Protection Conferred by Gallid Alphaherpesvirus 2 Vaccines Against Immunosuppression Induced by Very Virulent Plus (vv+) Marek’s Disease Virus Strains in Commercial Meat Type Chickens
Abstract
1. Introduction
2. Materials and Methods
2.1. Experimental Animals
2.2. Challenge Viruses
2.3. Vaccines
2.4. Experimental Design
2.5. Spleen Single-Cell Suspension
2.6. Flow Cytometry-Based Cellular Analysis
2.7. DNA Extraction and qPCR
2.8. Assessment of MDV-Induced Tumors
2.9. Assessment of Late-MDV-IS
2.10. Statistical Analysis
3. Results
3.1. Effect of vv+MDV 686 Strain on the Percentage of Live Cells in the Spleen at 6 and 25 dpi and Protection Conferred by MDV-1 Vaccines
3.2. Effect of vv+MDV 686 Strain on the Percentage of T Lymphocytes and Macrophages in Spleen at 6 dpi and Protection Conferred by MDV-1 Vaccines
3.3. Effect of vv+MDV 686 Strain on the Percentage of Lymphocytes (B and T Cells) and Macrophages in Spleen at 25 dpi and Protection Conferred by MDV-1 Vaccines
3.4. Effect of vv+MDV 686 Strain on the Expression of MHC-I Expression on Spleen T Cells at 25 dpi and Protection Conferred by MDV-1 Vaccines
3.5. Vaccine Replication in the Spleen
3.6. Ability of MDV-1 Vaccines to Protect Against Late MDV IS and the vv+ 648A Impact on the Efficacy of CEO Vaccine
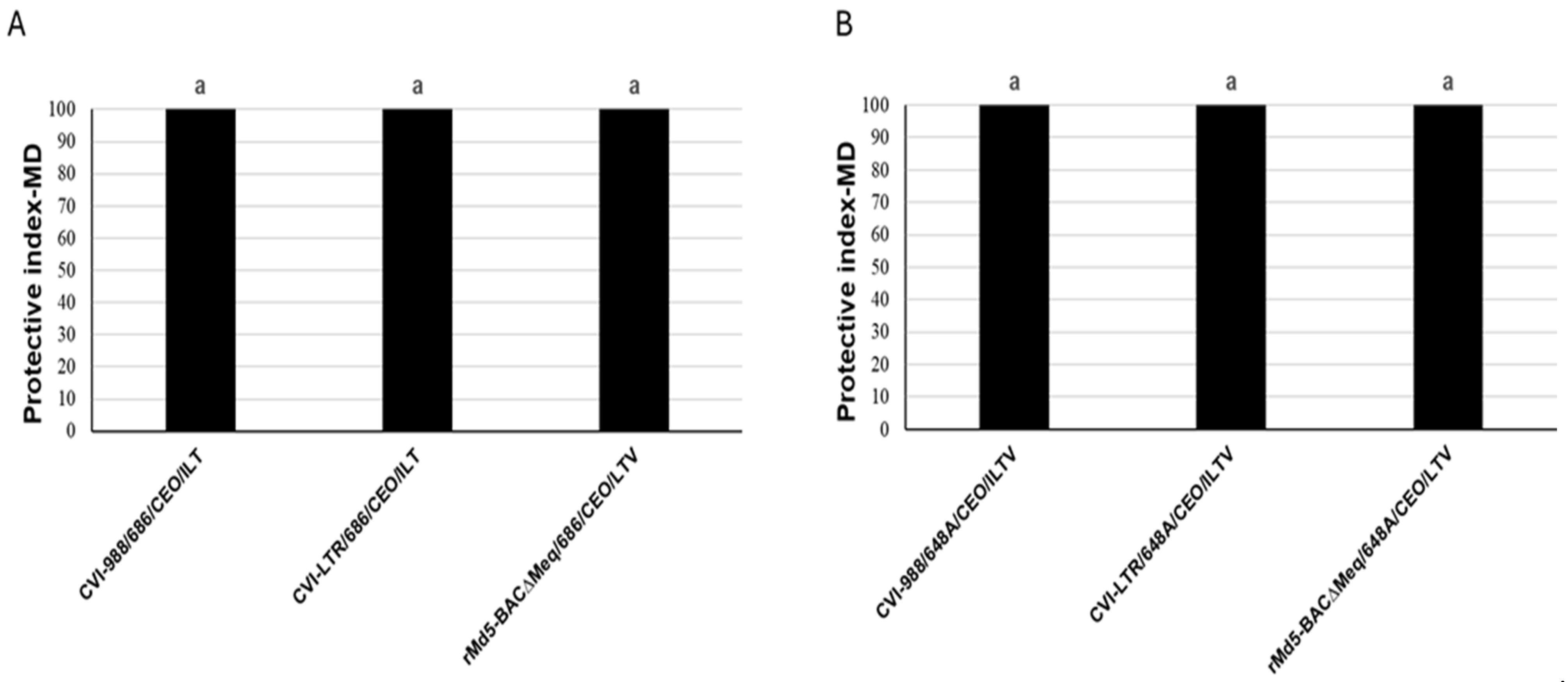
3.7. Vaccine Protection Against MDV-Induced Tumors
4. Discussion
5. Conclusions
Supplementary Materials
Author Contributions
Funding
Institutional Review Board Statement
Informed Consent Statement
Data Availability Statement
Acknowledgments
Conflicts of Interest
References
- Biggs, P.M.; Purchase, H.G.; Bee, B.R.; Dalttin, P.J. Preliminary Report on Acute Marek’s Disease (Fowl Paralysis) in Great Britain. Vet. Rec. 1965, 77, 1339–1340. [Google Scholar] [CrossRef] [PubMed]
- Gatherer, D.; Depledge, D.P.; Hartley, C.A.; Szpara, M.L.; Vaz, P.K.; Benkő, M.; Brandt, C.R.; Bryant, N.A.; Dastjerdi, A.; Doszpoly, A.; et al. ICTV Virus Taxonomy Profile: Herpesviridae 2021. J. Gen. Virol. 2021, 102, 001673. [Google Scholar] [CrossRef] [PubMed]
- Marek, J. Multiple Nervenentzündung (Polyneuritis) Bei Hühnern. Deut. Tierarztl. Woch. 1907, 15, 417–421. [Google Scholar]
- Churchill, A.E.; Biggs, P.M. Agent of Marek’s Disease in Tissue Culture. Nature 1967, 215, 528–530. [Google Scholar] [CrossRef]
- Churchill, A.E.; Payne, L.N.; Chubb, R.C. Immunization Against Marek’s Disease Using a Live Attenuated Virus; Academic Press: Cambridge, MA, USA, 1969; Volume 14. [Google Scholar]
- Witter, R.L.; Nazerian, K.; Purchase, H.G.; Burgoyne, G.H. Isolation from Turkeys of a Cell-Associated Herpesvirus Antigenically Related to Marek’s Disease Virus. Am. J. Vet. Res. 1970, 31, 525–538. [Google Scholar] [PubMed]
- Rispens, B.H.; van Vloten, H.; Mastenbroek, N.; Maas, H.J.; Schat, K.A. Control of Marek’s Disease in the Netherlands. I. Isolation of an Avirulent Marek’s Disease Virus (Strain CVI 988) and Its Use in Laboratory Vaccination Trials. Avian Dis. 1972, 16, 108–125. [Google Scholar] [CrossRef] [PubMed]
- Calnek, B.W.; Schat, K.A.; Peckham, M.C.; Fabricant, J. Field Trials with a Bivalent Vaccine (HVT and SB-1) against Marek’s Disease. Avian Dis. 1983, 27, 844–849. [Google Scholar] [CrossRef] [PubMed]
- Schat, K.A.; Calnek, B.W. Protection against Marek’s Disease-Derived Tumor Transplants by the Nononcogenic SB-1 Strain of Marek’s Disease Virus. Infect. Immun. 1978, 22, 225–232. [Google Scholar] [CrossRef]
- Dunn, J.R.; Black Pyrkosz, A.; Cheng, H.H. Pathotyping of Current Marek’s Disease Virus Field Strains and Identification of Sequence Variants to Predict Virulence. In Proceedings of the 11th International Symposium on Marek’s Disease and Avian Herpesvirus, Tours, France, 9 July 2016; p. 10. [Google Scholar]
- Calnek, B.W.; Adldinger, H.K.; Kahn, D.E. Feather Follicle Epithelium: A Source of Enveloped and Infectious Cell-Free Herpesvirus from Marek’s Disease. Avian Dis. 1970, 14, 219–233. [Google Scholar] [CrossRef] [PubMed]
- Witter, R.L. Increased Virulence of Marek’s Disease Virus Field Isolates. Avian Dis. 1997, 41, 149–163. [Google Scholar] [CrossRef]
- Witter, R.L.; Calnek, B.W.; Buscaglia, C.; Gimeno, I.M.; Schat, K.A. Classification of Marek’s Disease Viruses According to Pathotype: Philosophy and Methodology. Avian Pathol. 2005, 34, 75–90. [Google Scholar] [CrossRef] [PubMed]
- Read, A.F.; Baigent, S.J.; Powers, C.; Kgosana, L.B.; Blackwell, L.; Smith, L.P.; Kennedy, D.A.; Walkden-Brown, S.W.; Nair, V.K. Imperfect Vaccination Can Enhance the Transmission of Highly Virulent Pathogens. PLoS Biol. 2015, 13, e1002198. [Google Scholar] [CrossRef] [PubMed]
- Bacon, L.D.; Hunt, H.D.; Cheng, H.H. Genetic Resistance to Marek’s Disease. Marek’s Dis. 2001, 255, 121–141. [Google Scholar]
- Gimeno, I.M.; Witter, R.L.; Reed, W.M. Four Distinct Neurologic Syndromes in Marek’s Disease: Effect of Viral Strain and Pathotype. Avian Dis. 1999, 43, 721–737. [Google Scholar] [CrossRef] [PubMed]
- Gimeno, I.M.; Witter, R.L.; Neumann, U. Neuropathotyping: A New System to Classify Marek’s Disease Virus. Avian Dis. 2002, 46, 909–918. [Google Scholar] [CrossRef]
- Baigent, S.J.; Davison, F. Marek’s Disease Virus: Biology and Life Cycle. In Marek’s Disease; Chapter 6; Davison, F., Nair, V., Eds.; Elsevier: Oxford, UK, 2004; p. 62-ii. ISBN 978-0-12-088379. [Google Scholar]
- Witter, R.L. Characteristics of Marek’s Disease Viruses Isolated from Vaccinated Commercial Chicken Flocks: Association of Viral Pathotype with Lymphoma Frequency. Avian Dis. 1983, 27, 113–132. [Google Scholar] [CrossRef] [PubMed]
- Calnek, B.W.; Harris, R.W.; Buscaglia, C.; Schat, K.A.; Lucio, B. Relationship between the Immunosuppressive Potential and the Pathotype of Marek’s Disease Virus Isolates. Avian Dis. 1998, 42, 124–132. [Google Scholar] [CrossRef]
- Faiz, N.M.; Cortes, A.L.; Guy, J.S.; Fletcher, O.J.; Cimino, T.; Gimeno, I.M. Evaluation of Factors Influencing the Development of Late Marek’s Disease Virus-Induced Immunosuppression: Virus Pathotype and Host Sex. Avian Pathol. 2017, 46, 376–385. [Google Scholar] [CrossRef]
- Faiz, N.M.; Cortes, A.L.; Guy, J.S.; Reddy, S.M.; Gimeno, I.M. Differential Attenuation of Marek’s Disease Virus-Induced Tumours and Late-Marek’s Disease Virus-Induced Immunosuppression. J. Gen. Virol. 2018, 99, 927–936. [Google Scholar] [CrossRef] [PubMed]
- Khaled, N.; Kulkarni, R.R.; Käser, T.; Gimeno, I.M. Temporal Changes in Splenic Immune Cell Populations Following Infection with a Very Virulent plus MDV in Commercial Meat-Type Chickens. Viruses 2024, 16, 1092. [Google Scholar] [CrossRef] [PubMed]
- Payne, L.N. Pathological Responses to Infection. In Marek’s Disease; Chapter 7; Davison, G., Nair, V., Eds.; Elsevier: Oxford, UK, 2004; pp. 78–97. [Google Scholar]
- Gimeno, I.M.; Pandiri, A.R. Virus-Induced Immunosuppression: Marek’s Disease Virus Infection and Associated Syndromes. In Immunosuppresive Diseases of Poultry; Gimeno, I.M., Ed.; Servet-Group Asis: Zaragoza, Spain, 2013; pp. 124–152. [Google Scholar]
- Zheng, L.-P.; Teng, M.; Li, G.-X.; Zhang, W.-K.; Wang, W.-D.; Liu, J.-L.; Li, L.-Y.; Yao, Y.; Nair, V.; Luo, J. Current Epidemiology and Co-Infections of Avian Immunosuppressive and Neoplastic Diseases in Chicken Flocks in Central China. Viruses 2022, 14, 2599. [Google Scholar] [CrossRef] [PubMed]
- Teng, M.; Zheng, L.-P.; Li, H.-Z.; Ma, S.-M.; Zhu, Z.-J.; Chai, S.-J.; Yao, Y.; Nair, V.; Zhang, G.-P.; Luo, J. Pathogenicity and Pathotype Analysis of Henan Isolates of Marek’s Disease Virus Reveal Long-Term Circulation of Highly Virulent MDV Variant in China. Viruses 2022, 14, 1651. [Google Scholar] [CrossRef] [PubMed]
- Liu, J.-L.; Teng, M.; Zheng, L.-P.; Zhu, F.-X.; Ma, S.-X.; Li, L.-Y.; Zhang, Z.-H.; Chai, S.-J.; Yao, Y.; Luo, J. Emerging Hypervirulent Marek’s Disease Virus Variants Significantly Overcome Protection Conferred by Commercial Vaccines. Viruses 2023, 15, 1434. [Google Scholar] [CrossRef] [PubMed]
- Gimeno, I.M.; Schat, K.A. Virus-Induced Immunosuppression in Chickens. Avian Dis. 2018, 62, 272–285. [Google Scholar] [CrossRef] [PubMed]
- Faiz, N.M.; Cortes, A.L.; Guy, J.S.; Fletcher, O.J.; West, M.; Montiel, E.; Gimeno, I.M. Early Infection with Marek’s Disease Virus Can Jeopardize Protection Conferred by Laryngotracheitis Vaccines: A Method to Study MDV-Induced Immunosuppression. Avian Pathol. 2016, 45, 606–615. [Google Scholar] [CrossRef] [PubMed][Green Version]
- Faiz, N.M.; Cortes, A.L.; Guy, J.S.; Fogle, J.E.; Gimeno, I.M. Efficacy of Various Marek’s Disease Vaccines Protocols for Prevention of Marek’s Disease Virus-Induced Immunosuppression. Vaccine 2016, 34, 4180–4187. [Google Scholar] [CrossRef]
- Lee, L.F.; Kreager, K.S.; Arango, J.; Paraguassu, A.; Beckman, B.; Zhang, H.; Fadly, A.; Lupiani, B.; Reddy, S.M. Comparative Evaluation of Vaccine Efficacy of Recombinant Marek’s Disease Virus Vaccine Lacking Meq Oncogene in Commercial Chickens. Vaccine 2010, 28, 1294–1299. [Google Scholar] [CrossRef] [PubMed]
- Dunn, J.R.; Silva, R.F. Ability of MEQ-Deleted MDV Vaccine Candidates to Adversely Affect Lymphoid Organs and Chicken Weight Gain. Avian Dis. 2012, 56, 494–500. [Google Scholar] [CrossRef] [PubMed]
- Lupiani, B.; Lee, L.F.; Kreager, K.S.; Witter, R.L.; Reddy, S.M. Insertion of Reticuloendotheliosis Virus Long Terminal Repeat into the Genome of CVI988 Strain of Marek’s Disease Virus Results in Enhanced Growth and Protection. Avian Dis. 2013, 57, 427–431. [Google Scholar] [CrossRef] [PubMed]
- Pritchard, J.; Mebatsion, T.; Bublot, M. Modified Marek’s Disease Virus, and Vaccines Made Therefrom. U.S. Patent 11,510,978, 29 November 2022. [Google Scholar]
- Faiz, N.M.; Cortes, A.L.; Phang, Y.; Gimeno, I.M. Optimizing Protocols for Monitoring in Vivo Replication of a Novel Chimeric Marek’s Disease Vaccine with an Insertion of the Long Terminal Repeat of Reticuloendotheliosis Virus in the CVI988 Strain Genome (CVI-LTR). Avian Pathol. 2024, 53, 303–311. [Google Scholar] [CrossRef]
- Gimeno, I.M.; Witter, R.L.; Hunt, H.D.; Reddy, S.M.; Reed, W.M. Biocharacteristics Shared by Highly Protective Vaccines against Marek’s Disease. Avian Pathol. 2004, 33, 59–68. [Google Scholar] [CrossRef]
- Gimeno, I.M.; Cortes, A.L.; Reddy, S.M.; López de Juan Abad, B.; Käser, T.; Limsatanun, A. Highly Virulent Marek’s Disease Virus Strains Affect T Lymphocyte Function and Viability of Splenocytes in Commercial Meat-Type Chickens. Avian Pathol. 2019, 48, 564–572. [Google Scholar] [CrossRef] [PubMed]
- Witter, R.L.; Kreager, K.S. Serotype 1 Viruses Modified by Backpassage or Insertional Mutagenesis: Approaching the Threshold of Vaccine Efficacy in Marek’s Disease. Avian Dis. 2004, 48, 768–782. [Google Scholar] [CrossRef]
- Marty, E.W.; Winans, R.E. Immunizing Characteristics of a Tissue-Culture-Origin Modified Live-Virus Ocular Vaccine for Infectious Laryngotracheitis. Avian Dis. 1971, 15, 277–283. [Google Scholar] [CrossRef] [PubMed]
- Guy, J.S.; Barnes, H.J.; Munger, L.L.; Rose, L. Restriction Endonuclease Analysis of Infectious Laryngotracheitis Viruses: Comparison of Modified-Live Vaccine Viruses and North Carolina Field Isolates. Avian Dis. 1989, 33, 316–323. [Google Scholar] [CrossRef] [PubMed]
- Silva, R.F.; Dunn, J.R.; Cheng, H.H.; Niikura, M. A MEQ-Deleted Marek’s Disease Virus Cloned as a Bacterial Artificial Chromosome Is a Highly Efficacious Vaccine. Avian Dis. 2010, 54, 862–869. [Google Scholar] [CrossRef] [PubMed]
- Gimeno, I.M.; Cortes, A.L.; Silva, R.F. Load of Challenge Marek’s Disease Virus DNA in Blood as a Criterion for Early Diagnosis of Marek’s Disease Tumors. Avian Dis. 2008, 52, 203–208. [Google Scholar] [CrossRef] [PubMed]
- Pfaffl, M.W. A New Mathematical Model for Relative Quantification in Real-Time RT–PCR. Nucleic Acids Res. 2001, 29, e45. [Google Scholar] [CrossRef]
- Morimura, T.; Cho, K.O.; Kudo, Y.; Hiramoto, Y.; Ohashi, K.; Hattori, M.; Sugimoto, C.; Onuma, M. Anti-Viral and Anti-Tumor Effects Induced by an Attenuated Marek’s Disease Virus in CD4-or CD8-Deficient Chickens. Arch. Virol. 1999, 144, 1809–1818. [Google Scholar] [CrossRef] [PubMed]
- Schat, K.A. Marek’s Disease: A Model for Protection against Herpesvirus-Induced Tumours. Cancer Surv. 1987, 6, 1–37. [Google Scholar] [PubMed]
- Morimura, T.; Ohashi, K.; Sugimoto, C.; Onuma, M. Pathogenesis of Marek’s Disease (MD) and Possible Mechanisms of Immunity Induced by MD Vaccine. J. Vet. Med. Sci. 1998, 60, 1–8. [Google Scholar] [CrossRef] [PubMed]
- Islam, T.; Walkden Brown, S.W.; Renz, K.G.; Fakhrul Islam, A.F.M.; Ralapanawe, S. Vaccination-Challenge Interval Markedly Influences Protection Provided by Rispens CVI988 Vaccine against Very Virulent Marek’s Disease Virus Challenge. Avian Pathol. 2013, 42, 516–526. [Google Scholar] [CrossRef]
- Shek, W.R.; Calnek, B.W.; Schat, K.A.; Chen, C.H. Characterization of Marek’s Disease Virus-Infected Lymphocytes: Discrimination between Cytolytically and Latently Infected Cells. J. Natl. Cancer Inst. 1983, 70, 485–491. [Google Scholar]
- Schat, K.A.; Chen, C.-L.H.; Shek, W.R.; Calnek, B.W. Surface Antigens on Marek’s Disease Lymphoblastoid Tumor Cell Lines23. JNCIJ. Natl. Cancer Inst. 1982, 69, 715–720. [Google Scholar] [CrossRef]
- Lee, S.-I.; Ohashi, K.; Morimura, T.; Sugimoto, C.; Onuma, M. Re-Isolation of Marek’s Disease Virus from T Cell Subsets of Vaccinated and Non-Vaccinated Chickens. Arch. Virol. 1999, 144, 45–54. [Google Scholar] [CrossRef]
- Schat, K.A.; Chen, C.L.; Calnek, B.W.; Char, D. Transformation of T-Lymphocyte Subsets by Marek’s Disease Herpesvirus. J. Virol. 1991, 65, 1408–1413. [Google Scholar] [CrossRef] [PubMed]
- Novy, P.; Quigley, M.; Huang, X.; Yang, Y. CD4 T Cells Are Required for CD8 T Cell Survival during Both Primary and Memory Recall Responses. J. Immunol. 2007, 179, 8243–8251. [Google Scholar] [CrossRef]
- Matsuyama-Kato, A.; Iseki, H.; Boodhoo, N.; Bavananthasivam, J.; Alqazlan, N.; Abdul-Careem, M.F.; Plattner, B.L.; Behboudi, S.; Sharif, S. Phenotypic Characterization of Gamma Delta (Γδ) T Cells in Chickens Infected with or Vaccinated against Marek’s Disease Virus. Virology 2022, 568, 115–125. [Google Scholar] [CrossRef]
- Matsuyama-Kato, A.; Shojadoost, B.; Boodhoo, N.; Raj, S.; Alizadeh, M.; Fazel, F.; Fletcher, C.; Zheng, J.; Gupta, B.; Abdul-Careem, M.F.; et al. Activated Chicken Gamma Delta T Cells Are Involved in Protective Immunity against Marek’s Disease. Viruses 2023, 15, 285. [Google Scholar] [CrossRef] [PubMed]
- Hao, X.; Li, S.; Li, J.; Yang, Y.; Qin, A. An Anti-Tumor Vaccine Against Marek’s Disease Virus Induces Differential Activation and Memory Response of Γδ T Cells and CD8 T Cells in Chickens. Front. Immunol. 2021, 12, 645426. [Google Scholar] [CrossRef] [PubMed]
- Sabsabi, M.A.; Kheimar, A.; You, Y.; von La Roche, D.; Härtle, S.; Göbel, T.W.; von Heyl, T.; Schusser, B.; Kaufer, B.B. Unraveling the Role of Γδ T Cells in the Pathogenesis of an Oncogenic Avian Herpesvirus. mBio 2024, 15, e00315-24. [Google Scholar] [CrossRef]
- Schat, K.A.; Kaspers, B.; Kaiser, P. Avian Immunology; Elsevier: Philadelphia, PA, USA, 2014; ISBN 0123969654. [Google Scholar]
- Barrow, A.D.; Burgess, S.C.; Baigent, S.J.; Howes, K.; Nair, V.K. Infection of Macrophages by a Lymphotropic Herpesvirus: A New Tropism for Marek’s Disease Virus. J. Gen. Virol. 2003, 84, 2635–2645. [Google Scholar] [CrossRef] [PubMed]
- Djeraba, A.; Bernardet, N.; Dambrine, G.; Quéré, P. Nitric Oxide Inhibits Marek’s Disease Virus Replication but Is Not the Single Decisive Factor in Interferon-γ-Mediated Viral Inhibition. Virology 2000, 277, 58–65. [Google Scholar] [CrossRef] [PubMed]
- Kodama, H.; Mikami, T.; Inoue, M.; Izawa, H. Inhibitory Effects of Macrophages against Marek’s Disease Virus Plaque Formation in Chicken Kidney Cell Cultures. J. Natl. Cancer Inst. 1979, 63, 1267–1271. [Google Scholar] [PubMed]
- Chakraborty, P.; Kuo, R.; Vervelde, L.; Dutia, B.M.; Kaiser, P.; Smith, J. Macrophages from Susceptible and Resistant Chicken Lines Have Different Transcriptomes Following Marek’s Disease Virus Infection. Genes 2019, 10, 74. [Google Scholar] [CrossRef] [PubMed]
- Mitchell, R.A.; Liao, H.; Chesney, J.; Fingerle-Rowson, G.; Baugh, J.; David, J.; Bucala, R. Macrophage Migration Inhibitory Factor (MIF) Sustains Macrophage Proinflammatory Function by Inhibiting P53: Regulatory Role in the Innate Immune Response. Proc. Natl. Acad. Sci. USA 2002, 99, 345–350. [Google Scholar] [CrossRef] [PubMed]
- Zhu, Z.J.; Teng, M.; Liu, Y.; Chen, F.J.; Yao, Y.; Li, E.Z.; Luo, J. Immune Escape of Avian Oncogenic Marek’s Disease Herpesvirus and Antagonistic Host Immune Responses. NPJ Vaccines 2024, 9, 109. [Google Scholar] [CrossRef]
- Hearn, C.; Preeyanon, L.; Hunt, H.D.; York, I.A. An MHC Class I Immune Evasion Gene of Marek’s Disease Virus. Virology 2015, 475, 88–95. [Google Scholar] [CrossRef] [PubMed]
- Hunt, H.D.; Lupiani, B.; Miller, M.M.; Gimeno, I.; Lee, L.F.; Parcells, M.S. Marek’s Disease Virus down-Regulates Surface Expression of MHC (B Complex) Class I (BF) Glycoproteins during Active but Not Latent Infection of Chicken Cells. Virology 2001, 282, 198–205. [Google Scholar] [CrossRef] [PubMed]
- Kim, T.; Hunt, H.D.; Parcells, M.S.; van Santen, V.; Ewald, S.J. Two Class I Genes of the Chicken MHC Have Different Functions: BF1 Is Recognized by NK Cells While BF2 Is Recognized by CTLs. Immunogenetics 2018, 70, 599–611. [Google Scholar] [CrossRef] [PubMed]








Disclaimer/Publisher’s Note: The statements, opinions and data contained in all publications are solely those of the individual author(s) and contributor(s) and not of MDPI and/or the editor(s). MDPI and/or the editor(s) disclaim responsibility for any injury to people or property resulting from any ideas, methods, instructions or products referred to in the content. |
© 2025 by the authors. Licensee MDPI, Basel, Switzerland. This article is an open access article distributed under the terms and conditions of the Creative Commons Attribution (CC BY) license (https://creativecommons.org/licenses/by/4.0/).
Share and Cite
Khaled, N.; Gaghan, C.; Fares, A.M.; Goodell, C.; Stanley, W.; Kulkarni, R.R.; Gimeno, I.M. Protection Conferred by Gallid Alphaherpesvirus 2 Vaccines Against Immunosuppression Induced by Very Virulent Plus (vv+) Marek’s Disease Virus Strains in Commercial Meat Type Chickens. Pathogens 2025, 14, 54. https://doi.org/10.3390/pathogens14010054
Khaled N, Gaghan C, Fares AM, Goodell C, Stanley W, Kulkarni RR, Gimeno IM. Protection Conferred by Gallid Alphaherpesvirus 2 Vaccines Against Immunosuppression Induced by Very Virulent Plus (vv+) Marek’s Disease Virus Strains in Commercial Meat Type Chickens. Pathogens. 2025; 14(1):54. https://doi.org/10.3390/pathogens14010054
Chicago/Turabian StyleKhaled, Nagwa, Carissa Gaghan, Abdelhamid M. Fares, Christa Goodell, William Stanley, Raveendra R. Kulkarni, and Isabel M. Gimeno. 2025. "Protection Conferred by Gallid Alphaherpesvirus 2 Vaccines Against Immunosuppression Induced by Very Virulent Plus (vv+) Marek’s Disease Virus Strains in Commercial Meat Type Chickens" Pathogens 14, no. 1: 54. https://doi.org/10.3390/pathogens14010054
APA StyleKhaled, N., Gaghan, C., Fares, A. M., Goodell, C., Stanley, W., Kulkarni, R. R., & Gimeno, I. M. (2025). Protection Conferred by Gallid Alphaherpesvirus 2 Vaccines Against Immunosuppression Induced by Very Virulent Plus (vv+) Marek’s Disease Virus Strains in Commercial Meat Type Chickens. Pathogens, 14(1), 54. https://doi.org/10.3390/pathogens14010054

