Persistence of Leptospira borgpetersenii Serovar Hardjo in Refrigerated Raw Milk: A Transmission Risk of Leptospirosis to Humans
Abstract
1. Introduction
2. Results
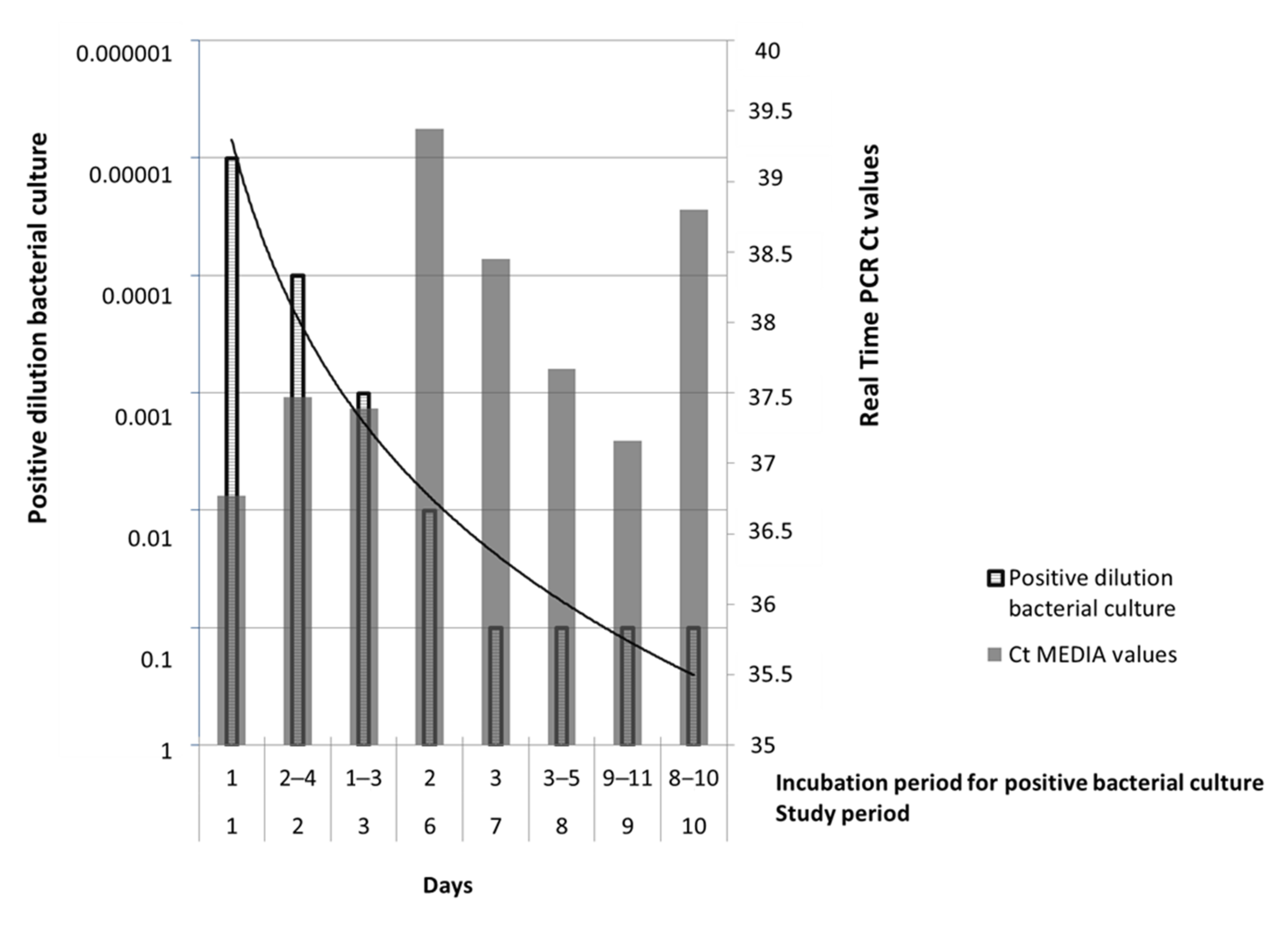
2.1. Bacterial Culture Test
2.2. Real-Time PCR Analysis
3. Discussion
4. Materials and Methods
4.1. Bacterial Strain and Culture Media
4.2. Raw Milk Samples Spiking
4.3. Laboratory Analyses
4.3.1. Culture Evaluation
4.3.2. Molecular Investigation
Sample Setting and DNA Extraction
Qualitative Real-Time PCR Analyses
5. Conclusions
Author Contributions
Funding
Institutional Review Board Statement
Informed Consent Statement
Data Availability Statement
Conflicts of Interest
References
- Chander, S.; Penta, A.; Murugesan, S. Structure-based virtual screening and docking studies for the identification of novel inhibitors against wild and drug resistance strains of HIV-1 RT. Med. Chem. Res. 2014, 24, 1869–1883. [Google Scholar] [CrossRef]
- Levett, P.N. Leptospirosis. Clin. Microbiol. Rev. 2001, 14, 296–326. [Google Scholar] [CrossRef] [PubMed]
- Lau, C.; Smythe, L.; Weinstein, P. Leptospirosis: An emerging disease in travellers. Travel Med. Infect. Dis. 2010, 8, 33–39. [Google Scholar] [CrossRef]
- Sejvar, J.; Bancroft, E.; Winthrop, K.; Bettinger, J.; Bajani, M.; Bragg, S.; Shutt, K.; Kaiser, R.; Marano, N.; Popovic, T.; et al. Leptospirosis in “Eco-Challenge” Athletes, Malaysian Borneo. Emerg. Infect. Dis. 2000, 9, 702–707. [Google Scholar] [CrossRef] [PubMed]
- Costa, F.; Hagan, J.E.; Calcagno, J.; Kane, M.; Torgerson, P.; Martinez-Silveira, M.S.; Stein, C.; Abela-Ridder, B.; Ko, A.I. Global Morbidity and Mortality of Leptospirosis: A Systematic Review. PLoS Negl. Trop. Dis. 2015, 9, e0003898. [Google Scholar] [CrossRef] [PubMed]
- Pappas, G.; Papadimitriou, P.; Siozopoulou, V.; Christou, L.; Akritidis, N. The globalization of leptospirosis: Worldwide incidence trends. Int. J. Infect. Dis. 2008, 12, 351–357. [Google Scholar] [CrossRef]
- Ko, A.I.; Goarant, C.; Picardeau, M. Leptospira: The dawn of the molecular genetics era for an emerging zoonotic pathogen. Nat. Rev. Microbiol. 2009, 7, 736–747. [Google Scholar] [CrossRef]
- Haake, D.A.; Levett, P.N. Leptospirosis in Humans. Curr. Top. Microbiol. Immunol. 2015, 387, 65–97. [Google Scholar] [CrossRef]
- Lilenbaum, W.; Martins, G. Leptospirosis in Cattle: A Challenging Scenario for the Understanding of the Epidemiology. Transbound. Emerg. Dis. 2014, 61, 63–68. [Google Scholar] [CrossRef]
- Ellis, W.A.; Michno, S.W. Bovine leptospirosis: A serological and clinical study. Vet. Rec. 1976, 99, 387–391. [Google Scholar] [CrossRef]
- Bolin, C.A.; Koellner, P. Human-to-Human Transmission of Leptospira interrogans by Milk. J. Infect. Dis. 1988, 158, 246–247. [Google Scholar] [CrossRef]
- Hanson, L.A.; Zahn, E.A.; Wild, S.R.; Döpfer, D.; Scott, J.; Stein, C. Estimating global mortality from potentially foodborne diseases: An analysis using vital registration data. Popul. Health Metr. 2012, 10, 5. [Google Scholar] [CrossRef]
- Committee on Infectious Diseases; Committee on Nutrition; Brady, M.T.; Byington, C.L.; Dele Davies, H.; Edwards, K.M.; Glode, M.P.; Jackson, M.A.; Keyserling, H.L.; Murray, D.L.; et al. Consumption of Raw or Unpasteurized Milk and Milk Products by Pregnant Women and Children. Pediatrics 2014, 133, 175–179. [Google Scholar] [CrossRef]
- Babaoglu, U.T.; Ogutucu, H.; Demir, G.; Sanli, D.; Babaoglu, A.B.; Oymak, S. Prevalence of Brucella in raw milk: An example from Turkey. Niger. J. Clin. Pr. 2018, 21, 907–911. [Google Scholar]
- Lucey, J.A. Raw Milk Consumption. Nutr. Today 2015, 50, 189–193. [Google Scholar] [CrossRef]
- Olivier, S.P.; Jayarao, B.M.; Almeida, R.A. Foodborne pathogens in milk and the dairy farm environment: Food safety and public health implications. Foodborne Pathog. Dis. 2005, 2, 115–137. [Google Scholar] [CrossRef] [PubMed]
- Giacometti, F.; Bonilauri, P.; Serraino, A.; Peli, A.; Amatiste, S.; Arrigoni, N.; Bianchi, M.; Bilei, S.; Cascone, G.; Comin, D.; et al. Four-Year Monitoring of Foodborne Pathogens in Raw Milk Sold by Vending Machines in Italy. J. Food Prot. 2013, 76, 1902–1907. [Google Scholar] [CrossRef]
- Chanlun, A.; Emanuelson, U.; Chanlun, S.; Aiumlamai, S.; Björkman, C. Application of repeated bulk milk testing for identification of infection dynamics of Neospora caninum in Thai dairy herds. Vet. Parasitol. 2006, 136, 243–250. [Google Scholar] [CrossRef]
- Lewis, F.I.; Gunn, G.J.; McKendrick, I.J.; Murray, F.M. Bayesian inference for within-herd prevalence of Leptospira interrogans serovar Hardjo using bulk milk antibody testing. Biostatistics 2009, 10, 719–728. [Google Scholar] [CrossRef] [PubMed]
- Doherty, E.O.; Sayers, R.; Grady, L.O. Temporal trends in bulk milk antibodies to Salmonella, Neospora caninum, and Leptospira interrogans serovar hardjo in Irish dairy herds. Prev. Vet. Med. 2013, 109, 343–348. [Google Scholar] [CrossRef] [PubMed][Green Version]
- O’Doherty, E.; Berry, D.P.; Grady, L.O.; Sayers, R. Management practices as risk factors for the presence of bulk milk antibodies to Salmonella, Neospora caninum and Leptospira interrogans serovar hardjo in Irish dairy herds. Animal 2014, 8, 1010–1019. [Google Scholar] [CrossRef]
- Velasova, M.; Damaso, A.; Prakashbabu, B.C.; Gibbons, J.; Wheelhouse, N.; Longbottom, D.; Van Winden, S.; Green, M.; Guitian, J. Herd-level prevalence of selected endemic infectious diseases of dairy cows in Great Britain. J. Dairy Sci. 2017, 100, 9215–9233. [Google Scholar] [CrossRef]
- Leonard, N.; Mee, J.F.; Snijders, S.; Mackie, D. Prevalence of antibodies to leptospira interrogans serovar hardjo in bulk tank milk from unvaccinated irish dairy herds. Ir. Vet. J. 2004, 57, 226–231. [Google Scholar] [CrossRef] [PubMed]
- Mitchell, D.; Boulanger, P. Leptospirosis in Canada: IV an Atypical Mastitis in Cattle Due to Leptospira Pomona. Can. J. Comp. Med. Vet. Sci. 1959, 23, 250–255. [Google Scholar] [PubMed]
- Higgins, R.J.; Harbourne, J.F.; Little, T.W.; Stevens, A.E. Mastitis and abortion in dairy cattle associated with Leptospira of the serotype hardjo. Vet. Rec. 1980, 107, 307–310. [Google Scholar] [CrossRef] [PubMed]
- Fratini, F.; Turchi, B.; Ferrone, M.; Galiero, A.; Nuvoloni, R.; Torracca, B.; Cerri, D. Is Leptospira able to survive in raw milk? Study on the inactivation at different storage times and temperatures. Folia Microbiol. 2016, 61, 413–416. [Google Scholar] [CrossRef]
- Commission Regulation (EU) No.605/2010 2 July 2010. Official Journal of the European Union 1–24. Available online: https://eur-lex.europa.eu/oj/direct-access.html (accessed on 20 February 2021).
- Kirschner, L.; Maguire, T. Antileptospiral Effect of Milk. N. Z. Med. J. 1955, 54, 560–564. [Google Scholar] [PubMed]
- Stalheim, O.H.V. Leptospiral Lysis by Lipids of Renal Tissue and Milk. J. Bacteriol. 1965, 89, 545. [Google Scholar] [CrossRef] [PubMed]
- Fávero, J.F.; De Araújo, H.L.; Lilenbaum, W.; Machado, G.; Tonin, A.A.; Baldissera, M.D.; Stefani, L.M.; Da Silva, A.S. Bovine leptospirosis: Prevalence, associated risk factors for infection and their cause-effect relation. Microb. Pathog. 2017, 107, 149–154. [Google Scholar] [CrossRef]
- Farina, F. Spirochete. In Trattato di Malattie Infettive Degli Animali; Scatozza, R., Farina, F., Eds.; UTET: Torino, Italy, 2006; pp. 360–385. [Google Scholar]
- Stanford, C.F.; Connolly, J.H.; Ellis, W.A.; Smyth, E.T.; Coyle, P.V.; Montgomery, W.I.; Simpson, D.I. Zoonotic infections in Northern Ireland farmers. Epidemiol. Infect. 1990, 105, 565–570. [Google Scholar] [CrossRef]
- Bharti, A.R.; Nally, J.E.; Ricaldi, J.N.; Matthias, M.A.; Diaz, M.M.; Lovett, M.A.; Levett, P.N.; Gilman, R.H.; Willig, M.R.; Gotuzzo, E.; et al. Leptospirosis: A zoonotic disease of global importance. Lancet Infect. Dis. 2003, 3, 757–771. [Google Scholar] [CrossRef]
- Belmaker, I.; Alkan, M.; Barnea, A.; Dukhan, L.; Yitzhaki, S.; Gross, E. Risk of transmission of leptospirosis from infected cattle to dairy workers in southern Israel. Isr. Med. Assoc. J. IMAJ 2004, 6, 24–27. [Google Scholar]
- Coghlan, J.D.; Bain, A.D. Leptospirosis in Human Pregnancy followed by Death of the Foetus. BMJ 1969, 1, 228–230. [Google Scholar] [CrossRef][Green Version]
- Haake, D.A.; Yang, X.F. Spirochetes. In Encyclopedia of Microbiology; Elsevier: Amsterdam, The Netherlands, 2019; pp. 283–298. [Google Scholar] [CrossRef]
- OIE (Office International des Epizooties). LEPTOSPIROSIS. Man. Diagn. Tests Vaccines Terr. Anim. 2018, 2018, 503–516. [Google Scholar]
- Commission Regulation (EU) No. 2017/625. Official Journal of the European Union, 7 April 2017; 1–142.
- Commission Regulation (EU) No. 2016/429. Official Journal of the European Union, 31 March 2016; 1–208.
- Johnson, R.C.; Rogers, P. Differentiation of pathogenic and saprophytic leptospires with 8-Azaguanine. J. Bacteriol. 1964, 88, 1618–1623. [Google Scholar] [CrossRef]
- Rittenberg, M.B.; Linscott, W.D.; Ball, M.G. Simple method for separating leptospirae from contaminating microorganisms. J. Bacteriol. 1958, 76, 669–670. [Google Scholar] [CrossRef] [PubMed]
- Levett, P.N. Systematics of Leptospiraceae. Curr. Top. Microbiol. Immunol. 2014, 387, 11–20. [Google Scholar] [CrossRef]
- Turner, L.H.; Mohun, A.F. Leptospirosis. Br. Med. J. 1970, 1, 433–434. [Google Scholar] [CrossRef] [PubMed][Green Version]
- Smythe, L.D.; Smith, I.L.; Smith, G.A.; Dohnt, M.F.; Symonds, M.L.; Barnett, L.J.; McKay, D.B. A quantitative PCR (TaqMan) assay for pathogenic Leptospira spp. BMC Infect. Dis. 2002, 2, 13. [Google Scholar] [CrossRef]




| Section A—rPCR Results (Ct Values) | ||||||||
| LH Strain Dilution | D1 | D2 | D3 | D6 | D7 | D8 | D9 | D10 |
| 10−1 | 21.53 | 21.54 | 19.87 | 21.35 | 20.91 | 20.64 | 21.01 | 21.94 |
| 10−2 | 23.96 | 23.64 | 24.78 | 25.14 | 24.93 | 25.05 | 25.49 | 25.96 |
| 10−3 | 27.89 | 28.16 | 28.56 | 29.07 | 29.95 | 29.55 | 29.81 | 28.96 |
| 10−4 | 31.25 | 41.38 | 32.78 | 33.09 | 34.93 | 33.13 | 33.05 | 32.09 |
| 10−5 | 36.77 | 37.47 | 37.39 | 39.37 | 38.45 | 37.67 | 37.16 | 38.80 |
| 10−6 | Undet. | Undet. | Undet. | Undet. | Undet. | Undet. | Undet. | Undet. |
| 10−7 | Undet. | Undet. | Undet. | Undet. | Undet. | Undet. | Undet. | Undet. |
| 10−8 | Undet. | Undet. | Undet. | Undet. | Undet. | Undet. | Undet. | Undet. |
| Section B—Culture Test Results | ||||||||
| LH Strain Dilution | D1 (d) | D2 (d) | D3 (d) | D6 (d) | D7 (d) | D8 (d) | D9 (d) | D10 (d) |
| 10−1 | +(1) | +(2) | +(2) | +(2) | +(3) | +(5) | +(9) | +(10) |
| 10−2 | +(5) | +(5) | +(6) | +(8) | Undet. | Undet. | Undet. | Undet. |
| 10−3 | +(5) | +(6) | +(10) | Undet. | Undet. | Undet. | Undet. | Undet. |
| 10−4 | +(7) | +(15) | Undet. | Undet. | Undet. | Undet. | Undet. | Undet. |
| 10−5 | +(12) | Undet. | Undet. | Undet. | Undet. | Undet. | Undet. | Undet. |
| 10−6 | Undet. | Undet. | Undet. | Undet. | Undet. | Undet. | Undet. | Undet. |
| 10−7 | Undet. | Undet. | Undet. | Undet. | Undet. | Undet. | Undet. | Undet. |
| 10−8 | Undet. | Undet. | Undet. | Undet. | Undet. | Undet. | Undet. | Undet. |
| Observation Period (Days) | Incubation Period to Obtain a Positive Culture Isolation (Days) | LH/mL | rPCR Ct Values Recorded in the Corresponding Positive LH Culture Over the Observation Period |
|---|---|---|---|
| D1 | 1 | 103 | 36.77 |
| D2 | 2–4 | 104 | 32.52 |
| D3 | 1–3 | 105 | 28.56 |
| D6 | 2 | 106 | 25.14 |
| D7 | 3 | 107 | 20.91 |
| D8 | 3–5 | 107 | 20.63 |
| D9 | 9–11 | 107 | 21.01 |
| D10 | 8–10 | 107 | 21.94 |
| Day of Study | Ct Values (Threshold = 40) | Ct MEDIA Values | Sample Dilution | LH/mL |
|---|---|---|---|---|
| D1 | 36.74–36.80 | 36.77 | 10−5 | 103 |
| D2 | 38.31–36.63 | 37.47 | 10−5 | 103 |
| D3 | 36.41–38.37 | 37.39 | 10−5 | 103 |
| D6 | 39.18–39.57 | 39.37 | 10−5 | 103 |
| D7 | 38.37–38.53 | 38.45 | 10−5 | 103 |
| D8 | 37.56–37.78 | 37.67 | 10−5 | 103 |
| D9 | 38.16–36.16 | 37.16 | 10−5 | 103 |
| D10 | 38.80—Undetec. | 38.80 | 10−5 | 103 |
Publisher’s Note: MDPI stays neutral with regard to jurisdictional claims in published maps and institutional affiliations. |
© 2021 by the authors. Licensee MDPI, Basel, Switzerland. This article is an open access article distributed under the terms and conditions of the Creative Commons Attribution (CC BY) license (http://creativecommons.org/licenses/by/4.0/).
Share and Cite
Mazzotta, E.; Ceglie, L.; Giurisato, I.; Bellinati, L.; Lucchese, L.; Marchione, S.; Natale, A. Persistence of Leptospira borgpetersenii Serovar Hardjo in Refrigerated Raw Milk: A Transmission Risk of Leptospirosis to Humans. Pathogens 2021, 10, 291. https://doi.org/10.3390/pathogens10030291
Mazzotta E, Ceglie L, Giurisato I, Bellinati L, Lucchese L, Marchione S, Natale A. Persistence of Leptospira borgpetersenii Serovar Hardjo in Refrigerated Raw Milk: A Transmission Risk of Leptospirosis to Humans. Pathogens. 2021; 10(3):291. https://doi.org/10.3390/pathogens10030291
Chicago/Turabian StyleMazzotta, Elisa, Letizia Ceglie, Isabella Giurisato, Laura Bellinati, Laura Lucchese, Silvia Marchione, and Alda Natale. 2021. "Persistence of Leptospira borgpetersenii Serovar Hardjo in Refrigerated Raw Milk: A Transmission Risk of Leptospirosis to Humans" Pathogens 10, no. 3: 291. https://doi.org/10.3390/pathogens10030291
APA StyleMazzotta, E., Ceglie, L., Giurisato, I., Bellinati, L., Lucchese, L., Marchione, S., & Natale, A. (2021). Persistence of Leptospira borgpetersenii Serovar Hardjo in Refrigerated Raw Milk: A Transmission Risk of Leptospirosis to Humans. Pathogens, 10(3), 291. https://doi.org/10.3390/pathogens10030291

