Comparison of Two Field Deployable PCR Platforms for SARS-CoV-2 and Influenza A and B Viruses’ Detection †
Abstract
1. Introduction
2. Materials and Methods
2.1. Clinical Samples
2.2. Ribonucleic Acid (RNA) Extraction
2.3. Limit of Detection (LoD) Experiments
2.4. Platform Comparisons
2.5. Statistical Analysis
3. Results
3.1. Flow Chart of Study Design
3.2. Participant Demographics
3.3. CLIA Testing of the NP Swabs at the Time of Sample Collection
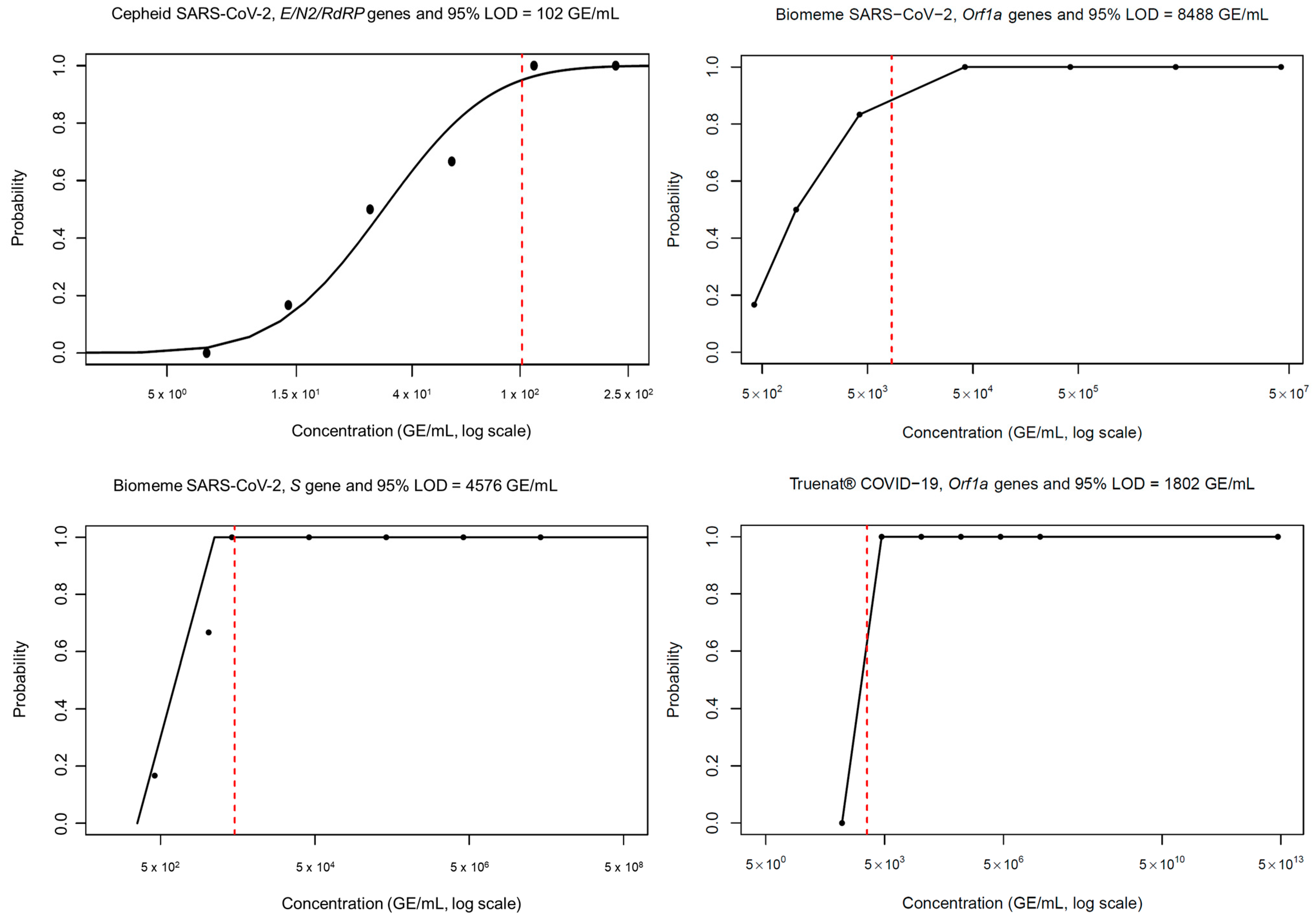
3.4. Limit of Detection
3.5. Comparative Testing Between Truenat and Biomeme and CLIA Testing Platforms
3.6. Agreement Between Diagnostic Platforms
4. Discussion
5. Conclusions
Supplementary Materials
Author Contributions
Funding
Institutional Review Board Statement
Informed Consent Statement
Data Availability Statement
Conflicts of Interest
References
- Huang, G.; Guo, F. Loss of life expectancy due to respiratory infectious diseases: Findings from the global burden of disease study in 195 countries and territories 1990–2017. J. Popul. Res. 2022, 39, 1–43. [Google Scholar] [CrossRef] [PubMed]
- Gónzalez-Bandala, D.A.; Cuevas-Tello, J.C.; Noyola, D.E.; Comas-García, A.; García-Sepúlveda, C.A. Computational Forecasting Methodology for Acute Respiratory Infectious Disease Dynamics. Int. J. Environ. Res. Public Health 2020, 17, 4540. [Google Scholar] [CrossRef] [PubMed]
- The Military Health System. Medical Surveillance Monthly Report; The Military Health System: Falls Church, VA, USA, 2022; Volume 29, Number 6. [Google Scholar]
- Korzeniewski, K.; Nitsch-Osuch, A.; Chciałowski, A.; Korsak, J. Environmental factors, immune changes and respiratory diseases in troops during military activities. Respir. Physiol. Neurobiol. 2013, 187, 118–122. [Google Scholar] [CrossRef]
- Ryan, M.A.; Christian, R.S.; Wohlrabe, J. Handwashing and respiratory illness among young adults in military training. Am. J. Prev. Med. 2001, 21, 79–83. [Google Scholar] [CrossRef] [PubMed]
- Lange, J.L.; Campbell, K.E.; Brundage, J.F. Respiratory illnesses in relation to military assignments in the Mojave Desert: Retrospective surveillance over a 10-year period. Mil. Med. 2003, 168, 1039–1043. [Google Scholar] [CrossRef] [PubMed][Green Version]
- Sanchez, J.L.; Cooper, M.J.; Myers, C.A.; Cummings, J.F.; Vest, K.G.; Russell, K.L.; Sanchez, J.L.; Hiser, M.J.; Gaydos, C.A. Respiratory Infections in the U.S. Military: Recent Experience and Control. Clin. Microbiol. Rev. 2015, 28, 743–800. [Google Scholar] [CrossRef]
- Korzeniewski, K.; Nitsch-Osuch, A.; Konior, M.; Lass, A. Respiratory tract infections in the military environment. Respir. Physiol. Neurobiol. 2015, 209, 76–80. [Google Scholar] [CrossRef] [PubMed]
- Kwaah, B.; Gruner, W.E.; DeMarcus, L.S.; Thervil, J.W.; Jenkins, W.N.; Castillo, F.M.; Hartless, T.R.; Heh, V.K.; Muehleman, D.; Fries, A.C.; et al. Surveillance outcomes of respiratory pathogen infections during the 2021–2022 season among U.S. Military Health System beneficiaries, 3 October 2021–1 October 2022. Med. Surveill. Mon. Rep. 2024, 31, 16–23. [Google Scholar]
- Harrington, W.N.; Kackos, C.M.; Webby, R.J. The evolution and future of influenza pandemic preparedness. Exp. Mol. Med. 2021, 53, 737–749. [Google Scholar] [CrossRef]
- Chow, E.J.; Rolfes, M.A.; O’halloran, A.; Alden, N.B.; Anderson, E.J.; Bennett, N.M.; Billing, L.; Dufort, E.; Kirley, P.D.; George, A.; et al. Respiratory and Nonrespiratory Diagnoses Associated with Influenza in Hospitalized Adults. JAMA Netw. Open 2020, 3, e201323. [Google Scholar] [CrossRef]
- Fowlkes, A.L.; Nogareda, F.; Regan, A.; Loayza, S.; Mancio, J.M.; Duca, L.M.; Couto, P.; Leite, J.; Rodriguez, A.; Salas, D.; et al. Interim Effectiveness Estimates of 2023 Southern Hemisphere Influenza Vaccines in Preventing Influenza-Associated Hospitalizations—REVELAC-i Network, March–July 2023. MMWR Morb. Mortal. Wkly. Rep. 2023, 72, 1010–1015. [Google Scholar] [CrossRef] [PubMed]
- Available online: https://www.worldometers.info/coronavirus/ (accessed on 16 September 2024).
- Elezkurtaj, S.; Greuel, S.; Ihlow, J.; Michaelis, E.G.; Bischoff, P.; Kunze, C.A.; Sinn, B.V.; Gerhold, M.; Hauptmann, K.; Ingold-Heppner, B.; et al. Causes of death and comorbidities in hospitalized patients with COVID-19. Sci. Rep. 2021, 11, 4263. [Google Scholar] [CrossRef] [PubMed]
- Tanii, R.; Harada, S.; Saito, H.; Okamoto, K.; Doi, Y.; Suzuki, M. A case report of fatal COVID-19 complicated by rapidly progressive sepsis caused by Klebsiella variicola. BMC Infect. Dis. 2023, 23, 184. [Google Scholar] [CrossRef]
- Ketcham, S.W.; Bolig, T.C.; Molling, D.J.; Sjoding, M.W.; Flanders, S.A.; Prescott, H.C. Causes and Circumstances of Death among Patients Hospitalized with COVID-19, A Retrospective Cohort Study. Ann. Am. Thorac. Soc. 2021, 18, 1076–1079. [Google Scholar] [CrossRef]
- Faes, C.; Abrams, S.; Van Beckhoven, D.; Meyfroidt, G.; Vlieghe, E.; Hens, N.; Belgian Collaborative Group on COVID-19 Hospital Surveillance. Time Between Symptom Onset, Hospitalisation and Recovery or Death: Statistical Analysis of Belgian COVID-19 Patients. Int. J. Environ. Res. Public Health 2020, 17, 7560. [Google Scholar] [CrossRef] [PubMed]
- Jackson, C.H.; Grosso, F.; Kunzmann, K.; Corbella, A.; Gramegna, M.; Tirani, M.; Castaldi, S.; Cereda, D.; De Angelis, D.; Presanis, A. Trends in outcomes following COVID-19 symptom onset in Milan: A cohort study. BMJ Open 2022, 12, e054859. [Google Scholar] [CrossRef] [PubMed]
- Voelker, C.R.; Ochoa, A.R.; Lott, L.; McDaniel, J.S.; Blackburn, A.N.; Cornell, L.E.; Mahoney, R.; Asin, S.N. Evaluating sensitivity and specificity of the Biomeme Franklin™ three9 real-time PCR device and SARS-CoV-2 go-strips assay using clinical samples. J. Clin. Virol. 2022, 146, 105046. [Google Scholar] [CrossRef] [PubMed]
- Gibani, M.M.; Toumazou, C.; Sohbati, M.; Sahoo, R.; Karvela, M.; Hon, T.K.; De Mateo, S.; Burdett, A.; Leung, K.F.; Barnett, J.; et al. Assessing a novel, lab-free, point-of-care test for SARS-CoV-2 (CovidNudge): A diagnostic accur. Lancet Microbe 2020, 1, e300–e307. [Google Scholar] [CrossRef] [PubMed]
- Basawarajappa, S.G.; Rangaiah, A.; Padukone, S.; Yadav, P.D.; Gupta, N.; Shankar, S.M. Performance evaluation of Truenat™ Beta CoV & Truenat™ SARS-CoV-2 point-of-care assays for coronavirus disease 2019. Indian J. Med. Res. 2021, 153, 144–150. [Google Scholar]
- Available online: https://www.who.int/publications/m/item/covid-19-target-product-profiles-for (accessed on 11 October 2024).
- Johnson, G.; Zubrzycki, A.; Henry, M.; Ranadheera, C.; Corbett, C.; Meyers, A.F.; Sandstrom, P.A.; Becker, M.G. Clinical evaluation of the GeneXpert® Xpert® Xpress SARS-CoV-2/Flu/RSV combination test. J. Clin. Virol. Plus 2021, 1, 100014. [Google Scholar] [CrossRef] [PubMed]
- Ghoshal, U.; Garg, A.; Vasanth, S.; Arya, A.K.; Pandey, A.; Tejan, N.; Patel, V.; Singh, V.P. Assessing a chip based rapid RTPCR test for SARS CoV-2 detection (TrueNat assay): A diagnostic accuracy study. PLoS ONE 2021, 16, e0257834. [Google Scholar] [CrossRef] [PubMed]
- McHugh, M.L. Interrater reliability: The kappa statistic. Biochem. Medica 2012, 22, 276–282. [Google Scholar] [CrossRef]
- Landis, J.R.; Koch, G.G. The measurement of observer agreement for categorical data. Biometrics 1977, 33, 159–174. [Google Scholar] [CrossRef] [PubMed]
- McNemar, Q. Note on the sampling error of the difference between correlated proportions or percentages. Psychometrika 1947, 12, 153–157. [Google Scholar] [CrossRef]
- Carter, L.J.; Garner, L.V.; Smoot, J.W.; Li, Y.; Zhou, Q.; Saveson, C.J.; Sasso, J.M.; Gregg, A.C.; Soares, D.J.; Beskid, T.R.; et al. Assay Techniques and Test Development for COVID-19 Diagnosis. ACS Cent. Sci. 2020, 6, 591–605. [Google Scholar] [CrossRef]
- Leung, E.C.M.; Chow, V.C.Y.; Lee, M.K.P.; Tang, K.P.S.; Li, D.K.C.; Lai, R.W.M. Evaluation of the Xpert Xpress SARS-CoV-2/Flu/RSV Assay for Simultaneous Detection of SARS-CoV-2, Influenza A and B Viruses, and Respiratory Syncytial Virus in Nasopharyngeal Specimens. J. Clin. Microbiol. 2021, 59, e02965-20. [Google Scholar] [CrossRef] [PubMed]
- Cao, X.J.; Fang, K.Y.; Li, Y.P.; Zhou, J.; Guo, X.G. The Diagnostic Accuracy of Xpert Xpress to SARS-CoV-2: A systematic review. J. Virol. Methods 2022, 301, 114460. [Google Scholar] [CrossRef]
- US Food and Drug Administration. Statistical Guidance on Reporting Results from Studies Evaluating Diagnostic Tests—Guidance for Industry and FDA Staff; U.S. Food and Drug Administration: Silver Spring, MD, USA, 2007; pp. 1–36.
- U.S. Food and Drug Administration. Potential for False Results with Roche Molecular Systems, Inc. Cobas SARS-CoV-2 & Influenza Test for Use on Obas Liat System-Letter to Clinical Laboratory Staff, and Health Care Providers; US Food and Drug Ad-ministration: Silver Spring, MD, USA, 2021.
- Blackall, D.; Moreno, R.; Jin, J.; Plotinsky, R.; Dworkin, R.; Oethinger, M. Performance Characteristics of the Roche Diagnostics cobas Liat PCR System as a COVID-19 Screening Tool for Hospital Admissions in a Regional Health Care Delivery System. J. Clin. Microbiol. 2021, 59, e0127821. [Google Scholar] [CrossRef] [PubMed]
- Hansen, G.; Marino, J.; Wang, Z.X.; Beavis, K.G.; Rodrigo, J.; Labog, K.; Westblade, L.F.; Jin, R.; Love, N.; Ding, K.; et al. Clinical Performance of the Point-of-Care cobas Liat for Detection of SARS-CoV-2 in 20 Minutes: A Multicenter Study. J. Clin. Microbiol. 2021, 59, e02811-20. [Google Scholar] [CrossRef]
- Harrington, A.; Cox, B.; Snowdon, J.; Bakst, J.; Ley, E.; Grajales, P.; Maggiore, J.; Kahn, S. Comparison of Abbott ID Now and Abbott m2000 Methods for the Detection of SARS-CoV-2 from Nasopharyngeal and Nasal Swabs from Symptomatic Patients. J. Clin. Microbiol. 2020, 58, e00798-20. [Google Scholar] [CrossRef]
- Smithgall, M.C.; Scherberkova, I.; Whittier, S.; Green, D.A. Comparison of Cepheid Xpert Xpress and Abbott ID Now to Roche cobas for the Rapid Detection of SARS-CoV-2. J. Clin. Virol. 2020, 128, 104428. [Google Scholar] [CrossRef] [PubMed]
- Paul, R.; Ostermann, E.; Wei, Q. Advances in point-of-care nucleic acid extraction technologies for rapid diagnosis of human and plant diseases. Biosens. Bioelectron. 2020, 169, 112592. [Google Scholar] [CrossRef] [PubMed]
- Clark, T.W.; Beard, K.R.; Brendish, N.J.; Malachira, A.K.; Mills, S.; Chan, C.; Poole, S.; Ewings, S.; Cortes, N.; Nyimbili, E.; et al. Clinical impact of a routine, molecular, point-of-care, test-and-treat strategy for influenza in adults admitted to hospital (FluPOC): A multicentre, open-label, randomised controlled trial. Lancet Respir. Med. 2021, 9, 419–429. [Google Scholar] [CrossRef] [PubMed]
- Rogan, D.T.; Kochar, M.S.; Yang, S.; Quinn, J.V. Impact of Rapid Molecular Respiratory Virus Testing on Real-Time Decision Making in a Pediatric Emergency Department. J. Mol. Diagn. 2017, 19, 460–467. [Google Scholar] [CrossRef] [PubMed]
- Hom, N.; Gentles, L.; Bloom, J.D.; Lee, K.K. Deep Mutational Scan of the Highly Conserved Influenza A Virus M1 Matrix Protein Reveals Substantial Intrinsic Mutational Tolerance. J. Virol. 2019, 93, e00161-19. [Google Scholar] [CrossRef] [PubMed]
- Drexler, J.F.; Helmer, A.; Kirberg, H.; Reber, U.; Panning, M.; Müller, M.; Höfling, K.; Matz, B.; Drosten, C.; Eis-Hübinger, A.M. Poor clinical sensitivity of rapid antigen test for influenza A pandemic (H1N1) 2009 virus. Emerg. Infect. Dis. 2009, 15, 1662–1664. [Google Scholar] [CrossRef]
- Stellrecht, K.A.; Nattanmai, S.M.; Butt, J.; Maceira, V.P.; Espino, A.A.; Castro, A.J.; Landes, A.; Dresser, N.; Butt, S.A. Effect of genomic drift of influenza PCR tests. J. Clin. Virol. 2017, 93, 25–29. [Google Scholar] [CrossRef]
- Busson, L.; Hallin, M.; Thomas, I.; De Foor, M.; Vandenberg, O. Evaluation of 3 rapid influenza diagnostic tests during the 2012–2013 epidemic: Influences of subtype and viral load. Diagn. Microbiol. Infect. Dis. 2014, 80, 287–291. [Google Scholar] [CrossRef]
- Yang, J.R.; Kuo, C.Y.; Huang, H.Y.; Wu, F.T.; Huang, Y.L.; Cheng, C.Y.; Su, Y.T.; Chang, F.Y.; Wu, H.S.; Liu, M.T. Newly emerging mutations in the matrix genes of the human influenza A(H1N1)pdm09 and A(H3N2) viruses reduce the detection sensitivity of real-time reverse transcription-PCR. J. Clin. Microbiol. 2014, 52, 76–82. [Google Scholar] [CrossRef]
- WHO. Zoonotic Flu: Influenza Viruses at the Human–Animal Interface. 2021. Available online: https://www.euro.who.int/en/health-topics/communicable-diseases/influenza/zoonotic-influenza (accessed on 16 September 2024).
- Sanchez, A.O.; Ochoa, A.R.; Hall, S.L.; Voelker, C.R.; Mahoney, R.E.; McDaniel, J.S.; Blackburn, A.; Asin, S.N.; Yuan, T.T. Comparison of next generation diagnostic systems (NGDS) for the detection of SARS-CoV-2. J. Clin. Lab. Anal. 2022, 36, e24285. [Google Scholar] [CrossRef] [PubMed]
- Jensen, C.B.; Vest Schneider, U.; Madsen, T.V.; Nielsen, X.C.; Ma, C.M.G.; Severinsen, J.K.; Hoegh, A.M.; Botnen, A.B.; Trebbien, R.; Lisby, J.G. Evaluation of the analytical and clinical performance of two RT-PCR based point-of-care tests; Cepheid Xpert® Xpress CoV-2/Flu/RSV plus and SD BioSensor STANDARD™ M10 Flu/RSV/SARS-CoV-2. J. Clin. Virol. 2024, 172, 105674. [Google Scholar] [CrossRef] [PubMed]



| All Patients | Influenza Cohort | SARS-CoV-2 Cohort | Negative Cohort | |
|---|---|---|---|---|
| Number of participants | 394 | 236 | 102 | 56 |
| Age Mean (SD) | 27 (21) | 14 (19) | 43 (14) | 49 (14) |
| Min | 0 | 0 | 20 | 20 |
| Max | 94 | 94 | 80 | 71 |
| Hispanic (%) | 125 (79) | ND | 77 (75) | 48 (86) |
| Caucasian (%) | 33 (21) | ND | 25 (25) | 8 (14) |
| Male (%) | 166 (47) | 96 (49) | 48 (47) | 22 (39) |
| Female (%) | 189 (53) | 101 (51) | 54 (53) | 34 (61) |
| Infulenza Cohort | SARS-CoV-2 Cohort | Negative Cohort | |
|---|---|---|---|
| Number of participants diagnosed with Multiplex RT-PCR (%) | 162 (84) | 102 (100) | 57 (100) |
| -----Roche Cobas | 71 (44) | not provided | not provided |
| -----Cepheid’s GeneXpert | 36 (22) | not provided | not provided |
| -----Biofire Torch | 32 (20) | not provided | not provided |
| -----Diasorin Integranted Cycler | 21 (13) | not provided | not provided |
| -----Genmark ePlex | 2 (1) | not provided | not provided |
| Number of participants diagnosed with Immunoassay (%) | 32 (16) | - | - |
| -----Manual/Meridian kit | 23 (72) | - | - |
| -----Luminex MagPix | 9 (28) | - | - |
| A | CLIA Test | ||||||
| SARS-CoV-2 | Influenza | ||||||
| Positive | Negative | Total | Positive | Negative | Total | ||
| Biomeme | Positive | 90 | 0 | 90 | 115 | 5 | 120 |
| Negative | 12 | 56 | 68 | 117 | 51 | 168 | |
| Total | 102 | 56 | 158 | 232 | 56 | 288 | |
| Overall rates of agreement | 92.41% | 57.64% | |||||
| PPA | 88.24% | 49.57% | |||||
| NPA | 100.00% | 91.07% | |||||
| B | CLIA Test | ||||||
| SARS-CoV-2 | Influenza | ||||||
| Positive | Negative | Total | Positive | Negative | Total | ||
| MolBio | Positive | 73 | 0 | 73 | 186 | 0 | 186 |
| Negative | 29 | 56 | 85 | 45 | 43 | 88 | |
| Total | 102 | 56 | 158 | 231 | 43 | 274 | |
| Overall rates of agreement | 81.56% | 83.58% | |||||
| PPA | 71.57% | 80.52% | |||||
| NPA | 100.00% | 91.07% | |||||
| Cohen’s Kappa (p-Value) | McNemar’s Test p-Value | ||
|---|---|---|---|
| SARS-CoV-2 | Biomeme and CLIA | 0.8417 (7.229 × 10−84) | 0.001496 |
| Truenat® and CLIA | 0.5647 (3.944 × 10−26) | 5.41 × 10−11 | |
| Biomeme and Truenat® | 0.7665 (9.614 × 10−55) | 2.42 × 10−4 | |
| Influenza A | Biomeme and CLIA | 0.2311 (1.244 × 10−9) | 2.2 × 10−16 |
| Truenat® and CLIA | 0.6409 (4.439 × 10−30) | 1.999 × 10−7 | |
| Biomeme and Truenat® | 0.3808 (3.686 × 10−15) | 4.238 × 10−12 |
Disclaimer/Publisher’s Note: The statements, opinions and data contained in all publications are solely those of the individual author(s) and contributor(s) and not of MDPI and/or the editor(s). MDPI and/or the editor(s) disclaim responsibility for any injury to people or property resulting from any ideas, methods, instructions or products referred to in the content. |
© 2025 by the authors. Licensee MDPI, Basel, Switzerland. This article is an open access article distributed under the terms and conditions of the Creative Commons Attribution (CC BY) license (https://creativecommons.org/licenses/by/4.0/).
Share and Cite
Bouamar, H.; Reed, G.M.; Lyon, W.; Lopez, H.; Ochoa, A.; Asin, S.N. Comparison of Two Field Deployable PCR Platforms for SARS-CoV-2 and Influenza A and B Viruses’ Detection. Pathogens 2025, 14, 27. https://doi.org/10.3390/pathogens14010027
Bouamar H, Reed GM, Lyon W, Lopez H, Ochoa A, Asin SN. Comparison of Two Field Deployable PCR Platforms for SARS-CoV-2 and Influenza A and B Viruses’ Detection. Pathogens. 2025; 14(1):27. https://doi.org/10.3390/pathogens14010027
Chicago/Turabian StyleBouamar, Hakim, Grace M. Reed, Wanda Lyon, Hector Lopez, Anna Ochoa, and Susana N. Asin. 2025. "Comparison of Two Field Deployable PCR Platforms for SARS-CoV-2 and Influenza A and B Viruses’ Detection" Pathogens 14, no. 1: 27. https://doi.org/10.3390/pathogens14010027
APA StyleBouamar, H., Reed, G. M., Lyon, W., Lopez, H., Ochoa, A., & Asin, S. N. (2025). Comparison of Two Field Deployable PCR Platforms for SARS-CoV-2 and Influenza A and B Viruses’ Detection. Pathogens, 14(1), 27. https://doi.org/10.3390/pathogens14010027

