Corroded RC Beams at Service Load before and after Patch Repair and Strengthening with NSM CFRP Strips
Abstract
1. Introduction
2. Experimental Program
2.1. Specimen Details
2.2. Material Properties
2.3. Accelerated Corrosion
2.4. Patch Repair Technique
2.5. NSM Strengthening
2.6. Test Setup
3. Experimental Results
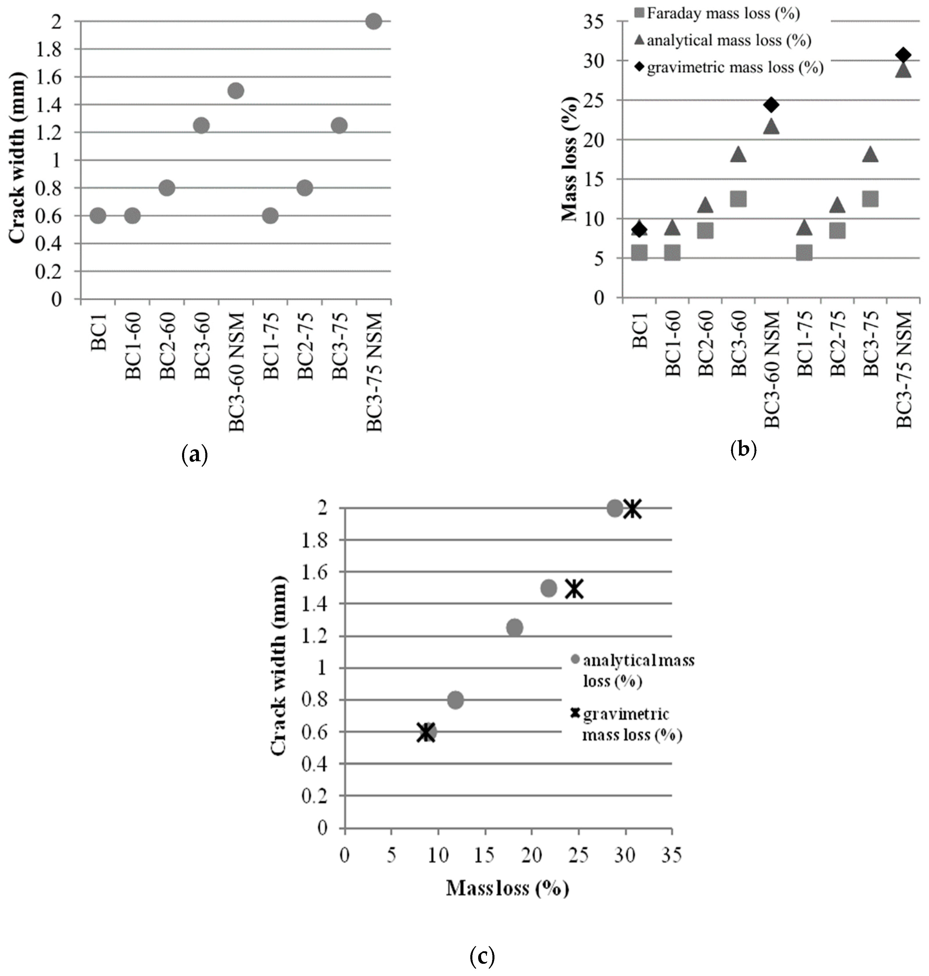
3.1. Crack Mapping, Gravimetric Measurements of Steel Mass Loss and Rough Indirect Estimation of Level of Corrosion
3.2. Structural Performance of Non Corroded (B1) and Corroded (BC1) Beams
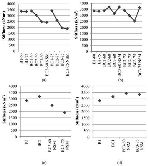
3.3. Structural Performance of Corroded Beams (BC1,2,3-60, BC1,2,3-75) under Service Loads
3.4. Structural Performance of Patch-Repaired and NSM Strengthened Corroded Beams (BC3-60 NSM, BC3-75 NSM)
4. Conclusions
- Beams BC1-60 and BC1-75 that were subjected to 60% and 75% of yield load of non-corroded beam B1 correspondingly presented a similar mass loss of steel due to the corrosion of measured levels up to 12% mass loss (revealing similar crack widths).
- For the beam loaded under 75% of yield load, further corrosion resulted in higher mass loss (around 24% higher mass loss, at a mass loss level of around 30% for BC3-75 compared to around 25% for BC3-60) as it revealed higher crack widths.
- Beams BC3-60 and BC3-75 presented 35.6% and 68.9% higher deflection (almost double) for the high corrosion level compared to their first loading, respectively. Deflection of BC3-75 surpassed deflection at steel yielding.
- Strengthening of the corroded beams with two NSM CFRP strips, having identical FRP reinforcement but under different service loads, resulted in different structural performances and failure modes. The failure mode of both corroded strengthened beams is mainly characterized by debonding in the form of concrete cover separation, as well as by debonding at the epoxy-CFRP strips interface. The new concrete cover of high strength allowed for further utilization of the NSM material. The strengthened corroded beam subjected to 60% service load had no cut steel stirrups at the old concrete-patch interface, a lower extent of damaged concrete cover, and no steel yielding. The strengthened corroded beam subjected to 75% service load had already entered steel yielding and had extensively corroded and cut stirrups. Beam BC3-75NSM revealed significant load loss after NSM debonding, and at higher deflections, the load remained lower than that of the non-corroded beam.
- The structural performance of both retrofitted beams was as expected according to existing design recommendations or better up to CFRP NSM debonding. Patch repair and FRP strengthening can efficiently restore the capacity of corroded concrete beams. The residual bearing load after CFRP NSM debonding depends on the different localization of damages throughout loading in beams with different mass loss of steel (bars and stirrups) due to corrosion. Even in the case of tensile steel bars yielding, the proposed retrofit was successful. Yet, localization of damage and pitting corrosion should be thoroughly investigated in any case as it can significantly reduce the tensile deformability of steel. The current study may contribute to the identification of the characteristic serviceability limit state for corroded beams (under structural health monitoring) in order to undertake successful retrofit actions or replace them.
- The model by Reference [43] can provide a satisfactory indirect prediction of the steel mass loss at each corrosion phase based on the measured corrosion-induced crack width. The SLS loading cycles seem to further increase the mass loss of steel.
- Further elaborations should be focused on the crack development and potential steel–concrete bond loss at serviceability limit states due to steel corrosion.
Author Contributions
Funding
Conflicts of Interest
References
- Mohammed, T.; Otsuki, N.; Hisada, M.; Shibata, T. Effect of Crack Width and Bar Types on Corrosion of Steel in Concrete. J. Mater. Civ. Eng. 2001, 13, 194–201. [Google Scholar] [CrossRef]
- Bossio, A.; Lignola, G.P.; Fabbrocino, F.; Monetta, T.; Prota, A.; Bellucci, F.; Manfredi, G. Nondestructive assessment of corrosion of reinforcement bars through surface concrete cracks. Struct. Concr. 2017, 18, 104–117. [Google Scholar] [CrossRef]
- Goksu, C.; Ilki, A. Seismic Behavior of Reinforced Concrete Columns with Corroded Deformed Reinforcing Bars. ACI Struct. J. 2016, 113, 1–12. [Google Scholar] [CrossRef]
- Bossio, A.; Fabbrocino, F.; Monetta, T.; Lignola, G.P.; Prota, A.; Manfredi, G.; Bellucci, F. Corrosion effects on seismic capacity of reinforced concrete structures. Corros. Rev. 2019, 37, 45–56. [Google Scholar] [CrossRef]
- Alonso, C.; Andrade, C.; Rodriguez, J.; Diez, J. Factors controlling cracking of concrete affected by reinforcement corrosion. Mater. Struct. 1998, 31, 435–441. [Google Scholar] [CrossRef]
- Ballim, Y.; Reid, J.C. Reinforcement corrosion and the deflection of RC beams-an experimental critique of current test methods. Cem. Concr. Compos. 2003, 25, 625–632. [Google Scholar] [CrossRef]
- Yoon, S.; Wang, K.; Weiss, W.J.; Shah, S.P. Interaction between loading, corrosion and serviceability of reinforced concrete. ACI Mater. J. 2000, 97, 637–644. [Google Scholar]
- El Maaddawy, T.; Soudki, K.; Topper, T. Long-Term Performance of Corrosion-Damaged Reinforced Concrete Beams. ACI Struct. J. 2005, 102, 649–656. [Google Scholar]
- Ababneh, A.; Sheban, M. Impact of mechanical loading on the corrosion of steel reinforcement in concrete structures. Mater. Struct. 2011, 44, 1123–1137. [Google Scholar] [CrossRef]
- Hariche, L.; Ballim, Y.; Bouhicha, M.; Kenai, S. Effects of reinforcement configuration and sustained load on the behaviour of reinforced concrete beams affected by reinforcing steel corrosion. Cem. Concr. Compos. 2012, 34, 1202–1209. [Google Scholar] [CrossRef]
- Liu, Y.; Jiang, N.; Deng, Y.; Ma, Y.; Zhang, H.; Li, M. Flexural experiment and stiffness investigation of reinforced concrete beam under chloride penetration and sustained loading. Constr. Build. Mater. 2016, 117, 302–310. [Google Scholar] [CrossRef]
- Malumbela, G.; Moyo, P.; Alexander, M. Behaviour of RC beams under sustained service loads. Constr. Build. Mater. 2009, 23, 3346–3351. [Google Scholar] [CrossRef]
- Malumbela, G.; Moyo, P.; Alexander, M. Longitudinal strains and stiffness of RC beams under load as measures of corrosion levels. Eng. Struct. 2012, 35, 215–227. [Google Scholar] [CrossRef]
- Torres-Acosta, A.; Fabela-Gallegos, M.; Munoz-Noval, A.; Vazquez-Vega, D.; Hernandez-Jimenez, T.; Martinez-Madrid, M. Influence of corrosion on the structural performance of reinforced concrete beams. Corrosion 2004, 60, 862–872. [Google Scholar] [CrossRef]
- Ting, S.; Nowak, A.S. Effect of reinforcing steel area loss on flexural behaviour of reinforced concrete beams. ACI Struct. J. 1991, 88, 309–314. [Google Scholar]
- Du, Y.; Cullen, M.; Li, C. Structural performance of RC beams under simultaneous loading and reinforcement corrosion. Constr. Build. Mater. 2013, 38, 472–481. [Google Scholar] [CrossRef]
- Dang, V.; Francois, R. Influence of long-term corrosion in chloride environment on mechanical behaviour of RC beam. Eng. Struct. 2013, 48, 558–568. [Google Scholar] [CrossRef]
- Francois, R.; Khan, I.; Dang, V. Impact of corrosion on mechanical properties of steel embedded in 27-year old corroded reinforced concrete beams. Mater. Struct. 2012, 46, 899–910. [Google Scholar] [CrossRef]
- Zhu, W.; Francois, R.; Coronelli, D.; Cleland, D. Effect of corrosion of reinforcement on the mechanical behaviour of highly corroded RC beams. Eng. Struct. 2013, 56, 544–554. [Google Scholar] [CrossRef]
- Yu, L.; Francois, R.; Dang, V.; L’Hostis, V.; Gagne, R. Structural performance of RC beams damaged by natural corrosion under sustained loading in a chloride environment. Eng. Struct. 2015, 96, 30–40. [Google Scholar] [CrossRef]
- Zhang, R.; Castel, A.; Francois, R. Serviceability limit state criteria based on steel-concrete bond loss for corroded reinforced concrete in chloride environment. Mater. Struct. 2009, 60, 1407–1421. [Google Scholar] [CrossRef]
- Jiang, C.; Wu, Y.; Dai, M. Degradation of steel-to-concrete bond due to corrosion. Constr. Build. Mater. 2018, 158, 1073–1080. [Google Scholar] [CrossRef]
- Hollaway, L.C.; Teng, J.G. Strengthening and Rehabilitation of Civil Infrastructures Using Fibre-Reinforced Polymer (FRP) Composites; Woodhead Publishing: Boca Raton, FL, USA, 2008. [Google Scholar]
- Rousakis, T. Retrofitting and Strengthening of Contemporary Structures: Materials Used. In Encyclopedia of Earthquake Engineering: Chapter; Beer, M., Patelli, E., Kougioumtzoglou, I., Au, I., Eds.; Springer: Berlin/Heidelberg, Germany, 2014; Volume 2013. [Google Scholar]
- Antonopoulos, C.P.; Triantafillou, T.C. Experimental Investigation of FRP-Strengthened RC beam-Column Joints. J. Compos. Constr. 2003, 7, 39–49. [Google Scholar] [CrossRef]
- Gao, P.; Gu, X.; Mosallam, A.S. Flexural behavior of preloaded reinforced concrete beams strengthened by prestressed CFRP laminates. Compos. Struct. 2016, 157, 33–50. [Google Scholar] [CrossRef]
- Rousakis, T.C.; Karabinis, A.I. Adequately FRP confined reinforced concrete columns under axial compressive monotonic or cyclic loading. Mater. Struct. 2012, 45, 957–975. [Google Scholar] [CrossRef]
- Bocciarelli, M.; Feo, C.; Nistico, N.; Pisani, M.; Poggi, C. Failure of RC beams strengthened in bending with unconventionally arranged CFRP laminates. Compos. Part B 2013, 54, 246–254. [Google Scholar] [CrossRef]
- Triantafyllou, G.G.; Rousakis, T.C.; Karabinis, A.I. Axially loaded reinforced concrete columns with a square section partially confined by light GFRP straps. J. Compos. Constr. 2014, 19, 04014035. [Google Scholar] [CrossRef]
- Charalambidi, B.; Rousakis, T.; Karabinis, A. Fatigue Behavior of Large-Scale Reinforced Concrete Beams Strengthened in Flexure with Fiber-Reinforced Polymer Laminates. J. Compos. Constr. 2016, 20, 04016035. [Google Scholar] [CrossRef]
- Rezazadeh, M.; Cholostiakow, S.; Kotynia, R.; Barros, J. Exploring new NSM reinforcements for the flexural strengthening of RC beams: Experimental and numerical research. Compos. Struct. 2016, 141, 132–145. [Google Scholar] [CrossRef]
- Ferrier, E.; Avril, S.; Hamelin, P.; Vautrin, A. Mechanical behavior of RC beams reinforced by externally bonded CFRP sheets. Mater. Struct. 2003, 36, 522–529. [Google Scholar] [CrossRef]
- Soudki, K.; El-Salakawy, E.; Craig, B. Behavior of CFRP strengthened Reinforced Concrete Beams in Corrosive Environment. J. Compos. Constr. 2007, 11, 291–298. [Google Scholar] [CrossRef]
- Badawi, M.; Soudki, K. Control of Corrosion-Induced Damage in Reinforced Concrete Beams Using Carbon Fiber-Reinforced Polymer Laminates. J. Compos. Constr. 2005, 9, 195–201. [Google Scholar] [CrossRef]
- El Maaddawy, T.; Soudki, K. Carbon-Fiber-Reinforced Polymer Repair to Extend Service Life of Corroded Reinforced Concrete Beams. J. Compos. Constr. 2005, 9, 187–194. [Google Scholar] [CrossRef]
- El Maaddawy, T.; Soudki, K.; Topper, T. Performance Evaluation of Carbon Fiber-Reinforced Polymer Repaired Beams Under Corrosive Environmental Conditions. ACI Struct. J. 2007, 104, 3–11. [Google Scholar]
- Ray, I.; Parish, G.; Davalos, J.; Chen, A. Effect on Concrete Substrate Repair Methods for Beams Aged by Accelerated Corrosion and Strengthened with CFRP. J. Aerosp. Eng. 2011, 24, 227–239. [Google Scholar] [CrossRef]
- Triantafyllou, G.G.; Rousakis, T.C.; Karabinis, A.I. Corroded RC beams patch repaired and strengthened in flexure with fiber-reinforced polymer laminates. Compos. Part B 2017, 112, 125–136. [Google Scholar] [CrossRef]
- Malumbela, G.; Alexander, M.; Moyo, P. Variation of steel loss and its effect on the ultimate flexural capacity of RC beams corroded and repaired under load. Constr. Build. Mater. 2010, 24, 1051–1059. [Google Scholar] [CrossRef]
- Malumbela, G.; Alexander, M.; Moyo, P. Serviceability of corrosion-affected RC beams after patch repairs and FRPs under load. Mater. Struct. 2011, 44, 331–349. [Google Scholar] [CrossRef]
- Kreit, A.; Al-Mahmoud, F.; Castel, A.; Francois, R. Repairing corroded RC beam with near-surface mounted CFRP rods. Mater. Struct. 2011, 44, 1205–1217. [Google Scholar] [CrossRef]
- Almassri, B.; Kreit, A.; Al-Mahmoud, F.; Francois, R. Mechanical behaviour of corroded RC beams strengthened by NSM CFRP rods. Compos. Part B 2014, 64, 97–107. [Google Scholar] [CrossRef]
- Triantafyllou, G.G.; Rousakis, T.C.; Karabinis, A.I. Analytical assessment of the bearing capacity of RC beams with corroded steel bars beyond concrete cover cracking. Compos. Part B 2017, 119, 132–140. [Google Scholar] [CrossRef]
- ASTM C39/C39M. Standard Test Method for Compressive Strength of Cylindrical Concrete Specimens; ASTM International: West Conshohocken PA, USA, 2015. [Google Scholar]
- ASTM C469/C469M. Standard Test Method for Static Modulus of Elasticity and Poisson’s Ratio of Concrete in Compression; ASTM International: West Conshohocken, PA, USA, 2014. [Google Scholar]
- ASTM C496/C496M. Standard Test Method for Splitting Tensile Strength of Cylindrical Concrete Specimens; ASTM International: West Conshohocken, PA, USA, 2011. [Google Scholar]
- ASTM C370-14. Standard Test Methods and Definitions for Mechanical Testing of Steel Products; ASTM International: West Conshohocken, PA, USA, 2014. [Google Scholar]
- ASTM G1-90. Standard Practice for Preparing, Cleaning and Evaluating Corrosion Test Specimens; ASTM International: West Conshohocken, PA, USA, 2002; p. 8. [Google Scholar]
- Xie, J.; Hu, R. Experimental study on rehabilitation of corrosion-damaged reinforced concrete beams with carbon fiber reinforced polymer. Constr. Build. Mater. 2012, 38, 708–716. [Google Scholar] [CrossRef]
- American Concrete Institute (ACI). Guide for the Design and Construction of Externally Bonded FRP Systems for Strengthening Concrete Structures; ACI 440.2R-08; CRC Press: Farmington Hills, MI, USA, 2008. [Google Scholar]
- Colajanni, P.; Recupero, A.; Ricciardi, G.; Spinella, N. Failure by corrosion in PC bridges: A case history of a viaduct in Italy. Int. J. Struct. Integr. 2016, 7, 181–193. [Google Scholar] [CrossRef]












| Beams | BC1-60 | BC2-60 | BC3-60 | BC1-75 | BC2-75 | BC3-75 |
|---|---|---|---|---|---|---|
| δ (mm) | 5.53 | 6.16 | 7.5 | 6.79 | 9.04 | 11.47 |
| Beams | At Concrete Cracking | At Steel Yielding | At Maximum Load | At Ultimate Load | ||||
|---|---|---|---|---|---|---|---|---|
| Pcr (kN) | δcr (mm) | Py (kN) | δy (mm) | Pmax (kN) | δPmax (mm) | Pu (kN) | δu (mm) | |
| B1 | 45.4 | 1.1 | 243 | 10.9 | 248 | 19.9 | 205 | 69.4 |
| BC1 | 62 | 1.4 | 218 | 8.8 | 231 | 23.2 | 225 | 70.8 |
| BC3-60 NSM | 40.6 | 3.7 (1.1) 1 | 182 | 9.4 (6.8) | 256 | 20.4 (17.8) | 256 | 20.4 (17.8) |
| BC3-75 NSM | 38.5 | 6.8 (1.0) | 201 | 13.5 (7.7) | 272 | 27.7 (21.9) | 272 | 27.7 (21.9) |
© 2019 by the authors. Licensee MDPI, Basel, Switzerland. This article is an open access article distributed under the terms and conditions of the Creative Commons Attribution (CC BY) license (http://creativecommons.org/licenses/by/4.0/).
Share and Cite
Triantafyllou, G.; Rousakis, T.; Karabinis, A. Corroded RC Beams at Service Load before and after Patch Repair and Strengthening with NSM CFRP Strips. Buildings 2019, 9, 67. https://doi.org/10.3390/buildings9030067
Triantafyllou G, Rousakis T, Karabinis A. Corroded RC Beams at Service Load before and after Patch Repair and Strengthening with NSM CFRP Strips. Buildings. 2019; 9(3):67. https://doi.org/10.3390/buildings9030067
Chicago/Turabian StyleTriantafyllou, Garyfalia, Theodoros Rousakis, and Athanasios Karabinis. 2019. "Corroded RC Beams at Service Load before and after Patch Repair and Strengthening with NSM CFRP Strips" Buildings 9, no. 3: 67. https://doi.org/10.3390/buildings9030067
APA StyleTriantafyllou, G., Rousakis, T., & Karabinis, A. (2019). Corroded RC Beams at Service Load before and after Patch Repair and Strengthening with NSM CFRP Strips. Buildings, 9(3), 67. https://doi.org/10.3390/buildings9030067
