h(ω) | A function of rotor speed representing the capacity curve of an electric motor |
| Iz | Yaw moment of inertial (kg·m2) |
| Ji | LQ objective function for the input configuration IC#i |
| Ki | Gain matrix of LQR for input configuration IC#i |
| Lp | Lookahead distance (m) |
| LWLC | Lower-level controller |
| lf, lr | Distance from cog to front and rear axles (m) |
| m | Vehicle total mass (kg) |
| MDLC | Middle-level controller |
| OS% | Percentage of overshoot in the lower lane of the target path |
| p | Vector used for the equality constraint in the WLS-based method |
| q | Vector of tire forces as a solution of the WLS-based method |
| rwi | Radius of i-th wheel (m) |
| TBi, TDi | Braking and traction torques applied at i-th wheel (N·m) |
| UPLC | Upper-level controller |
| tf, tr | Half of track widths of front and rear axles (m) |
| tp | Preview time for lookahead distance |
| vx, vy | Longitudinal and lateral velocities of cog of a vehicle (m/s) |
| W | Weighting matrix of WLS-based method |
| X(∗), Y(∗) | X- and y-positions of the point ∗ on the target path and vehicle trajectory |
| Yref(X) | y-position of the target path with respect to X |
| αf, αr | Tire slip angles of front and rear wheels (rad) |
| β | Side-slip angle of C.G. of a vehicle (rad) = tan−1(vy/vx) ≈ (vy/vx) |
| δf, δr | Front and rear steering angles (rad) |
| ε | 10−4 used as a virtual weight in WLS-based method |
| ∆Fxi | Control longitudinal and lateral forces generated by an actuator (N) |
| ∆Mz | Control yaw moment as a control input in LQR (N·m) |
| ∆X, ∆Y | Differences between x- and y-positions at the peak points of the target path |
| ∆DX, ∆SX | Response and settling delays of vehicle trajectory with respect to target path |
| γ, γref | Measured and referenced yaw rates (rad/s) |
| γs, γp, γd | Reference yaw rates obtained from steering angle and target path (rad/s) |
| ζ | Tuning parameter on relaxation term of equality constraint |
| χ | Curvature at a particular point on a target path. |
| κ | Virtual weight on the longitudinal and lateral tire forces |
| κ | Vector of virtual weights |
| ξi | The maximum allowable value of i-th term in the LQ objective function |
| ζ | Vector of the maximum allowable values |
| φ | Heading angle of a vehicle |
| φd | Desired heading angle obtained with lookahead |
| Ψref(X) | Heading angle of the target path with respect to X |
| μ | Tire-road friction coefficient |
| ωi | Rotational speed of i-th wheel (rad/s) |
| ρi | Weight on i-th term in LQ objective function |
| τ | Time constant of the first-order system used for reference yaw rate |
| ʋi | Ratio of reduction gear of i-th wheel |
References
- Montanaro, U.; Dixit, S.; Fallaha, S.; Dianatib, M.; Stevensc, A.; Oxtobyd, D.; Mouzakitisd, A. Towards connected autonomous driving: Review of use-cases. Veh. Syst. Dyn. 2019, 57, 779–814. [Google Scholar] [CrossRef]
- Yurtsever, E.; Lambert, J.; Carballo, A.; Takeda, K. A survey of autonomous driving: Common practices and emerging technologies. IEEE Access 2020, 8, 58443–58469. [Google Scholar] [CrossRef]
- Omeiza, D.; Webb, H.; Jirotka, M.; Kunze, M. Explanations in autonomous driving: A survey. IEEE Trans. Intell. Transp. Syst. 2022, 23, 10142–10162. [Google Scholar] [CrossRef]
- Sorniotti, A.; Barber, P.; De Pinto, S. Path tracking for automated driving: A tutorial on control system formulations and ongoing research. In Automated Driving; Watzenig, D., Horn, M., Eds.; Springer: Cham, Switzerland, 2017. [Google Scholar]
- Amer, N.H.; Hudha, H.Z.K.; Kadir, Z.A. Modelling and control strategies in path tracking control for autonomous ground vehicles: A review of state of the art and challenges. J. Intell. Robot. Syst. 2017, 86, 225–254. [Google Scholar] [CrossRef]
- Paden, B.; Cap, M.; Yong, S.Z.; Yershov, D.; Frazzoli, E. A survey of motion planning and control techniques for self-driving urban vehicles. IEEE Trans. Intell. Veh. 2016, 1, 33–55. [Google Scholar] [CrossRef]
- Bai, G.; Meng, Y.; Liu, L.; Luo, W.; Gu, Q.; Liu, L. Review and comparison of path tracking based on model predictive control. Electronics 2019, 8, 10. [Google Scholar] [CrossRef]
- Yao, Q.; Tian, Y.; Wang, Q.; Wang, S. Control strategies on path tracking for autonomous vehicle: State of the art and future challenges. IEEE Access 2020, 8, 161211–161222. [Google Scholar] [CrossRef]
- Rokonuzzaman, M.; Mohajer, N.; Nahavandi, S.; Mohamed, S. Review and performance evaluation of path tracking controllers of autonomous vehicles. IET Intell. Transp. Syst. 2021, 15, 646–670. [Google Scholar] [CrossRef]
- Stano, P.; Montanaro, U.; Tavernini, D.; Tufo, M.; Fiengo, G.; Novella, L.; Sorniotti, A. Model predictive path tracking control for automated road vehicles: A review. Annu. Rev. Control 2022, 55, 194–236. [Google Scholar] [CrossRef]
- Jeong, Y.; Yim, S. Integrated path tracking and lateral stability control with four-wheel independent steering for autonomous electric vehicles on low friction roads. Machines 2022, 10, 650. [Google Scholar] [CrossRef]
- Lee, J.; Yim, S. Comparative study of path tracking controllers on low friction roads for autonomous vehicles. Machines 2023, 11, 403. [Google Scholar] [CrossRef]
- Park, M.; Yim, S. Comparative study on effects of input configurations of linear quadratic controller on path tracking performance under low friction condition. Actuators 2023, 12, 151. [Google Scholar] [CrossRef]
- Ahangarnejad, A.H.; Radmehr, A.; Ahmadian, M. A review of vehicle active safety control methods: From antilock brakes to semiautonomy. J. Vib. Control 2021, 27, 1683–1712. [Google Scholar] [CrossRef]
- Zhang, L.; Zhang, Z.; Wang, Z.; Deng, J.; Dorrell, D.G. Chassis coordinated control for full x-by-wire vehicles—A review. Chin. J. Mech. Eng. 2021, 34, 42. [Google Scholar] [CrossRef]
- Peng, H.; Chen, X. Active safety control of x-by-wire electric vehicles: A survey. SAE Int. J. Veh. Dyn. Stab. NVH 2022, 6, 115–133. [Google Scholar] [CrossRef]
- Indu, K.; Kumar, M.A. Electric vehicle control and driving safety systems: A review. IETE J. Res. 2023, 6, 482–498. [Google Scholar] [CrossRef]
- Yim, S. Comparison among active front, front independent, 4-wheel and 4-wheel independent steering systems for vehicle stability control. Electronics 2020, 9, 798. [Google Scholar] [CrossRef]
- Nah, J.; Yim, S. Vehicle stability control with four-wheel independent braking, drive and steering on in-wheel motor-driven electric vehicles. Electronics 2020, 9, 1934. [Google Scholar] [CrossRef]
- Hang, P.; Chen, X.; Luo, F. Path-Tracking Controller Design for a 4WIS and 4WID Electric Vehicle with Steer-by-Wire System (No. 2017-01-1954); SAE Technical Paper: Warrendale, PA, USA, 2017. [Google Scholar]
- Guo, J.; Luo, Y.; Li, K. An adaptive hierarchical trajectory following control approach of autonomous four-wheel independent drive electric vehicles. IEEE Trans. Intell. Transp. Syst. 2018, 19, 2482–2492. [Google Scholar] [CrossRef]
- Guo, J.; Luo, Y.; Li, K.; Dai, Y. Coordinated path-following and direct yaw-moment control of autonomous electric vehicles with sideslip angle estimation. Mech. Syst. Signal Process. 2018, 105, 183–199. [Google Scholar] [CrossRef]
- Hang, P.; Chen, X.; Luo, F. LPV/H∞ controller design for path tracking of autonomous ground vehicles through four-wheel steering and direct yaw-moment control. Int. J. Automot. Technol. 2019, 20, 679–691. [Google Scholar] [CrossRef]
- Peng, H.; Wang, W.; An, Q.; Xiang, C.; Li, L. Path tracking and direct yaw moment coordinated control based on robust MPC with the finite time horizon for autonomous independent-drive vehicles. IEEE Trans. Veh. Technol. 2020, 69, 6053–6066. [Google Scholar] [CrossRef]
- Wang, Y.; Shao, Q.; Zhou, J.; Zheng, H.; Chen, H. Longitudinal and lateral control of autonomous vehicles in multi-vehicle driving environments. IET Intell. Transp. Syst. 2020, 14, 924–935. [Google Scholar] [CrossRef]
- Wu, H.; Li, Z.; Si, Z. Trajectory tracking control for four-wheel independent drive intelligent vehicle based on model predictive control and sliding mode control. Adv. Mech. Eng. 2021, 13, 16878140211045142. [Google Scholar] [CrossRef]
- Xiang, C.; Peng, H.; Wang, W.; Li, L.; An, Q.; Cheng, S. Path tracking coordinated control strategy for autonomous four in-wheel-motor independent-drive vehicles with consideration of lateral stability. Proc. Inst. Mech. Eng. Part D J. Automob. Eng. 2021, 235, 1023–1036. [Google Scholar] [CrossRef]
- Barari, A.; Afshari, S.S.; Liang, X. Coordinated control for path-following of an autonomous four in-wheel motor drive electric vehicle. Proc. Inst. Mech. Eng. Part C J. Mech. Eng. Sci. 2022, 236, 6335–6346. [Google Scholar] [CrossRef]
- Wang, W.; Zhang, Y.; Yang, C.; Qie, T.; Ma, M. Adaptive model predictive control-based path following control for four-wheel independent drive automated vehicles. IEEE Trans. Intell. Transp. Syst. 2022, 23, 14399–14412. [Google Scholar] [CrossRef]
- Jin, L.; Gao, L.; Jiang, Y.; Chen, M.; Zheng, Y.; Li, K. Research on the control and coordination of four-wheel independent driving/steering electric vehicle. Adv. Mech. Eng. 2017, 9, 1687814017698877. [Google Scholar] [CrossRef]
- Ren, Y.; Zheng, L.; Khajepour, A. Integrated model predictive and torque vectoring control for path tracking of 4-wheeldriven autonomous vehicles. IET Intell. Transp. Syst. 2019, 13, 98–107. [Google Scholar] [CrossRef]
- Guo, L.; Ge, P.; Yue, M.; Li, J. Trajectory tracking algorithm in a hierarchical strategy for electric vehicle driven by four independent in-wheel motors. J. Chin. Inst. Eng. 2020, 43, 807–818. [Google Scholar] [CrossRef]
- Ahn, T.; Lee, Y.; Park, K. Design of integrated autonomous driving control system that incorporates chassis controllers for improving path tracking performance and vehicle stability. Electronics 2021, 10, 144. [Google Scholar] [CrossRef]
- Liang, Y.; Li, Y.; Zheng, L.; Yu, Y.; Ren, Y. Yaw rate tracking-based path-following control for four-wheel independent driving and four-wheel independent steering autonomous vehicles considering the coordination with dynamics stability. Proc. Inst. Mech. Eng. Part D J. Automob. Eng. 2021, 235, 260–272. [Google Scholar] [CrossRef]
- Xie, J.; Xu, X.; Wang, F.; Tang, Z.; Chen, L. Coordinated control based path following of distributed drive autonomous electric vehicles with yaw-moment control. Control Eng. Pract. 2021, 106, 104659. [Google Scholar] [CrossRef]
- Tong, Y.; Jing, H.; Kuang, B.; Wang, G.; Liu, F.; Yang, Z. Trajectory tracking control for four-wheel independently driven electric vehicle based on model predictive control and sliding model control. In Proceedings of the 2021 5th CAA International Conference on Vehicular Control and Intelligence (CVCI), Tianjin, China, 29–31 October 2021. [Google Scholar]
- Du, Q.; Zhu, C.; Li, Q.; Tian, B.; Li, L. Optimal path tracking control for intelligent four-wheel steering vehicles based on MPC and state estimation. Proc. Inst. Mech. Eng. Part D J. Automob. Eng. 2022, 236, 1964–1976. [Google Scholar] [CrossRef]
- Sun, X.; Wang, Y.; Hu, W.; Cai, Y.; Huang, C.; Chen, L. Path tracking control strategy for the intelligent vehicle considering tire nonlinear cornering characteristics in the PWA form. J. Frankl. Inst. 2022, 359, 2487–2513. [Google Scholar] [CrossRef]
- Jeong, Y.; Yim, S. Path tracking control with four-wheel independent steering, driving and braking systems for autonomous electric vehicles. IEEE Access 2022, 10, 74733–74746. [Google Scholar] [CrossRef]
- Hu, H.; Bei, S.; Zhao, Q.; Han, X.; Zhou, D.; Zhou, X.; Li, B. Research on trajectory tracking of sliding mode control based on adaptive preview time. Actuators 2022, 11, 34. [Google Scholar] [CrossRef]
- Tarhini, F.; Talj, R.; Doumiati, M. Adaptive look-ahead distance based on an intelligent fuzzy decision for an autonomous vehicle. In Proceedings of the 2023 IEEE Intelligent Vehicles Symposium (IV), Anchorage, AK, USA, 4–7 June 2023. [Google Scholar]
- Wong, H.Y. Theory of Ground Vehicles, 3rd ed.; John Wiley and Sons, Inc.: New York, NY, USA, 2001. [Google Scholar]
- Rajamani, R. Vehicle Dynamics and Control; Springer: New York, NY, USA, 2006. [Google Scholar]
- Bryson, A.E.; Ho, Y.C. Applied Optimal Control; Hemisphere: New York, NY, USA, 1975. [Google Scholar]
- Wang, J.; Wang, R.; Jing, H.; Chen, N. Coordinated active steering and four-wheel independently driving/braking control with control allocation. Asian J. Control 2016, 18, 98–111. [Google Scholar] [CrossRef]
- Rezaeian, A.; Zarringhalam, R.; Fallah, S.; Melek, W.; Khajepour, A.; Chen, S.-K.; Moshchuck, N.; Litkouhi, B. Novel tire force estimation strategy for real-time implementation on vehicle applications. IEEE Trans. Veh. Technol. 2015, 64, 2231–2241. [Google Scholar] [CrossRef]
- Yim, S.; Choi, J.; Yi, K. Coordinated control of hybrid 4WD vehicles for enhanced maneuverability and lateral stability. IEEE Trans. Veh. Technol. 2012, 61, 1946–1950. [Google Scholar] [CrossRef]
- Yim, S. Coordinated control with electronic stability control and active steering devices. J. Mech. Sci. Technol. 2015, 29, 5409–5416. [Google Scholar] [CrossRef]
- Yakub, F.; Mori, Y. Comparative study of autonomous path-following vehicle control via model predictive control and linear quadratic control. Proc. Inst. Mech. Eng. Part D J Automob. Eng. 2015, 229, 1695–1714. [Google Scholar] [CrossRef]
- Kim, H.H.; Ryu, J. Sideslip angle estimation considering short-duration longitudinal velocity variation. Int. J. Automot. Technol. 2011, 12, 545–553. [Google Scholar] [CrossRef]
- National Highway Traffic Safety Administration. FMVSS No. 126, Electronic Stability Control Systems: NHTSA Final Regulatory Impact Analysis; National Highway Traffic Safety Administration: Washington, DC, USA, 2007. [Google Scholar]
- Mechanical Simulation Corporation. VS Browser: Reference Manual, The Graphical User Interfaces of BikeSim, CarSim, and TruckSim; Mechanical Simulation Corporation: Ann Arbor, MI, USA, 2009. [Google Scholar]















| Parameter | Value | Parameter | Value |
|---|---|---|---|
| ms | 1823 kg | Iz | 6286 kg·m2 |
| Cf | 42,000 N/rad | Cr | 62,000 N/rad |
| lf | 1.27 m | lr | 1.90 m |
| tf | 0.80 m | tr | 0.80 m |
| Actuator Combinations | ∆X (m) | ∆Y (m) | OS% | ∆DX (m) | ∆SX (m) | MASSA (deg) | MASSAR (deg/s) | |
|---|---|---|---|---|---|---|---|---|
| IC#1 | FWS | 1.57 | 0.002 | 1.0 | 8.98 | 4.84 | 0.58 | 13.13 |
| IC#2 | 4WS | 1.61 | 0.013 | 0.9 | 9.12 | 5.06 | 1.67 | 14.73 |
| IC#3 | FWS + 4WID | 1.19 | −0.035 | 0.9 | 8.91 | 4.64 | 0.59 | 13.34 |
| +4WIB | 1.29 | −0.024 | 1.0 | 8.80 | 4.63 | 0.59 | 0.59 | |
| +4WID + 4WIB | 1.30 | −0.015 | 1.0 | 8.71 | 4.59 | 0.59 | 13.22 | |
| FWS + RWS | 1.25 | −0.003 | 0.9 | 8.74 | 4.58 | 1.36 | 13.84 | |
| +4WID | 1.35 | 0.000 | 1.0 | 8.87 | 4.70 | 1.35 | 14.02 | |
| +4WIB | 1.59 | 0.000 | 1.0 | 9.17 | 5.01 | 1.15 | 13.11 | |
| +4WID + 4WIB | 1.60 | 0.004 | 0.9 | 9.13 | 4.99 | 1.13 | 13.30 | |
| IC#4 | +4WID | 1.45 | −0.002 | 0.9 | 9.21 | 5.07 | 2.09 | 15.30 |
| +4WIB | 1.48 | 0.004 | 1.0 | 9.10 | 5.04 | 2.08 | 15.08 | |
| +4WID + 4WIB | 1.49 | 0.010 | 0.9 | 9.04 | 5.02 | 1.96 | 15.07 |
| Actuator Combinations | tp | ξ1 | ξ2 | ξ3 | ξ4 | ξ5 | ξ6 | ξ7 | |
|---|---|---|---|---|---|---|---|---|---|
| IC#1 | FWS | 0.60 | 0.5600 | 5.000 | 0.30 | 10.00 | 0.05 | - | - |
| IC#2 | 4WS | 0.60 | 0.5500 | 0.700 | 0.30 | 10.0 | 0.05 | 0.005 | - |
| IC#3 | FWS + 4WID | 1.19 | 0.0518 | 0.005 | 0.10 | 0.10 | 0.03 | - | 50.0 |
| +4WIB | 1.29 | 0.0532 | 0.005 | 0.10 | 0.10 | 0.03 | - | 50.0 | |
| +4WID + 4WIB | 1.30 | 0.0572 | 0.005 | 0.10 | 0.10 | 0.03 | - | 50.0 | |
| FWS + RWS | 1.25 | 0.0662 | 0.005 | 0.10 | 0.10 | 0.03 | - | 50.0 | |
| +4WID | 1.35 | 0.0644 | 0.005 | 0.10 | 0.10 | 0.03 | - | 50.0 | |
| +4WIB | 1.59 | 0.0585 | 0.005 | 0.10 | 0.10 | 0.03 | - | 50.0 | |
| +4WID + 4WIB | 1.60 | 0.0598 | 0.005 | 0.10 | 0.10 | 0.03 | - | 50.0 | |
| IC#4 | +4WID | 1.45 | 0.0566 | 0.005 | 0.10 | 0.10 | 0.03 | 0.001 | 50.0 |
| +4WIB | 1.48 | 0.0569 | 0.005 | 0.10 | 0.10 | 0.03 | 0.001 | 50.0 | |
| +4WID + 4WIB | 1.49 | 0.0606 | 0.005 | 0.10 | 0.10 | 0.03 | 0.001 | 50.0 |
| Actuator Combinations | ∆X (m) | ∆Y (m) | OS% | ∆DX (m) | ∆SX (m) | MASSA (deg) | MASSAR (deg/s) |
|---|---|---|---|---|---|---|---|
| +4WID | 1.50 | −0.012 | 0.9 | 8.70 | 4.53 | 0.58 | 14.13 |
| +4WIB | 0.52 | −0.036 | 0.9 | 6.66 | 2.40 | 0.66 | 12.56 |
| +4WID + 4WIB | 1.15 | −0.028 | 1.0 | 8.89 | 5.39 | 0.64 | 13.39 |
| +RWS | 0.39 | 0.020 | 0.9 | 7.80 | 4.26 | 1.84 | 12.41 |
| +4WID | 0.42 | 0.026 | 0.9 | 7.66 | 3.88 | 1.67 | 12.39 |
| +4WIB | 0.68 | 0.023 | 0.9 | 8.02 | 4.24 | 1.54 | 12.08 |
| +4WID + 4WIB | 0.65 | 0.015 | 0.7 | 8.29 | 4.88 | 1.44 | 11.47 |
| Actuator Combinations | ∆X (m) | ∆Y (m) | OS% | ∆DX (m) | ∆SX (m) | MASSA (deg) | MASSAR (deg/s) |
|---|---|---|---|---|---|---|---|
| +4WID | 1.75 | −0.033 | 1.0 | 9.07 | 4.76 | 0.68 | 13.59 |
| +4WIB | 1.56 | −0.029 | 1.0 | 7.70 | 4.02 | 0.73 | 12.42 |
| +4WID + 4WIB | 1.67 | −0.024 | 1.0 | 9.34 | 5.70 | 0.62 | 12.28 |
| +RWS | 1.08 | −0.034 | 1.0 | 8.41 | 5.59 | 1.75 | 14.35 |
| +4WID | 0.93 | −0.034 | 0.9 | 8.12 | 4.80 | 1.59 | 13.93 |
| +4WIB | 1.51 | 0.004 | 0.9 | 9.10 | 5.82 | 1.51 | 13.85 |
| +4WID + 4WIB | 1.01 | −0.020 | 1.0 | 8.60 | 4.88 | 1.46 | 13.80 |
| PTC | Actuator Combinations | ∆X (m) | ∆Y (m) | OS% | ∆DX (m) | ∆SX (m) | MASSA (deg) | MASSAR (deg/s) |
|---|---|---|---|---|---|---|---|---|
| PTC#1 | IC#1: FWS | 1.57 | 0.002 | 1.0 | 8.98 | 4.84 | 0.58 | 13.13 |
| IC#2: RWS | 1.61 | 0.013 | 0.9 | 9.12 | 5.06 | 1.67 | 14.73 | |
| IC#3: FWS + RWS | 1.25 | −0.003 | 0.9 | 8.74 | 4.58 | 1.36 | 13.84 | |
| IC#4: FWS + RWS + 4WID | 1.45 | −0.002 | 0.9 | 9.21 | 5.07 | 2.09 | 15.30 | |
| PTC#2 | FWS + 4WIB | 0.52 | −0.036 | 0.9 | 6.66 | 2.40 | 0.66 | 12.56 |
| FWS + 4WID | 1.5 | −0.012 | 0.9 | 8.70 | 4.53 | 0.58 | 14.13 | |
| PTC#3 | FWS + RWS + 4WID | 0.93 | −0.034 | 0.9 | 8.12 | 4.80 | 1.59 | 13.93 |
| FWS + RWS + 4WIB | 1.51 | 0.004 | 0.9 | 9.10 | 5.82 | 1.51 | 13.85 |
| Actuator Combinations | tp | ξ1 | ξ2 | ξ3 | ξ4 | ξ5 |
|---|---|---|---|---|---|---|
| +4WID | 0.065 | 0.0539 | 0.005 | 0.05 | 0.50 | 0.03 |
| +4WIB | 0.065 | 0.0740 | 0.005 | 0.05 | 0.50 | 0.03 |
| +4WID + 4WIB | 0.065 | 0.0626 | 0.005 | 0.05 | 0.50 | 0.03 |
| +RWS | 0.060 | 0.0700 | 0.005 | 0.10 | 0.50 | 0.03 |
| +4WID | 0.060 | 0.0818 | 0.005 | 0.10 | 0.50 | 0.03 |
| +4WIB | 0.060 | 0.0656 | 0.005 | 0.10 | 0.50 | 0.03 |
| +4WID + 4WIB | 0.060 | 0.0725 | 0.005 | 0.10 | 0.50 | 0.03 |
| Actuator Combinations | tp | ξ1 | ξ2 | ξ3 | ξ4 | ξ5 |
|---|---|---|---|---|---|---|
| +4WID | 0.07 | 0.0734 | 0.010 | 0.05 | 0.50 | 0.03 |
| +4WIB | 0.07 | 0.1172 | 0.015 | 0.05 | 0.50 | 0.03 |
| +4WID + 4WIB | 0.07 | 0.1123 | 0.015 | 0.10 | 0.50 | 0.03 |
| +RWS | 0.07 | 0.0969 | 0.010 | 0.10 | 0.50 | 0.03 |
| +4WID | 0.07 | 0.1012 | 0.010 | 0.10 | 0.50 | 0.03 |
| +4WIB | 0.07 | 0.0935 | 0.010 | 0.10 | 0.50 | 0.03 |
| +4WID + 4WIB | 0.07 | 0.1045 | 0.010 | 0.10 | 0.50 | 0.03 |
Disclaimer/Publisher’s Note: The statements, opinions and data contained in all publications are solely those of the individual author(s) and contributor(s) and not of MDPI and/or the editor(s). MDPI and/or the editor(s) disclaim responsibility for any injury to people or property resulting from any ideas, methods, instructions or products referred to in the content. |
© 2023 by the authors. Licensee MDPI, Basel, Switzerland. This article is an open access article distributed under the terms and conditions of the Creative Commons Attribution (CC BY) license (https://creativecommons.org/licenses/by/4.0/).
Share and Cite
Park, M.; Yim, S. Comparative Study on Coordinated Control of Path Tracking and Vehicle Stability for Autonomous Vehicles on Low-Friction Roads. Actuators 2023, 12, 398. https://doi.org/10.3390/act12110398
Park M, Yim S. Comparative Study on Coordinated Control of Path Tracking and Vehicle Stability for Autonomous Vehicles on Low-Friction Roads. Actuators. 2023; 12(11):398. https://doi.org/10.3390/act12110398
Chicago/Turabian StylePark, Manbok, and Seongjin Yim. 2023. "Comparative Study on Coordinated Control of Path Tracking and Vehicle Stability for Autonomous Vehicles on Low-Friction Roads" Actuators 12, no. 11: 398. https://doi.org/10.3390/act12110398
APA StylePark, M., & Yim, S. (2023). Comparative Study on Coordinated Control of Path Tracking and Vehicle Stability for Autonomous Vehicles on Low-Friction Roads. Actuators, 12(11), 398. https://doi.org/10.3390/act12110398

