Impact of Spatial and Temporal Sampling on Inter-Story Drift and Peak-Demand Estimation Using In-Building Security Cameras
Abstract
1. Introduction
- Baseline feasibility using off-the-shelf CCTV: we validate that an existing in-building surveillance camera, combined with a simple planar target, can recover inter-story relative displacement with sub-millimeter accuracy under controlled shake-table excitations representative of strong-motion frequency content.
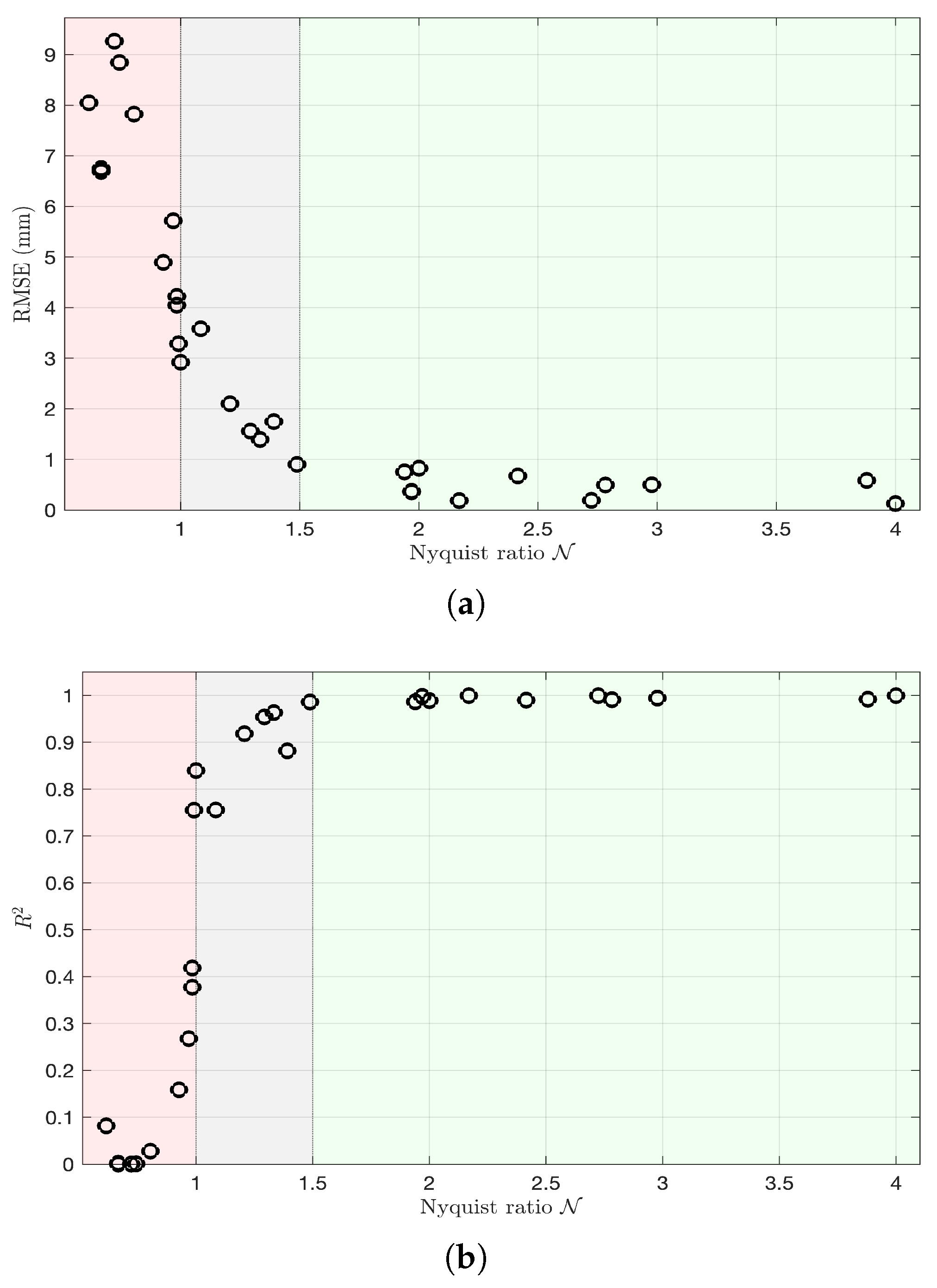
- Temporal sampling study with a frequency-normalized criterion: we systematically quantify how camera frame rate affects displacement and drift estimation and show that performance trends collapse when expressed using the Nyquist ratio , yielding a practical guideline for selecting minimum frame rate given a target dominant-response frequency.
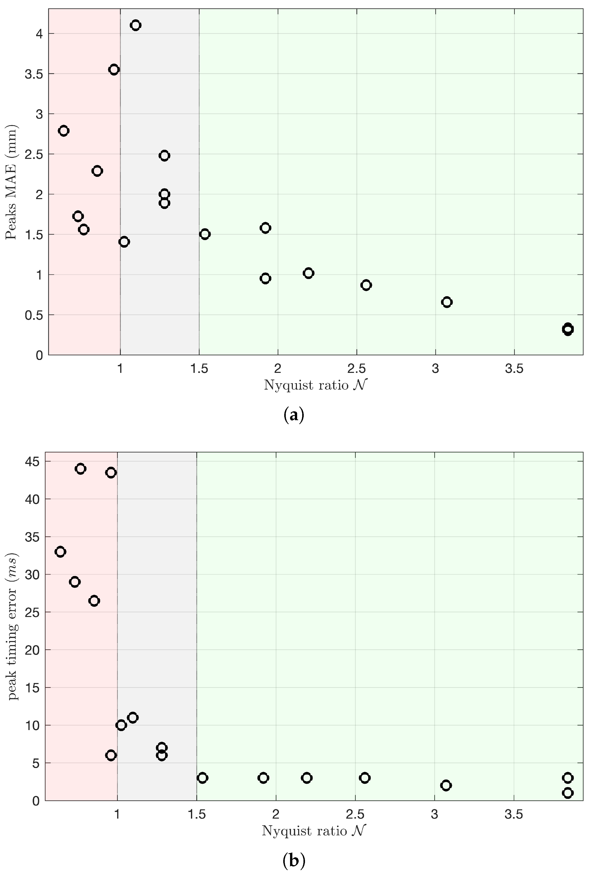
- Peak-demand estimation assessment: because post-event screening relies on peak drift/IDR, we separately evaluate peak estimation under reduced frame rates and show that peak metrics degrade more rapidly than full-waveform metrics due to between-frame peak underestimation.
- Peak timing sensitivity: beyond peak amplitude error, we quantify peak timing mismatch across sampling conditions and discuss timing errors sensitivity for building-level identification metrics.
- Spatial sampling assessment: we evaluate the effect of reducing image resolution over common surveillance settings and show the algorithm sub-pixel performance.
2. The Proposed SHM Approach
- Initialize (first frame): detect checkerboard corners and assign their known metric coordinates based on the printed square size.
- Track (all frames): track the same corners over time using a Kanade–Lucas–Tomasi (KLT) tracker to obtain per-frame pixel coordinates .
- Convert to metric motion: map tracked pixel coordinates to metric coordinates using planar homography matrix estimated from the first frame.
- Compute drift: subtract the pre-event reference frame to obtain the relative displacement time history and extract drift-based demand metrics (e.g., peak drift/IDR).
2.1. Feature Detection and Tracking
2.2. Planar Homography for Pixel-to-Metric Conversion
2.3. Deployment Considerations
3. Experimental Setup
4. Results
5. Conclusions
Funding
Data Availability Statement
Acknowledgments
Conflicts of Interest
Abbreviations
| SHM | Structural Health Monitoring |
| FEMA | The Federal Emergency Management Agency |
| IDR | Inter-story Drift Ratio |
| EDP | Engineering Demand Parameters |
References
- Holzer, T.L.; Savage, J.C. Global earthquake fatalities and population. Earthq. Spectra 2013, 29, 155–175. [Google Scholar] [CrossRef]
- Federal Emergency Management Agency (FEMA). Post-Disaster Building Safety Evaluation Guidance; Technical Report; FEMA: Washington, DC, USA, 2019.
- Gu, J.; Xie, Z.; Zhang, J.; He, X. Advances in rapid damage identification methods for post-disaster regional buildings based on remote sensing images: A survey. Buildings 2024, 14, 898. [Google Scholar] [CrossRef]
- Farrar, C.R.; Dervilis, N.; Worden, K. The past, present and future of structural health monitoring: An overview of three ages. Strain 2025, 61, e12495. [Google Scholar] [CrossRef]
- Nirupama, P.; Raghavendra, T.; Shahanawaz, N.; Manjunath, C. A Brief Review on Smart Structural Health Monitoring Technologies. Eng. Res. Transcr. 2023, 6, 81–88. [Google Scholar]
- Goyal, D.; Pabla, B. The vibration monitoring methods and signal processing techniques for structural health monitoring: A review. Arch. Comput. Methods Eng. 2016, 23, 585–594. [Google Scholar] [CrossRef]
- Yang, Y.; Zhang, Y.; Tan, X. Review on vibration-based structural health monitoring techniques and technical codes. Symmetry 2021, 13, 1998. [Google Scholar] [CrossRef]
- Jayawardana, D.; Kharkovsky, S.; Liyanapathirana, R.; Zhu, X. Measurement system with accelerometer integrated RFID tag for infrastructure health monitoring. IEEE Trans. Instrum. Meas. 2015, 65, 1163–1171. [Google Scholar] [CrossRef]
- Jayawardana, D.; Liyanapathirana, R.; Zhu, X. RFID-Based Wireless Multi-Sensory System for Simultaneous Dynamic Acceleration and Strain Measurements of Civil Infrastructure. IEEE Sens. J. 2019, 19, 12389–12397. [Google Scholar] [CrossRef]
- Zonzini, F.; Malatesta, M.M.; Bogomolov, D.; Testoni, N.; Marzani, A.; De Marchi, L. Vibration-based SHM with up-scalable and low-cost Sensor Networks. IEEE Trans. Instrum. Meas. 2020, 69, 7990–7998. [Google Scholar]
- Rainieri, C.; Gargaro, D.; Fabbrocino, G. Hardware and software solutions for seismic SHM of hospitals. In Seismic Structural Health Monitoring; Springer: Berlin/Heidelberg, Germany, 2019; pp. 279–300. [Google Scholar]
- Sabato, A.; Niezrecki, C.; Fortino, G. Wireless MEMS-based accelerometer sensor boards for structural vibration monitoring: A review. IEEE Sens. J. 2016, 17, 226–235. [Google Scholar] [CrossRef]
- Das, S.; Saha, P.; Patro, S. Vibration-Based Damage Detection Techniques Used for Health Monitoring of Structures: A Review. J. Civ. Struct. Health Monit. 2016, 6, 477–507. [Google Scholar] [CrossRef]
- Skolnik, D.A.; Wallace, J.W. Critical assessment of interstory drift measurements. J. Struct. Eng. 2010, 136, 1574–1584. [Google Scholar] [CrossRef]
- Kamat, V.R.; El-Tawil, S. Evaluation of augmented reality for rapid assessment of earthquake-induced building damage. J. Comput. Civ. Eng. 2007, 21, 303–310. [Google Scholar] [CrossRef]
- Algan, B.B. Drift and Damage Considerations in Earthquake-Resistant Design of Reinforced Concrete Buildings. Ph.D. Thesis, University of Illinois at Urbana-Champaign, Champaign, IL, USA, 1982. [Google Scholar]
- Bozorgnia, Y.; Bertero, V.V. Improved shaking and damage parameters for post-earthquake applications. In Proceedings of the SMIP01 Seminar on Utilization of Strong-Motion Data, Los Angeles, CA, USA, 12 September 2001; Citeseer: Princeton, NJ, USA, 2001; pp. 1–22. [Google Scholar]
- Applied Technology Council; Agency Federal Emergency Management. Quantification of Building Seismic Performance Factors; U.S. Department of Homeland Security, FEMA: Washington, DC, USA, 2009; pp. A1–A43.
- Xu, Y.; Brownjohn, J.M. Review of machine-vision based methodologies for displacement measurement in civil structures. J. Civ. Struct. Health Monit. 2018, 8, 91–110. [Google Scholar] [CrossRef]
- Dong, C.Z.; Catbas, F.N. A review of computer vision–based structural health monitoring at local and global levels. Struct. Health Monit. 2021, 20, 692–743. [Google Scholar] [CrossRef]
- Sony, S.; Laventure, S.; Sadhu, A. A literature review of next-generation smart sensing technology in structural health monitoring. Struct. Control. Health Monit. 2019, 26, e2321. [Google Scholar] [CrossRef]
- Payawal, J.M.G.; Kim, D.K. Image-based structural health monitoring: A systematic review. Appl. Sci. 2023, 13, 968. [Google Scholar] [CrossRef]
- Katam, R.; Pasupuleti, V.D.K.; Kalapatapu, P. A review on structural health monitoring: Past to present. Innov. Infrastruct. Solut. 2023, 8, 248. [Google Scholar] [CrossRef]
- Lydon, D.; Lydon, M.; Taylor, S.; Del Rincon, J.M.; Hester, D.; Brownjohn, J. Development and field testing of a vision-based displacement system using a low cost wireless action camera. Mech. Syst. Signal Process. 2019, 121, 343–358. [Google Scholar] [CrossRef]
- Bhowmick, S.; Nagarajaiah, S.; Lai, Z. Measurement of full-field displacement time history of a vibrating continuous edge from video. Mech. Syst. Signal Process. 2020, 144, 106847. [Google Scholar] [CrossRef]
- Bhowmick, S.; Nagarajaiah, S. Identification of full-field dynamic modes using continuous displacement response estimated from vibrating edge video. J. Sound Vib. 2020, 489, 115657. [Google Scholar] [CrossRef]
- Khuc, T.; Catbas, F.N. Structural identification using computer vision–based bridge health monitoring. J. Struct. Eng. 2018, 144, 04017202. [Google Scholar] [CrossRef]
- Khuc, T.; Catbas, F.N. Completely contactless structural health monitoring of real-life structures using cameras and computer vision. Struct. Control. Health Monit. 2017, 24, e1852. [Google Scholar] [CrossRef]
- Cha, Y.J.; Chen, J.G.; Büyüköztürk, O. Output-only computer vision based damage detection using phase-based optical flow and unscented Kalman filters. Eng. Struct. 2017, 132, 300–313. [Google Scholar] [CrossRef]
- Cataldo, A.; Roselli, I.; Fioriti, V.; Saitta, F.; Colucci, A.; Tatì, A.; Ponzo, F.C.; Ditommaso, R.; Mennuti, C.; Marzani, A. Advanced Video-Based Processing for Low-Cost Damage Assessment of Buildings under Seismic Loading in Shaking Table Tests. Sensors 2023, 23, 5303. [Google Scholar] [CrossRef]
- Wen, W.; Zhang, C.; Hu, J.; Guo, J.; Zhai, C.; Zhou, B. Automatic monitoring method for seismic response of building structures and equipment based on indoor surveillance cameras. Mech. Syst. Signal Process. 2025, 224, 112220. [Google Scholar] [CrossRef]
- Wen, W.; Zhang, C.; Zhai, C.; Guo, J.; Hu, J. A method for automatic monitoring structural earthquake response using surveillance video. J. Build. Eng. 2025, 112, 113737. [Google Scholar] [CrossRef]
- Hosseinzadeh, A.Z.; Tehrani, M.; Harvey, P., Jr. Modal identification of building structures using vision-based measurements from multiple interior surveillance cameras. Eng. Struct. 2021, 228, 111517. [Google Scholar] [CrossRef]
- Hosseinzadeh, A.Z.; Harvey, P., Jr. Pixel-based operating modes from surveillance videos for structural vibration monitoring: A preliminary experimental study. Measurement 2019, 148, 106911. [Google Scholar] [CrossRef]
- Zhou, J.; Huo, L.; Huang, C.; Yang, Z.; Li, H. Feasibility Study of Earthquake-Induced Damage Assessment for Structures by Utilizing Images from Surveillance Cameras. Struct. Control. Health Monit. 2024, 2024, 4993972. [Google Scholar] [CrossRef]
- American Society of Civil Engineers. Seismic Rehabilitation of Existing Buildings; ASCE Publications: Reston, VA, USA, 2007; Volume 41, p. 12. [Google Scholar]
- Ghobarah, A.; Abou-Elfath, H.; Biddah, A. Response-based damage assessment of structures. Earthq. Eng. Struct. Dyn. 1999, 28, 79–104. [Google Scholar] [CrossRef]
- Zanella, A.; Bui, N.; Castellani, A.; Vangelista, L.; Zorzi, M. Internet of Things for Smart Cities. IEEE Internet Things J. 2014, 1, 22–32. [Google Scholar] [CrossRef]
- Batty, M.; Axhausen, K.W.; Giannotti, F.; Pozdnoukhov, A.; Bazzani, A.; Wachowicz, M.; Portugali, Y. Smart Cities of the Future. Eur. Phys. J. Spec. Top. 2012, 214, 481–518. [Google Scholar] [CrossRef]
- Alzughaibi, A.A.; Ibrahim, A.M.; Na, Y.; El-Tawil, S.; Eltawil, A.M. Community-based multi-sensory structural health monitoring system: A smartphone accelerometer and camera fusion approach. IEEE Sens. J. 2021, 21, 20539–20551. [Google Scholar] [CrossRef]
- Hartley, R.; Zisserman, A. Multiple View Geometry in Computer Vision; Cambridge University Press: Cambridge, UK, 2004. [Google Scholar] [CrossRef]
- Luo, Y.; Wang, X.; Liao, Y.; Fu, Q.; Shu, C.; Wu, Y.; He, Y. A review of homography estimation: Advances and challenges. Electronics 2023, 12, 4977. [Google Scholar] [CrossRef]
- Amies, A.C.; Pretty, C.G.; Rodgers, G.W.; Chase, J.G. Experimental Validation of a Radar-Based Structural Health Monitoring System. IEEE/ASME Trans. Mechatron. 2019, 24, 2064–2072. [Google Scholar] [CrossRef]
- Hikvision Digital Technology Co., Ltd. DS-2CD2187G2H-LI(SU) 8 MP Smart Hybrid Light with ColorVu Fixed Mini Dome Network Camera: Datasheet; Product Datasheet; Hikvision Digital Technology Co., Ltd.: Hangzhou, China, 2024. [Google Scholar]
- Lorex Technology Inc. N881 Series 4K Security NVR, Product manual describing installation, configuration, and recommended camera mounting angles; Lorex Technology Inc.: Markham, ON, Canada.
- Hikvision Digital Technology Co., Ltd. DS-7604NXI-K1/4P AcuSense Network Video Recorder: Datasheet; Product Datasheet; Hikvision Digital Technology Co., Ltd.: Hangzhou, China, 2022. [Google Scholar]
- Micro-Epsilon GmbH. ILD1220 Laser Displacement Sensor Datasheet. Product Datasheet. 2023. Available online: https://www.micro-epsilon.com (accessed on 7 May 2025).
- Fukuwa, N.; Nishizaka, R.; Yagi, S.; Tanaka, K.; Tamura, Y. Field measurement of damping and natural frequency of an actual steel-framed building over a wide range of amplitudes. J. Wind. Eng. Ind. Aerodyn. 1996, 59, 325–347. [Google Scholar] [CrossRef]
- Ni, Y.; Lu, X.; Lu, W. Operational modal analysis of a high-rise multi-function building with dampers by a Bayesian approach. Mech. Syst. Signal Process. 2017, 86, 286–307. [Google Scholar] [CrossRef]
- Dong, C.Z.; Celik, O.; Catbas, F.N.; O’Brien, E.J.; Taylor, S. Structural displacement monitoring using deep learning-based full field optical flow methods. Struct. Infrastruct. Eng. 2020, 16, 51–71. [Google Scholar] [CrossRef]
- Proakis, J.G. Digital Signal Processing: Principles, Algorithms, and Applications, 4/E; Pearson Education India: Chennai, India, 2007. [Google Scholar]
- Lyons, R.G. Understanding Digital Signal Processing, 3/E; Pearson Education India: Chennai, India, 1997. [Google Scholar]
- Ramirez, C.M.; Lignos, D.G.; Miranda, E.; Kolios, D. Fragility functions for pre-Northridge welded steel moment-resisting beam-to-column connections. Eng. Struct. 2012, 45, 574–584. [Google Scholar] [CrossRef]
- Baker, J.W. Efficient analytical fragility function fitting using dynamic structural analysis. Earthq. Spectra 2015, 31, 579–599. [Google Scholar] [CrossRef]









| PGA (g) | Freq. (Hz) | RMSE (mm) | NRMSE (%) | |
|---|---|---|---|---|
| 0.7 | 3.8 | 0.58 | 2.9 | 0.9917 |
| 0.9 | 5.5 | 0.49 | 3.2 | 0.9909 |
| 1.7 | 7.6 | 0.37 | 2.83 | 0.9960 |
Disclaimer/Publisher’s Note: The statements, opinions and data contained in all publications are solely those of the individual author(s) and contributor(s) and not of MDPI and/or the editor(s). MDPI and/or the editor(s) disclaim responsibility for any injury to people or property resulting from any ideas, methods, instructions or products referred to in the content. |
© 2026 by the author. Licensee MDPI, Basel, Switzerland. This article is an open access article distributed under the terms and conditions of the Creative Commons Attribution (CC BY) license.
Share and Cite
Alzughaibi, A. Impact of Spatial and Temporal Sampling on Inter-Story Drift and Peak-Demand Estimation Using In-Building Security Cameras. Buildings 2026, 16, 942. https://doi.org/10.3390/buildings16050942
Alzughaibi A. Impact of Spatial and Temporal Sampling on Inter-Story Drift and Peak-Demand Estimation Using In-Building Security Cameras. Buildings. 2026; 16(5):942. https://doi.org/10.3390/buildings16050942
Chicago/Turabian StyleAlzughaibi, Ahmed. 2026. "Impact of Spatial and Temporal Sampling on Inter-Story Drift and Peak-Demand Estimation Using In-Building Security Cameras" Buildings 16, no. 5: 942. https://doi.org/10.3390/buildings16050942
APA StyleAlzughaibi, A. (2026). Impact of Spatial and Temporal Sampling on Inter-Story Drift and Peak-Demand Estimation Using In-Building Security Cameras. Buildings, 16(5), 942. https://doi.org/10.3390/buildings16050942

