Mucosal Challenge Ferret Models of Ebola Virus Disease
Abstract
1. Introduction
2. Results
2.1. Virus Challenge and Post-Challenge Disease Presentation
2.2. Clinical Pathology and Serum Viral Load
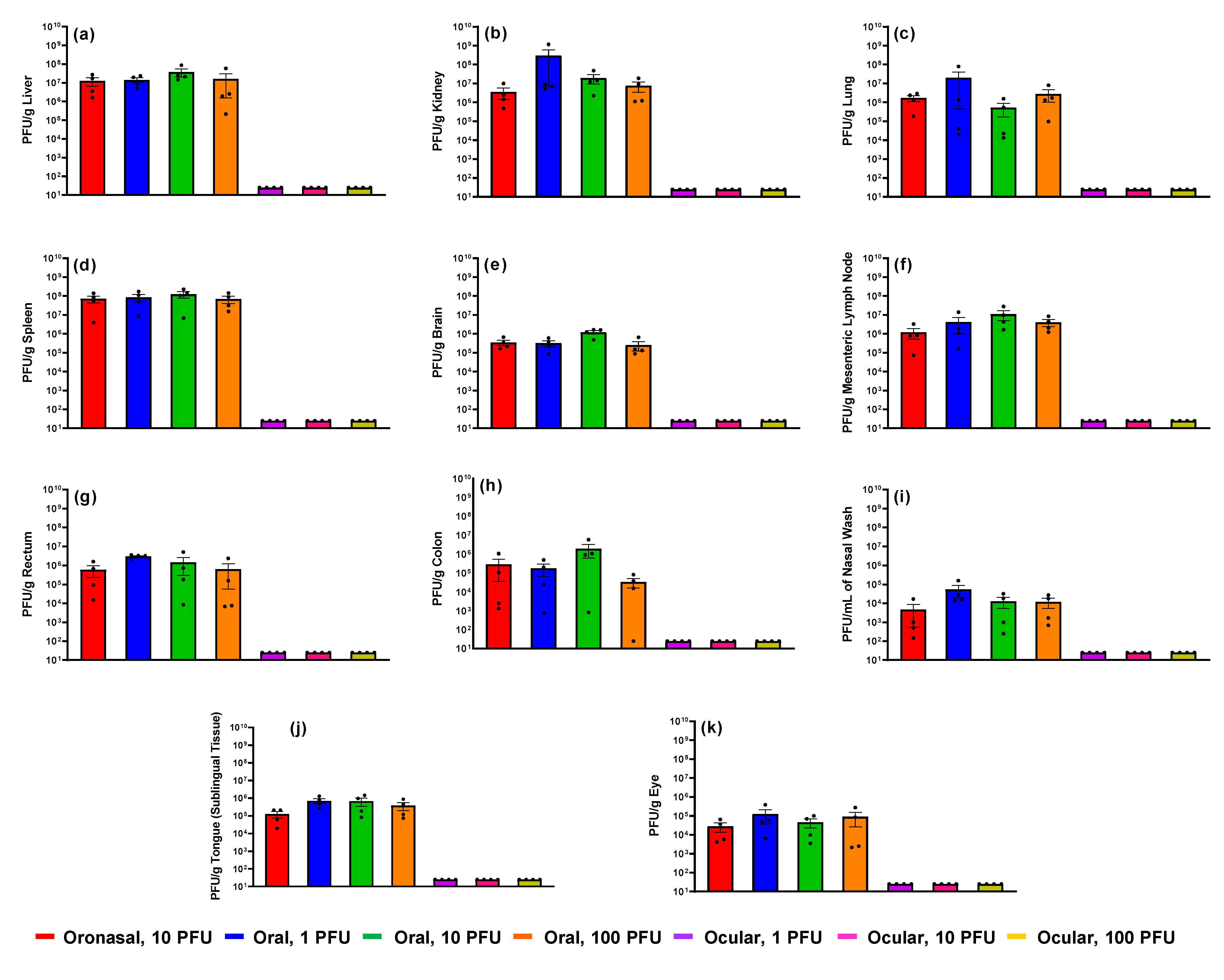
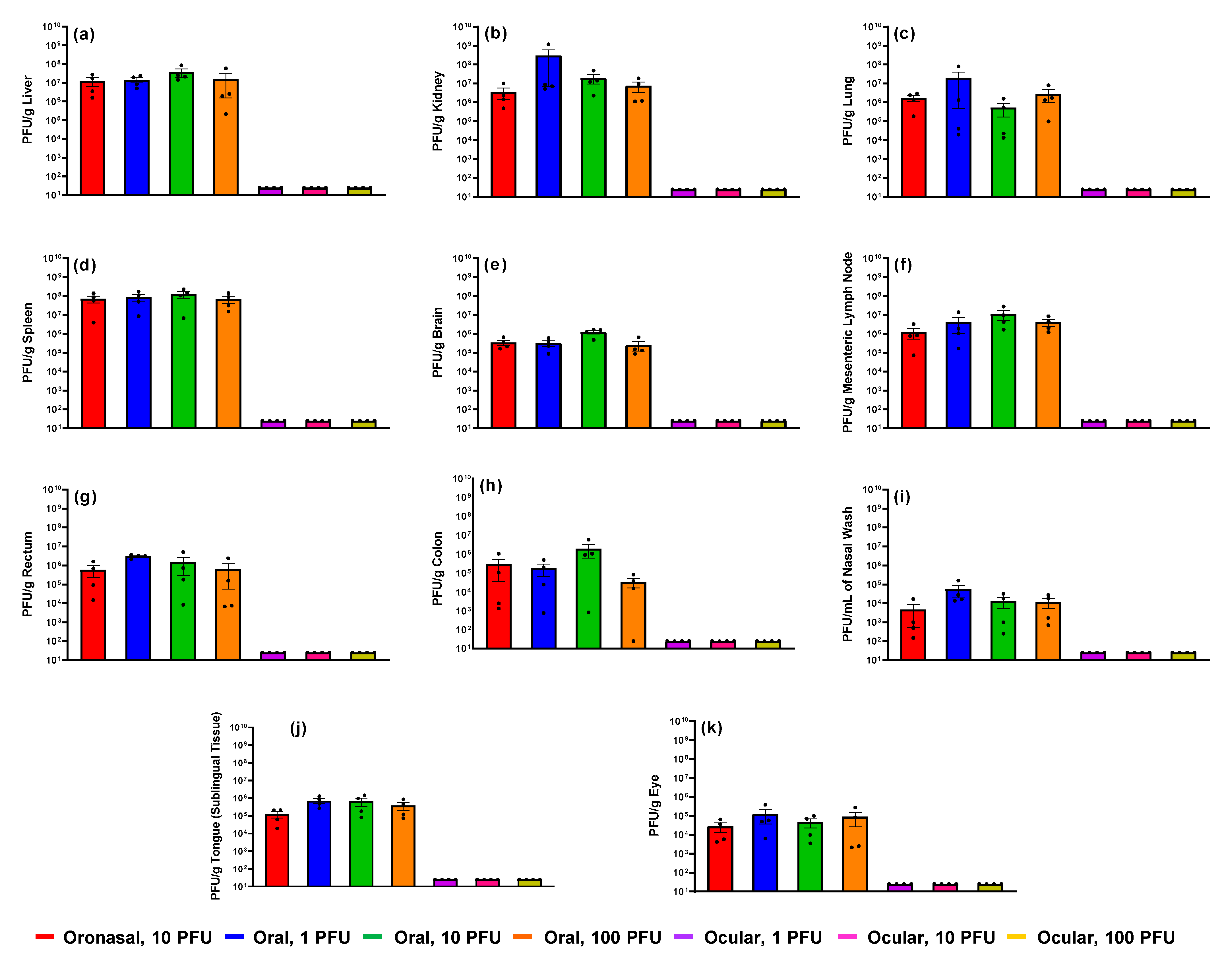
2.3. Tissue Viral Load, Gross Pathology, and Histopathology
3. Discussion
4. Materials and Methods
4.1. Ethics Statement and Biocontainment
4.2. Ferrets
4.3. Virus Challenge, Clinical Observations and Measurements, and Biosampling
4.3.1. Virus Challenge
4.3.2. Clinical Observations and Scoring
4.3.3. Body Weights and Subcutaneous Temperatures
4.3.4. Blood Collection and Clinical Pathology
4.3.5. Serum Viral Load
4.4. Necropsy and Tissue Processing
4.5. Statistical Analyses
Supplementary Materials
Author Contributions
Funding
Institutional Review Board Statement
Informed Consent Statement
Data Availability Statement
Acknowledgments
Conflicts of Interest
References
- Bennett, R.S.; Huzella, L.; Jahrling, P.B.; Bollinger, L.; Olinger, G.G.; Hensley, L.E. Nonhuman Primate Models of Ebola Virus Disease. Curr. Top. Microbiol. Immunol. 2017, 411, 171–193. [Google Scholar]
- Geisbert, T.W.; Pushko, P.; Anderson, K.; Smith, J.; Davis, K.J.; Jahrling, P.B. Evaluation in Nonhuman Primates of Vaccines against Ebola Virus. Emerg. Infect. Dis. 2002, 8, 503–507. [Google Scholar] [CrossRef] [PubMed]
- Jaax, N.K.; Davis, K.J.; Geisbert, T.J.; Vogel, P.; Jaax, G.P.; Topper, M.; Jahrling, P.B. Lethal experimental infection of rhesus monkeys with Ebola-Zaire (Mayinga) virus by the oral and conjunctival route of exposure. Arch. Pathol. Lab. Med. 1996, 120, 140–155. [Google Scholar] [PubMed]
- St Claire, M.C.; Ragland, D.R.; Bollinger, L.; Jahrling, P.B. Animal Models of Ebolavirus Infection. Comp. Med. 2017, 67, 253–262. [Google Scholar] [PubMed]
- Bente, D.; Gren, J.; Strong, J.E.; Feldmann, H. Disease modeling for Ebola and Marburg viruses. Dis. Model. Mech. 2009, 2, 12–17. [Google Scholar] [CrossRef] [PubMed]
- Envigo. Non-Human Primate Shortage Is Forecasted to Accelerate. Planning Ahead Is Key to Circumvent Potential Disruptions in Research; White Paper; Envigo: Indianapolis, IN, USA, 2020; pp. 1–12. [Google Scholar]
- Cross, R.W.; Fenton, K.A.; Geisbert, T.W. Small animal models of filovirus disease: Recent advances and future directions. Expert Opin. Drug Discov. 2018, 13, 1027–1040. [Google Scholar] [CrossRef] [PubMed]
- Siragam, V.; Wong, G.; Qiu, X.G. Animal models for filovirus infections. Zool Res. 2018, 39, 15–24. [Google Scholar] [CrossRef]
- Cross, R.W.; Mire, C.E.; Borisevich, V.; Geisbert, J.B.; Fenton, K.A.; Geisbert, T.W. The Domestic Ferret (Mustela putorius furo) as a Lethal Infection Model for 3 Species of Ebola virus. J. Infect. Dis. 2016, 214, 565–569. [Google Scholar] [CrossRef] [PubMed]
- Cross, R.W.; Speranza, E.; Borisevich, V.; Widen, S.G.; Wood, T.G.; Shim, R.S.; Adams, R.D.; Gerhardt, D.M.; Bennett, R.S.; Honko, A.N.; et al. Comparative Transcriptomics in Ebola Makona-Infected Ferrets, Nonhuman Primates, and Humans. J. Infect. Dis. 2018, 218, S486–S495. [Google Scholar] [CrossRef]
- De La Vega, M.A.; Soule, G.; Tran, K.N.; Tierney, K.; He, S.; Wong, G. Modeling Ebola Virus Transmission Using Ferrets. mSphere 2018, 3. [Google Scholar] [CrossRef]
- Kozak, R.; He, S.; Kroeker, A.; De La Vega, M.-A.; Audet, J.; Wong, G.; Urfano, C.; Antonation, K.; Embury-Hyatt, C.; Kobinger, G.P.; et al. Ferrets Infected with Bundibugyo Virus or Ebola Virus Recapitulate Important Aspects of Human Filovirus Disease. J. Virol. 2016, 90, 9209–9223. [Google Scholar] [CrossRef] [PubMed]
- Wong, G.; Leung, A.; He, S.; Cao, W.; De La Vega, M.-A.; Griffin, B.D.; Soule, G.; Kobinger, G.P.; Kobasa, D.; Qiu, X. The Makona Variant of Ebola Virus Is Highly Lethal to Immunocompromised Mice and Immunocompetent Ferrets. J. Infect. Dis. 2018, 218. [Google Scholar] [CrossRef]
- Bornholdt, Z.A.; Herbert, A.S.; Mire, C.E.; He, S.; Cross, R.W.; Wec, A.Z.; Abelson, D.M.; Geisbert, J.B.; James, R.M.; Rahim, N.; et al. A Two-Antibody Pan-Ebolavirus Cocktail Confers Broad Therapeutic Protection in Ferrets and Nonhuman Primates. Cell Host Microbe 2019, 25, 49–58.e5. [Google Scholar] [CrossRef]
- Kroeker, A.; He, S.; De La Vega, M.-A.; Wong, G.; Embury-Hyatt, C.; Qiu, X. Characterization of Sudan Ebolavirus infection in ferrets. Oncotarget 2017, 8, 46262–46272. [Google Scholar] [CrossRef] [PubMed]
- Marsh, G. (Ed.) The potential of the ferret model. In Proceedings of the Filovirus Animal Nonclinical Group (FANG)—World Health Organization (WHO) Medical Countermeasures (MCM) Workshop, Fort Detrick, MD, USA, 20–23 October 2015. [Google Scholar]
- Beeching, N.J.; Fenech, M.; Houlihan, C.F. Ebola virus disease. BMJ 2014, 349, g7348. [Google Scholar] [CrossRef]
- Fletcher, T.E.; Fowler, R.A.; Beeching, N.J. Understanding organ dysfunction in Ebola virus disease. Intensiv. Care Med. 2014, 40, 1936–1939. [Google Scholar] [CrossRef] [PubMed]
- Yan, F.; He, S.; Banadyga, L.; Zhu, W.; Zhang, H.; Rahim, N.; Collignon, B.; Senthilkumaran, C.; Embury-Hyatt, C.; Qiu, X. Characterization of Reston virus infection in ferrets. Antivir. Res. 2019, 165, 1–10. [Google Scholar] [CrossRef]
- Belser, J.A.; Gustin, K.M.; Maines, T.R.; Pantin-Jackwood, M.J.; Katz, J.M.; Tumpey, T.M. Influenza Virus Respiratory Infection and Transmission Following Ocular Inoculation in Ferrets. PLoS Pathog. 2012, 8, e1002569. [Google Scholar] [CrossRef]
- Belser, J.A.; Gustin, K.M.; Katz, J.M.; Maines, T.R.; Tumpey, T.M. Influenza Virus Infectivity and Virulence following Ocular-Only Aerosol Inoculation of Ferrets. J. Virol. 2014, 88, 9647–9654. [Google Scholar] [CrossRef] [PubMed]
- Shurtleff, A.; Biggins, J.; Keeney, A.; Zumbrun, E.; Bloomfield, H.; Kuehne, A.; Audet, J.; Alfson, K.; Griffiths, A.; Olinger, G.; et al. Standardization of the Filovirus Plaque Assay for Use in Preclinical Studies. Viruses 2012, 4, 3511–3530. [Google Scholar] [CrossRef] [PubMed]
- Comer, J.E.; Escaffre, O.; Neef, N.; Brasel, T.; Juelich, T.L.; Smith, J.K.; Smith, J.; Kalveram, B.; Perez, D.D.; Massey, S.; et al. Filovirus Virulence in Interferon α/β and γ Double Knockout Mice, and Treatment with Favipiravir. Viruses 2019, 11, 137. [Google Scholar] [CrossRef] [PubMed]











| Route | Dose 2 | Lethargy/Inactivity | Unkempt Appearance | Respiration >50 BPM 3 | Diarrhea/Loose Stool |
|---|---|---|---|---|---|
| Oronasal | 10 PFU | 4/4 | 2/4 | 1/4 | 0/4 |
| Oral | 1 PFU | 4/4 | 4/4 | 4/4 | 0/4 |
| Oral | 10 PFU | 4/4 | 2/4 | 1/4 | 2/4 |
| Oral | 100 PFU | 4/4 | 3/4 | 3/4 | 0/4 |
| Ocular | 1 PFU | 0/4 | 0/4 | 0/4 | 0/4 |
| Ocular | 10 PFU | 0/4 | 0/4 | 0/4 | 0/4 |
| Ocular | 100 PFU | 0/4 | 0/4 | 0/4 | 0/4 |
| Route | Diffuse, Pinpoint, Red Discoloration | Pale/Yellow Liver | Enlarged/Dark Lymph Nodes | Mottled Dark Red Lungs | Mottled Dark Red Spleen | |||||
|---|---|---|---|---|---|---|---|---|---|---|
| Skin | Bladder Mucosa | Stomach Mucosa | Spleen | Rectum | Thymus | |||||
| Oronasal | 4/4 | 2/4 | 1/4 | 0/4 | 3/4 | 2/4 | 4/4 | 2/4 | 2/4 | 0/4 |
| Oral | 12/12 | 8/12 | 6/12 | 4/12 | 8/12 | 2/12 | 12/12 | 6/12 | 2/12 | 2/12 |
| Ocular | 0/12 | 0/12 | 0/12 | 0/12 | 0/12 | 0/12 | 0/12 | 0/12 | 2/12 | 2/12 |
| Organ | Finding | Oronasal | Oral | Ocular | ||||
|---|---|---|---|---|---|---|---|---|
| 10 PFU 2 | 1 PFU 2 | 10 PFU 2 | 100 PFU 2 | 1 PFU 2 | 10 PFU 2 | 100 PFU 2 | ||
| Liver | Hepatocellular degeneration | 4/4 | 4/4 | 4/4 | 3/4 | 0/4 | 1/4 | 0/4 |
| Inflammation | 4/4 | 4/4 | 3/4 | 3/4 | 0/4 | 1/4 | 0/4 | |
| Hepatocellular necrosis | 3/4 | 3/4 | 4/4 | 3/4 | 0/4 | 0/4 | 0/4 | |
| Vacuolation | 3/4 | 2/4 | 4/4 | 2/4 | 0/4 | 0/4 | 0/4 | |
| Lung | Perivascular edema | 4/4 | 3/4 | 3/4 | 3/4 | 0/4 | 1/4 | 0/4 |
| Alveolar inflammation | 3/4 | 3/4 | 1/4 | 3/4 | 0/4 | 3/4 | 2/4 | |
| Perivascular inflammation | 4/4 | 3/4 | 3/4 | 3/4 | 0/4 | 1/4 | 0/4 | |
| Perivascular necrosis | 1/4 | 0/4 | 0/4 | 1/4 | 0/4 | 0/4 | 0/4 | |
| Spleen | Decreased lymphocytes | 4/4 | 0/4 | 1/4 | 1/4 | 0/4 | 0/4 | 0/4 |
| Inflammation | 4/4 | 4/4 | 4/4 | 3/4 | 0/4 | 1/4 | 0/4 | |
| Necrosis | 4/4 | 3/4 | 3/4 | 2/4 | 0/4 | 0/4 | 0/4 | |
| Kidney | Tubule vacuolation | 3/4 | 3/4 | 4/4 | 1/4 | 0/4 | 1/4 | 0/4 |
| Bladder | Mucosal hemorrhage | 1/4 | 0/4 | 0/4 | 0/4 | 0/4 | 0/4 | 0/4 |
| Stomach | Mucosal hemorrhage | 1/4 | 0/4 | 0/4 | 0/4 | 0/4 | 0/4 | 0/4 |
| Lower GI 3 | Mucosal hemorrhage | 0/4 | 0/4 | 1/4 | 0/4 | 0/4 | 0/4 | 0/4 |
| Brain | Hippocampus necrosis | 1/4 | 0/4 | 1/4 | 0/4 | 0/4 | 0/4 | 0/4 |
| Group | Number 1 | Route | Challenge 2 |
|---|---|---|---|
| 1 | 2M/2F | Oronasal | 10 PFU |
| 2 | 2M/2F | Oral | 1 PFU |
| 3 | 2M/2F | Oral | 10 PFU |
| 4 | 2M/2F | Oral | 100 PFU |
| 5 | 2M/2F | Ocular | 1 PFU |
| 6 | 2M/2F | Ocular | 10 PFU |
| 7 | 2M/2F | Ocular | 100 PFU |
Publisher’s Note: MDPI stays neutral with regard to jurisdictional claims in published maps and institutional affiliations. |
© 2021 by the authors. Licensee MDPI, Basel, Switzerland. This article is an open access article distributed under the terms and conditions of the Creative Commons Attribution (CC BY) license (http://creativecommons.org/licenses/by/4.0/).
Share and Cite
Brasel, T.; Comer, J.E.; Massey, S.; Smith, J.; Smith, J.; Hyde, M.; Kocsis, A.; Gainey, M.; Niemuth, N.; Triplett, C.; et al. Mucosal Challenge Ferret Models of Ebola Virus Disease. Pathogens 2021, 10, 292. https://doi.org/10.3390/pathogens10030292
Brasel T, Comer JE, Massey S, Smith J, Smith J, Hyde M, Kocsis A, Gainey M, Niemuth N, Triplett C, et al. Mucosal Challenge Ferret Models of Ebola Virus Disease. Pathogens. 2021; 10(3):292. https://doi.org/10.3390/pathogens10030292
Chicago/Turabian StyleBrasel, Trevor, Jason E. Comer, Shane Massey, Jeanon Smith, Jennifer Smith, Matthew Hyde, Andrew Kocsis, Melicia Gainey, Nancy Niemuth, Cheryl Triplett, and et al. 2021. "Mucosal Challenge Ferret Models of Ebola Virus Disease" Pathogens 10, no. 3: 292. https://doi.org/10.3390/pathogens10030292
APA StyleBrasel, T., Comer, J. E., Massey, S., Smith, J., Smith, J., Hyde, M., Kocsis, A., Gainey, M., Niemuth, N., Triplett, C., & Rudge, T., Jr. (2021). Mucosal Challenge Ferret Models of Ebola Virus Disease. Pathogens, 10(3), 292. https://doi.org/10.3390/pathogens10030292

