Abstract
Achieving the “Dual Carbon” goals requires accelerating the near-zero energy transition of office buildings. Existing research focuses on isolated economic or technical dimensions, neglecting the dynamic evolution of tripartite collaboration among the government, developers, and users, and lacking integrated quantification of key drivers like carbon reduction, energy savings, and comfort benefits. To address this, this study develops a tripartite evolutionary game model that incorporates technical parameters, simulated with data from a nearly zero-energy office building (NZEOB). Results show that the transition is stage-dependent, shifting from initial government drive to long-term market sustainment. The economic benefits from energy savings emerge as the core decision factor in current technology adoption, often exerting a stronger influence than carbon reduction benefits, while improvements in comfort can effectively accelerate market acceptance. Technology pathways need to align with developmental stages; low-cost technologies are advisable in the early phase to lower entry barriers, whereas medium to later stages should focus on technologies with high combined benefits and system integration. Policy instruments should be dynamically optimized, with an emphasis on strengthening penalty mechanisms to establish rules in the early stage, shifting toward performance-linked incentives in the mid-to-late stages, and emphasizing compensation mechanisms to build trust. This study offers a basis for multi-party collaboration and stage-adapted strategies.
1. Introduction
The world is confronted with the dual challenge of meeting carbon neutrality goals and decarbonizing the construction industry. The building sector is a significant source of energy consumption and greenhouse gas emissions; according to the International Energy Agency, it accounts for approximately 40% of global final energy use [1]. Consequently, the impact of building energy consumption on carbon emissions has become a focal point of contemporary carbon neutrality targets, with research mainly focusing on energy conservation [2], sustainable energy adoption [3], and the design of novel energy-saving technologies [4].
Against this backdrop, China’s national strategy, which aims to achieve carbon peaking by 2030 and carbon neutrality by 2060 and is commonly termed the “Dual Carbon” goals, provides a critical policy impetus and research context for systematically exploring decarbonization pathways in the building sector. The green, low-carbon transformation of the construction industry, especially through the development of nearly zero-energy buildings (NZEBs), represents a core pathway for attaining these objectives.
With advances in new technologies and energy sources, NZEBs have attracted growing attention for their marked potential to reduce building operational energy consumption. From a carbon emission perspective, however, the key stakeholders involved in the low-carbon building transition, including the government, developers, and users, often hold divergent views on costs and benefits, leading to conflicting objectives and coordination difficulties. The widespread adoption of NZEBs essentially depends on the interaction and coordination of strategies among these three parties. Yet existing research remains insufficient in uncovering the dynamic game-theoretic mechanisms of multiple stakeholders and in integrating techno-economic parameters. Most studies treat building types uniformly, while for office buildings, a category of public buildings characterized by high energy consumption and significant energy-saving potential, inappropriate transition strategies can adversely affect not only green leasing premiums and the performance of energy-saving technologies, but also occupant productivity and health [5]. Under the “Dual Carbon” framework, integrating social factors with environmental and economic considerations in building design is crucial [6]. This requires research to look beyond the operational energy savings of NZEBs and to holistically consider embodied carbon from the construction phase, operational carbon, and related carbon-offset measures. Therefore, it is important to investigate the dynamic effects of varying costs and energy-saving benefits of different technologies across market stages, and to systematically reveal their phased impact on tripartite decision-making behavior.
Therefore, to reveal the interactive decision-making relationships among the government, developers, and users, this study focuses on office buildings and constructs a tripartite evolutionary game model. Through mathematical modeling and simulation, a sensitivity analysis of relevant influencing factors is conducted to identify optimal pathways for tripartite cooperation. The aim is to thoroughly investigate stakeholder relationships specific to nearly zero-energy office buildings (NZEOBs) in order to promote their development and offer practical insights for achieving the “Dual Carbon” targets.
The main contributions of this paper are as follows: (1) To clarify the mechanism for NZEOB transition, a tripartite evolutionary game model centering on the government, developers, and users is developed. The decision-making demands and behaviors of these three stakeholders across different time periods are examined. (2) By integrating parameters from the literature and actual cases, a game model incorporating the techno-economic parameters of NZEOBs is constructed to quantify and compare the promotion effectiveness of different technological pathways. (3) Key factors influencing tripartite coordination are identified. The simulations demonstrate that both subsidy–penalty policies and green premiums exhibit optimal ranges. Building on this, we propose stage-specific policy portfolios and market cultivation strategies, offering actionable guidance for stakeholders to design their implementation roadmaps.
2. Literature Review
2.1. Nearly Zero-Energy Office Buildings and Techno-Economic Research
Office buildings currently account for 25% of total carbon emissions, making them a major source of fossil energy use [7]. To achieve carbon neutrality, reducing emissions and energy consumption has become a key focus for the built environment. This is pursued through technical means, encompassing both passive and active strategies such as renewable energy adoption, energy storage, and improved indoor climate design [8]. Within this hierarchy, the most effective approaches are low-energy buildings, nearly zero-energy buildings (NZEBs), and zero-energy buildings (ZEBs). Currently, ZEBs are considered a priority for energy conservation and curbing fossil fuel use [9], but few buildings meet their stringent technical and economic requirements. Scholars have proposed that by 2030, NZEBs will become the primary goal for low-carbon building retrofits, with targets including 30% of new buildings becoming NZEBs and 30% of existing buildings being retrofitted to NZEB standards [10].
For office buildings to meet NZEB targets, typical measures include integrating renewable energy, optimizing envelope performance, and improving architectural form [11]. Carbon reduction pathways span the entire building lifecycle, including design, construction, operation, and demolition, highlighting the need for early intervention starting from government planning and schematic design [12]. Technically, research has evolved from passive strategies [4] to integrated optimization of active systems [13,14,15], and more recently to incorporating photovoltaics, energy storage, and smart management under a “passive-first, active-optimization” approach [16,17,18]. However, most existing studies focus predominantly on the energy performance of individual technologies [19]. Balancing multiple factors to achieve optimal outcomes at minimal cost remains a key challenge for stakeholders [20]. In the low-carbon transition, simply increasing renewable energy use may not fully address emissions and could lead to a “high emissions with high recycling” pattern without alleviating user costs, while aggressive technical upgrades often raise costs.
In this context, research has evolved beyond assessing direct economic savings to include implicit benefits like environmental gains and improved comfort, aiming for cost reduction and efficiency enhancement. Some studies use cost–benefit analysis (CBA) to evaluate the lifecycle benefits of energy-efficient buildings [21,22], while others apply system dynamics (SD) to highlight integrated measures such as energy-saving awareness for NZEB promotion [23]. However, these studies overlook differentiated strategic choices and dynamic interactions among stakeholders across stages. Global NZEB promotion still faces barriers including high costs, technological complexity, weak regulation, and limited engagement [17,24], underscoring the need for systematic investigation into stakeholder synergies [19].
2.2. Application of Game Theory in NZEB Research
Evolutionary game theory has become a key tool for analyzing multi-party strategic interactions. Unlike traditional game theory, which assumes perfect rationality, it emphasizes bounded rationality and simulates long-term strategy evolution through replicator dynamics [25], making it well suited for studying green technology diffusion driven by learning and imitation. To systematically review the relevant literature, this paper selects representative studies focusing on stakeholder game analysis in the green and low-carbon building sector and summarizes their core elements in Table 1.
Table 1.
Salient literature review.
A review of the above studies reveals that existing research has predominantly focused on general green buildings and residential buildings, examining the influence of factors such as subsidies, penalties, and residents’ willingness to pay on participant decision-making [25,26,27]. Some studies have targeted the public building retrofit market, highlighting the critical impact of factors such as potential losses [29], user coordination costs [30] and developers’ lifecycle awareness [31] on retrofit decisions, while also exploring differentiated incentive strategies such as optimized subsidy schemes. However, these studies pay relatively limited attention to the specific building type of nearly zero-energy office buildings. Unlike residential buildings, office buildings, as high-energy-consumption public structures, exhibit more pronounced operational and maintenance costs and energy-saving benefits [40]. Consequently, promoting NZEOBs requires attention to co-benefits such as improved employee productivity, health cost savings, brand value, and green rental premiums [6,24,41,42]. Existing game models have not yet systematically incorporated these factors into their analytical frameworks.
Furthermore, most studies emphasize the dynamic optimization of government-led macro-level policy instruments, examining the influence of factors such as public supervision [32], dynamic reward–penalty mechanisms [33], subsidy strategies [34,38], and risk and loss perception [28] on participant decisions. Although some research identifies technological cost as a core constraint [19,31] and analyzes the role of policy instruments in green technology diffusion [35,36,39], revealing stage-wise characteristics of market development [37], most existing game models simplify technological factors into exogenous cost parameters. They do not systematically differentiate and quantify how the comprehensive performance of technological measures, including incremental cost, operational energy savings, and carbon reduction, dynamically influences the strategic choices of participants across different market stages, thereby failing to provide strategic guidance for technology promotion pathways. Concurrently, most models fail to holistically consider building carbon emissions and carbon offset measures, nor do they internalize carbon reduction performance as a core benefit, which weakens the linkage between policy analysis and the “Dual Carbon” goals.
2.3. Research Gaps
Although existing studies provide a theoretical basis for stakeholder participation in promoting energy-efficient buildings, the following research gaps remain: (1) There is a lack of research on stage-specific multi-party benefit decisions that promote NZEOB development within the specific context of the “Dual Carbon” goals. This gap leaves office buildings, a key target for near zero-energy transition, without sufficient evidence to support practical policy formulation. (2) Research lacks an in-depth exploration of the unique behavioral mechanisms of stakeholders in the low-carbon transition of office buildings. For example, a quantitative analysis integrating the government’s economic costs and carbon reduction performance, as well as users’ energy savings, comfort, and productivity gains, is still needed. (3) Most existing game models fail to adequately capture how the multidimensional impacts of various NZEB technologies influence the strategic decisions of the three stakeholders. (4) Most studies on enhancing NZEB cost-effectiveness employ static analytical methods, with limited examination of how stakeholder strategies evolve in response to dynamic changes in costs and benefits.
3. Evolutionary Game Model Analysis
3.1. Stakeholder Demand Analysis
Local governments play a pivotal role beyond fiscal subsidies for market entry. Their core function is constructing a long-term policy framework balancing incentives with constraints. This includes raising mandatory energy efficiency standards, using environmentally friendly materials and low energy standards in demonstration projects, and implementing refined carbon management systems. Government decision-making dynamically balances short-term expenditure, long-term emission reductions, and regulatory credibility. Policy effectiveness lies in translating national strategies into stable market expectations, directing resources toward green innovation and high-quality building supply [43].
For developers, incremental construction and operating costs constitute the major costs, while other costs are often negligible [44,45]. As technology integrators and market suppliers, their decisions are central to the NZEOB transition. Under the objective of profit maximization, developers must carefully assess the substantial incremental costs associated with adopting various technologies [46]. Their motivation for transition stems from multiple anticipated returns, including complying with stringent regulations to avoid penalties, meeting policy requirements to secure green financial support, and gaining product premiums and enhancing long-term market competitiveness by building a green brand and offering healthier, more comfortable office spaces [47]. Simultaneously, developers must account for potential risks related to non-compliance or performance shortfalls, including the cost of compensating users for failing to deliver promised green performance as stipulated by policy or market agreements. Therefore, developer behavior responds to costs, policy signals, and market demand.
Users are the end-users and primary operators of energy efficiency in NZEOBs, and their choices constitute a fundamental source of market demand. User decision-making involves not only sensitivity to direct economic costs, such as rent and operational energy expenses, but also a growing emphasis on the long-term value of the office environment for employee health, work efficiency, and talent attraction [47]. Research shows that enhancing perceptions of green products’ functional and emotional value drives purchase intention. Thus, incentivization requires more than price subsidies, which necessitates verifiable energy savings, perceptible comfort improvements, and transparent carbon information to make green choices commercially competitive.
Therefore, this paper constructs a tripartite evolutionary game model to analyze the NZEOB promotion process, with Figure 1 illustrating the interactive benefits among the three parties. In this framework, the government influences developer and user behavior through policies such as subsidies and penalties. Developers decide whether to invest in NZEOBs based on policy costs and market returns, while users make purchasing decisions considering building performance, price, and incentives. User purchase willingness serves as a key market signal that affects developers’ expected profits, while developers’ supply choices in turn shape user options. Through this model, the study aims to reveal the dynamics of tripartite strategic interaction and identify collaborative pathways to promote large-scale NZEOB development, thereby supporting carbon reduction goals in the building sector.
Figure 1.
Impact mechanism of nearly zero-energy office building development.
3.2. Model Assumption
Based on the analysis of relevant stakeholders in the NZEOB promotion process above, this study treats the government, developers, and users as players in the game model, applying evolutionary game theory to analyze their tripartite interactions. Each stakeholder pursues utility maximization; in practice, stakeholders’ strategies depend on cost–benefit comparisons and are adjusted based on actual conditions. These strategies will significantly affect the overall development trend and performance of the NZEOB market. The parameters of the tripartite evolutionary game model are defined and summarized in Table 2.
Table 2.
The tripartite evolutionary game payoff matrix.
- (1)
- Assume that in the government group, the proportion implementing active supervision policies is x, and the proportion not implementing supervision policies is (1 − x), 0 ≤ x ≤ 1; the proportion of the developer group choosing to develop NZEOBs is y, and the proportion not developing is (1 − y), 0 ≤ y ≤ 1; and the proportion of users approving NZEOBs is z, and the proportion not approving is (1 − z), 0 ≤ z ≤ 1.
- (2)
- When the government chooses active supervision, it incurs costs C1 for promotion, guidance, and regulation of NZEOBs. Developers of NZEOBs help achieve the government’s energy-saving and emission-reduction goals, which in turn yield carbon reduction performance benefit W2. According to policies for urban green and low-carbon development released in recent years, developers constructing green buildings of different ratings can receive corresponding subsidies [48]. When the government actively regulates, it provides a subsidy R1 to developers and an incentive R2. Simultaneously, as developers develop NZEOBs, this generates economic benefits W1 for the government, such as reduced investment in drainage and power infrastructure, and avoided economic losses. If the government does not regulate, it incurs losses C2 in credibility, public praise, and authority.
- (3)
- Developing NZEOBs allows developers to command a sales price premium. Let M1 and M2 denote the market prices of an NZEOB and a standard building, respectively. However, developers face additional costs C3 for energy-efficient envelopes, high-efficiency equipment, prefabrication, renewable energy, and carbon offsets—with the goal of reducing energy loss and CO2 emissions [6,49,50]. If developers choose a development strategy, they will obtain additional benefits V, such as enhanced corporate image and brand value. Developers who choose to build standard buildings under government supervision are subject to an economic penalty, P.
- (4)
- Users gain a direct economic benefit, denoted as Q, from reduced energy costs by choosing an NZEOB, which primarily stems from savings on electricity bills due to lower energy consumption. Simultaneously, they obtain indirect benefits, denoted as E, from improved indoor environmental quality, including aspects such as thermal comfort and air quality, which contribute to occupant health and comfort [51]. Furthermore, these fundamental improvements can generate derived economic impacts, such as potential gains in work efficiency and reductions in healthcare costs [52,53,54]. Regardless of whether users choose NZEOBs, the development of standard buildings by developers leads to excessive carbon emissions, resulting in environmental pollution and health damages, denoted as D [32]. The parameter L captures the subjective utility loss and psychological risk users face when compelled to choose conventional buildings, reflecting their heightened sensitivity to anticipated higher energy costs and inferior comfort levels. This perception of potential loss has been identified as a critical barrier to user adoption decisions [27,29]. The parameter S represents the compensation paid by developers to users under active government supervision when developers choose conventional buildings while users opt for NZEOB adoption. This mechanism directly hedges against users’ expected losses L, mitigating their perceived risk and utility gap caused by the lack of green supply, and embodies the institutional safeguard for sustaining market trust [55].
3.3. Model Establishment
Based on the above analysis, we developed a payoff matrix for the tripartite evolutionary game involving the government, developers, and users, thereby establishing the corresponding evolutionary game model. From this matrix, the payoff functions for each participant were defined. This allows for the derivation of their average expected payoffs and replicator dynamic equations. The payoff matrix for the tripartite evolutionary game is shown in Table 3.
Table 3.
Payoff matrix based on evolutionary game.
The expected payoffs for the government when supervising and not supervising NZEOBs are denoted by Ug1 and Ug2, respectively. The average expected payoff is represented by Ug. The equations are shown below:
The replicator dynamics equation for the government’s strategy selection is as follows:
The expected payoffs for the developer when constructing and not constructing NZEOBs are denoted by Ud1 and Ud2, respectively. The average expected payoff is represented by Ud. The equations are shown below:
The replicator dynamics equation for the developer’s strategy selection is as follows:
The expected payoffs for the user when approving and not approving NZEOBs are denoted by Uu1 and Uu2, respectively. The average expected payoff is represented by Ud. The equations are shown below:
The replicator dynamics equation for the user’s strategy selection is as follows:
In the above evolutionary game system, settings F(x) = 0, F(y) = 0, and F(z) = 0 yield the steady states of the system. According to Friedman [56], there exist eight pure-strategy equilibrium points: E1 (0, 0, 0), E2 (1, 0, 0), E3 (0, 1, 0), E4 (0, 0, 1), E5 (1, 1, 0), E6 (0, 1, 1), E7 (1, 0, 1), and E8 (1, 1, 1). In the context of the differential equation system, the stability of each equilibrium point can be analyzed by examining the local stability of the Jacobian matrix of the system. The Jacobian matrix J is obtained by taking the partial derivatives of the replicator dynamic equations and can be expressed as follows:
A1 = P − C1 + C2, A2 = V − C3 − M1, A3 = S − L, A4 = R1 + P + A2, A5 = M2 + S + A2,
A6 = E − M2 + Q + M1, A7 = W2 − R1 − C1 + C2
According to the Lyapunov indirect method, if all eigenvalues of the Jacobian matrix at an equilibrium point are negative, that equilibrium state is considered an Evolutionarily Stable Strategy (ESS). A detailed asymptotic stability analysis of these eight equilibrium points is conducted, and the corresponding eigenvalues for each are presented in Table 4.
Table 4.
Equilibrium points and their eigenvalues.
3.4. Stability Strategy Analysis Across Different Scenarios
Behavioral strategies within the NZEOB market evolve in distinct phases. The combination of stable strategies at each stage reflects a shifting balance between policy guidance, market response, and public awareness. Based on the stability analysis results of the system’s equilibrium points, eight scenarios are identified, as summarized in Table 5.
Table 5.
Stability conditions for the equilibrium points of the tripartite evolutionary game system.
In the early stage, stakeholders generally have insufficient awareness of NZEOBs and low-carbon concepts. The government lacks regulatory motivation to implement constraining policies, while the benefits for developers cannot cover their incremental costs. Under these conditions, the system’s ESS manifests as E1 (0, 0, 0), corresponding to a state of market inaction. Theoretically, as some users, having met their basic needs, develop a higher demand for better work environments [57], the system could shift to E4 (0, 0, 1). Alternatively, leading enterprises might achieve profitability through technological advantages, pushing the system towards E3 (0, 1, 0). However, according to Conditions 4 and 5 (Table 5), factors such as expected losses or the difficulty in sustaining substantial brand premiums make it challenging to meet the equilibrium conditions. Consequently, these states are difficult to achieve widespread adoption in practice.
As environmental issues gain prominence, local governments begin establishing a regulatory framework. At this point, C1 < P + C2, meaning that active government regulation can reduce reputational loss and generate penalty revenue. However, with R1 + P + V < C3 + M1, developers face high incremental costs and insufficient returns. Even with penalties in place, the economic benefits of constructing conventional buildings remain more attractive. Simultaneously, according to the condition S < L, users experience a perceived gap between expected and actual building performance, and the compensation offered by developers is considered inadequate, leading them to prefer conventional buildings. Consequently, the system’s ESS becomes E2 (1, 0, 0).
As the government increases incentives for both developers and users, the system’s ESS transitions to E7 (1, 0, 1). User demand is activated by policy incentives, satisfying Condition 7. However, the revenues and subsidies obtained by developers remain insufficient to offset the incremental costs of adopting new technologies. Regarding the equilibrium point E5 (1, 1, 0), its stability condition, which requires that −R1 + P + V < C3 + M1, implies that users must choose NZEOBs despite high price premiums—a scenario that is typically unstable.
As the government refines its reward and penalty mechanisms and market premiums increase, the transition begins to confer brand advantages and long-term competitiveness for developers. The system reaches the equilibrium point E8 (1, 1, 1), which remains stable under Condition 8. At this point, the government’s carbon reduction performance and reduced reputational risk outweigh its total expenditures. Meanwhile, the sum of various benefits for developers surpasses their incremental costs, and the green premium paid by users is fully offset by the energy-saving and indirect benefits they gain. This scenario is considered the optimal strategy for promoting the low-carbon transition of NZEOBs. As market mechanisms mature further, a point is reached where, under Condition 7, the benefits of active government regulation become lower than its costs. The system then converges to the equilibrium point (0, 1, 1), marking entry into the market’s self-driven maturity stage.
3.5. Evolutionary Paths Across Different Stages
The evolution of the NZEB market is a nonlinear one characterized by multiple stable states and dynamic feedback among the three stakeholders. Based on the above scenario analysis and lifecycle theory [58], this paper divides the process into the following four stages. Each developmental stage corresponds to a different possible pathway for the NZEOB market under low-carbon goals.
Initial Stage: Policy-Driven, Government-Led. The system converges to E2 (1, 0, 0). At this stage, governments strengthen the supervision and promotion of NZEB initiatives. However, the lack of positive feedback from developers and users results in a transition that remains predominantly government-driven. Consequently, strategies are uncoordinated and evolutionary progress is slow.
Development Stage: Subsidy Mechanisms and Behavioral Shifts. More effective compensatory measures, combined with rising public environmental awareness, encourage users to express green demand and support the transition under policy assurances. However, developers often still adopt a non-development strategy, as subsidies and revenues remain insufficient to fully offset high development costs, and market response falls short of expectations due to discrepancies in user experience. The system aligns with equilibrium point E7 (1, 0, 1), revealing a supply side lag.
Collaborative Stage: Strategic Convergence through Consensus. At this stage, the NZEOB transition begins to confer brand advantages and long-term competitiveness for developers. Developers become willing to invest in technology and accept moderate risks, while users actively choose NZEOBs driven by expectations of long-term benefits. Positive interaction among all three parties sets the market on a stable growth trajectory, with the system reaching equilibrium point E8 (1, 1, 1). This stage marks a critical shift in which market mechanisms gradually take over from strong government intervention, forming the core of a sustainable NZEOB sector.
Mature Stage: Market-Led, Endogenously Driven. In this stage, developers achieve higher returns through technological progress and economies of scale, while users form stable market demand based on proven benefits and environmental identity. Market mechanisms take the lead, and government regulation and subsidies gradually recede. The system stabilizes at equilibrium point E6 (0, 1, 1), where a sustainable market transaction relationship is established between developers and users.
Progress toward the ideal collaborative equilibrium E8 depends on optimizing government penalty and subsidy strategies, enhancing technical performance, while establishing reasonable green premiums and brand value to strengthen endogenous drivers. Numerical simulation and visualization help clarify strategic interactions and the impact of key variables, providing theoretical support and decision-making evidence for policy and market optimization.
4. Numerical Simulation
4.1. Data Sources and Parameter Settings
To deeply analyze how the system stabilizes at the ideal equilibrium and explore the evolutionary paths of each party, we conducted numerical simulations using MATLAB 2022b. Parameter settings in this study are derived from relevant policy documents, literature reviews, case studies, and market research [59,60,61,62,63,64,65,66,67,68,69,70,71,72,73,74,75].
To establish a practical quantitative foundation, we selected an NZEOB project located in China’s hot summer and cold winter climate zone as our simulation case. The project covers a total construction area of 78,335.3 m2, with 39,328.5 m2 above ground. Compared to standard new constructions, buildings of this type show significant potential for improvements in energy saving, carbon reduction, user experience, and energy management [49]. Studying this specific building type enables a better assessment of the technical applicability and economic feasibility of NZEOBs in this climate zone, thereby enhancing the empirical basis and policy relevance of the evolutionary game simulation.
Table 6 summarizes the technical measures adopted during the construction and operation phases of the project and the results of their cost–benefit analysis. The technical data are primarily drawn from a case study-based research report focusing on an actual certified NZEB office project in Sichuan Province [61]. These data were further integrated and analyzed with reference to standards such as the Standard for Building Carbon Emission Calculation and the Technical Standard for Nearly Zero Energy Buildings, and were used to calculate the incremental costs, energy-saving benefits, and carbon reduction potential of the NZEB technologies [59,60].
Table 6.
Technical measures for NZEBs and their cost–benefit performance in construction and operation.
Based on the calculation results from Table 6, the incremental cost of the main functional spaces is calculated as C3 = 5.6 × 102 yuan/m2. This parameter covers the additional investments during both the construction and operation and maintenance phases. The energy-saving benefit Q is monetized using the indirect benefit method [45], calculated as Q = ΔE × e × T, where ΔE is the annual energy saving per unit area, e is the electricity price, and T is the operational period [25]. Considering the lease term and equipment renewal cycle of office buildings, the operational period is set to 5 years, yielding Q = 2.2 × 102 yuan/m2. The carbon reduction performance is derived from the case building’s carbon reduction potential and benchmark carbon prices. Referring to recent and projected carbon market trends [62,63], the benchmark price for sustainable development in the collaborative stage is set at 300 yuan/ton, resulting in W2 = 0.8 × 102 yuan/m2. The effective value of W2 increases progressively with carbon market development [64]. Market price parameters are determined based on market research and the literature. The rental price of conventional office buildings is 45 yuan/m2/month, converted to M1 = 27 × 102 yuan/m2. Referring to studies on the premium range of LEED-certified office buildings [42,65], a benchmark premium of 13.3% is applied, yielding M2 = 30.6 × 102 yuan/m2. This premium follows an initial increase followed by stabilization, consistent with the influence of consumer preferences on green premiums, as discussed by Lv and Zhao [66].
For parameters that are not directly quantifiable, their values across different time periods are assigned following a logic based on relevant policy instruments, the parameter-setting methodology from the existing literature, and the stability conditions derived from the system’s evolutionary inequalities. The penalty parameter P is set according to existing policies and related studies [32,67], imposing fines of 2 to 10 times the average carbon price on entities exceeding their carbon emission quotas. Referring to the five-year carbon emission baseline of 0.3 t CO2/m2 for conventional buildings [68] and the projected carbon price trend, the value of P is designed to increase progressively with market development [25]. The brand value V is set following Song et al.’s [69] approach to quantifying implicit benefits. It is assumed to be positively correlated with the penalty intensity P and to increase progressively with market development, reflecting the long-term benefits developers gain from green branding as the market matures. The trends for government regulatory costs C1 and non-regulation costs C2 are informed by the literature examining reputation loss and its stage-dependent variation [25,32]. Specifically, C1 is assumed to decrease with improved management efficiency and market maturity, while C2 exhibits an initial increase followed by a subsequent decrease. The value ranges for subsidy parameters R1 and R2 draw on green building subsidy policies and the relevant literature [19,70,71]. Their variation follows the phased policy logic outlined in the ‘Work Plan for Accelerating the Establishment of a Dual Control System for Carbon Emissions’ [72], aiming to stimulate market initiation in early stages and gradually transition to market-based mechanisms as the sector matures.
The setting of users’ indirect benefit E is based on studies linking indoor environmental quality to work efficiency [54,73]. Given that green buildings can bring a productivity increase of 1.7% to 8%, combined with the number of users in the case building and urban per capita income data [74], the value range for E is approximately 0.5 to 2 × 102 yuan/m2, and it is assumed to increase progressively with enhanced user experience [5,33]. The users’ expected loss L is set with reference to prospect theory, expressed here as , where λ represents the degree of loss aversion and β is the risk aversion coefficient, capturing users’ subjective perception of loss associated with forgoing the unquantifiable benefits. Following Gao et al. [27], this study adopts λ = 1.1 and β = 0.88. The compensation S is directly tied to the users’ expected loss L. Following the logic of compensation mechanisms in environmental regulation games [55] and the progressive strengthening of ecological compensation under China’s “Dual Carbon” goals [75], S is assumed to increase progressively with market maturity. The values of parameters during each period are provided in Table 7.
Table 7.
Values for each parameter during different periods.
4.2. Simulation of Evolutionary Stable Strategy
We simulate the evolution of tripartite strategies during the collaborative and mature stages by conducting 100 simulation runs. The data are uniformly selected between 0 and 1, corresponding to different initial conditions for the three participants. The simulation employs the parameter values obtained from Table 5. This setup enables us to visualize the strategic evolution process over time and observe the final decision outcomes for all stakeholders. As illustrated in Figure 2, the evolutionary stable points corresponding to the four distinct phases yield different convergence results, where x, y, and z denote the strategy probabilities of the government, developers, and users.
Figure 2.
Evolution process of the system in different development periods. (a) Initial Stage: evolution towards equilibrium point (1, 0, 0); (b) Development Stage: evolution towards equilibrium point (1, 0, 1); (c) Collaborative Stage: evolution towards equilibrium point (1, 1, 1); (d) Mature Stage: evolution towards equilibrium point (0, 1, 1).
Figure 2 illustrates the evolutionary trajectories of the system converging to equilibrium points across different development stages. In the initial stage, all trajectories rapidly converge to (1, 0, 0), with developer and user strategies approaching 0 while government regulation rises to 1, reflecting the unilaterally government-driven characteristic of the early market. In the development stage, trajectories converge to (1, 0, 1), where user strategy converges significantly faster than developer strategy, revealing a market imbalance characterized by supply side lag. In the collaborative stage, all trajectories stably converge to (1, 1, 1) with diminishing fluctuations, demonstrating mutually reinforcing policy–market dynamics and positive tripartite interaction for sustainable development. In the mature stage, the system converges to (0, 1, 1). The probability of government regulation gradually declines to 0, while the strategies of developers and users remain steady at 1. This indicates market mechanism maturation and a corresponding reduction in government intervention.
4.3. Impact of Different Energy-Saving and Carbon Reduction Technological Measures on Tripartite Strategies
To examine how different technological measures affect the evolution of the three-party strategies, specifically how varying combinations of incremental costs and benefits influence system equilibrium, this study adopts the five technology scenarios outlined in Table 6. Each scenario adjusts key parameters: the developer’s incremental cost C3, the user’s energy-saving benefit Q, and the government’s carbon reduction benefit W2. These adjusted parameters are incorporated into the evolutionary game model for simulation.
Figure 3 illustrates the impact of different technological measures on the strategies of the three stakeholders across various stages. The simulation results show that in the initiation stage, various technological measures have limited impact on the three-party strategies. This is mainly because users lack direct experience with technological performance and their decisions are policy-driven, meaning that performance differences are not yet reflected in market signals. In the development stage, a reduction in incremental cost C3 can quickly incentivize developers to shift toward the development strategy. Adopting solar photovoltaic systems and green carbon offsetting measures at this stage reduces the time required for developers to reach the development strategy threshold (y > 0.5) by more than 40% compared to applying high-performance envelope technologies with higher costs. However, due to insufficient energy-saving benefits, the demand side fails to meet the stability condition M2 − R2 − E − Q − M1 < 0, making it difficult for the system to ultimately achieve a stable equilibrium. In the collaborative stage, technology combinations with higher energy-saving benefits Q enable the system to converge more rapidly to (1,1,1). Among these, integrated technological measures allow the system to achieve a stable state at the fastest speed. In the mature stage, the sufficient economic returns and enhanced brand competitiveness brought by integrated technologies can support the market in maintaining development strategies, while other single-technology pathways tend to push the system toward instability.
Figure 3.
Evolutionary process considering the technological measures: (a) initial stage; (b) development stage; (c) collaborative stage; (d) mature stage.
Figure 4 illustrates the impact of technological measures on the three-party strategies across two stages. The simulation results indicate that high energy-saving benefits Q can effectively offset the inhibitory effect of high incremental costs C3 on developers’ early stage decisions. As shown in Figure 4a, although integrated technological measures are constrained by higher costs (C3 = 5.6) in the early phase and thus slower to encourage developer transition, their substantial energy-saving benefits (Q = 2.2) significantly accelerate the convergence of user strategies toward stability, reducing the total system convergence time by more than 80% compared to adopting energy-efficient envelopes or high-efficiency equipment systems alone. Figure 4b,d show that compared to high-efficiency equipment system measures, although envelope measures achieve a twofold increase in carbon reduction benefits W2, the total system convergence time is reduced by only approximately 2.4%. When applying green carbon offsetting measures, despite their carbon reduction benefits and cost advantages, limited energy-saving benefits lead users to prefer conventional buildings. This demonstrates that in technology selection, the driving effect of energy-saving benefits Q is significantly stronger than that of carbon reduction performance W2.
Figure 4.
Impact of technological measures on developer and user strategies: (a) developer’s strategy in the collaborative stage; (b) user’s strategy in the collaborative stage; (c) developer’s strategy in the mature stage; (d) user’s strategy in the mature stage.
Therefore, in the early development stage, priority should be given to low-cost entry strategies, adopting technologies such as solar photovoltaic systems to quickly initiate the market and accumulate initial returns. However, maintaining market stability still requires technologies with higher energy-saving benefits, such as high-performance building envelopes. As the market enters the collaborative stage, strategic focus shifts toward technologies with prominent energy-saving performance, where integrated measures demonstrate significant advantages. In the mature stage, decision-making should pursue system integration through multi-technology coupling to enhance energy-saving performance while balancing comfort and carbon reduction, thereby maximizing overall benefits and maintaining stable market development.
4.4. Impact of Users’ Indirect Benefits on Tripartite Strategies
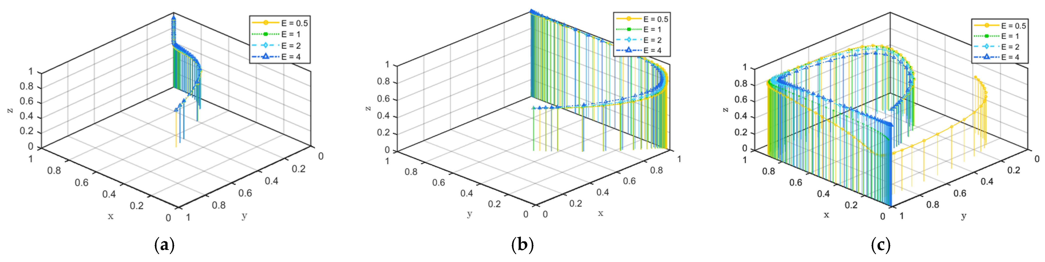
Figure 5 shows that the impact of users’ indirect benefit E on strategy evolution varies across stages. In the development stage, increasing E effectively enhances users’ expected utility from choosing NZEOBs, thereby accelerating the convergence of their strategies toward adoption. However, developers’ decisions remain constrained by economic factors such as incremental costs, and the system stabilizes at (1, 0, 1). In the collaborative stage, once economic conditions such as energy-saving benefits are satisfied, increasing E effectively shortens the time required for the system to reach a cooperative equilibrium. In the mature stage, E, together with energy-saving benefit Q, constitutes the core dimensions of user value assessment. If E falls below the threshold for users’ willingness to pay, their strategies converge toward non-adoption, consequently discouraging developers from investing. Therefore, E plays a key role in maintaining market stability in the middle and later stages. Beyond direct economic benefits, continuously improving comfort and health performance is equally important for long-term NZEOB market stability.
Figure 5.
Evolutionary process considering the indirect benefits: (a) development stage; (b) collaborative stage; (c) mature stage.
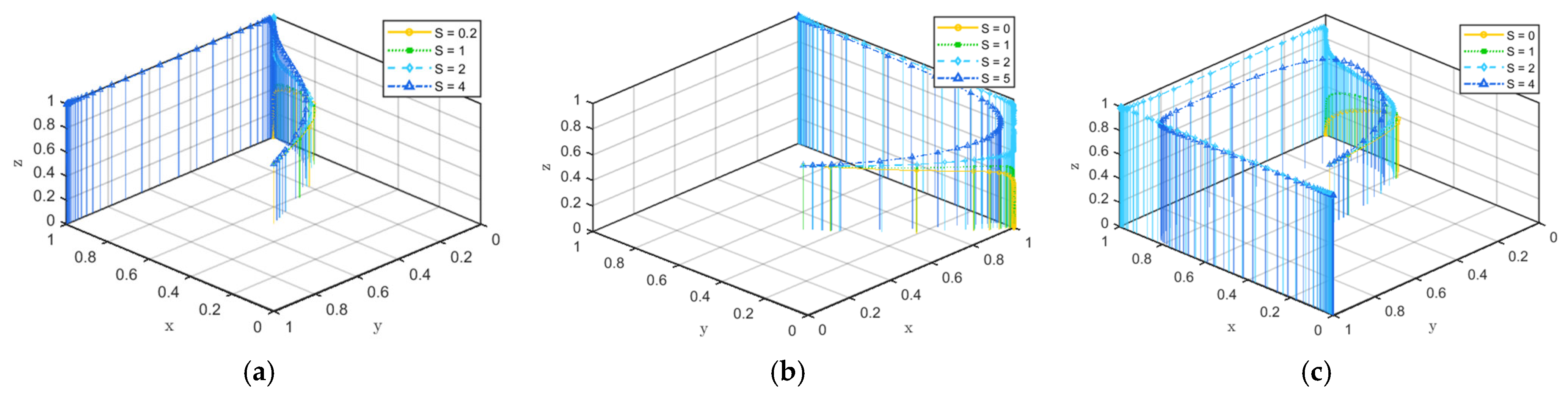
4.5. Impact of Compensation Paid by Developers to Users on Tripartite Strategies
Figure 6 illustrates the effect of compensation S across stages. The results show that user decisions are highly sensitive to whether the compensation adequately covers their expected loss (S > L). In the early and development stages, when S exceeds L, the equilibrium probability of user adoption jumps from 0 to 1, exhibiting a significant marginal effect. A further increase in S can satisfy developers’ profit expectations, enabling the system to converge toward a cooperative equilibrium. In the collaborative and mature stages, raising S accelerates the system’s convergence toward the ideal equilibrium. Moreover, if the compensation fails to cover the expected loss, users lack fundamental trust in the market and may reject adoption even when the comprehensive utility is considerable. Therefore, compensation S serves as an incentive to stimulate market transition in the early stages, and in the mid-to-late stages, it functions as an institutional safeguard to maintain user trust and stabilize market expectations.
Figure 6.
Evolutionary process considering compensation: (a) development stage; (b) collaborative stage; (c) mature stage.
4.6. Impact of Carbon Price and Penalty Multiplier on Tripartite Strategies
Figure 7 shows the impact of carbon price and penalty intensity on tripartite strategies. With the penalty multiplier fixed at five, increasing the carbon price from 60 yuan/ton to 300 yuan/ton simultaneously raises the government’s penalty revenue P and carbon reduction benefit W2. In the development stage, this increase gradually satisfies the conditions for developers to profit from NZEOBs, thereby pushing their strategies toward adoption. In the collaborative stage, it reduces convergence time by 44.6% for developers and 25.4% for the government. Holding the carbon price constant while increasing P from one to five reduces the convergence time by 46.7% for developers and 26.0% for the government. This indicates that, in influencing developers’ decisions, directly adjusting the penalty multiplier is more direct and effective than waiting for carbon price signals to take effect. The carbon reduction benefit W2 has a relatively low direct impact on developers’ and users’ decisions; its primary role is to provide performance incentives for the government’s long-term regulation. Therefore, in promoting the NZEOB market transition, particularly in the early stages, increasing penalty intensity is a more direct and effective policy intervention than raising the carbon price.
Figure 7.
Evolutionary process considering the carbon price and penalty multiplier: (a) system evolution in the development stage (carbon price); (b) system evolution in the collaborative stage (carbon price); (c) government’s strategy in the collaborative stage (carbon price); (d) developer’s strategy in the collaborative stage (carbon price); (e) government’s strategy in the collaborative stage (penalty multiplier); (f) developer’s strategy in the collaborative stage (penalty multiplier).
4.7. Impact of NZEOB Market Premium on Tripartite Strategies
Figure 8 illustrates the impact of the market selling price, denoted as M2, on the strategies of the three stakeholders. In the collaborative stage, the results show that when the NZEOB market premium increases from 3.7% (M2 = 28) to 18.5% (M2 = 32), developers’ returns increase and strategies converge faster. However, when the premium is raised to 26% (M2 = 34) and exceeds a critical threshold, developers’ participation probability becomes unstable. This is because excessively high premiums exceed users’ willingness to pay based on expected energy-saving and comfort benefits, reducing user demand and thereby weakening developers’ anticipated revenues, leading to strategic instability for both parties. As the market matures, users become more sensitive to price, the convergence speed of their strategies slows under the same premium increase, and the critical premium threshold decreases. Therefore, a moderate premium promotes NZEOB market development, but an excessive premium suppresses participation from both developers and users.
Figure 8.
Evolutionary process considering the market premium: (a) developer’s strategy in the collaborative stage; (b) user’s strategy in the collaborative stage; (c) developer’s strategy in the mature stage; (d) user’s strategy in the mature stage.
4.8. Impact of Government Subsidies to Developers and Users on Tripartite Strategies
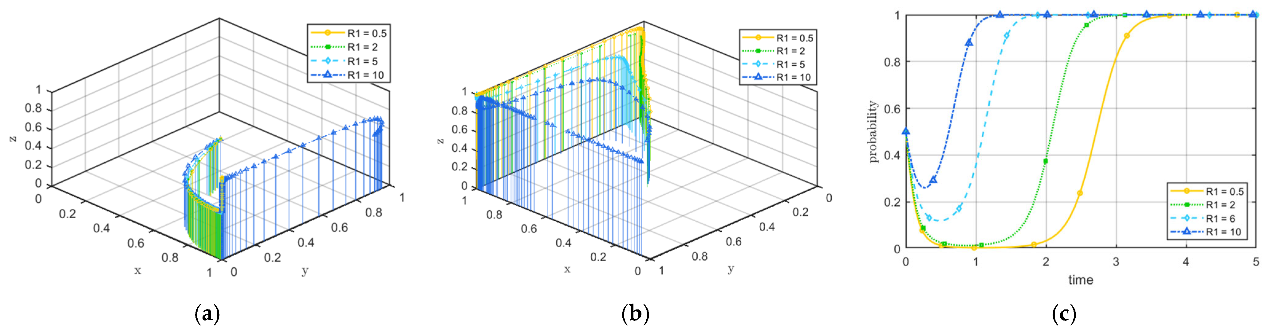
Figure 9 shows the impact of government subsidies on all three parties. Both developer subsidies R1 and user subsidies R2 exhibit clear effective ranges and critical thresholds. In the development stage, higher R1 temporarily incentivizes developers to adopt NZEOBs, but high costs and insufficient returns prevent sustained commitment. In the collaborative stage, increasing R1 accelerates developer convergence, but excessive levels increase fiscal burden and reduce regulatory willingness. Regarding user subsidies R2, their impact on both users and developers is limited in the development stage, and excessively high values tend to push the government toward passive regulation. In the collaborative stage, raising R2 can moderately accelerate the convergence of user and developer strategies, but it also faces a threshold beyond which the government shifts to passive regulation. In summary, developer subsidy R1 is more direct and effective in driving system transition during early stages but must be kept within its critical threshold. Both types of subsidies must be dynamically aligned with market stages.

Figure 9.
Evolutionary process considering the subsidies: (a) system evolution in the development stage (R1); (b) system evolution in the collaborative stage (R1); (c) government’s strategy in the collaborative stage (R1); (d) system evolution in the development stage (R2); (e) system evolution in the collaborative stage (R2); (f) user’s strategy in the collaborative stage (R2).
4.9. Comprehensive Parameter Sensitivity Analysis
To enable comparison of the relative influence of different parameters on a consistent scale and to identify key driving factors across distinct market stages, this section conducts a local sensitivity analysis using a uniform perturbation of 50% of each parameter’s baseline value. To accurately capture the market characteristics of each stage, the initial conditions are set near the equilibrium point of the corresponding stage: (x, y, z) = (0.9, 0.1, 0.1) for the initial stage, (0.9, 0.1, 0.9) for the development stage, (0.9, 0.9, 0.9) for the collaborative stage, and (0.1, 0.9, 0.9) for the mature stage. This approach captures the comprehensive influence of each parameter under typical policy intervention scenarios. The sensitivity rankings for each stage are presented in Table 8.
Table 8.
Parameter sensitivity rankings across stages.
The results indicate that in the initial stage, government decisions are primarily driven by regulatory costs C1, reputation loss C2, and penalty intensity P, with the core objective being to establish market rules at a feasible cost. As the market enters the development stage, the sensitivity of user subsidies R2 and developer brand value V increases, signaling a policy shift toward activating demand. By the collaborative and mature stages, carbon reduction performance W2 and market prices M1 and M2 become sensitive parameters, indicating that government decision-making has transitioned toward market-driven mechanisms and environmental benefit returns.
Developer strategies are constrained in the early stages by external policy parameters such as incremental costs C3, compensation S, subsidies R1, and penalties P. As the market evolves into the collaborative and mature stages, decision-making focus increasingly centers on the two economic variables of market prices M1 and M2 and project cost C3. In the mature stage, the sensitivity of energy-saving benefits Q and comfort benefits E increases in developer decisions, suggesting that leading enterprises have integrated end-users’ core utility into their strategic assessments.
For users, decisions in the early stages are dominated by compensation S and expected loss L. From the collaborative stage onward, energy-saving benefits Q, comfort benefits E, and market prices M1 and M2 emerge as the dominant sensitive factors. This reflects a behavioral shift in which users move from risk aversion to rational evaluation that fully accounts for buildings’ comprehensive utility.
5. Discussion
Promoting the development of NZEOBs represents a central pathway for achieving the “Dual Carbon” goals in the building sector. The evolutionary game analysis conducted in this study reveals that the government, developers, and users play dynamically evolving and complementary roles throughout the transition process, collectively forming the foundation for achieving these goals.
5.1. Stage Dynamics of Transition and Evolution of Tripartite Roles
Simulation analysis reveals that the evolution of the NZEOB market exhibits four distinct stages. In the initiation stage, market participants lack awareness of green technologies, and developers’ overall willingness is low. Users base their decisions on compensation S and expected loss L. Penalties P, together with government costs C1 and C2, establish initial market rules. In the development stage, users recognize long-term benefits under compensation S. Developers are incentivized by penalties P and compensation S, but remain constrained by incremental costs C3 and market returns M1 and M2, requiring them to carefully balance policy incentives against cost–benefit considerations. In the collaborative stage, carbon reduction performance W2 becomes a government priority. Energy-saving Q and comfort E drive user choices, while market prices M1 and M2 replace external policy as developer drivers. In the mature stage, the market becomes endogenously driven by Q and E, with market mechanisms dominant. Users choose based on comprehensive utility, developers compete on green value, and green premiums stabilize through consensus.
5.2. Differentiated Driving Effects of Incremental Benefits
Regarding incremental benefits, energy-saving economic benefits Q, carbon reduction performance W2, and users’ indirect benefits E play distinct yet synergistic roles in driving the transition of nearly zero-energy office buildings. As directly monetizable economic returns, energy-saving benefits Q provide essential economic support for policy incentives and early user participation in the initial development stage. This aligns with the “economic priority” fundamental logic observed in behavioral decision-making by Xie and Liu [30]. As the market matures, users’ expectations regarding energy-saving benefits continue to strengthen, and Q becomes a key factor driving user decisions in the self-sustaining market stage. Carbon reduction performance W2, while holding significant environmental value and serving as both a facilitator and long-term value anchor, depends on external mechanisms such as carbon markets for its realization and represents a public benefit with inherent uncertainty. The analysis shows that its direct influence on developer and user decisions remains limited, resulting in a relatively indirect incentive effect on the market at the current stage. Meanwhile, indirect benefits E, such as comfort and health, demonstrate positive market influence. In the collaborative and mature stages, increases in E effectively enhance user satisfaction and, together with Q, form the core dimensions of users’ comprehensive utility. If E falls too low, users may choose to withdraw due to mismatched perceived value.
Therefore, technology promotion and policy design should first ensure that energy-saving technologies deliver clear economic benefits to build market acceptance. Once secured, performance evaluation and information disclosure can promote market awareness of health and comfort benefits, driving continuous quality improvement. Policies should also develop carbon asset mechanisms to convert NZEOB carbon reductions into tradable assets, strengthening economic incentives for carbon performance.
5.3. Technology Pathways Must Dynamically Align with Market Development
In terms of technological measures, promotion is not merely a matter of selecting the optimal technology, but requires dynamic alignment with the stage of market development. In the short term, adopting technologies with relatively low incremental costs, such as solar photovoltaics, can lower barriers on the supply side, while gradually introducing high-performance building envelopes and high-efficiency equipment systems consolidates the demand base through substantial energy-saving benefits. In the collaborative and mature stages, the focus shifts toward achieving optimal systemic synergy. Multi-technology integrated solutions can enhance energy performance while improving user comfort and delivering significant carbon reduction outcomes. By transforming the productivity gains associated with health and comfort into tangible market competitiveness, these strategies help establish long-term and stable market demand.
5.4. Dynamic Alignment of Policy Instruments and Market Mechanisms
Effective policy intervention must be precisely aligned with the stage of market development. In the development stage, increasing penalty intensity and carbon prices can incentivize developers to shift toward adoption. However, simulation results indicate that penalty P serves as the core driver of strategy transition for both government and developers, while carbon reduction benefit W2 plays a limited direct role in system convergence. Therefore, in the early stage of transition, strengthening penalty mechanisms serves as a more effective tool for establishing market rules and breaking initial deadlock, complemented by financial subsidies or cost reductions for users. As the market matures, carbon pricing becomes better suited as a complementary policy instrument for shaping long-term expectations.
Moreover, the design of government subsidies must balance incentive intensity with fiscal sustainability. Analysis shows that developer subsidies R1 are crucial for reducing costs and initiating market activation. User subsidies R2 can moderately accelerate the convergence of user and developer strategies in the collaborative stage. However, both types of subsidies have critical thresholds. Once exceeded, the government’s fiscal burden intensifies, reducing its regulatory willingness and weakening overall policy effectiveness. Therefore, subsidy strategies should be dynamically adjusted according to market stages. Fixed subsidies can be adopted in early stages to activate supply, while in later stages, differentiated subsidies linked to energy-saving and carbon reduction performance should be introduced to improve funding efficiency.
The compensation mechanism S serves as a key tool for maintaining user trust and driving market transition. A moderate level of S can effectively hedge against users’ expected losses and accelerate market convergence. Excessively low S may undermine trust and lead to strategic regression. Therefore, in the early stage, compensation aims to provide basic safeguards. As the market matures, it should evolve into a market-based performance guarantee contract. Specifying compensation standards for failure to meet energy efficiency targets in contracts, thereby linking compensation directly to actual building performance, can more effectively reduce users’ risk perception and stabilize long-term market demand.
Finally, the market pricing mechanism itself requires careful balancing. Developers’ decisions are highly sensitive to incremental costs C3 and sales premiums M2. A moderate green premium is a necessary economic return to incentivize supply; however, an excessively high premium can suppress effective user demand and ultimately lead to market contraction. In this process, the government should help reduce uncertainty in value assessment by promoting information transparency, performance certification, and guarantees, thereby enabling the market to spontaneously form an equilibrium price that simultaneously incentivizes supply side innovation and ensures demand-side affordability.
Thus, policymakers, developers, and users follow distinct decision-making logics across stages. The government’s role evolves from administrative penalties in the early stage to fiscal incentives and market guidance in the middle stage, and finally to mechanism refinement and market fairness maintenance in the mature stage. Developers shift from extreme cost sensitivity in the early stage to proactive investment in technologies that build long-term green brand value. Users move from passive behavior driven by information asymmetry to active choice based on a comprehensive assessment of economic and comfort–health benefits. Table 9 summarizes this synergistic framework for aligning technological pathways, policy instruments, and market mechanisms across NZEOB transition stages.
Table 9.
Synergistic framework for NZEOB transition across stages.
6. Conclusions and Recommendations
6.1. Conclusions
This study examines the effects of stakeholder decisions during China’s NZEOB transition by constructing a tripartite evolutionary game model to simulate the promotion process. Numerical simulations of the interactive behavioral evolution were conducted using case data from an NZEOB project in a hot summer and cold winter region. The analysis focuses on the strategic interactions, evolutionary paths, and revenue–decision dynamics under different energy-saving measures at the ideal equilibrium. Although the model parameters are based on a Chinese case, the analytical framework developed, the multi-stakeholder interaction mechanisms revealed, and the logic of synergistic evolution among policy instruments, technological pathways, and market mechanisms provide a theoretical perspective and decision-analysis tool with universal reference value for other countries and regions facing similar challenges in building energy conservation and low-carbon transition. The main conclusions are as follows:
(1) The market transition follows a stage-dependent dynamic that relies on tripartite synergy. It evolves from initial reliance on external policy tools such as penalties and compensation toward self-sustaining growth increasingly shaped by energy-saving benefits, comfort experience, and market value. (2) Regarding the driving effects of incremental benefits, energy-saving benefits Q serve as direct economic returns, forming an essential foundation for market formation and driving user decisions. Carbon reduction performance W2 has limited direct incentive effects on market participants at the current stage. Comfort and health benefits E become critical for maintaining stability in the mid-to-late stages, together with Q, forming the core dimensions of users’ comprehensive utility. (3) Technology selection should be guided by economic viability and follow the logic of dynamic adaptation. In the early development stage, priority should be given to low-cost technologies guided by economic feasibility, gradually introducing technologies with prominent energy-saving benefits. Long-term synergy requires integrating multi-technology solutions to enhance comprehensive benefits. (4) Policy instruments should evolve dynamically. In the early transition stage, penalty mechanisms serve as a more direct and effective tool for establishing rules than carbon price signals. As the market develops, subsidy policies must be kept within fiscally sustainable thresholds and linked to measured performance. Meanwhile, the compensation mechanism plays a critical role in advancing the transition, where appropriate enhancement can effectively foster market convergence, whereas insufficient compensation may erode user trust. (5) Developers’ decisions are highly sensitive to incremental costs and green premiums. An increase in market selling prices can incentivize the transition, but excessively high market premiums may suppress participation levels among both developers and users.
6.2. Policy Recommendations
- (1)
- For the government, a dynamic governance system linked to market stages should be established. In the initial stage, clear emission baselines and penalties should be set, along with sufficient compensation to reduce user risks and build market trust. In the development stage, policy should shift to targeted incentives, offering differentiated subsidies based on verified energy savings to ease cost pressures on developers. In the long term, carbon market development should be deepened to enable the assetization of carbon reductions. A public platform for building performance data should be established, anchoring green premiums to provide verifiable energy-saving and comfort benefits. At the same time, regulatory systems for energy efficiency assessment and green building material application should be improved to provide performance support for green premiums.
- (2)
- For developers, a phased strategy aligned with market evolution should be adopted. In the initiation stage, small and medium developers should prioritize economic feasibility by adopting low-cost technologies like photovoltaics, using policy subsidies to accumulate energy-saving benefits while controlling incremental costs. Passive design can reduce energy demand at the source, and green labeling lays the foundation for future brand premiums. As users become more sensitive to energy-saving and comfort, leading developers in the collaborative stage should shift toward system integration, adopting high-performance envelopes and efficient equipment to enhance energy benefits, while translating comfort data into user-perceptible health value. In the mature stage, strategies should focus on brand value and carbon assets, using ecological design to enhance carbon sinks and leveraging energy data as verification instruments for green leasing, enabling carbon reductions to enter market trading.
- (3)
- For users, during daily usage, they should actively use smart platforms to monitor energy data and indoor conditions, practice energy-saving behaviors, and participate in dynamic building operations [76]. By adjusting and evaluating temperature, humidity, and air quality in real time, users help smart systems learn behavioral patterns, enabling on-demand and precise energy savings. When experiencing productivity gains from comfortable environments, users should reinforce the demand for high-quality buildings through lease renewals and recommendations. Corporate users can further enhance value by incorporating building carbon performance into ESG reports.
6.3. Research Limitations and Future Work
This study’s parameters are largely based on a single climatic zone case, supplemented by standards and the literature. While the model captures general patterns, regional variations in technical costs, willingness to pay, and policy enforcement may limit broader applicability. Future research could use panel data from diverse regions to calibrate parameters and test robustness. Regarding behavioral assumptions, the model treats stakeholders as homogeneous, overlooking differences in risk preferences, technical capacity, and environmental awareness, potentially overestimating policy effectiveness. Subsequent studies could introduce heterogeneity parameters or network models to better capture differentiated decision-making.
Author Contributions
Conceptualization, S.L. and X.W.; methodology, S.L. and X.W.; software, S.L.; validation, S.L.; investigation, S.L.; resources, X.W.; data curation, S.L.; writing—original draft preparation, S.L.; writing—review and editing, S.L. and X.W.; formal analysis, S.L.; visualization, X.W.; supervision, X.W. All authors have read and agreed to the published version of the manuscript.
Funding
This research received no external funding.
Data Availability Statement
The original contributions presented in this study are included in the article. Further inquiries can be directed to the corresponding author.
Conflicts of Interest
The authors declare no conflicts of interest.
References
- THUBECRC (Building Energy Conservation Research Center, Tsinghua University). 2020 Annual Report on China Building Energy Efficiency; China Architecture and Building Press: Beijing, China, 2020. [Google Scholar]
- Salari, M.; Javid, R.J. Residential energy demand in the United States: Analysis using static and dynamic approaches. Energy Policy 2016, 98, 637–649. [Google Scholar] [CrossRef]
- Naheed, Z.; Nasreen, S.; Tiwari, A.K.; Arsh, S. Analyzing the effectiveness of energy aid for driving the transition towards energy decarbonization; evidence from Asian developing countries. J. Environ. Manag. 2024, 360, 121125. [Google Scholar] [CrossRef]
- Sadineni, S.B.; Madala, S.; Boehm, R.F. Passive building energy savings: A review of building envelope components. Renew. Sustain. Energy Rev. 2011, 15, 3617–3631. [Google Scholar] [CrossRef]
- McArthur, J.J.; Jofeh, C.; Aguilar, A.-M.; McArthur, J.J.; Jofeh, C.; Aguilar, A.-M. Improving Occupant Wellness in Commercial Office Buildings through Energy Conservation Retrofits. Buildings 2015, 5, 1171–1186. [Google Scholar] [CrossRef]
- Lan, L.; Wood, K.L.; Yuen, C. A holistic design approach for residential net-zero energy buildings: A case study in Singapore. Sustain. Cities Soc. 2019, 50, 101672. [Google Scholar] [CrossRef]
- Hirvonen, J.; Heljo, J.; Jokisalo, J.; Kurvinen, A.; Saari, A.; Niemelä, T.; Sankelo, P.; Kosonen, R. Emissions and power demand in optimal energy retrofit scenarios of the Finnish building stock by 2050. Sustain. Cities Soc. 2021, 70, 102896. [Google Scholar] [CrossRef]
- Maghami, M.R.; Maghoul, A.; Thang, K.F.; Sundaram, S. Net zero energy buildings: An overview of passive and active designs. Energy Rep. 2025, 14, 1327–1348. [Google Scholar] [CrossRef]
- Laguna Salvadó, L.; Villeneuve, E.; Masson, D.; Abi Akle, A.; Bur, N. Decision support system for technology selection based on multi-criteria ranking: Application to NZEB refurbishment. Build. Environ. 2022, 212, 108786. [Google Scholar] [CrossRef]
- Liu, Z.J.; Zhou, Q.X.; Tian, Z.Y.; He, B.-J.; Jin, G.Y. A comprehensive analysis on definitions, development, and policies of nearly zero energy buildings in China. Renew. Sustain. Energy Rev. 2019, 114, 109314. [Google Scholar] [CrossRef]
- Park, S.-H.; Jang, Y.-S.; Kim, E.-J. Multi-objective optimization for sizing multi-source renewable energy systems in the community center of a residential apartment complex. Energy Convers. Manag. 2021, 244, 114446. [Google Scholar] [CrossRef]
- Konis, K.; Gamas, A.; Kensek, K. Passive performance and building form: An optimization framework for early-stage design support. Sol. Energy 2016, 125, 161–179. [Google Scholar] [CrossRef]
- Al-Ghaili, A.M.; Kasim, H.; Al-Hada, N.M.; Othman, M.; Saleh, M.A. A Review: Buildings Energy Savings—Lighting Systems Performance. IEEE Access 2020, 8, 76108–76119. [Google Scholar] [CrossRef]
- Zhu, Y.; Jin, X.; Fang, X.; Du, Z. Optimal control of combined air conditioning system with variable refrigerant flow and variable air volume for energy saving. Int. J. Refrig. 2014, 42, 14–25. [Google Scholar] [CrossRef]
- Harish, V.S.K.V.; Kumar, A. A review on modeling and simulation of building energy systems. Renew. Sustain. Energy Rev. 2016, 56, 1272–1292. [Google Scholar] [CrossRef]
- Noh, Y.; Jafarinejad, S.; Anand, P.; Noh, Y.; Jafarinejad, S.; Anand, P. A Review on Harnessing Renewable Energy Synergies for Achieving Urban Net-Zero Energy Buildings: Technologies, Performance Evaluation, Policies, Challenges, and Future Direction. Sustainability 2024, 16, 3444. [Google Scholar] [CrossRef]
- Ibrahim, M.M.; Suarez-Lopez, M.J.; Hanafy, A.A.; William, M.A. Optimizing NZEB performance: A review of design strategies and case studies. Results Eng. 2025, 25, 103950. [Google Scholar] [CrossRef]
- Wang, D.; Liang, J.H.; Joshua Chukwuma, O. Green technology innovation ecosystems in construction: Strategies for value co-creation through evolutionary game theory. Environ. Res. Commun. 2025, 7, 075014. [Google Scholar] [CrossRef]
- Chao, Y.; Deng, N.; Du, Y.; Yao, G.; Zhou, Z. Promoting carbon neutrality through ultra-low energy buildings in China: Evidence from evolutionary game theory. Habitat Int. 2025, 156, 103281. [Google Scholar]
- Wan, S.; Ding, G.; Runeson, G.; Liu, Y.; Wan, S.; Ding, G.; Runeson, G.; Liu, Y. Sustainable Buildings’ Energy-Efficient Retrofitting: A Study of Large Office Buildings in Beijing. Sustainability 2022, 14, 1021. [Google Scholar] [CrossRef]
- Yen, C.-J.; Lin, H.-T.; Lee, K.-P. Cost-Effectiveness Analysis of Nearly Zero-Carbon Office Buildings in Taiwan. Build. Environ. 2025, 267, 112270. [Google Scholar]
- Zhao, C.; Liu, M.; Wang, K. Monetary valuation of the environmental benefits of green building: A case study of China. J. Clean. Prod. 2022, 365, 132704. [Google Scholar] [CrossRef]
- Ke, Z.; Zhang, H.; Jia, X.; Yan, J.; Lv, X.; Yu, H.; Gao, N.; Zeng, W.; Liu, Y.; Wong, N.H. Research on energy efficiency and decarbonization pathway of nearly zero energy buildings based on system dynamic simulation. Dev. Built Environ. 2024, 17, 100310. [Google Scholar] [CrossRef]
- Parvin, K.; Hossain, M.J.; Arsad, A.Z.; Ker, P.J.; Hannan, M.A. Building energy technologies towards achieving net-zero pathway: A comprehensive review, challenges and future directions. J. Build. Eng. 2025, 100, 111795. [Google Scholar] [CrossRef]
- Liu, F.; Xu, G.L. Incentive mechanism and scenario simulation of residential energy-efficiency retrofits—From the perspective of tripartite evolutionary game. Energy Build. 2024, 320, 114653. [Google Scholar] [CrossRef]
- Huang, H.; Yusoff, W.F.M. A Tripartite Evolutionary Game on Promoting the Development of Nearly-Zero Energy Consumption Buildings in China. Buildings 2023, 13, 658. [Google Scholar] [CrossRef]
- Gao, Y.; Liu, J.J.; Zhang, J.S.; Xie, H. Modeling the Evolutionary Mechanism of Multi-Stakeholder Decision-Making in the Green Renovation of Existing Residential Buildings in China. Buildings 2025, 15, 2758. [Google Scholar]
- Duan, J.J.; Wang, Y.S.; Zhang, Y.B.; Chen, L.Y. Strategic interaction among stakeholders on low-carbon buildings: A tripartite evolutionary game based on prospect theory. Environ. Sci. Pollut. Res. 2024, 31, 11096–11114. [Google Scholar] [CrossRef]
- Zheng, S.; Zhou, Y.; Yuan, J.; Liu, R.; Lyu, P.; Han, Z.; Zhang, C. Understanding Governments, ESCOs, and Clients’ Behavioral Strategies in Public Building Energy-Efficiency Renovation Based on Evolutionary Game Theory. J. Manag. Eng. 2025, 41, 04025018. [Google Scholar] [CrossRef]
- Xie, Y.; Liu, Y.S. Tripartite Evolutionary Game Analysis of Stakeholder Decision-Making Behavior in Energy-Efficient Retrofitting of Office Buildings. Sustainability 2022, 14, 11697. [Google Scholar] [CrossRef]
- Wang, S.-Y.; Lee, K.-T.; Kim, J.-H. Green Retrofitting Simulation for Sustainable Commercial Buildings in China Using a Proposed Multi-Agent Evolutionary Game. Sustainability 2022, 14, 7671. [Google Scholar] [CrossRef]
- Song, X.N.; Shen, M.; Lu, Y.J.; Shen, L.Y.; Zhang, H.Y. How to effectively guide carbon reduction behavior of building owners under emission trading scheme? An evolutionary game-based study. Environ. Impact Assess. Rev. 2021, 90, 106624. [Google Scholar] [CrossRef]
- Su, Y.B.; Zhang, Z.C. Evolutionary Game Analysis on the Promotion of Green Buildings in China Under the “Dual Carbon” Goals: A Multi-Stakeholder Perspective. Buildings 2025, 15, 1392. [Google Scholar] [CrossRef]
- Gao, Y.; Jia, R.; Yao, Y.; Xu, J. Evolutionary Game Theory and the Simulation of Green Building Development Based on Dynamic Government Subsidies. Sustainability 2022, 14, 7294. [Google Scholar] [CrossRef]
- Meng, Q.; Liu, Y.; Li, Z.; Wu, C. Dynamic reward and penalty strategies of green building construction incentive: An evolutionary game theory-based analysis. Environ. Sci. Pollut. Res. 2021, 28, 44902–44915. [Google Scholar] [CrossRef]
- Chen, L.; Gao, X.; Hua, C.; Gong, S.; Yue, A. Evolutionary process of promoting green building technologies adoption in China: A perspective of government. J. Clean. Prod. 2021, 279, 123607. [Google Scholar] [CrossRef]
- Li, J.; Xu, N.; Liu, Q.; Zhao, H. How to Promote the Application of Green Construction Technologies in the Chengdu-Chongqing Economic Circle: A Tripartite Evolutionary Game Analysis. Buildings 2025, 16, 62. [Google Scholar] [CrossRef]
- Feng, Q.; Chen, H.; Shi, X.; Wei, J. Stakeholder games in the evolution and development of green buildings in China: Government-led perspective. J. Clean. Prod. 2020, 275, 122895. [Google Scholar] [CrossRef]
- Jia, C.; Zhang, R.; Wang, D. Evolutionary game analysis of low-carbon technology innovation diffusion under PPP mode in China. PLoS ONE 2022, 17, e0279493. [Google Scholar] [CrossRef] [PubMed]
- Alsaadani, S.; Hamza, M.; Fahmy, M. Reconciling retrofitting with IEQ to maintain energy, environmental and economic performance: A methodological approach for generic office buildings. Build. Environ. 2024, 264, 111868. [Google Scholar] [CrossRef]
- Fisk, W.J. Health and Productivity Gains from Better Indoor Environments and Their Relationship with Building Energy Efficiency. Rev. Environ. Resour. 2000, 25, 537–566. [Google Scholar]
- Li, W.; Fang, G.; Yang, L. The effect of LEED certification on office rental values in China. Sustain. Energy Technol. Assess. 2021, 45, 101182. [Google Scholar]
- Myint, N.N.; Shafique, M.; Zhou, X.; Zheng, Z. Net zero carbon buildings: A review on recent advances, knowledge gaps and research directions. Case Stud. Constr. Mater. 2025, 22, e04200. [Google Scholar] [CrossRef]
- Shi, Q.; Yan, Y.; Zuo, J.; Yu, T. Objective conflicts in green buildings projects: A critical analysis. Build. Environ. 2016, 96, 107–117. [Google Scholar] [CrossRef]
- Zhao, Y.; Zeng, S.; Ding, Y.; Ma, L.; Wang, Z.; Liang, A.; Ren, H. Cost–Benefit Analysis of Distributed Energy Systems Considering the Monetization of Indirect Benefits. Sustainability 2024, 16, 820. [Google Scholar] [CrossRef]
- General Office of the State Council of the People’s Republic of China. Circular on Transmitting the “Work Plan for Accelerating Energy Conservation and Carbon Reduction in the Building Sector” by the National Development and Reform Commission and the Ministry of Housing and Urban-Rural Development. 2024. Available online: https://www.gov.cn/zhengce/content/202403/content_6939606.htm (accessed on 11 November 2025).
- Zhao, J.; Fieldson, R.; Duran, O. Build it and they will come? A case study of a ‘softer landings’ approach in creating a low-carbon community. Sustain. Futures 2025, 9, 100401. [Google Scholar] [CrossRef]
- Li, D.; Zheng, M.; Cao, C.C.; Chen, X.H.; Ren, S.G.; Huang, M. The impact of legitimacy pressure and corporate profitability on green innovation: Evidence from China top 100. J. Clean. Prod. 2017, 141, 41–49. [Google Scholar] [CrossRef]
- T/CABEE 080-2024; The Group Standard “Zero-carbon Building Assessment Standard (Trial)”. China Association of Building Energy Efficiency (CABEE): Beijing, China, 2024.
- GB 50189-2015; Design Standard for Energy Efficiency of Public Buildings. Ministry of Housing and Urban-Rural Development of the People’s Republic of China (MOHURD): Beijing, China, 2015.
- Niza, I.L.; Bueno, A.M.; Broday, E.E. Indoor Environmental Quality (IEQ) and Sustainable Development Goals (SDGs): Technological Advances, Impacts and Challenges in the Management of Healthy and Sustainable Environments. Urban Sci. 2023, 7, 96. [Google Scholar] [CrossRef]
- Shi, Y.; Lyu, J.; Miao, J.T.; Lian, Z.; Lan, L. Energy saving first or productivity first? Maximize the economic benefits of urban office buildings. Energy Build. 2024, 320, 114629. [Google Scholar] [CrossRef]
- Suryo, M.S.; Ichinose, M.; Kuroda, Y.; Alkhalaf, H.; Suryo, M.S.; Ichinose, M.; Kuroda, Y. An Investigation of Indoor Environment Quality on Occupants’ Thermal Responses, Health, and Productivity: A Study Based on Physiological Data in Occupied Office Space. Buildings 2024, 14, 3562. [Google Scholar] [CrossRef]
- Wargocki, P.; Hemming, D. Managing the air. In The Science of People and Office Design: Planning for Thinking, Discussing and Achieving; Augustin, S., Oseland, N., Eds.; Routledge: New York, NY, USA, 2024; pp. 21–42. [Google Scholar]
- Guan, H.L.; Wang, Y.; Zhang, H.Y. Evolutionary Game among Government, Enterprise and Public—From the Perspective of Environmental Regulation. Commer. Res. 2022, 1, 133–143. [Google Scholar]
- Friedman, D. Evolutionary games in economics. Econometrica 1991, 59, 637–666. [Google Scholar] [CrossRef]
- Delzendeh, E.; Wu, S.; Lee, A.; Zhou, Y. The impact of occupants’ behaviours on building energy analysis: A research review. Renew. Sustain. Energy Rev. 2017, 80, 1061–1071. [Google Scholar] [CrossRef]
- Zhang, L.; Wu, J.; Liu, H.Y. Policies to enhance the drivers of green housing development in China. Energy Policy 2018, 121, 225–235. [Google Scholar] [CrossRef]
- GB/T 51350-2019; The National Standard “Technical Standard” for Near-Zero Energy Consumption Buildings. Ministry of Housing and Urban-Rural Development of the People’s Republic of China (MOHURD): Beijing, China, 2019.
- GB/T 51366-2019; Standard for Building Carbon Emission Calculation. Ministry of Housing and Urban-Rural Development of the People’s Republic of China (MOHURD): Beijing, China, 2019.
- Liu, M.M. Research on Incremental Cost-Benefit of Zero-Carbon Buildings Based on the Whole Life Cycle. Master’s Thesis, Beijing Jiaotong University, Beijing, China, 2023. [Google Scholar]
- Teng, F. Game Analysis of Environmental Regulation Under Carbon Market Mechanism. Doctoral Dissertation, Capital University of Economics and Business, Beijing, China, 2020. [Google Scholar]
- Wang, K.; Lyu, C. Global and China Carbon Market Review and Outlook (2026); Center for Energy and Environmental Policy Research, Beijing Institute of Technology: Beijing, China, 2026. [Google Scholar]
- Zhang, P.; Zhang, J.; Mu, Y.; Ji, Q.; Wang, J. Carbon Price Forecasting and Market Characteristics Analysis in China: An Integrated Approach Using Overall and Market-Specific Models. Sustainability 2025, 17, 5407. [Google Scholar] [CrossRef]
- Jones Lang LaSalle. Logistics Property Transformation and Upgrade: Green Certification, Green Premium and Green Finance. Available online: https://www.joneslanglasalle.com.cn/zh-cn/insights/logistics-property-upgrade-focuses-on-green-buildings.html (accessed on 16 September 2025).
- Lv, L.; Zhao, A. Study on multi-party evolutionary game of green behaviour among construction industry practitioners considering consumer preferences. Energy 2025, 335, 137862. [Google Scholar] [CrossRef]
- State Council of the People’s Republic of China. Interim Regulations on the Administration of Carbon Emissions Trading; State Council of the People’s Republic of China: Beijing, China, 2024.
- You, F.; Hu, D.; Zhang, H.T.; Guo, Z.; Zhao, Y.H.; Wang, B.N.; Yuan, Y. Carbon emissions in the life cycle of urban building system in China—A case study of residential buildings. Ecol. Complex. 2011, 8, 201–212. [Google Scholar] [CrossRef]
- Song, X.; Lu, Y.; Shen, L.; Shi, X. Will China’s building sector participate in emission trading system? Insights from modelling an owner’s optimal carbon reduction strategies. Energy Policy 2018, 118, 232–244. [Google Scholar]
- Zhao, Y.; Ma, Y.; Zhong, F. Sustaining Green Building Incentives: A Tripartite Evolutionary Game Analysis and the Synergistic “Technology–Reputation–Policy” Pathway. Buildings 2025, 15, 1537. [Google Scholar]
- Implementation Rules for Financial Rewards and Subsidies for the Green Building Materials Industry Chain in Sichuan Province (Trial); Sichuan Provincial Department of Housing and Urban-Rural Development: Chengdu, China; Sichuan Provincial Department of Economy and Information Technology: Chengdu, China; Sichuan Provincial Department of Finance: Chengdu, China, 2026.
- Yuan, M.; Li, Z.; Li, X.; Li, L.; Zhang, S.; Luo, X. How to promote the sustainable development of prefabricated residential buildings in China: A tripartite evolutionary game analysis. J. Clean. Prod. 2022, 349, 131423. [Google Scholar] [CrossRef]
- Wargocki, P.; Wyon, D.P.; Sundell, J.; Clausen, G.; Fanger, P.O. The Effects of Outdoor Air Supply Rate in an Office on Perceived Air Quality, Sick Building Syndrome (SBS) Symptoms and Productivity. Indoor Air 2000, 10, 222–236. [Google Scholar] [CrossRef] [PubMed]
- Chengdu Municipal Bureau of Statistics; National Bureau of Statistics Survey Office in Chengdu. Statistical Bulletin on the National Economic and Social Development of Chengdu (2022). 2023. Available online: https://cdstats.chengdu.gov.cn/cdstjj/c154795/2023-03/25/c2016a5d71b24884835ddb8ea0bfbe1a/files/c7452204c5c448a085ab89e73e5de399.pdf (accessed on 11 December 2025).
- General Office of the CPC Central Committee; General Office of the State Council. Opinions on Deepening the Reform of the Ecological Protection Compensation System. 2021. Available online: https://www.gov.cn/zhengce/2021-09/12/content_5637196.htm (accessed on 22 November 2025).
- Pan, W.; Pan, M. A dialectical system framework of zero carbon emission building policy for high-rise high-density cities: Perspectives from Hong Kong. J. Clean. Prod. 2018, 205, 1–13. [Google Scholar] [CrossRef]
Disclaimer/Publisher’s Note: The statements, opinions and data contained in all publications are solely those of the individual author(s) and contributor(s) and not of MDPI and/or the editor(s). MDPI and/or the editor(s) disclaim responsibility for any injury to people or property resulting from any ideas, methods, instructions or products referred to in the content. |
© 2026 by the authors. Licensee MDPI, Basel, Switzerland. This article is an open access article distributed under the terms and conditions of the Creative Commons Attribution (CC BY) license.









