Next Article in Journal
Maintenance as an Opportunity to Improve Residential Buildings’ Energy Efficiency: Evaluation of Life-Cycle Costs
Previous Article in Journal
Waste Valorisation: Copper Slag as a Sustainable Replacement of Natural Aggregates for Concrete
 
 
Font Type:
Arial Georgia Verdana
Font Size:
Aa Aa Aa
Line Spacing:
Column Width:
Background:
Article

Intelligent Triggering of Safety Risk Warning in Metro Tunnel Construction: A Two-Stage Framework Integrating Static and Dynamic Data

1
School of Traffic and Transportation Engineering, Changsha University of Science & Technology, Changsha 410114, China
2
School of Intelligent Transportation, Hunan Communication Polytechnic, Changsha 410132, China
*
Authors to whom correspondence should be addressed.
Buildings 2026, 16(8), 1550; https://doi.org/10.3390/buildings16081550
Submission received: 11 February 2026 / Revised: 21 March 2026 / Accepted: 24 March 2026 / Published: 15 April 2026
(This article belongs to the Section Building Structures)

Abstract

With the rapid expansion of metro tunnel construction, safety risks such as collapse, water inrush, and gas explosion have become increasingly critical. Existing warning models often lack fine-grained disaster type identification and dynamic risk assessment capabilities. This paper proposes a two-stage intelligent warning framework based on multi-source data fusion. First, a dual-autoencoder structure (MLP-AE and LSTM-AE) extracts deep features from static geological parameters and dynamic monitoring sequences. Then, a multilayer perceptron (MLP) classifier identifies four typical states: normal, collapse, water/mud inrush, and gas explosion. Subsequently, a regression model predicts a continuous risk score, mapped to three risk levels: Safe, Moderate Risk, and Significant Risk. Experimental results demonstrate that, compared with Decision Tree (DT), Gradient Boosting Decision Tree (GBDT), and Bayesian Network (BN), the proposed framework achieves superior performance in risk level identification, with an accuracy of 91% and an F1-score of 0.87. Notably, it exhibits particularly strong recall for severe (Level III) risks, which is crucial for practical engineering applications. The proposed framework provides a practical and intelligent approach for safety warning in metro tunnel construction.

1. Introduction

The rapid urbanization in China has led to a substantial expansion of metro tunnel construction. As of December 2025, urban rail transit lines are in operation in 58 cities nationwide, totaling 382 lines, with metro systems predominating. The National Urban Infrastructure Development Plan for the 14th Five-Year Plan explicitly emphasizes the need to enhance urban rail transit coverage and promote underground space development, indicating that metro construction in China will maintain a high-growth trajectory in the foreseeable future. However, metro tunnel projects, often situated in urban areas, frequently encounter complex geological conditions and dynamic operational environments [1]. Consequently, safety incidents such as collapses, water inrushes, and gas explosions occur regularly, resulting in casualties and economic losses. Therefore, the effective prediction and timely detection of such hazards remain paramount in metro construction.
Currently, with advancements in information and data acquisition technologies, metro construction sites are equipped with extensive sensor systems capable of real-time collection of multi-source monitoring data, including surrounding rock deformation, support stress, groundwater pressure, and surface settlement [2]. While this provides a data foundation for hazard identification and early warning, there remains a lack of effective integration of real-time monitoring data and dynamic assessment capabilities for risk levels [3]. Although data-driven models have been introduced, existing approaches predominantly focus on single hazard types, fail to classify risk severity gradations, and rely on static indicators while neglecting temporal dynamic patterns [4]. These limitations restrict their generalizability and practical applicability.
The increasingly prominent challenges in metro tunnel construction—such as complex working conditions, diverse geological settings, and dynamic and uncertain risks—have made safety risk early warning a significant interdisciplinary research focus within tunnel engineering and intelligent safety monitoring [5,6,7,8].
Early research on tunnel safety primarily relied on statistical methods and expert systems. With the rise of machine learning, traditional algorithms like Support Vector Regression (SVR) and Backpropagation Neural Networks (BPNN) were applied to process structured data and conduct static risk assessments in tunnel engineering [9,10]. Mahdevari et al. applied an SVR model to predict tunnel boring machine penetration rates, demonstrating the potential of machine learning methods in this field [11]. However, predicting a single engineering parameter is insufficient for directly reflecting the safety risk levels of construction; thus, scholars have gradually shifted their focus toward construction risk assessment and risk management. Einstein proposed a basic theoretical framework for risk analysis in underground engineering, pointing out that risks during underground construction are characterized by uncertainty and dynamic evolution, requiring systematic risk analysis methods for their evaluation and management [12]. Subsequently, Sousa and Einstein developed a tunnel construction risk analysis model based on Bayesian Networks, systematically analyzing potential risk events during tunnel construction by integrating geological forecast information and construction decision models [13]. Further, Lu et al. proposed a dynamic Bayesian network method for metro construction risk assessment, enabling dynamic updating of risk probabilities by incorporating real-time monitoring data, thereby achieving temporal evaluation of risk evolution during construction [14]. However, these methods often overlooked the temporal dynamics of monitoring data. Tunnel construction risks are dynamic, and relying solely on static parameters cannot fully reflect potential hazards or achieve precise early warning.
Building on this, Zhang et al. developed a novel model for assessing the risk of tunnel construction on adjacent buildings [15]. This model could synthesize multi-source information to achieve real-time, dynamic assessment of risk levels. Following that, Chen et al. used tunnel construction site data to compare the accuracy of various machine learning techniques in predicting ground settlement induced by shield tunneling [16]. Their study validated that machine learning models, trained and tested on real-time field data, perform well and hold practical significance.
The subsequent emergence of deep learning brought new possibilities to research safety risk early warning in metro tunnel construction [17]. Deep learning models possess powerful representation learning capabilities, enabling them to automatically extract high-level features from raw or minimally processed data, thereby reducing dependence on manual feature engineering [18]. Regarding feature extraction and dimensionality reduction, the deep autoencoder structure proposed by Hinton and Salakhutdinov can efficiently compress high-dimensional data into a low-dimensional code via neural networks and nearly losslessly reconstruct the original data from this code [19]. This concept directly inspired feature extraction techniques for monitoring data based on autoencoders in tunnel engineering, making it possible to extract robust features indicative of disaster precursors from massive, high-dimensional sensor data. In sequential data modeling, Sutskever et al. proposed the Sequence-to-Sequence (Seq2Seq) learning framework [20]. The Long Short-Term Memory (LSTM) network, as a core component of Seq2Seq models, can effectively capture long-term temporal dependencies in monitoring data such as surrounding rock deformation and surface settlement, making it more suitable for extracting dynamic features from time-series data like monitoring curves [21]. During the feature fusion and classification stage, researchers concatenate extracted static and dynamic features and employ classifiers such as the Multilayer Perceptron (MLP) to achieve disaster type identification and risk level judgment [22]. The MLP possesses strong nonlinear fitting and pattern learning capabilities, enabling it to effectively capture complex relationships within fused features, thereby improving the identification accuracy of safety risks in metro tunnel construction [10,23]. Although current research has begun integrating static and dynamic features, a systematic framework for multi-disaster identification and graded risk warning remains underdeveloped [24,25,26,27].
In summary, existing research on tunnel construction risk has primarily focused on two areas: probabilistic risk assessment and single machine learning prediction models. Representative of the former is the Bayesian network-based risk analysis method proposed by Sousa and Einstein, which enables probabilistic modeling of construction risks but offers limited capacity for the dynamic utilization of real-time monitoring data. On the other hand, several studies have begun to employ machine learning methods to predict key indicators during construction; for instance, Chen et al. utilized various machine learning models to predict surface settlement induced by shield tunneling. However, such methods typically focus on a single risk indicator or a single disaster type, making it difficult to achieve a comprehensive identification of multiple hazard risks. Furthermore, existing models still exhibit certain limitations in fusing multi-source monitoring data, often relying on either static features or single time-series data modeling. This makes it challenging to simultaneously characterize the coupling relationship between static geological conditions and dynamic monitoring data in complex construction environments. Addressing these issues, this paper proposes a subway tunnel construction safety risk warning framework based on multi-source monitoring data fusion. By constructing a two-stage prediction model of “disaster type identification–risk level assessment,” the framework achieves fine-grained identification and dynamic quantification of construction risk states.
Therefore, addressing the prominent issues of dynamically changing safety risks and insufficient multi-source information fusion in metro tunnel construction, and leveraging recent advances in deep learning for feature extraction and sequence modeling, this study proposes an intelligent risk warning triggering mechanism that integrates static and dynamic data features. This research not only aims to address key shortcomings in current warning systems regarding the granularity of disaster type identification and the dynamic quantification of risk levels but also methodologically advances tunnel engineering safety monitoring toward deeper integration of multi-source heterogeneous data and forward-shifted intelligent analysis. It holds significant theoretical innovation and engineering application value.
Compared with existing research, the innovations of this study are primarily reflected in the following aspects:
  • Proposed a two-stage cascaded framework linking disaster identification with risk quantification, enabling a hierarchical “identification–assessment” warning mechanism that improves the precision of risk response.
  • Designed a dual-autoencoder structure (MLP-AE and LSTM-AE) to capture deep features from both static and dynamic data, enhancing the integration of multi-source heterogeneous information and improving feature representation capability.
  • Implemented a continuous risk scoring and mapping mechanism to provide more precise and granular safety assessment results, supporting differentiated risk response strategies.
By combining methodological development with empirical validation from real-world monitoring data, this study offers a framework with significant generalizability and potential for wide-scale promotion.

2. Study Area and Engineering Background

The research data were collected from the central section of Changsha Metro Line 6, which has a total length of 7.94 km, including seven stations and six tunnel sections. This section forms transfer connections with multiple existing metro lines and is located in a densely developed urban underground space with highly complex construction conditions. The tunnel burial depth generally ranges from 17 to 33 m, with a minimum overburden thickness of approximately 8 m in certain sections. During construction, the tunnel passes beneath numerous existing buildings, municipal pipelines, and transportation facilities, posing stringent requirements for construction safety and surface settlement control.
This section exhibits significant complex geometric characteristics. The minimum radius of the horizontal alignment is 350 m. The minimum inner diameter of the tunnel is 6.8 m, and the minimum soil thickness between adjacent pilot tunnels is 2.6 m. In addition, Lieshi Park South Station adopts a two-level underground single-column double-span arch structure with a cross-sectional area of 418.4 m2.
From a geological perspective, the study section is located on the second terrace of the Xiangjiang River, characterized by relatively gentle topography but a well-developed groundwater system with strong hydraulic connections between surface water and groundwater. The engineering strata from top to bottom mainly include artificial fill, silty clay, silty sand, and moderately to strongly weathered slate and argillaceous siltstone bedrock. Among them, the silty sand layer is highly water bearing and poorly stable, making it prone to flow sand and collapse. Slate and argillaceous siltstone are susceptible to softening and disintegration when exposed to water, resulting in significant variations in mechanical properties. Moreover, several fault fracture zones, such as the F085 fault zone and the F20 fractured zone, are developed within the study area. These zones are characterized by highly fractured rock masses and well-developed fissures and maintain hydraulic connections with the Xiangjiang River, increasing the risk of water inrush and mud inflow during tunnel construction.
To cope with the stringent constraints of the urban environment and varying construction conditions, the project adopted more than ten construction methods, including the bench cut method, CD method, and CRD method. The geological conditions of this section are highly challenging, as the tunnel mainly passes through argillaceous siltstone formations that are prone to softening and exhibit strong permeability, while also crossing the F085 large-scale fault zone with a width of approximately 370 m. These conditions present high-risk characteristics such as an ultra-shallow burial depth and a biased ground pressure. Based on 138 key parameters extracted from 1481 boreholes, a three-dimensional geological database was established. Combined with 3D intelligent geological modeling technology, the structural characteristics of the fault zones were accurately analyzed, providing detailed data support for intelligent early warning of construction safety risks.
The construction monitoring period for the central section of Changsha Metro Line 6 lasted 1098 days (April 2018–April 2021), covering the entire process of shield tunneling and station construction. The monitoring system tracked 16 categories of engineering indicators, including surface settlement, structural stress, shield posture, vibration velocity, and groundwater pressure. Different sampling frequencies were adopted according to the characteristics of each indicator. Conventional monitoring indicators were recorded 1–2 times per day, while dynamic indicators such as vibration and shield equipment parameters were collected at a sampling frequency of 1 Hz. After data cleaning, approximately 3.2 million valid samples were obtained.
According to construction records and safety monitoring reports, the dataset was categorized into four states: normal condition, collapse risk, water–mud inrush risk, and abnormal gas risk. Among these, normal-condition samples accounted for more than 99%, while 12 high-risk events were recorded, indicating a significant class imbalance in the dataset. The dataset was stratified and divided into training, validation, and testing sets at a ratio of 70%–15%–15%, respectively, to ensure representative distribution across all risk categories for model training and performance evaluation. The layout of the tunnel section is shown in Figure 1.

3. Methodology

This study focuses on the entire risk domain of metro tunnel construction, addressing two core problems:
  • Fine-grained disaster type identification: To capture the implicit disaster evolution characteristics in multi-source monitoring data, a feature extraction structure integrating static and temporal information is designed. A classification model is then constructed to identify four typical states commonly encountered during construction: “normal”, “collapse”, “water/mud inrush”, and “gas explosion”, thereby improving the granularity of disaster identification.
  • Disaster level risk classification: Based on the results of the first stage, the risk severity is further predicted using a continuous scoring approach to characterize disaster intensity. Subsequently, a grading mechanism maps these scores to three risk levels (Safe, Moderate Risk, Significant Risk), providing clear response criteria for engineering decision-making.
To achieve these objectives, a two-stage risk identification system is constructed. In the data preprocessing and sample construction stage, static features (e.g., stratum structure, construction parameters) and dynamic features (e.g., displacement time series, support stress curves) are cleaned, interpolated, and normalized according to the diverse on-site monitoring data. Temporal data are segmented using a sliding window while retaining structured features, forming a unified input format. In the multi-source feature extraction and fusion stage, a Multilayer Perceptron Autoencoder (MLP-AE) [19] is employed to extract nonlinear compressed representations of static and statistical features, while a Long Short-Term Memory Autoencoder (LSTM-AE) [20] extracts deep dynamic features from temporal segments. The outputs of the two encoders are then fused, either by concatenation or attention mechanisms, to form a joint feature vector that provides a unified representation for downstream models. Specifically, the MLP-AE possesses strong nonlinear mapping capabilities, enabling effective feature compression and representation of static geological parameters and construction environment variables within an unsupervised learning framework. This process reduces information redundancy and extracts key structural features. In contrast, the LSTM-AE can capture long-term dependencies in time-series data through gating mechanisms, providing superior modeling capabilities for monitoring data with distinct temporal evolution characteristics, such as surrounding rock deformation and surface settlement. Therefore, by constructing a dual-autoencoder structure of “MLP-AE + LSTM-AE”, static environmental features and dynamic evolutionary features can be extracted separately. This enables the deep fusion of multi-source monitoring data and better characterizes the evolution patterns of risk states in complex construction environments.
Subsequently, a two-stage disaster prediction model is constructed. In the first stage, a multilayer perceptron (MLP) multi-classifier [17] is built using the fused features to output four disaster types. In the second stage, combining the first-stage prediction results with the original monitoring features, a regression model predicts a continuous risk score, which is then mapped to three risk levels (Safe, Moderate Risk, Significant Risk) through a grading mechanism.

3.1. Data Preprocessing

Data for this study were obtained from the construction phase of the central section of Changsha Metro Line 6. A multi-source dataset was built by integrating automated sensor readings and manual monitoring records, such as surface settlement, structural stress, and shield operational parameters, with geological survey reports, construction logs, and urban GIS data.

3.1.1. Selection and Classification of Indicators

The monitoring indicators were selected based on an extensive review of the relevant literature and established engineering practices in shield tunneling risk assessment. This approach ensured the inclusion of parameters that have been widely validated as critical for stability control and early warning in comparable metro tunneling projects. The variables were categorized into two groups: static indicators, which represent invariant or slowly changing geological and environmental conditions, and dynamic time-series indicators, which reflect real-time construction activities and system responses. The complete classification is presented in Table 1.

3.1.2. Data Cleaning and Formatting

All collected data underwent systematic preprocessing, which included format standardization, missing value imputation (linear interpolation for time series; mode/median for static variables), outlier detection and removal (values beyond ±3 standard deviations), and temporal alignment. Categorical static variables such as soil type and surrounding rock grade were one-hot encoded. Dynamic time-series data were segmented into consecutive sequences using a sliding window of length T = 10 min. These preprocessing steps generated a consistent, aligned spatio-temporal dataset suitable for subsequent analysis and model training, ensuring data quality and consistency across different monitoring indicators.

3.2. Feature Extraction

3.2.1. MLP-AE for Static Features

To extract deep representations of high-dimensional static data in subway tunnel construction, this study constructs an MLP-AE model. The encoder maps input data x into a low-dimensional latent feature representation layer z, which is subsequently reconstructed by the decoder to produce x ^ . By minimizing reconstruction error during training, the model ensures that the latent layer achieves dimensional compression while accurately extracting and preserving the core representations within the construction data.
After preprocessing, all variables are concatenated to form the static input vector X static R d , where d denotes the total dimensionality of the features. Collectively, these data reflect the environmental baseline conditions and overall risk level of the construction section.
In this study, the structure of the MLP-AE used for processing static features is illustrated in Figure 2. The model employs ReLU and tanh activation functions to enhance nonlinear modeling capability. The Mean Squared Error (MSE) is adopted as the loss function to quantify the discrepancy between the input data and the reconstructed data. The Adam algorithm is utilized as the optimizer, combined with an Early Stopping strategy to prevent overfitting and ensure the model’s generalization performance. Hyperparameter optimization is conducted using a grid search approach paired with cross-validation. The parameter combination that achieves the best performance on the validation set is selected as the final model configuration.

3.2.2. LSTM-AE for Dynamic Features

This model leverages the gating mechanism of LSTM to capture long-term dependencies. The encoder maps monitoring sequences into low-dimensional hidden state vectors, ensuring the precise representation of dynamic evolution patterns and temporal features during the decoding and reconstruction process. The overall structure of the LSTM-AE is illustrated in Figure 3.
The encoder extracts temporally dependent features from on-site monitoring time-series data through its internal LSTM module and encodes them into a low-dimensional hidden state vector z. The decoder then takes this hidden state as the initial condition and progressively reconstructs the original time-series data using another independent LSTM module.
The input to the LSTM subnetwork is represented as:
X s e q R T × k
where T denotes the time window length, representing the number of consecutive monitoring time points; k denotes the number of monitoring indicators per time step. Each input sample forms a T × k matrix encompassing multidimensional sequential information such as rock mass deformation and groundwater pressure. The specific structure of the LSTM-AE tailored for metro tunnel construction safety warning is illustrated in Figure 4.
Since the core task of both the MLP-AE and the LSTM-AE is to perform reconstruction learning on input data, their training objectives are identical. Therefore, a unified training strategy is adopted during the training process of both autoencoder types, utilizing the same loss function (MSE), optimizer (Adam), and hyperparameter optimization methods (grid search with cross-validation) as previously described. By maintaining consistent training configurations, the impact of additional hyperparameter variations on the experimental results can be minimized. This ensures that differences in model performance primarily stem from the variations in network structures and input data types, thereby enabling a more objective evaluation of the effectiveness of the two feature extraction methods in identifying subway tunnel construction risks.
Specifically, the MLP-AE possesses strong nonlinear mapping capabilities, enabling effective feature compression and the representation of static geological parameters and construction environment variables within an unsupervised learning framework. This process reduces information redundancy and extracts key structural features. In contrast, the LSTM-AE can capture long-term dependencies in time-series data through gating mechanisms, providing superior modeling capabilities for monitoring data with distinct temporal evolution characteristics, such as surrounding rock deformation and surface settlement. Therefore, by constructing a dual-autoencoder structure of “MLP-AE + LSTM-AE”, static environmental features and dynamic evolutionary features can be extracted separately. This enables the deep fusion of multi-source monitoring data and better characterizes the evolution patterns of risk states in complex construction environments.

3.3. Feature Fusion

To effectively utilize static and temporal features, it is necessary to integrate high-level abstract representations of these two heterogeneous data types, thereby enabling precise prediction of disasters during subway tunnel construction. This paper directly concatenates the static feature vector Z MLP extracted by the MLP-AE with the temporal feature vector Z LSTM extracted by the LSTM AE into a single long feature vector:
Z connect = [ Z MLP , Z LSTM ]
This fused representation integrates environmental conditions with real-time risk precursors.

3.4. Two-Stage Prediction Model

This paper constructs a two-stage disaster prediction model. In the first stage, a multi-layer perceptron (MLP) multi-classifier is built using fused features to output four disaster types. In the second stage, combining the first-stage prediction results with original monitoring features, a regression model predicts continuous risk scores, which are then mapped to three risk levels—Safe, Moderate Risk, and Significant Risk—through a grading mechanism.

3.4.1. Disaster Type Classification

The MLP model effectively captures complex relationships within fused features through multi-layer nonlinear mapping, making it suitable for risk identification tasks in multi-source data scenarios. In this study, the specific structure of the constructed MLP classifier is as follows: Input layer: The input features are the fused feature vectors proposed in Section 3.3, with dimensionality equal to that of the fused representation. Hidden layers: Two hidden layers are configured, containing 64 and 32 neurons, respectively. The Rectified Linear Unit (ReLU) activation function is applied uniformly to enhance nonlinear mapping capability and mitigate gradient vanishing. Output layer: The outputs are transformed into a probability distribution via the softmax function, representing the likelihood of each of the four states: normal, collapse, water/mud outburst, and gas explosion.
The corresponding output expression is given by:
y ^ = softmax ( W ( 3 ) h ( 2 ) + b ( 3 ) )
The structural diagram of the model is shown in Figure 5.
The loss function, model optimization, and hyperparameter optimization methods in this section remain consistent with the preceding sections.

3.4.2. Risk Level Prediction Model

To achieve precise prediction of disaster severity levels in metro tunnel construction, this study designs a regression model that outputs a continuous risk score. The model integrates the disaster type probabilities from the first stage with the fused abstract features extracted by the dual encoders (MLP-AE and LSTM-AE). These inputs are concatenated and passed through a fully connected network with two hidden layers (128 and 64 units, ReLU activation, Dropout = 0.3), ultimately yielding a continuous risk score.
The model is trained using the mean squared error loss ( L MSE 2 ) optimized with the Adam algorithm (learning rate = 0.001), and incorporates Early Stopping to prevent overfitting. Key hyperparameters—including hidden layer sizes, learning rate, batch size, and Dropout rate—are optimized via grid search combined with cross-validation.
L MSE 2 = 1 N i = 1 N ( y i y ^ i ) 2
In the above, y i denotes the true risk score of the i-th sample, and y ^ i represents the corresponding predicted score from the model.

4. Results and Discussion

4.1. Results Analysis

This section systematically evaluates the proposed two-stage early warning framework, with a focus on the performance of the risk level identification models. Experiments are conducted using the construction monitoring dataset from Changsha Metro Line 6. Four models are compared: Decision Tree (DT), Gradient Boosting Decision Tree (GBDT), Bayesian Network (BN), and Long Short-Term Memory network (LSTM). All data undergo denoising, standardization, and feature engineering. The SMOTE method is applied to mitigate class imbalance. Evaluation metrics include Accuracy, Precision, Recall, F1-score, and confusion matrix analysis.

4.1.1. Disaster Type Classification Performance

To evaluate the first-stage disaster type identification, the proposed MLP classifier (based on dual-autoencoder features) was tested on the same dataset. The classification results for the four disaster states (normal, collapse, water/mud inrush, gas explosion) are summarized in Table 2 and Figure 6.
The confusion matrix in Figure 6 reveals the distinct performance characteristics of the proposed MLP classifier across the four disaster states. For the normal state, the model achieves a recall of 95.7% (670 out of 700), indicating that the vast majority of regular construction periods are correctly identified, which is essential to minimize false alarms in practical applications. Similarly, the gas explosion state exhibits a recall of 91.3% (73 out of 80), demonstrating the model’s capability to capture the unique precursor patterns associated with gas anomalies despite the limited number of such events. In contrast, the collapse and water/mud inrush states show lower recalls of 85.0% and 84.2%, respectively. More importantly, a notable degree of mutual misclassification is observed between these two hazard types: 5 collapse samples are mistakenly classified as water/mud inrush, and 8 water/mud inrush samples are misclassified as collapse. This confusion is likely attributable to the similarity in their precursor signals—both often involve abrupt changes in groundwater pressure, strata deformation, and shield operating parameters, making them difficult to distinguish solely from monitoring data without additional geological context. The other off-diagonal misclassifications remain minimal (e.g., normal misclassified as collapse accounts for only 15 out of 700), confirming that the feature extraction and fusion strategy effectively captures the intrinsic characteristics of each disaster type. Overall, with an accuracy of 92.3% and a macro F1-score of 0.90, the proposed framework fulfills the first-stage objective of reliable disaster type identification, providing a solid foundation for subsequent risk level assessment.

4.1.2. Comparison of Risk Level Classification Performance

To further validate the effectiveness of the proposed method, its experimental results were compared with existing studies that primarily rely on probabilistic analysis (e.g., Bayesian networks) or traditional machine learning approaches (e.g., decision trees, GBDT). In contrast, the proposed method employs a dual-autoencoder feature extraction and a two-stage prediction framework that integrates static geological information with dynamic monitoring data. This enables joint modeling of disaster type identification and risk level assessment. Comparative results demonstrate that the proposed method achieves higher accuracy and F1-score in risk level identification, with notably superior recall for Level III major risks.
The overall classification performance of each model on the test set is summarized in Table 3. The LSTM model achieves the best comprehensive performance, with an accuracy of 91% and a macro-average F1-score of 0.87. GBDT and BN show moderate performance, with accuracies of 89% and 86%, respectively. The DT model, due to its simple structure and limited ability to fit complex nonlinear relationships, performs relatively poorly with an accuracy of 82%.
A further breakdown of Precision, Recall, and F1-score across the three risk levels (Level I: Safe, Level II: Moderate Risk, Level III: Significant Risk) is shown in Figure 7. The LSTM model maintains a high and balanced performance across all levels. Notably, for Level III (Significant Risk), it achieves a Recall of 0.958 and a Precision of 0.920. This indicates that the LSTM model can effectively capture the vast majority of high-risk events while maintaining a low false alarm rate, which is critical for practical engineering safety management. GBDT performs well for Level II risks. BN achieves the highest Precision (1.000) for Level III risks, but its Recall for Level II is relatively low (0.778), suggesting some under-detection.

4.1.3. Confusion Matrix and Error Analysis

The confusion matrices (Figure 8) reveal the specific misclassification patterns of each model. A common issue is that Level II (Moderate Risk) samples are frequently misclassified as either Level I or Level III. For instance, DT misclassifies 25.0% of Level II samples as Level I, and BN shows a similar misclassification rate of 22.2%. This indicates that the feature space for moderate risk may overlap with both safe and high-risk states, presenting a classification challenge.
In contrast, the LSTM’s confusion matrix shows the highest and most concentrated diagonal values, indicating the most reliable classification. Importantly, the LSTM demonstrates robust identification of Level III risks: only 4.2% are misclassified as Level II, and none are misclassified as Level I. This is of paramount importance for engineering applications, as underestimating a significant risk event could lead to catastrophic safety consequences and substantial economic losses.

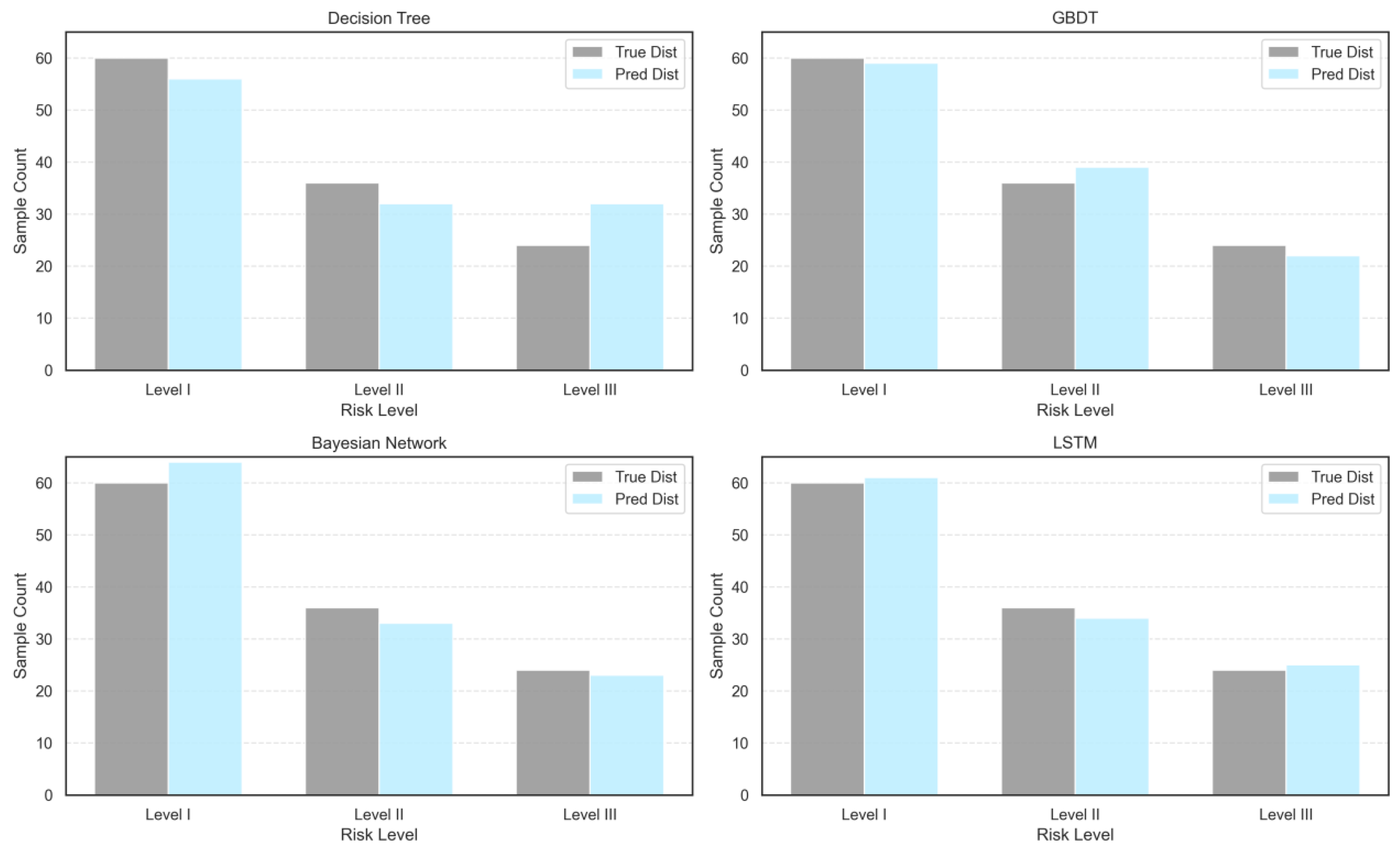
4.1.4. Analysis of Prediction Distribution Consistency

The alignment between the model-predicted risk level distribution and the actual distribution is a key indicator of generalization and calibration. As shown in Figure 9, the LSTM’s predicted distribution most closely matches the actual distribution. The proportion of samples predicted for each category aligns well with the ground truth. The predicted distributions of GBDT and BN show minor deviations, while DT’s distribution exhibits the largest discrepancy. This further confirms that the LSTM not only outperforms other models in standard evaluation metrics but also accurately captures the overall risk structure of the dataset, yielding more trustworthy and practically applicable outputs for on-site safety management.

4.2. Discussion

The experimental findings validate the efficacy of the proposed two-stage LSTM-based framework for dynamic risk identification in metro tunnel construction. The following points synthesize the core implications, limitations, and future directions arising from this work.
The superior performance of the LSTM-based model confirms the methodological innovation: a hierarchical “identify-then-quantify” architecture that leverages spatiotemporal feature fusion. By implementing disaster-type classification followed by continuous severity scoring, the framework delivers outputs that are both nuanced and actionable. The combination of static geological features extracted via MLP-AE with dynamic sequential patterns captured by LSTM-AE overcomes a fundamental limitation of prior approaches that relied solely on static inputs. The LSTM’s markedly higher recall for severe risks substantiates that capturing temporal precursor signals is essential for proactive warning, representing a meaningful advancement over models dependent on aggregated or static features.
The framework’s primary engineering contribution lies in its strong recall performance for significant (Level III) risks, directly addressing the critical requirement of minimizing false negatives in tunneling safety applications. This capability enables earlier warning triggers with greater reliability. Moreover, the continuous risk scoring mechanism facilitates differentiated emergency response strategies—ranging from heightened monitoring intensity to work stoppage—enhancing the practicality and adaptability of on-site risk management. The model’s balanced performance profile and consistent prediction distribution contribute to user trust, supporting its integration into real-world safety protocols.
Regarding model interpretability, while this study prioritizes risk identification performance enhancement, several straightforward approaches can be employed to improve interpretability. For instance, feature importance analysis can be applied to evaluate the influence of static geological parameters and construction environment variables on model predictions. For dynamic monitoring data, time-series sensitivity analysis or gradient-based saliency methods can be utilized to identify time segments that contribute substantially to risk prediction. By combining these approaches with engineering expertise and on-site monitoring data, practitioners can gain deeper insight into model decision-making processes, thereby improving the reliability and practical applicability of the model.
Several limitations warrant consideration. First, monitoring data collected from construction sites may be subject to sensor accuracy constraints, equipment failures, or environmental disturbances, resulting in noise or missing values that could affect prediction performance. Second, geological conditions and construction parameters may evolve across different tunnel construction phases, potentially introducing concept drift. Consequently, the model may necessitate periodic updates or retraining based on newly acquired monitoring data during extended deployment periods. Additionally, the experimental validation in this study is primarily based on data from a single engineering project. Future research should incorporate multi-project datasets spanning diverse geological and construction conditions to further evaluate and strengthen the model’s generalization capability.
Although this study focuses on three common disaster types during the tunnel construction phase, the proposed feature learning-based modular early warning framework exhibits strong generality and scalability. Future research could incorporate additional monitoring data sources, such as seismic monitoring and fire detection sensors, to extend the framework to broader engineering scenarios, including earthquake hazard early warning and tunnel fire monitoring during the operational phase. By integrating more diverse engineering cases and multi-hazard lifecycle monitoring data, the model can be further optimized and validated across different application scenarios, thereby enhancing its practical value in intelligent safety management systems for complex underground engineering.

5. Conclusions

This study addresses the critical need for safety risk early warning in metro tunnel construction. To overcome the limitations of existing approaches—namely, single disaster type identification and inadequate risk-level classification—this paper proposes a two-stage risk identification framework that fuses static environmental information with dynamic monitoring data. Specifically, MLP-AE and LSTM-AE are employed to extract features from static geological parameters and dynamic time-series monitoring data, respectively, enabling deep fusion of heterogeneous multi-source information. Based on these features, an MLP classifier and a risk score regression model are constructed to identify four typical disaster states—normal condition, collapse, water–mud inrush, and gas explosion—and to perform continuous risk quantification and risk-level classification. Experimental results demonstrate that the proposed framework effectively enhances the accuracy and reliability of intelligent risk early warning for complex underground construction environments.
Comparative experiments against conventional methods—including probabilistic approaches (e.g., Bayesian networks) and traditional machine learning models (e.g., decision trees, GBDT)—consistently show that the proposed framework achieves superior performance in risk level identification, with higher accuracy, F1-score, and notably stronger recall for Level III major risks. This performance gain is attributable to the dual-autoencoder feature extraction and two-stage joint modeling strategy, which effectively integrate static geological conditions with dynamic monitoring data.
From an engineering application standpoint, the proposed two-stage intelligent early warning framework offers substantial decision support value. It can be integrated into automated monitoring systems or smart construction safety management platforms for metro projects. By continuously receiving multi-source monitoring data such as surrounding rock deformation, ground settlement, and groundwater pressure, the model can dynamically evaluate construction risk conditions. When the predicted risk score exceeds predefined thresholds, different levels of warning responses can be triggered. Given that the model employs a prediction time window of approximately 10 min, it can provide early warning signals before significant deterioration of risk conditions occurs, thereby supporting timely and targeted decision-making in construction safety management.
In summary, this study presents a data-driven approach with practical engineering value for metro tunnel construction safety management. Future work will focus on enhancing model interpretability and addressing the limitations identified in this study, including the integration of more diverse engineering cases to further validate and optimize the framework across different application scenarios.

Author Contributions

Conceptualization, L.O. and Y.C.; methodology, L.O.; software, L.O.; validation, L.O. and Y.Z.; formal analysis, L.O.; investigation, L.O.; data curation, L.O.; writing—original draft preparation, L.O.; writing—review and editing, L.O., Y.Z. and Y.C.; visualization, L.O.; supervision, Y.C.; project administration, Y.C.; funding acquisition, Y.C. All authors have read and agreed to the published version of the manuscript.

Funding

This research was funded by the Science and Technology Progress and Innovation Project of the Department of Transport of Hunan Province, grant number 201419.

Data Availability Statement

The data presented in this study are available within this article.

Acknowledgments

The authors have reviewed and edited the output and take full responsibility for the content of this publication.

Conflicts of Interest

The authors declare no conflicts of interest.

References

  1. Chen, X.S.; He, Q.F.; Qiu, J.S.; Wang, L.; Su, D.; Liu, M.; Chen, K.; Qiu, T. Simultaneous construction of subways and utility tunnels: A case project in Shenzhen, China. Tunn. Undergr. Space Technol. 2025, 158, 106421. [Google Scholar] [CrossRef]
  2. Li, M.G.; Li, Z.Q.; Hu, K.; Tang, C.; Zhou, G. Adaptive high-resolution dynamic scanning system and method for deformation monitoring of underground infrastructure. IEEE Trans. Instrum. Meas. 2025, 74, 9533615. [Google Scholar] [CrossRef]
  3. Wang, H.G.; Gong, H.L.; Zhang, J.C.; Zhu, L.; Ning, D.; Zhou, C.; Yan, X. Layered monitoring of ground subsidence based on ultra-weak FBG sensing technology: A case study in Gaoyang County, China. Micromachines 2025, 16, 1380. [Google Scholar] [CrossRef] [PubMed]
  4. Zhou, Z.P.; Goh, Y.M.; Shi, Q.Q.; Qi, H.; Liu, S. Data-driven determination of collapse accident patterns for the mitigation of safety risks at metro construction sites. Tunn. Undergr. Space Technol. 2022, 127, 104616. [Google Scholar] [CrossRef]
  5. Pu, S.J.; Yang, X.L.; Wu, S.C.; Cheng, H.; Xiang, T.; Cui, J.; Hu, M. Risk assessment of tunnel construction in complex geological environments based on improved game theory and multi-dimensional cloud model. Bull. Eng. Geol. Environ. 2025, 84, 489. [Google Scholar] [CrossRef]
  6. Wang, Q.K.; Zhang, J.J.; Zhu, K.; Guo, P.; Shen, C.; Xiong, Z. The safety risk assessment of mine metro tunnel construction based on fuzzy Bayesian network. Buildings 2023, 13, 1605. [Google Scholar] [CrossRef]
  7. Xu, N.; Guo, C.R.; Wang, L.; Zhou, X.; Xie, Y. A three-stage dynamic risk model for metro shield tunnel construction. KSCE J. Civ. Eng. 2024, 28, 503–516. [Google Scholar] [CrossRef]
  8. Zhang, R.L.; Wu, W.; Li, Q.J.; Liu, J.; Wang, A. A dynamic calculation method for safety step distance in mechanized soft rock tunnel construction using multi-source data integration. Tunn. Undergr. Space Technol. 2025, 165, 106867. [Google Scholar] [CrossRef]
  9. Fei, J.B.; Wu, Z.Z.; Sun, X.H.; Su, D.; Bao, X. Research on tunnel engineering monitoring technology based on BPNN neural network and MARS machine learning regression algorithm. Neural Comput. Appl. 2021, 33, 239–255. [Google Scholar] [CrossRef]
  10. Zhou, J.; Zhang, Y.L.; Qiu, Y.G.; Peng, K.; Khandelwal, M. Enhancing tunnel safety with machine learning models for ground behavior prediction. Tunn. Undergr. Space Technol. 2025, 165, 106888. [Google Scholar] [CrossRef]
  11. Mahdevari, S.; Shahriar, K.; Yagiz, S.; Shirazi, M.A. A support vector regression model for predicting tunnel boring machine penetration rates. Int. J. Rock Mech. Min. Sci. 2014, 72, 214–229. [Google Scholar] [CrossRef]
  12. Einstein, H.H. Risk and risk analysis in rock engineering. Tunn. Undergr. Space Technol. 1996, 11, 141–155. [Google Scholar] [CrossRef]
  13. Sousa, R.L.; Einstein, H.H. Risk analysis during tunnel construction using Bayesian Networks: Porto Metro case study. Tunn. Undergr. Space Technol. 2012, 27, 86–100. [Google Scholar] [CrossRef]
  14. Lu, X.Y.; Xu, C.S.; Hou, B.W.; Du, X.; Li, L. Risk assessment of metro construction based on dynamic Bayesian network. Chin. J. Geotech. Eng. 2022, 44, 492–501. [Google Scholar]
  15. Zhang, L.M.; Wu, X.G.; Ding, L.Y.; Skibniewski, M.J. A novel model for risk assessment of adjacent buildings in tunneling environments. Build. Environ. 2013, 65, 185–194. [Google Scholar] [CrossRef]
  16. Chen, R.P.; Zhang, P.; Wu, H.N.; Wang, Z.; Zhong, Z. Prediction of shield tunneling-induced ground settlement using machine learning techniques. Front. Struct. Civ. Eng. 2019, 13, 1363–1378. [Google Scholar] [CrossRef]
  17. Li, F.N.; Zheng, M.; Yu, J.X.; Ding, X.; Xiahou, X.; Li, Q. Deep learning-based safety early-warning model for deep foundation pit construction with extra-long weir construction method—A case study of the Jinji Lake tunnel. Buildings 2025, 15, 4270. [Google Scholar] [CrossRef]
  18. Zhou, Z.P.; Zhuo, W.; Cui, J.Q.; Luan, H.; Chen, Y.; Lin, D. Developing a deep reinforcement learning model for safety risk prediction at subway construction sites. Reliab. Eng. Syst. Saf. 2025, 257, 110885. [Google Scholar] [CrossRef]
  19. Hinton, G.E.; Salakhutdinov, R.R. Reducing the dimensionality of data with neural networks. Science 2006, 313, 504–507. [Google Scholar] [CrossRef] [PubMed]
  20. Sutskever, I.; Vinyals, O.; Le, Q.V. Sequence to sequence learning with neural networks. Adv. Neural Inf. Process. Syst. 2014, 27, 3104–3112. [Google Scholar]
  21. Jin, T.; Cao, C.; Li, M.; Zhu, K.; Jing, Y.; Wu, C.; An, X.; Bai, J. A missing data imputation method for waste dump landslide deformation monitoring based on a seq2seq LSTM-posterior correction model. Remote Sens. 2025, 17, 2962. [Google Scholar] [CrossRef]
  22. Liang, W.Z.; Sari, Y.A.; Zhao, G.Y.; McKinnon, S.D.; Wu, H. Probability estimates of short-term rockburst risk with ensemble classifiers. Rock Mech. Rock Eng. 2021, 54, 1799–1814. [Google Scholar] [CrossRef]
  23. Abramson, N.; Braverman, D.J.; Sebestyen, G.S. Pattern recognition and machine learning. Publ. Am. Stat. Assoc. 2006, 103, 886–887. [Google Scholar] [CrossRef]
  24. Huang, R.; Liu, B.G.; Sun, J.L.; Song, Y.; Yu, M.; Deng, T. Risk assessment approach for tunnel collapse based on improved multi-source evidence information fusion. Environ. Earth Sci. 2024, 83, 18. [Google Scholar] [CrossRef]
  25. Liu, P.; Jin, X.Q.; Shang, Y.T. Ontology-based automated knowledge identification of safety risks in metro shield construction. J. Asian Archit. Build. Eng. 2025, 2025, 1295–1324. [Google Scholar] [CrossRef]
  26. Wang, Y.; Liu, T.B.; Lu, Y.; Wan, H.; Huang, P.; Deng, F. Traffic accident risk prediction of tunnel based on multi-source heterogeneous data fusion. IEEE Access 2024, 12, 18694–18702. [Google Scholar] [CrossRef]
  27. Wu, B.; Wan, Y.J.; Xu, S.X.; Zhao, C.; Liu, Y.; Zhang, K. A multi-source intelligent fusion assessment method for dynamic construction risk of subway deep foundation pit: A case study. Sustainability 2023, 15, 10162. [Google Scholar] [CrossRef]
  28. Wang, S.N.; Li, J.; Luo, H.; Zhu, H.P. Damage identification in underground tunnel structures with wavelet based residual force vector. Eng. Struct. 2019, 178, 506–520. [Google Scholar] [CrossRef]
  29. Yang, W.M.; Fang, Z.D.; Wang, M.X.; Wang, J.; Bai, J. Recognition of formation characteristics based on vibration signals in shield tunneling. Tunn. Undergr. Space Technol. 2025, 155, 106199. [Google Scholar] [CrossRef]
  30. Xu, Y.S.; Wu, H.N.; Shen, J.S.; Zhang, N. Risk and impacts on the environment of free-phase biogas in quaternary deposits along the coastal region of Shanghai. Ocean Eng. 2017, 137, 129–137. [Google Scholar] [CrossRef]
  31. Song, P.; Xu, Z.S.; Wang, Z.X.; Lin, Y.X. Probabilistic analysis of shield tunnel responses to surface surcharge considering subgrade nonlinearity and variability. Mathematics 2025, 13, 2620. [Google Scholar] [CrossRef]
  32. Kullarkar, S.D.; Thote, N.R. TBM performance prediction using statistical and machine learning algorithms: Case study of slurry TBM used in Mumbai Metro Rail Tunnel Line-3 (UGC-03), India. J. Geol. Soc. India 2025, 101, 149–162. [Google Scholar] [CrossRef]
  33. Hao, X.J.; Sun, Z.W.; Zhao, Y.X.; Kang, Y.; Zhang, Q.; Cheng, J.; Wei, Y.; Chen, Z. Characteristics of ground surface settlement of double-line adjacent metro construction in sandy cobble stratum: A case study of Beijing airport line. KSCE J. Civ. Eng. 2021, 25, 4443–4456. [Google Scholar] [CrossRef]
  34. Zhang, Y.; Zhou, P.; Zhou, F.C.; Chen, C.; Feng, Y.; Fang, W.; Tang, F. Failure of urban subway segments in coastal area and reinforcement effect of bonded steel plate: A case study in China. Struct. Infrastruct. Eng. 2025, 21, 268–280. [Google Scholar] [CrossRef]
  35. Ma, L.; Luo, H.B.; Chen, H.R. Safety risk analysis based on a geotechnical instrumentation data warehouse in metro tunnel project. Autom. Constr. 2013, 34, 75–84. [Google Scholar] [CrossRef]
  36. Tao, Y.H.; Rao, J.Y. Construction analysis of Guiyang Metro passing across Guiyang railway station in karst zone. Tunn. Undergr. Space Technol. 2022, 126, 104541. [Google Scholar] [CrossRef]
  37. Wan, L.; Xie, X.Y.; Wang, L.J.; Li, P.; Yin, H. Cavity location method for operational metro tunnels based on perturbation theory. KSCE J. Civ. Eng. 2021, 25, 2300–2313. [Google Scholar] [CrossRef]
  38. Shen, Y.; Sun, S.C.; Sun, W.; Zhou, L.; Huang, Z. Understanding the factors and consequences of gas deflagration accident in metro shield tunnel: Site investigation and numerical analysis. Buildings 2024, 14, 56. [Google Scholar] [CrossRef]
  39. Yao, Y.X.; Fang, Y.; Dou, L.P.; He, C.; Zhuo, B.; Xu, G. Experimental study on granule trajectory tracking for the EPB shield tunneling in sandy cobble stratum. Tunn. Undergr. Space Technol. 2024, 153, 105980. [Google Scholar] [CrossRef]
  40. Cao, S.Z.; Cui, J.; Fang, Y.; Deng, R.Y. Performance of slurry TBM tunnelling in sandy cobble ground—A case study in Lanzhou. KSCE J. Civ. Eng. 2019, 23, 3207–3217. [Google Scholar] [CrossRef]
  41. Lei, M.F.; Lin, D.Y.; Huang, Q.Y.; Shi, C.; Huang, L. Research on the construction risk control technology of shield tunnel underneath an operational railway in sand pebble formation: A case study. Eur. J. Environ. Civ. Eng. 2020, 24, 1558–1572. [Google Scholar] [CrossRef]
  42. Liang, X.; Qi, T.Y.; Jin, Z.Y.; Qin, S.; Chen, P. Risk assessment system based on fuzzy composite evaluation and a backpropagation neural network for a shield tunnel crossing under a river. Adv. Civ. Eng. 2020, 2020, 8840200. [Google Scholar] [CrossRef]
  43. Le, B.T.; Nguyen, T.T.T.; Divall, S.; Davies, M.C.R. A study on large volume losses induced by EPBM tunnelling in sandy soils. Tunn. Undergr. Space Technol. 2023, 132, 105424. [Google Scholar] [CrossRef]
  44. Jiang, Y.L.; Tang, X.; Zhu, B.T.; Zhou, K.; Pan, Y.; Xu, C. Research on muck conditioning for EPB shield tunnelling in composite formation. Sci. Rep. 2024, 14, 30936. [Google Scholar] [CrossRef]
  45. Zhou, X.; Chen, H.S.; Zhou, Y.J.; Hou, L.; Wang, J.; Du, S. Measured spatiotemporal development and environmental implications of ground settlement and carbon emissions induced by sequential twin-tunnel shield excavation. Buildings 2025, 16, 25. [Google Scholar] [CrossRef]
Figure 1. Layout of the central section tunnel of Changsha Metro Line 6.
Figure 1. Layout of the central section tunnel of Changsha Metro Line 6.
Buildings 16 01550 g001
Figure 2. MLP AE Model Flowchart for Subway Tunnel Construction Safety Risks.
Figure 2. MLP AE Model Flowchart for Subway Tunnel Construction Safety Risks.
Buildings 16 01550 g002
Figure 3. Workflow of the LSTM-AE model.
Figure 3. Workflow of the LSTM-AE model.
Buildings 16 01550 g003
Figure 4. LSTM-AE Model Flowchart.
Figure 4. LSTM-AE Model Flowchart.
Buildings 16 01550 g004
Figure 5. Multilayer Perceptron Classifier Model.
Figure 5. Multilayer Perceptron Classifier Model.
Buildings 16 01550 g005
Figure 6. Confusion matrix of disaster type classification using the proposed MLP classifier.
Figure 6. Confusion matrix of disaster type classification using the proposed MLP classifier.
Buildings 16 01550 g006
Figure 7. Risk Level Identification Model—Detailed Classification Report.
Figure 7. Risk Level Identification Model—Detailed Classification Report.
Buildings 16 01550 g007
Figure 8. Risk Level Identification Model—Test Set Confusion Matrix.
Figure 8. Risk Level Identification Model—Test Set Confusion Matrix.
Buildings 16 01550 g008
Figure 9. Risk Level Identification Model—Predictive Distribution Comparison.
Figure 9. Risk Level Identification Model—Predictive Distribution Comparison.
Buildings 16 01550 g009
Table 1. Classification of Disaster Early Warning Data for Metro Tunnel Construction.
Table 1. Classification of Disaster Early Warning Data for Metro Tunnel Construction.
Static Data IndicatorsDynamic Data Indicators
Discrete VariablesContinuous Variables(Time-Series)
soil type [28]
surrounding rock grade [29]
adverse geological conditions [16]
hazardous gas parameters [30]
stratum depth [31]
lithological parameters [32]
stratum moisture content [33]
Thrust Force [34]
Surface Settlement [16,33]
Crown Settlement [35]
Lining Structural Stress [36]
Groundwater Level Change [37]
Relevant Gas Concentration [38]
Advance Speed [39]
Cutterhead Rotation Speed [40]
Earth Pressure [41]
Slurry Pressure [42]
Grouting Volume [43]
Water Injection Volume [44]
Shield Attitude Change [45]
Table 2. Performance comparison of different models in disaster type identification.
Table 2. Performance comparison of different models in disaster type identification.
ModelAccuracy (%)Macro F1-Score
SVM85.20.82
Random Forest87.60.84
MLP (proposed)92.30.90
Table 3. Performance comparison of different models in the risk level identification task.
Table 3. Performance comparison of different models in the risk level identification task.
ModelAccuracy (%)F1-ScoreFeatures
Decision Tree820.78High interpretability, but prone to overfitting; limited ability to fit complex nonlinear relationships
GBDT890.85Strong generalization capability, suitable for complex features
Bayesian Network860.82Can model causal relationships and adapt to uncertainty
LSTM910.87Suitable for time-series data with good dynamic performance; best comprehensive performance
Disclaimer/Publisher’s Note: The statements, opinions and data contained in all publications are solely those of the individual author(s) and contributor(s) and not of MDPI and/or the editor(s). MDPI and/or the editor(s) disclaim responsibility for any injury to people or property resulting from any ideas, methods, instructions or products referred to in the content.

Share and Cite

MDPI and ACS Style

Ou, L.; Zhang, Y.; Chen, Y. Intelligent Triggering of Safety Risk Warning in Metro Tunnel Construction: A Two-Stage Framework Integrating Static and Dynamic Data. Buildings 2026, 16, 1550. https://doi.org/10.3390/buildings16081550

AMA Style

Ou L, Zhang Y, Chen Y. Intelligent Triggering of Safety Risk Warning in Metro Tunnel Construction: A Two-Stage Framework Integrating Static and Dynamic Data. Buildings. 2026; 16(8):1550. https://doi.org/10.3390/buildings16081550

Chicago/Turabian Style

Ou, Liang, Yinghui Zhang, and Yun Chen. 2026. "Intelligent Triggering of Safety Risk Warning in Metro Tunnel Construction: A Two-Stage Framework Integrating Static and Dynamic Data" Buildings 16, no. 8: 1550. https://doi.org/10.3390/buildings16081550

APA Style

Ou, L., Zhang, Y., & Chen, Y. (2026). Intelligent Triggering of Safety Risk Warning in Metro Tunnel Construction: A Two-Stage Framework Integrating Static and Dynamic Data. Buildings, 16(8), 1550. https://doi.org/10.3390/buildings16081550

Note that from the first issue of 2016, this journal uses article numbers instead of page numbers. See further details here.

Article Metrics

Back to TopTop