Abstract
The lighting environment has transcended purely functional illumination and has evolved into a critical medium for orchestrating narrative rhythm and modulating audience emotional responses. However, existing studies often examine photometric properties and human emotional responses in isolation, failing to establish a quantitative coupling mechanism to elucidate the relationship between light distribution, visual attention, and emotional states. This study aims to quantify the coupling mechanisms between luminous environmental parameters (illuminance and CCT), visual attention distribution, and emotional states (PAD) in immersive narrative exhibition spaces for the optimization of visitor experience. Four screen-based simulated narrative scenes were constructed with different illumination levels (low/high) and four levels of correlated color temperature (2700 K, 3000 K, 4000 K, and 5000 K). Using the SIFT algorithm, the illuminance pseudo-color map and the eye-tracking heat map were spatially registered to quantify the spatial correlation between the physical light field and the visual attention field. The results demonstrate a significant nonlinear coupling effect: high-illuminance cold light (4000 K, 544 lx) establishes a strong guidance mechanism, with a high spatial correlation between visual attention and brightness ( = 0.82), which significantly enhances physiological arousal and perceived dominance. Conversely, low-illuminance warm light (2700 K, 150 lx) leads to a weak coupling state ( = 0.62), which promotes free visual exploration, thereby improving pleasure and perceived immersion. These results suggest that lighting design should not be treated as a fixed set of parameters, but rather as an adjustable strategy that responds to changes in visual attention and emotional experience. By modifying the strength of visual and optical interaction, lighting conditions can influence how visitors move from initial perception to emotional engagement. This provides practical support for applying evidence-based lighting strategies in the design of cultural heritage spaces.
1. Introduction
The design focus of museums and exhibition spaces has gradually moved away from static presentations of cultural artifacts toward experience-oriented environments, where space itself participates in narrative construction rather than serving only as a physical container [1,2,3]. In this shift, the luminous environment has gained importance as a design element. Beyond fulfilling basic requirements related to visual comfort and cultural relic conservation, as defined in standards such as CIE 117:1995 [4], lighting influences how visitors perceive time, spatial structure, and emotional tone through changes in brightness and correlated color temperature, in line with Böhme’s discussion of atmosphere in architectural physics [5,6]. Meanwhile, the growing adoption of immersive technologies—such as projection mapping, virtual reality, and solid-state lighting—has increased the complexity of lighting design in exhibition spaces. When human physiological and psychological responses are insufficiently considered, this complexity may result in sensory overload or a loss of narrative coherence [7,8]. Consequently, there is an increasing need for architectural and lighting design approaches that move beyond intuitive esthetic judgment and instead support a more systematic, evidence-based understanding of how luminous environments influence emotional experience.
Current museum lighting standards, such as CIE 117:1995 and CIE 157:2004, mainly focus on visual ergonomics and cultural relics protection; however, these indicators are insufficient for immersive narrative space [4,9,10]. The existing literature generally believes that low-intensity warm light creates a relaxed and intimate atmosphere, while high-intensity cold light enhances alertness and concentration [11,12]. Guo Helin (2022) pointed out that as a narrative language, the main function of light is to enhance spatial coherence and emotional expression, not just to create a static atmosphere [13]. Nevertheless, in the specific field of immersive narrative space, these static binary relationships seem too simple. Current research usually regards illuminance and color temperature as isolated variables, or only focuses on static viewing scenes, failing to clarify how visitors’ visual exploration behavior is dynamically coupled with light distribution. For example, how the high brightness contrast of the spotlight physically “forces” to lock the visual attention, and how this loss of visual autonomy affects visitors’ “sense of control” and “immersion”. These mechanisms are still unclear.
Despite the maturity of lighting simulation and biometric technologies, significant methodological gaps remain at the intersection of architectural physics and neuroaesthetics. At present, there is a lack of a comprehensive framework to “couple” physical simulation data with behavioral tracking data at the spatial level in a complex 3D narrative environment. Specifically, how light distribution limits the “visual entropy”—defined as the degree of randomness or disorder in the visual texture distribution [14,15]—which physically determines whether visual attention is expressed as “forced follow” or “free roaming”—and how this mechanism is mapped to a specific emotional dimension has not been quantitatively verified. Understanding this coupling relationship is crucial for designing immersive spaces with both visual impact and psychological resonance. To address these gaps, this study proposes a ‘light-vision-emotion’ coupling framework to achieve three goals:
- Quantitative coupling intensity: determine the statistical correlation between the photometric distribution and the visual attention distribution in different lighting modes, and reveal the guiding mechanism of light to vision.
- Draw emotional trajectory: establish the correspondence between different coupling states and the dimensions of the PAD emotional model, and explain the adjustment logic of the luminous environment for emotions.
- Formulate design strategies: Based on empirical data, put forward evidence-based design strategies, and use luminous environment parameters to adjust the “narrative rhythm” of the exhibition space.
By systematically analyzing four typical lighting scenarios within a controlled simulated exhibition space, this study introduces a new quantitative dimension to architectural lighting design, facilitating the transition from static lighting standards to dynamic, emotion-oriented spatial creation.
2. Literature Review
2.1. Lighting Environment and Spatial Perception
Unlike workplace lighting, which mainly focuses on visual acuity and fatigue reduction, exhibition lighting is generally considered an important factor affecting the perception of architectural space. Lighting plays a wider perception role in the exhibition environment by shaping the spatial form, guiding visual attention, and creating a cognitive and emotional atmosphere. Previous studies have shown that luminance parameters such as illuminance, brightness, correlation color temperature (CCT) and uniformity are closely related to visual comfort and spatial understanding.
In practice, moderate improvement in illumination is usually associated with improved task efficiency and clearer environmental perception, while uneven brightness distribution or excessive glare often leads to visual discomfort and fatigue, thus reducing the perceived spatial quality [16,17,18]. Based on this, lighting evaluation tools and simulation methods have been widely used, not only to evaluate physical lighting conditions, but also to study how brightness distribution and contrast affect the perceived experience. At the same time, more and more studies combine psychophysics experiments with lighting simulations to explore the connection between objective photometric parameters and subjective spatial perception. Therefore, in architectural design research, the attention to the perception characteristics of the light environment is increasingly prominent, especially in emotional and narrative-oriented spaces such as museums and exhibition venues.
2.2. Lighting and Emotional Response
The PAD (Pleasure-Awakening-Domination) emotional model is widely used in environmental psychology, providing a useful theoretical perspective for studying the relationship between the light environment and human emotional response [19]. Compared with the discrete emotional model, its dimensional structure is more in line with the narrative and immersive spatial environment, because the awakening and domination dimensions can reflect the differences between immersion intensity and perceived spatial control. Previous empirical studies have shown that emotional states are very sensitive to specific lighting parameter combinations. For example, the combination of warm color temperature in the range of 2700–3500 K with moderate illumination (about 300–500 lx) is usually associated with a relaxed and happy mood, while the cold color temperature of 5000–6500 K is more often associated with high alertness and concentration. In addition, studies have shown that warm-colored lighting conditions can improve emotional comfort, relieve stress, and enhance a sense of intimacy and control. Physiological measurement data such as heart rate and skin conductivity further show that changes in illuminance will be accompanied by corresponding changes in the physiological wake-up level, which supports the correlation of the PAD dimension in evaluating the emotional response to lighting conditions [20,21,22].
Although existing studies have outlined some general trends, there are still some differences in the conclusions drawn by different scholars. In general, although warm light and moderate illumination are more likely to trigger positive emotions, the psychological effects of the luminous environment are not simply linear; on the contrary, they are jointly constrained by situational factors such as spatial characteristics and visual tasks. Therefore, future research urgently needs to integrate multimodal perception and behavioral data and build a more systematic analysis framework, so as to further reveal the complex interaction mechanism between the luminous environment and emotional response.
2.3. Immersive Narrative Exhibition Design
Unlike the traditional linear exhibition model, the immersive narrative space integrates visitors into the spatial environment and makes them active participants in the environment, thus significantly enhancing their sense of participation. Usually, these designs integrate lighting, acoustics, projection mapping and interactive technologies to build a visual narrative space controlled by time and storyline logic [23,24], which immerses visitors. In this study, ‘Immersive Narrative Exhibition’ is operationally defined as a space where lighting, spatial layout, and multimedia content are integrated to guide visitors through a structured storyline, transforming them from passive observers to active participants.
In this environment, the function of the lighting environment goes beyond its basic function of providing lighting; it plays a key role in narrative expression and creating an immersive atmosphere. Existing studies show that changes in light intensity can effectively guide the audience’s visual attention, thus creating a rhythmic emotional experience. In addition, Guo Helin [13] proposed that light, as a unique narrative language, can enhance the coherence and emotional expression of narrative space.
Therefore, the establishment of a comprehensive methodological framework that can link luminometer parameters with emotional transformation is crucial to promoting the development of this field.
2.4. Methods and Technologies for Lighting–Emotion Research
In terms of the method of studying the relationship between light and emotion, its development trajectory has shifted significantly from subjective evaluation to multimodal data analysis.
In recent years, researchers have increasingly used physiological and behavioral indicators, such as heart rate variability (HRV), electroencephalogram (EEG) and eye trajectory, to objectively describe mood changes. Eye tracking is chosen as the main objective indicator because it can capture subconscious visual processing and attention distribution that self-reporting methods cannot reveal, thus providing a direct physiological connection with visual significance. Eye tracking technology is particularly effective; indicators such as gaze duration, video scanning rate and heat map distribution can effectively clarify the impact of light changes on visual attention and emotional participation [25,26,27,28]. At the same time, lighting simulation platforms (such as DIALux and Radiance) can generate high-precision spatial brightness distribution maps, laying the foundation for the coupling analysis of photometric data and emotional indicators. Yet, a critical review of the recent literature shows that there is a lack of a comprehensive framework for combining lighting simulation and eye tracking experiments, and there are still few system applications in exhibition scenarios. In view of the dynamics and inherent emotional interactivity of the immersive narrative exhibition hall, there is an urgent need for an interdisciplinary framework that can integrate simulated data and human perception behavior to support the emotion-oriented lighting design strategy.
2.5. Research Gap and Conceptual Framework
Based on the comprehensive analysis of the above literature, the existing research has the following key limitations:
- Although a large number of studies focus on visual comfort and task efficiency, the coupling mechanism between light and emotion in the immersive narrative environment has not been fully explored.
- Most studies rely heavily on subjective assessment methods and lack a comprehensive analysis of behavioral and physiological signals.
- The correlation between lighting simulation results and emotional reactions is mainly limited to qualitative description, and there is a lack of reliable quantitative verification methods.
In order to solve the above shortcomings, this study proposes an integrated research framework that combines lighting simulation, eye tracking experiments and emotional analysis. By spatially matching the simulated illuminance pseudo-color map with the eye tracking heat map, the framework can realize the direct correspondence analysis between the physical distribution of light and the visual emotional response. The main advantage of this method is that it can enhance objectivity and repeatability, thus providing a scientific basis for the sensory lighting design of the exhibition space.
As shown in Figure 1, the conceptual model emphasizes the two-way interaction between the lighting environment and emotional experience: on the one hand, the lighting environment regulates emotional changes through visual attention and perception mechanisms; on the other hand, emotional feedback can in turn guide lighting design and form a dynamic regulation mechanism. Through this data-driven coupling analysis, this study aims to provide a verifiable and scalable way for the study of the lighting environment of immersive exhibition spaces.
Figure 1.
Conceptual framework of the “Light-Vision-Emotion” coupling model.
Although there have been studies trying to combine physiological indicators with analog data, there is still a lack of systematic coupling models. Specifically, there is a lack of comprehensive research on the two-way effects of light changes on visual attention and emotional response using eye tracking and physiological data. Therefore, this study combines lighting environment simulation with eye tracking data, deeply analyzes the changes in emotional atmosphere under different lighting conditions, and explores the coupling mechanism between visual behavior and emotional experience.
The main contributions and innovation points of this study are as follows:
- A quantitative coupling framework for integrated luminous environment simulation and eye tracking experiments has been built;
- Introduced a closed-loop model of emotional feedback for design optimization;
- The spatial characteristics of the light-emotional mechanism in the immersive exhibition hall have been empirically verified.
3. Methodology
3.1. Research Framework and General Process
The main goal of this study is to explore the coupling relationship between the lighting environment and the emotional atmosphere in the immersive narrative exhibition hall by combining lighting environment simulation and human perception experiments. Specifically, this study aims to explore the lighting configuration that can optimize the immersive experience of visitors. For this reason, this study adopts a multi-stage framework to quantify the coupling relationship between the lighting simulation results and the emotional response of the human body, and systematically integrates the physical, perceptual and emotional dimensions.
The experimental process is divided into five different stages:
- Modeling and simulation using DIALux evo 10.1;
- Generation of photometric data, including illuminance distribution map and pseudo-color map;
- Acquisition of visual attention characteristics through eye tracking experiments;
- Comprehensively evaluate emotional response with experimental data;
- Analyze the correlation between luminous environment parameters and human emotional perception.
The research combines lighting simulation with human perception experiments to study the relationship between lighting parameters and emotional atmosphere. The workflow includes drawing the exhibition layout in AutoCAD 2024, building the three-dimensional model in SketchUp, performing lighting simulations in DIALux, and collecting eye-tracking and emotional evaluation data for subsequent analysis.
This procedure provides a structured way to examine the effects of lighting configuration on spatial emotion and visual behavior. The experimental steps are summarized in Figure 2. Analysis is conducted by relating physical lighting conditions to perceptual responses and emotional outcomes based on quantitative data.
Figure 2.
Experimental workflow integrating lighting simulation, eye-tracking, and emotional evaluation.
3.2. Experimental Environment and Equipment
The experimental environment is modeled based on the spatial size of the actual immersive exhibition hall (length: 27 m, width: 9 m, height: 4 m) and built with SketchUp 2024 software. The space adopts a rectangular layout and contains several different exhibition areas (Figure 3). The surface reflectivity parameters are set as follows: the wall is 0.6, the ground is 0.3, and the ceiling is 0.8. The lighting system adopts LED spotlights, and the correlated color temperature (CCT) is set to 2700 K, 3000 K, 4000 K and 5000 K respectively, which meets the standard lighting simulation protocol. The simulation and visualization of the lighting environment are carried out using DIALux evo 10.1 software. The spatial geometry is initially drawn in AutoCAD 2024, and then imported into SketchUp 2024 for modeling [29,30]. The eye movement data is collected through the eye movement tracking experiment, and the sampling frequency is 120 Hz. The experiment was conducted in a controlled environment (Figure 3), the background illumination was about 200 lx, the background brightness was 50 cd/m2, and the wall color was neutral (Monsell N5).
Figure 3.
(a) Layout and dimensions of the immersive exhibition space model. (b) Experimental Site Environmental Simulation.
3.3. Luminous Environment Simulation
This study utilized DIALux evo 10.1 software to simulate the lighting environment to quantitatively verify the impact of different lighting conditions on human emotional response. Four different lighting configuration schemes were set up in the experiment, each of which was combined with a specific illumination level and correlated color temperature (CCT). The variables of each basic scheme are defined as follows: (a) low illumination + warm color temperature (2700 K); (b) low illumination + cold color temperature (5000 K); (c) high illumination + warm color temperature (3000 K); (d) high illumination + cold color temperature (4000 K).
In order to ensure the visual comfort of visitors, the Unified Glare Rating (UGR) of each program is strictly controlled below 19. The analog output results include pseudo-color diagram of illuminance distribution (Figure 4), lamp product data sheet, light distribution curve, average illuminance (), uniformity () and glare index.
Figure 4.
Rendered views of the four experimental lighting scenarios.
The lighting layout adopts a combination of direct lighting and indirect lighting to effectively simulate the atmospheric characteristics of the key display areas in the immersive narrative exhibition hall. The simulation results are verified by referring to the CIE 117:1995 Museum and Exhibition Lighting Guide [4,31]. Use the 0.1 m × 0.1 m grid sampling method to export the illuminance value to generate a pseudo-color map. The average illuminance and uniformity of different lighting schemes are calculated by Formulas (1) and (2), respectively:
The results were used for subsequent registration analysis with eye movement experimental heat maps.
3.4. Eye-Tracking and Emotional Assessment
This study recruited 32 undergraduates and graduate students majoring in design from a Chinese university to participate in eye tracking and emotional evaluation experiments (16 men, 16 women; age range: 20–30 years old). Design students were selected for this pilot study due to their higher visual literacy, which provides the sensitivity needed to detect subtle threshold effects in lighting perception. This sample size is consistent with similar eye-tracking studies [27] and meets the requirements for statistical power in within-subject experimental designs. All participants had normal vision or were normal after correction, and there was no history of color blindness. Before the experiment, all subjects signed a written informed consent form. The eye movement data is recorded with the Tobii Pro Fusion eye movement tracker, with a sampling rate of 120 Hz and an accuracy of 0.3°.
The experiment was conducted in a controlled environment, the ambient illumination remained constant (200 lx), simulating a semi-open exhibition transition zone to prevent visual fatigue caused by high contrast between a dark room and the bright screen. The background noise level was maintained below 35 dB. The stimulating image is presented on a 24-inch monitor (resolution 1920 × 1080) with a viewing distance of 60 cm. The total duration of the experiment was limited to 30 min to minimize fatigue. In order to reduce the sequential effect, four lighting scenes are presented in random order, with a 30 s break between the two tests.
The experimental procedure includes three different stages: (1) adaptation stage (10 s): participants adapt to the ambient brightness of the laboratory; (2) observation stage (30 s): participants are free to watch simulated lighting scenes; (3) evaluation stage (15 s): participants use the self-assessment scale (SAM) to evaluate their emotional state in three dimensions: pleasure (efficacy), Arousal and Dominance [32].
We used Tobii Pro Lab software (Ver. 1.217; Tobii Technology, Stockholm, Sweden) to extract eye tracking indicators, including the position of the gaze point, the duration of gaze and the saccade amplitude. Then, the generated gaze heat map and gaze trajectory map were superimposed on the illuminance pseudo-color map generated by DIALux to visualize the coupling relationship between light intensity and visual focus.
3.5. Data Analysis and Verification
To ensure geometric validity, we generated perspective false-color luminance maps in DIALux evo 10.1 using the identical camera parameters (Position, Target, FOV) as the stimulus images. We utilized the SIFT algorithm to align these luminance maps with the eye-tracking heatmaps (1920 × 1080). An average of 152 keypoints were matched per scene, with a Root Mean Square (RMS) registration error consistently below 2.0 pixels, ensuring rigorous spatial alignment [33]. Subsequently, we calculated the Pearson correlation. After registration, we calculated the Pearson correlation coefficient () between the spatial overlap rate () and the pixel intensity. It should be noted that the spatial correspondence analysis in this study focuses on the relative spatial relationships between lighting distributions and visual attention patterns under different lighting conditions, rather than pixel-level numerical matching. The purpose of image registration is to establish a unified spatial reference framework for region-based trend analysis, rather than to achieve exact luminance alignment at the pixel scale. The calculation method is as follows:
where represents the pixel illuminance value, and represents the pixel intensity value of the eye tracking heat map.
Data processing and statistical analysis were carried out using SPSS 27.0 and Python 3.11. Single-factor analysis of variance (ANOVA) is used to evaluate the significant differences in emotional evaluation results in four lighting scenarios. We used Pearson correlation analysis and ANOVA to analyze the relationship between emotional score and photometric parameters (average illuminance, uniformity, color temperature). Before superimposed analysis with the illuminance chart, the eye tracking index was standardized to determine the spatial coupling characteristics. The formula for calculating the F statistic of ANOVA is as follows:
where represents the mean square between groups, and represents the mean square within the group. The significance level is set to < 0.05. In order to verify the stability and repeatability of the results, five participants were randomly selected for repeated experiments. The results showed that the variance of the coupling correlation coefficient was less than 5%, indicating that the experimental results were highly consistent.
4. Results and Analysis
4.1. Luminous Environment Simulation Results
This study first uses DIALux evo 10.1 software to establish a three-dimensional lighting simulation model of the virtual narrative exhibition hall and analyzes the light distribution under different illuminance and correlated color temperature (CCT) conditions. The simulation results clearly show that the spatial distribution of light is jointly influenced by the arrangement of lamps and the characteristics of surface materials, showing obvious regional differences.
In order to describe the visual characteristics of the four lighting configurations, we have studied them. Under the condition of low illumination and warm color temperature (2700 K), the light environment is soft and the brightness gradient is clearer. The shadow transition is smooth, creating a restrained and warm visual impression. In contrast, when low illumination is matched with cold color temperature (5000 K), the overall visual tone is cold and the spatial boundaries are clearer; however, the increase in contrast causes local glare in some areas.
When the illumination is increased at a warm color temperature (3000 K), the space presents higher overall brightness and stronger color saturation, thus creating an open and inclusive atmosphere. Under the condition of high illumination and cold color temperature (4000 K), the brightness distribution is more uniform. At this time, the details of the object are clearer, and the overall visual effect is rational and neutral. Lighting simulation data for the four scenarios were obtained using DIALux evo. Illuminance values were sampled on a regular grid with a spacing of 0.1 m at a height of 1.2 m, which approximately corresponds to the eye level of a standing observer. For subsequent analysis, color temperature conditions were classified into warm lighting (2700 K and 3000 K) and cold lighting (4000 K and 5000 K).
Table 1 lists the quantitative simulation results of different illuminance and color temperature combinations. Indicators such as average illuminance (), maximum illuminance (), minimum illuminance () and uniformity () are all calculated based on a 0.1 m grid and an altitude of 1.2 m. All values are the averages of three spatial regions. The significant ratio of and in Table 1 is mainly due to the direct illumination of the spotlight, which is consistent with the characteristics of local focus lighting.
Table 1.
Photometric parameters under different lighting scenarios.
The data in Table 1 reveal obvious differences in illuminance levels and spatial uniformity across four different lighting environments. The average illumination of scenes (a) and (b) is about 150 lx, which corresponds to a low-illuminance environment, and the overall brightness is relatively soft. In contrast, the average illumination of scenes (c) and (d) was significantly increased to approximately 544 lx, thereby enhancing visual clarity and clarifying spatial hierarchy.
Changes in color temperature (CCT) also have a significant impact on spatial perception. Warm light creates a soft color atmosphere, while cold light brings a more rational and clear perception. In terms of uniformity index, the value of the scene (c) is the highest (0.39), indicating that its light distribution is the most balanced and the brightness transition is the smoothest. Similarly, the value (0.38) of the scene (d) shows that under high illumination conditions, both warm and cold tone schemes maintain good uniformity, thus providing clear visual recognition. In contrast, the uniformity of low-light scenes (a, b) is lower (0.15), reflecting the dominant position of stronger contrast and key lighting features.
Combined with the data and spatial brightness analysis in Table 1, the pseudo-color illumination map (Figure 5) generated by DIALux clearly shows the distribution differences in different lighting environments.
Figure 5.
Pseudo-color Map illuminance distribution maps generated by DIALux evo.
In the low-light scene (Figure 5a, Figure 5b), the warm-tone area in the pseudo-color map is relatively concentrated, the boundary is soft, and the local brightness gradient is obvious. In the high-light scene (Figure 5c, Figure 5d), the overall lighting level is improved, and the high-brightness area is significantly expanded, forming a strong visual focus, especially in the core exhibition area. It is worth noting that the scene (Figure 5c) shows a balance between brightness and softness, thus bringing high visual comfort. On the contrary, the scene (Figure 5d) is too bright at the top and edge of the exhibit, resulting in obvious local glare.
These results indicate that the combination of illuminance and color temperature not only determines the physical brightness distribution of space, but also directly influences the visual attention area and viewing rhythm. Warm light contributes to a sense of inclusiveness and immersion, while cold light can more effectively reinforce spatial hierarchy and exhibition logic.
Finally, the data under four lighting conditions is compared and summarized, revealing the following patterns:
- Uniformity mode: The value under warm light conditions is usually higher than the value under cold light conditions, which indicates that warm light can achieve a more balanced distribution of light energy.
- Peak effect: In high-light scenes, the ratio of to is large (about 4.8 times), which is mainly due to the direct irradiation of the spotlight.
From the perspective of spatial perception, low-light warm light (Figure 5a) creates a soft and quiet visual atmosphere. High-light warm light (Figure 5c) takes into account visual clarity and psychological comfort, which is most conducive to emotional investment and immersive experience. Although high-light cool light (Figure 5d) can enhance visual clarity, it will reduce visual comfort and emotional intimacy.
In summary, the simulation results of the luminous environment show that:
- Light intensity and color temperature are the key orthogonal factors affecting the spatial atmosphere.
- Warm light is more effective than cold light in maintaining uniformity and improving emotional comfort.
- The high-illuminance warm light scene (Figure 5c) achieves the best balance between brightness balance and spatial inclusiveness.
- Although high-light cold light scenes (Figure 5d) have advantages in visual clarity, there are risks of local glare and spatial alienation.
These findings provide a photometric basis for subsequent eye tracking experiments and emotional evaluation and provide quantitative support for the construction of a “light-visual-emotion” coupling model.
4.2. Eye-Tracking Experiment Results
Figure 6 shows the distribution of eye-tracking heat maps under four different lighting scenarios. The analysis of the overall distribution characteristics shows that the participants’ visual attention is mainly concentrated in the display interface or core narrative area with high brightness contrast. This observation shows that the lighting environment conditions have a significant impact on the spatial organization of visual attention.
Figure 6.
Eye-tracking heatmaps under different lighting conditions (Color scale: Blue indicates low fixation duration/density, and Red indicates high fixation duration/density).
In low-light scenes (a and b), attention heatmaps tend to cover a limited area and show a relatively dispersed pattern. High-density gaze is primarily concentrated on specific display elements, with less attention allocated to surrounding spatial regions, making it difficult for a continuous viewing path to emerge. In scenes with higher illumination (c and d), the attention heatmaps extend across a broader area. Several display zones attract dense gaze simultaneously, suggesting a more spatially integrated and continuous distribution of visual attention.
Comparing the influence of different illuminance levels under the same color-temperature conditions, it can be found that the illuminance has a significant impact on the gaze distribution. Under warm color-temperature conditions, the viewing points of low-light scene A are mainly concentrated in the main display area on the front. On the contrary, high-illuminance scene c extends visual attention beyond the core area, activates peripheral display content, and expands the focus from a single center to multiple directions. A similar trend was observed under cold color-temperature conditions. The attention hot area of low-light scene b is relatively limited, while high-light scene d shows obvious focal points on multiple display interfaces, thus forming a more balanced distribution. These phenomena show that improving the illumination level can enhance the overall visual participation of visitors in the exhibition space and prevent visual attention from being limited to a single narrative node.
Under the same illumination conditions, changes in color temperature will also affect the morphological characteristics of the gaze distribution. In a low-luminous environment, the gaze hot area of the warm color temperature scene a is relatively concentrated and the boundary is smooth. In contrast, the cold color-temperature scene B shows a certain degree of fragmentation, and multiple small ranges of focal points appear at the same time. In a high-luminous environment, the warm color-temperature scene c tends to form a continuous high-density area and has a relatively clear visual flow path. On the contrary, although the cold color temperature (CCT) scenario d covers a wide range, the interval between hot spots is more obvious, showing the difference in local regional concentration levels.
It can be seen from the comprehensive heat map distribution results that the illuminance level plays a leading role in determining the visual concentration and spatial coverage, while the color temperature affects the morphological characteristics of the distribution more significantly. The combination of different lighting parameters shapes different visual attention patterns in the simulated exhibition environment, providing a direct behavioral basis for the coupling analysis between the subsequent lighting environment and emotional experience.
4.3. Emotional Evaluation Results
In order to further explore the impact of luminous environment changes on the emotional response of participants, we conducted an emotional evaluation experiment based on the Pleasure-Arousal-Dominance (PAD) model. Participants were exposed to four different lighting scenarios (Figure 7a–d), as shown in Figure 7, each lasting 3 min. Then, the 9-point self-assessment scale (SAM) was used to evaluate the self-reported emotional state of the participants. The assessment covers three emotional dimensions: Pleasure (Valence), Arousal and Dominance. The score range is 1 to 9, and the higher the score, the higher the intensity of the corresponding emotions.
Figure 7.
Emotional Evaluation Scores.
As shown in Table 2, there are significant differences in pleasure scores under different lighting conditions. In low-luminous environments, the average score of the warm light scene (Table 2 a) is the highest (7.31 ± 0.42), which is higher than the cold light scene (Table 2 b) (6.22 ± 0.48). This shows that warm light helps to create a relaxed and pleasant psychological atmosphere. In a high-luminous environment, although the score of warm light (Table 2 c) is still slightly higher than that of cold light (Table 2 d), the difference has decreased. This shows that with the increase in light intensity, the influence of color temperature is relatively weak. In general, warm light helps to improve emotional efficiency, while excessive illumination will partially weaken its comfortable and warm characteristics.
Table 2.
PAD emotional scores under different lighting conditions.
In terms of the Arousal dimension, the score of the high-light group (Table 2 c,d) was significantly higher than that of the low-illuminance group (Table 2 a,b), showing stronger physiological excitement and attention activation effects. The highest score of scene (Table 2 d) (6.89 ± 0.42) shows that cold light can enhance alertness and spatial clarity. On the other hand, the score of scene (Table 2 a) is the lowest (4.82 ± 0.51), corresponding to the soft and quiet visual experience. These results show that the illumination has a significant main effect on the arousal level ( = 9.43, = 0.004), and the color temperature (CCT) also has a significant effect ( = 7.11, = 0.012). The interaction trend shown in Figure 8 shows that under high illumination conditions, the arousal level increases with the increase in color temperature.
Figure 8.
Interaction Effects (ANOVA).
The average score of the sense of dominance dimension is between 6.2 and 6.9. The data shows that the high-light cold luminous environment (Table 2 d) has the highest score of Dominance (6.83 ± 0.30), while the high-light warm luminous environment (Table 2 c) has a slightly lower score (6.27 ± 0.35). This shows that in the immersive narrative exhibition hall, although warm light can create a sense of intimacy, the clear visual environment (high illumination) combined with cold tones can effectively enhance the readability and sense of order of the space, thus enhancing visitors’ sense of control of the environment. In the low-light group, the score of warm light (Table 2 a and 6.45) is slightly higher than that of cold light (Table 2 b and 6.33), which shows that in a darker environment, a warm atmosphere can help relieve anxiety and improve a sense of mental security. In general, the interaction between illuminance and color temperature on the sense of dominance shows that “clarity” is a key determinant. For the narrative part that emphasizes active exploration and rational cognition, high-light cold light seems to be more appropriate.
The results of the two-way ANOVA indicate:
- Pleasure: Observe the significant main effect of illumination (= 6.42, = 0.014), and low illumination conditions are more conducive to triggering positive emotions.
- Arousal degree: The significant main effect of color temperature (= 7.11, = 0.012) was found, confirming that cold light can enhance alertness.
- Interaction: There is a significant interaction between illuminance and color temperature (= 5.32, = 0.028), which means that the impact of illuminance changes on emotional response depends on the color temperature type.
As shown in Figure 8, under warm light conditions, increasing the illumination will increase the degree of pleasure and wakefulness at the same time; on the contrary, under cold light conditions, increasing the degree of illumination will reduce the degree of pleasure but increase the degree of wakefulness.
A comprehensive analysis shows that the luminous environment systematically affects the emotional state of human beings through the combined effect of illumination and correlated color temperature (CCT). Warm light under low light can trigger a calm, happy and relaxing emotional response, so it is very suitable for creating a comfortable and warm immersive space atmosphere. On the other hand, high-illumination cold light can enhance physiological arousal and concentration, making it more suitable for situations that require alertness or rational thinking. These findings coincide with the typical “high pleasure-low arousal” and “low pleasure-high arousal” states described in the PAD model of environmental psychology. The research results further verify the effectiveness of the lighting environment as an emotional regulation factor, indicating that the combination of controlling illuminance and CCT can achieve targeted psychological adjustment of the exhibition atmosphere.
Based on the analysis of the results of emotional evaluation, the following conclusions can be drawn: (1) Warm light shows significant effectiveness in enhancing pleasure and comfort; (2) High illumination significantly improves the level of arousal, but may reduce the pleasant experience; (3) There is an interaction between illumination and CCT, and high-light warm light can realize the balance of “positive-active” emotions; (4) Although high-light cold light can improve alertness, it will reduce emotional intimacy; (5) Low-light warm light is most conducive to creating a space for immersion and emotional resonance.
These findings provide an empirical basis for the subsequent “light–emotion coupling analysis” and quantitative data support for emotion-oriented lighting design in the exhibition space.
4.4. Light–Emotion Coupling Analysis Results
Based on the results of lighting simulation, eye tracking data and emotional evaluation scores, we conducted a comprehensive analysis to quantify the coupling relationship between lighting environment parameters and emotional response. By spatially matching the physical distribution characteristics of the lighting environment with the visual attention distribution of visitors within a unified spatial framework, the correspondence between photometric attributes, visual attention and emotional experience is revealed.
The superimposed analysis after registration of the SIFT algorithm shows that there is a significant positive spatial correlation between the light intensity distribution and the visual attention point (Figure 9). The specific quantitative indicators are shown in Figure 9.
Figure 9.
Spatial Registration (SIFT Analysis). (a) Overlay of eye-tracking heatmap on the false-color luminance map showing spatial correspondence. (b) Visualization of SIFT feature matching keypoints, verifying that the perspective geometry of the simulated scene aligns perfectly with the visual stimulus.
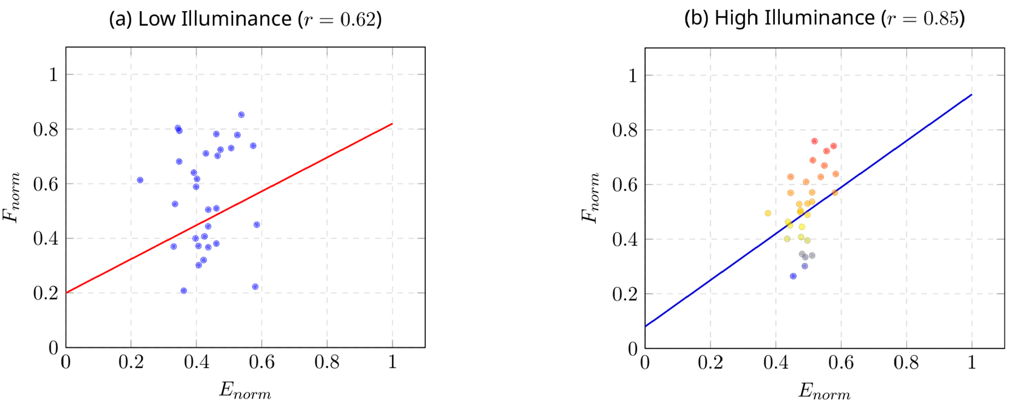
As shown in Table 3, the illumination level significantly affects the distribution pattern of visual attention. In the high-illuminance group (scene c, d), the Pearson correlation coefficient exceeded (0.8 = 0.85, = 0.001), and the overlap rate reached about 80%. This shows that high-intensity lighting has a strong visual guidance ability; the participants’ gaze trajectory is closely aligned with the lighting focus area, showing a “compulsory” visual follow-up. On the contrary, in the low-light group (scenes a, b), the correlation coefficient drops to about 0.6, and the overlap rate is less than 50%. This shows that in a dim environment, the physical guidance of light is weakened, and the visual search strategy of participants changes from “light-driven” to “content-driven”, and the saccade path shows more discrete characteristics.
Table 3.
Spatial coupling metrics between illuminance and visual attention.
The cross-analysis of PAD emotional scoring and eye tracking data shows that different lighting environments induce different emotional response patterns by adjusting the concentration of visual attention.
In a low-light warm luminous environment (Table 3 scheme a), the low visual correlation coefficient ( = 0.62) corresponds to the highest pleasure score (7.31). This correspondence shows a “low guidance, high freedom” experience mechanism: soft lighting minimizes the strong visual focus, thus promoting unrestricted exploratory observation. This unrestrained visual experience reduces the cognitive load and psychologically transforms into relaxation and pleasure, thus creating a sense of immersion.
On the contrary, the high-light cold luminous environment (scheme d) shows completely different coupling characteristics. The scheme is characterized by the highest visual guidance ( = 0.85) and the overlap rate of attention points (81.2%), which coincides with the highest sense of dominance score (6.83). This dynamic of “strong guidance and high order” shows that the strong cold light can clearly divide the spatial hierarchy, thus eliminating visual ambiguity. Because the eyes of the subjects can capture environmental information quickly and accurately, their perceived sense of dominance and excitement increased significantly.
In a word, these research results show that the lighting environment does not directly determine the mood but indirectly modulates the emotional response by regulating the “focus” and “freedom” of visual attention. Specifically, a warm and low-luminous environment creates a sense of pleasure by providing visual autonomy, while a cold and high-luminous environment enhances the sense of control by establishing visual order.
As shown in Figure 10, the results show that high-intensity cold light lighting has a stronger visual guidance effect than low-intensity warm light lighting ( = 0.85 vs. = 0.62). These findings are consistent with the difference between the models of “weak guidance—high freedom” and “strong guidance—high sense of order”.
Figure 10.
Correlation analysis between normalized pixel luminance (Enorm) and fixation intensity (F_norm) based on SIFT-based registration. (a) Low-illuminance scenario (Scenario a), exhibiting a moderate correlation (r = 0.62, p = 0.0012), which indicates a weak guidance mechanism allowing for exploratory visual freedom; (b) High-illuminance scenario (Scenario d), exhibiting a strong correlation (r = 0.85, p = 0.001), demonstrating a strong guidance mechanism, in which visual attention is physically constrained by high-intensity light distribution. Solid lines represent linear regression fits, and shaded areas denote 95% confidence intervals.
5. Discussion
5.1. Non-Linear Modulation Mechanisms of Luminous Environments on Emotional Perception
This study confirms through quantitative data that the impact of illuminance and correlated color temperature (CCT) on the spatial perception is not a simple superposition, but a significant interaction. Although the existing literature generally believes that warm color temperature can usually enhance spatial comfort, our data further improves this view: the comfort enhancement effect of warm light (2700 K) is most significant in low illumination (about 150 lx). However, under higher illumination (about 500 lx), this “comfort advantage” will be weakened by the higher level of arousal. This shows that the core source of immersion does not only depend on the “warmth” of color temperature, but also on the cognitive load reduction brought about by the dim luminous environment [34]. On the contrary, the cold color temperature (4000 K) under high illumination will bring the highest sense of control (Dominance). This finding corrects the one-sided conclusion that “cold light will lead to a sense of alienation” in some early studies. In the narrative exhibition hall that requires highly cognitive participation, this “calm” sense of transcendence is transformed into a rational bystander’s perspective, so that visitors can gain a sense of psychological control and order when dealing with complex information. This quantitative finding bridges the gap identified in Section 2.5 regarding the lack of empirical verification for the emotional impact of high-intensity lighting in narrative spaces. Therefore, emotional lighting design is essentially a dynamic balance between sensory immersion and rational control. Specifically, Low-Intensity Warm Light fosters ‘Passive Immersion’ (High Pleasure, Low Arousal), ideal for relaxation, whereas High-Intensity Warm Light supports ‘Active Engagement’ (High Pleasure, High Arousal), balancing comfort with the alertness required for information processing.
5.2. Visual Attention as a Coupling Interface Between Light and Emotion
The “light–visual–emotion” framework proposed in this study highlights the role of visual attention distribution in linking lighting conditions with emotional responses. Rather than acting independently, physical lighting characteristics and emotional experience appear to be connected through patterns of visual attention. In particular, high-illuminance cold lighting is associated with a stronger sense of control, which is reflected in more pronounced visual guidance. Increased light contrast contributes to clearer visual differentiation and spatial organization, facilitating information acquisition [14,15,35]. As environmental readability improves and visual search uncertainty is reduced, a decrease in anxiety can be observed, accompanied by an increase in perceived dominance.
In contrast, the discrete gaze mode observed in a low-intensity warm light environment effectively gives visitors “visual autonomy”. This non-compulsory visual experience fits with the concept of “negative space” in the narrative environment, reducing mandatory attention attraction and providing psychological space for emotional projection. This discovery shows that in order to trigger deep emotional resonance, designers should consciously reduce the mandatory guidance of lighting and let the visual focus move freely within the structured range. While current results demonstrate a strong spatial correlation, future causal mediation analysis is required to statistically verify this pathway.
5.3. Adaptive Lighting Strategies Based on Narrative Rhythm
Based on the coupling mechanism, the lighting design of narrative exhibitions should shift from static standards to adaptive strategies that serve the narrative rhythm [36]. In the introduction stage, priority should be given to the low-intensity warm light strategy; its characteristics of low awakening and high pleasure help visitors reduce psychological defense and establish a sense of security. On the contrary, in the conflict or climax stage—necessitating high-intensity information output—the lighting should be switched to high-illuminance cold light. Its powerful visual guidance can anchor the audience’s attention and enhance the dramatic tension by improving the physiological awakening. Compared with static lighting, dynamically adjusting the lighting parameters along the narrative arc can guide the visiting experience more effectively.
5.4. Limitations and Future Research
This study has some limitations. First of all, the experiment was carried out in a screen-based simulation environment. Although this method can accurately control the light parameters, it lacks the immersive experience of real physical space, which may underestimate the negative impact of peripheral glare on emotions. Yet, while screen-based simulations cannot fully replicate the proprioceptive and multi-sensory depth of physical reality, previous studies [37,38] have validated their efficacy as a proxy for evaluating visual attention and emotional thresholds in early-stage architectural design. Our findings should thus be interpreted as visual responses to spatial representations. Secondly, the subjects are mainly composed of students majoring in design, and their sensitivity to the lighting environment may be higher than that of the general public. Additionally, as participants were exclusively from a Chinese university, cultural background may bias color temperature preferences. Future research may benefit from cross-cultural comparisons and the inclusion of neurophysiological measures, such as electroencephalography (EEG) and galvanic skin response (GSR), to further examine the real-time effects of lighting on emotional responses in immersive environments.
6. Conclusions
This study establishes a research framework integrating luminous environment simulation, eye-tracking measurement, and emotional evaluation to examine immersive narrative exhibition spaces. Through this framework, we quantitatively explore the relationship between physical lighting conditions and human emotional experience. The results show that illuminance and related color temperature (CCT) are two relatively independent factors that shape the emotional atmosphere of the space. In addition, the inclusion of visual attention behavior as an intermediate variable in the model helps to gain an in-depth understanding of how changes in lighting conditions affect emotional response.
Empirical studies suggest that immersive experience involves both sensory engagement and cognitive regulation, rather than being driven by a single sensory stimulus. The warm color temperature under low light reduces the sense of visual oppression, gives visitors the freedom of “visual exploration”, and effectively induces pleasure and psychological relaxation, thus becoming the best environmental basis for narrative empathy. On the contrary, high-illuminance cold light significantly improves physiological arousal and sense of control by establishing a clear visual order and high-intensity attention locking and provides necessary psychological support for rational cognition and information transmission. This emotional regulation mechanism based on visual attention distribution offers a novel bio-behavioral perspective for interpreting the psychological mechanisms of the psychological effects of the luminous environment.
Therefore, this study proposes a design paradigm shift from “static lighting” to “narrative-driven dynamic lighting”. The lighting design of the immersive exhibition hall should no longer be limited to meeting the standardized illumination indicators but must become an integral part of the narrative script. Designers should dynamically adjust the luminous environment parameters according to the arc of the story—from the creation of suspense in the introduction stage to the outbreak of conflict in the climax stage and use the implicit guidance of light to adjust the emotional rhythm of the audience. Specifically, we recommend maintaining illuminance below 200 lx with a CCT of 2700–3000 K for introductory or relaxation zones to foster immersion. Conversely, for climax or information-intensive zones, illuminance should be increased to >500 lx with a CCT of 4000–5000 K to enhance arousal and focus.
In conclusion, the coupling analysis model established in this paper helps to realize the transformation from “empirical design” to “evidence-based design”. By transforming invisible emotional experiences into visible eye tracking heat maps and correlation indicators, this study provides a quantifiable and verifiable scientific method for future exhibition design and provides a new empirical sample for the interdisciplinary integration of architectural physics and environmental psychology.
Author Contributions
All authors contributed to the study conception and design. Formal analysis, investigation and writing—original draft were performed by H.Q.; methodology, material preparation and data collection analysis were performed by X.W., Z.W. and X.Q.; and project administration, supervision, and writing—review and editing were performed by X.W. All authors have read and agreed to the published version of the manuscript.
Funding
This research received no external funding.
Institutional Review Board Statement
Ethical review and approval were waived for this study because the research involves non-interventional observation (eye-tracking) and anonymous questionnaires, presenting no risk to participants. The study was conducted in accordance with the Declaration of Helsinki.
Informed Consent Statement
The study was conducted in accordance with the Declaration of Helsinki. Informed consent was obtained from all participants involved in the study.
Data Availability Statement
The data presented in this study are available within the article.
Acknowledgments
We thank all the study participants in this study.
Conflicts of Interest
The authors declare no conflicts of interest.
Abbreviations
The following abbreviations are used in this manuscript:
| ANOVA | Analysis of Variance |
| CCT | Correlated Color Temperature |
| CIE | Commission Internationale de l’Eclairage |
| EEG | Electroencephalogram |
| GSR | Galvanic Skin Response |
| HRV | Heart Rate Variability |
| LED | Light-Emitting Diode |
| PAD | Pleasure–Arousal–Dominance |
| SAM | Self-Assessment Manikin |
| SIFT | Scale-Invariant Feature Transform |
| SSL | Solid-State Lighting |
| UGR | Unified Glare Rating |
| VR | Virtual Reality |
References
- Falk, J.H.; Dierking, L.D. The Museum Experience Revisited; Left Coast Press: Walnut Creek, CA, USA, 2013. [Google Scholar]
- Bitgood, S. Attention and Value: Keys to Understanding Museum Visitors; Left Coast Press: Walnut Creek, CA, USA, 2013. [Google Scholar]
- Pallud, J. Impact of interactive technologies on stimulating learning experiences in a museum. Inf. Manag. 2017, 54, 465–478. [Google Scholar] [CrossRef]
- CIE 117:1995; Discomfort Glare in Interior Lighting. Commission Internationale de l’Eclairage: Vienna, Austria, 1995.
- Juhani, P. The sixth sense: The meaning of atmosphere and mood. Archit. Des. 2016, 86, 126–133. [Google Scholar]
- Böhme, G. Atmospheric Architectures: The Aesthetics of Felt Spaces; Bloomsbury Publishing: London, UK, 2017. [Google Scholar]
- Bekele, M.K.; Pierdicca, R.; Frontoni, E.; Malinverni, E.S.; Gain, J. A survey of augmented, virtual, and mixed reality for cultural heritage. J. Comput. Cult. Herit. (JOCCH) 2018, 11, 1–36. [Google Scholar] [CrossRef]
- Zumthor, P. Atmospheres: Architectural Environments, Surrounding Objects; Birkhäuser: Basel, Switzerland, 2006. [Google Scholar]
- CIE 157:2004; Control of Damage to Museum Objects by Optical Radiation. Commission Internationale de l’Eclairage: Vienna, Austria, 2004.
- ISO/CIE 8995-1:2025; Light and Lighting—Lighting of Work Places—Part 1: Indoor. International Organization for Standardization: Geneva, Switzerland, 2025.
- Küller, R.; Mikellides, B.; Janssens, J. The impact of light and colour on psychological mood: A cross-cultural study of indoor work environments. Ergonomics 2006, 49, 1496–1507. [Google Scholar] [CrossRef]
- Flynn, J.E.; Spencer, T.J.; Martyniuk, O.; Hendrick, C. Interim study of procedures for investigating the effect of light on impression and behavior. J. Illum. Eng. Soc. 1973, 3, 87–94. [Google Scholar] [CrossRef]
- Guo, H.; Lin, Y. Guidance Mechanisms in VR Museum: Attention and Narrative. In HCI International 2022—Late Breaking Papers: Interaction in New Media, Learning and Games; Springer: Cham, Switzerland, 2022; pp. 15–28. [Google Scholar]
- Stamps, A.E., III. Advances in visual diversity and entropy. Environ. Plan. B Plan. Des. 2003, 30, 449–463. [Google Scholar] [CrossRef]
- Hillier, B.; Tzortzi, K. Space syntax: The language of museum space. A Companion Mus. Stud. 2006, 282–301. [Google Scholar]
- Vogels, I. Atmosphere metrics: Development of a tool to quantify experienced atmosphere. In Probing Experience: From Assessment of User Emotions and Behaviour to Development of Products; Springer: Dordrecht, The Netherlands, 2008; pp. 25–41. [Google Scholar]
- Cuttle, C. Lighting Design: A Perception-Based Approach; Routledge: London, UK, 2020. [Google Scholar]
- Dawkins, C. What Is an Exhibition?: Definition, Context, and Ideology in an Apparatus of Holding Out. European Graduate School, Switzerland. 2020. Available online: https://www.proquest.com/openview/416715d26fb503b9c08e5b01548aeabf/1?pq-origsite=gscholar&cbl=18750&diss=y (accessed on 16 December 2025).
- Mehrabian, A.; Russell, J.A. An Approach to Environmental Psychology; MIT Press: Cambridge, MA, USA, 1974. [Google Scholar]
- Zhai, Q.Y.; Luo, M.R.; Liu, X.Y. The impact of illuminance and colour temperature on viewing fine art paintings under LED lighting. Light. Res. Technol. 2015, 47, 795–809. [Google Scholar] [CrossRef]
- Zhao, X.; Wang, Z.; Zhang, T.; Liu, T.; Yu, H.; Wang, H. Impact of Lighting Conditions on Emotional and Neural Responses of International Students in Cultural Exhibition Halls. Buildings 2025, 15, 2507. [Google Scholar] [CrossRef]
- Ulrich, R.S. View through a window may influence recovery from surgery. Science 1984, 224, 420–421. [Google Scholar] [CrossRef]
- Jo, H.I.; Jeon, J.Y. Overall environmental assessment in urban parks: Modelling audio-visual interaction with a structural equation model based on soundscape and landscape indices. Build. Environ. 2021, 204, 108166. [Google Scholar] [CrossRef]
- Tröndle, M.; Wintzerith, S.; Wäspe, R.; Tschacher, W. A museum for the twenty-first century: The influence of ‘sociality’on art reception in museum space. Mus. Manag. Curatorsh. 2012, 27, 461–486. [Google Scholar] [CrossRef]
- Brieber, D.; Nadal, M.; Leder, H.; Rosenberg, R. Art in time and space: Context modulates the relation between art experience and viewing time. PLoS ONE 2014, 9, e99019. [Google Scholar] [CrossRef] [PubMed]
- Yuan, K.; Fan, P.; Qin, H.; Gong, W. Evaluating Color Perception in Indoor Cultural Display Spaces of Traditional Chinese Floral Arrangements: A Combined Semantic Differential and Eye-Tracking Study. Buildings 2025, 16, 181. [Google Scholar] [CrossRef]
- Holmqvist, K.; Nyström, M.; Andersson, R.; Dewhurst, R.; Jarodzka, H.; Van de Weijer, J. Eye Tracking: A Comprehensive Guide to Methods and Measures; Oxford University Press: Oxford, UK, 2011. [Google Scholar]
- Reitstätter, L.; Brinkmann, H.; Santini, T.; Specker, E.; Dare, Z.; Bakondi, F.; Miscená, A.; Kasneci, E.; Leder, H.; Rosenberg, R. The display makes a difference: A mobile eye tracking study on the perception of art before and after a museum’s rearrangement. J. Eye Mov. Res. 2020, 13, 2. [Google Scholar] [CrossRef]
- Alsaffar, M. Simulation of Artificial Lighting Using Dialux Evo to Evaluate Lighting Conditions and Electricity Consumption in Handicraft Rooms. Res. Sq. 2024. [Google Scholar] [CrossRef]
- Gargiulo, M.; Carleo, D.; Ciampi, G.; Masullo, M.; Chìas Navarro, P.; Maliqari, A.; Scorpio, M. Assessment of the Historical Gardens and Buildings Lighting Interaction through Virtual Reality: The Case of Casita de Arriba de El Escorial. Buildings 2024, 14, 273. [Google Scholar] [CrossRef]
- Lin, Y.; Fotios, S.; Wei, M.; Liu, Y.; Guo, W.; Sun, Y. Eye movement and pupil size constriction under discomfort glare. Investig. Ophthalmol. Vis. Sci. 2015, 56, 1649–1656. [Google Scholar] [CrossRef] [PubMed]
- Bradley, M.M.; Lang, P.J. Measuring emotion: The self-assessment manikin and the semantic differential. J. Behav. Ther. Exp. Psychiatry 1994, 25, 49–59. [Google Scholar] [CrossRef]
- Lowe, D.G. Distinctive image features from scale-invariant keypoints. Int. J. Comput. Vis. 2004, 60, 91–110. [Google Scholar] [CrossRef]
- Shi, J.; Zhang, N.; Wang, W.; Zhang, M.; Cai, G.; Gao, W. The effect of the preferred illuminance on dynamic features of the brain activity during reading. J. Build. Eng. 2025, 103, 112064. [Google Scholar] [CrossRef]
- Rosenholtz, R.; Li, Y.; Nakano, L. Measuring visual clutter. J. Vis. 2007, 7, 17. [Google Scholar] [CrossRef] [PubMed]
- Zhang, X.; Klevering, G.; Lei, X.; Hu, Y.; Xiao, L.; Tu, G.H. The security in optical wireless communication: A survey. ACM Comput. Surv. 2023, 55, 1–36. [Google Scholar] [CrossRef]
- Higuera-Trujillo, J.L.; López-Tarruella, J.; Llinares, C. Psychological and physiological human responses to simulated and real environments: A comparison between Photographs, 360° Panoramas, and Virtual Reality. Appl. Ergon. 2017, 65, 398–409. [Google Scholar] [CrossRef]
- de Kort, Y.A.W.; IJsselsteijn, W.A.; Kooijman, J.; Schuurmans, Y. Virtual laboratories: Comparability of real and virtual environments for environmental psychology. Presence 2003, 12, 360–373. [Google Scholar] [CrossRef]
Disclaimer/Publisher’s Note: The statements, opinions and data contained in all publications are solely those of the individual author(s) and contributor(s) and not of MDPI and/or the editor(s). MDPI and/or the editor(s) disclaim responsibility for any injury to people or property resulting from any ideas, methods, instructions or products referred to in the content. |
© 2026 by the authors. Licensee MDPI, Basel, Switzerland. This article is an open access article distributed under the terms and conditions of the Creative Commons Attribution (CC BY) license.









