A Refined Method for Inspecting the Verticality of Thin Tower Structures Using the Marching Square Algorithm
Abstract
1. Introduction
2. Methods and Materials
2.1. Acquisition of High-Precision Point Cloud Data
- Acquisition of raw point cloud data. The ground-based LiDAR measurement equipment is set up at a suitable location facing the thin tower structures to ensure clear visibility and stable positioning. A full circumferential scan is then performed to collect the raw point cloud data.
- Acquisition of high-precision and valid point cloud data. Point cloud registration is performed using at least three reliable corresponding points between two stations, followed by denoising and redundancy removal, to ensure that the inter-station registration and stitching accuracy meet (where denotes the nominal 3D coordinate measurement accuracy of the terrestrial laser scanner), and to obtain high-precision, valid point cloud data [67] of the thin tower structures in the same station-center space coordinate system.
2.2. Extraction of Slice Polygon Contours and Corresponding Centroid Coordinates
- Cross-sectional slicing and point cloud projection. In the station-center space coordinate system (O-XYZ), the preprocessed tower body point cloud is horizontally sliced along the z-axis at a predefined height interval to generate slice point cloud datasets. To meet the input requirement of the Marching Square algorithm for a 2D scalar field on a regular grid and to simplify cross-sectional contour extraction, the 3D point cloud within each slice is projected onto the x–y plane. Specifically, for the point cloud belonging to the same slice, the 3D coordinates retain only the planar components , while the height variation along the z-axis is ignored, thereby forming a projected point cloud dataset of the slice on the plane. This planar projection point cloud dataset is defined by Equation (2).
- 2.
- 3.
- Area-weighted centroid calculation for polygon contours. Because the vertices on a polygon contour are often non-uniformly distributed, using the arithmetic mean of the vertex coordinates as the centroid may not accurately represent the true center position. Therefore, this study adopts an area-weighted centroid method to compute the centroid of the polygon contour. Specifically, the centroid coordinates are estimated by using the polygon interior area as weights. This method effectively mitigates the influence of non-uniform vertex distribution, making the computed centroid more representative of the overall geometry of the polygon contour. The specific computational steps are as follows:
2.3. Determination of the Spatial Line Equation and Direction Vector of the Axis
2.4. Calculation of the Tilt Posture Parameters of the Axis
- Calculation of the tilt azimuth of the thin tower structure’s central axis. The unit vector of the x-axis in the station-center space coordinate system is . Therefore, the tilt azimuth of the thin tower structure’s central axis is the horizontal angle between vector and vector , which is obtained through vector operations, as shown in Equation (15).
- 2.
- Calculation of the tilt angle of the thin tower structure’s central axis. The unit vector of the z-axis in the station-center space coordinate system is . Therefore, the tilt angle of the thin tower structure’s central axis is the longitudinal angle between vector and vector , which is obtained through vector operations, as shown in Equation (16).
- 3.
- Obtaining the verticality inspection results of the thin tower structures. According to the definition of verticality, the verticality value of the thin tower structures can be obtained from Equation (16), as shown in Equation (17).
2.5. Materials
3. Experiment
3.1. Experimental Design
3.2. LiDAR-Based Point Cloud Data Preprocessing
3.3. Cross-Section Slicing Segmentation Strategy Design
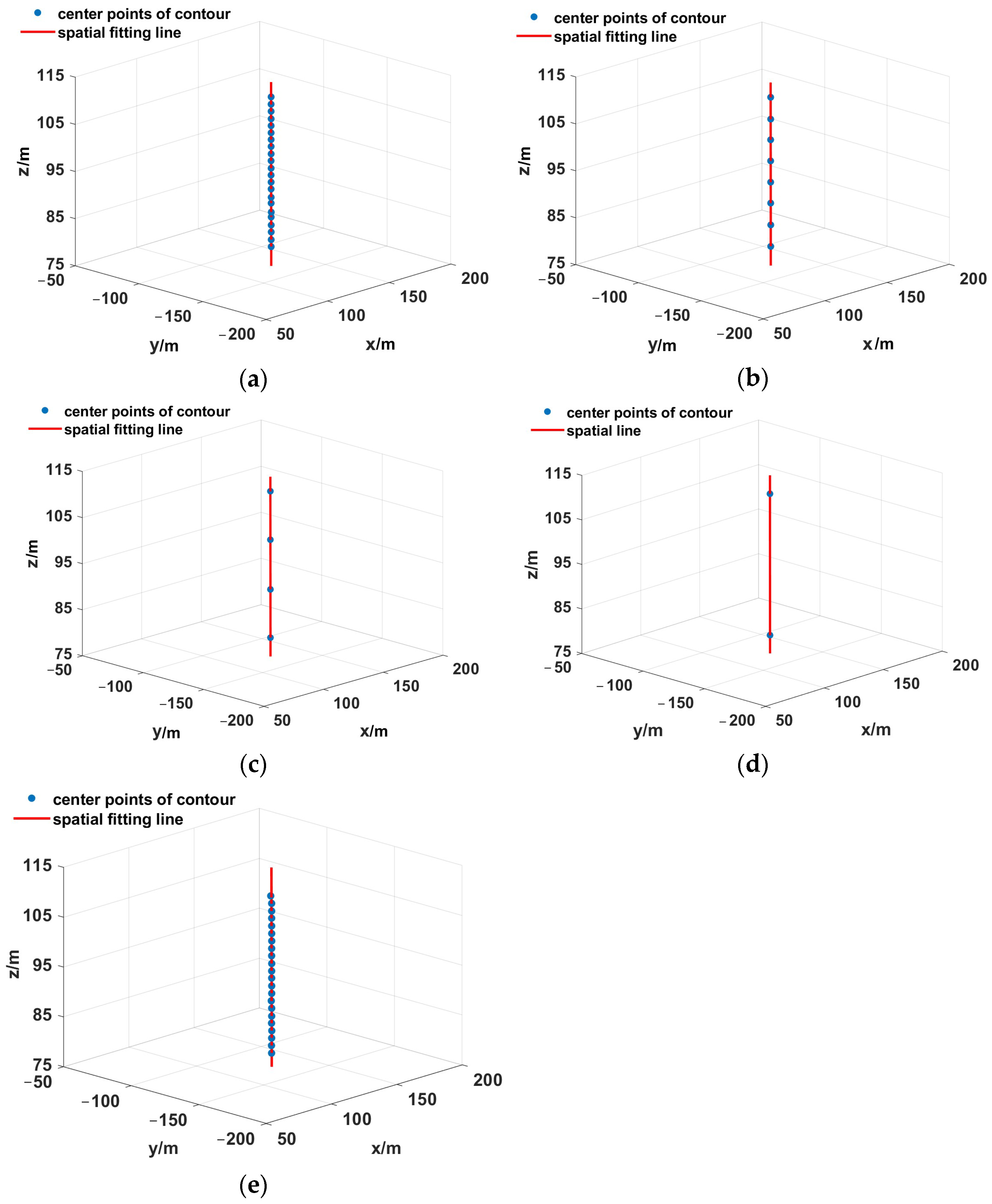
- Scheme A: The cross-section slicing is performed at the 1/2 position of each standard section, obtaining cross-section slices at the 1/2 position of standard sections 1 to 22. The centroid coordinates of the corresponding slice polygon contours are extracted and used to fit the spatial line of the central axis, and its direction vector is then calculated.
- Scheme B: The cross-section slicing is performed at the 1/2 position of every second standard section, obtaining cross-section slices at the 1/2 positions of standard sections 1, 4, 7, 10, 13, 16, 19, and 22. The centroid coordinates of the corresponding slice polygon contours are extracted and used to fit the spatial line of the central axis, and its direction vector is then calculated.
- Scheme C: The cross-section slicing is performed at the 1/2 position of every sixth standard section, obtaining cross-section slices at the 1/2 positions of standard sections 1, 8, 15, and 22. The centroid coordinates of the corresponding slice polygon contours are extracted and used to fit the spatial line of the central axis, and its direction vector is then calculated.
- Scheme D: The cross-section slicing is performed at the 1/2 position of the topmost and bottommost standard sections of the tower body, obtaining cross-section slices at the 1/2 positions of standard sections 1 and 22. The centroid coordinates of the corresponding slice polygon contours are extracted and used to directly calculate the direction vector of the spatial line of the central axis.
- Scheme E: Using the method reported in reference [66], each standard section is horizontally segmented into a sliced cuboid point cloud segment, obtaining 22 cuboid segments of sections 1 to 22. The centroid coordinates of the corresponding cuboid point cloud contours are extracted and used to fit the spatial line of the central axis, and its direction vector is then calculated.
4. Results
4.1. Verticality Results
4.2. Accuracy Analysis of Verticality Results
5. Discussions
6. Conclusions and Outlook
- The proposed refined method for verticality inspection of thin tower structures using the Marching Square algorithm enables high-precision modeling of the spatial morphology of the main axis. It also enables accurate extraction of 3D verticality. This method establishes a generalized technical framework for verticality computation through point cloud slicing, contour reconstruction, and axis fitting, providing a universal approach for extracting geometric posture parameters of complex thin tower structures. By applying the Marching Square algorithm to extract cross-sectional contours with topological continuity and geometric closure, the method ensures the completeness and repeatability of the reconstructed contours. It also enhances the stability of verticality calculations under noise interference and improves adaptability in real engineering scenarios, thereby offering reliable support for non-contact safety inspection of thin tower structures.
- The proposed method was validated through a field experiment conducted at a construction site involving a tower crane. Four cross-sectional slicing strategies for point cloud data were designed, and the corresponding verticality values of the tower crane were measured as 2.18‰, 1.75‰, 1.69‰, and 1.44‰, respectively. These results are close to the reference value of 2.51‰ obtained using the method in [66], and all values comply with the verticality requirement of no more than 4‰ specified in the GB/T 5031-2019 (Tower Cranes). This demonstrates that the verticality of the tested tower crane satisfies current construction safety inspection standards, indicating good structural stability and operational safety.
- For practical engineering applications of the proposed algorithm, the recommended segmentation strategy can be summarized as follows: if computational workload is not a primary concern, using the full point cloud dataset to extract verticality provides the highest reliability. If the workload needs to be reduced, a “thinning” strategy can be adopted, i.e., extracting contour-based geometric features and fitting verticality at intervals of one to three standard sections. This approach can still maintain satisfactory reliability and accuracy.
- The verticality inspection method proposed in this study was validated using a standard tower body structure, demonstrating its effectiveness and feasibility in extracting the structural axis and characterizing verticality.
Author Contributions
Funding
Data Availability Statement
Conflicts of Interest
References
- Antunes, P.; Travanca, R.; Varum, H.; André, P. Dynamic Monitoring and Numerical Modelling of Communication Towers with FBG Based Accelerometers. J. Constr. Steel Res. 2012, 74, 58–62. [Google Scholar] [CrossRef]
- Bel-Hadj, Y.; Weil, M.; Weijtjens, W.; Devriendt, C. Experimental Validation of Automated OMA and Mode Tracking for Structural Health Monitoring of Transmission Towers. Struct. Health Monit. 2025, 24, 1272–1291. [Google Scholar] [CrossRef]
- Xiao, Q.; Wang, H.; Liu, Z.; Zhang, X.; Ma, B.; Lin, C.; Liu, C.; Nie, J.; Li, X.; Huang, Y. Intelligent Control and Monitoring of AI-Driven Landing Double Rocker Arm Holding Systems in Mountainous Power Grid Construction. In Proceedings of the 2025 8th International Conference on Computer Information Science and Artificial Intelligence, Wuhan, China, 12 September 2025; ACM: New York, NY, USA; pp. 875–881. [Google Scholar]
- Lu, B.; Yang, Z.; Ding, M.; Ma, J.; Sun, D.; Li, W.; Zhao, X. Vision-Based Transmission Tower Strain Monitoring Using Industrial Camera Module and Slider Strain Sensing Mechanism. J. Civ. Struct. Health Monit. 2025, 15, 2419–2432. [Google Scholar] [CrossRef]
- Wang, Z.; Zhang, T. Discussion and Research on Tilt Prevention and Control Techniques for Transmission Line Steel Towers in Mined-Out Areas. Electron. World 2014, 17, 94–95. [Google Scholar]
- Wang, G.; Wei, Y.; Cao, B.; Zheng, C. Research on tower of power grid monitoring based on Beidou satellite. Energy Environ. Prot. 2017, 39, 102–106. [Google Scholar]
- Syazwin, A.; Ramli, L.; Lazim, I.M. A Review of Anti-Swing Control for Cranes. Semarak Proc. Appl. Sci. Eng. Technol. 2025, 1, 121–125. [Google Scholar] [CrossRef]
- Muddassir, M.; Zayed, T.; Ali, A.H.; Elrifaee, M.; Abdulai, S.F.; Yang, T.; Eldemiry, A. Automation in Tower Cranes over the Past Two Decades (2003–2024). Autom. Constr. 2025, 170, 105889. [Google Scholar] [CrossRef]
- Jiang, W.; Ding, L.; Zhou, C. Digital Twin: Stability Analysis for Tower Crane Hoisting Safety with a Scale Model. Autom. Constr. 2022, 138, 104257. [Google Scholar] [CrossRef]
- Zhang, Z.; Pan, W. Lift Planning and Optimization in Construction: A Thirty-Year Review. Autom. Constr. 2020, 118, 103271. [Google Scholar] [CrossRef]
- Ali, A.H.; Zayed, T.; Wang, R.D.; Kit, M.Y.S. Tower Crane Safety Technologies: A Synthesis of Academic Research and Industry Insights. Autom. Constr. 2024, 163, 105429. [Google Scholar] [CrossRef]
- Ni, Y.; Zhou, H. Guangzhou New TV Tower: Integrated Structural Health Monitoring and Vibration Control. In Proceedings of the Structures Congress 2010, Orlando, FL, USA, 18 May 2010; American Society of Civil Engineers: Reston, VA, USA; pp. 3155–3164. [Google Scholar]
- D’Amato, M.; Sulla, R. Investigations of Masonry Churches Seismic Performance with Numerical Models: Application to a Case Study. Arch. Civ. Mech. Eng. 2021, 21, 161. [Google Scholar] [CrossRef]
- Formisano, A.; Marzo, A. Simplified and Refined Methods for Seismic Vulnerability Assessment and Retrofitting of an Italian Cultural Heritage Masonry Building. Comput. Struct. 2017, 180, 13–26. [Google Scholar] [CrossRef]
- Artese, S.; Nico, G. TLS and GB-RAR Measurements of Vibration Frequencies and Oscillation Amplitudes of Tall Structures: An Application to Wind Towers. Appl. Sci. 2020, 10, 2237. [Google Scholar] [CrossRef]
- Guo, L.; Xie, Y.; Yu, Q.; You, Y.; Wang, X.; Li, X. Displacements of Tower Foundations in Permafrost Regions along the Qinghai–Tibet Power Transmission Line. Cold Reg. Sci. Technol. 2016, 121, 187–195. [Google Scholar] [CrossRef]
- Ren, R. Research on Damage Identification of Transmission Tower Structures Based on Support Vector Machine. Master’s Thesis, Northeast Electric Power University, Jilin, China, 2025. [Google Scholar]
- Hussein, M.; Zayed, T. Crane Operations and Planning in Modular Integrated Construction: Mixed Review of Literature. Autom. Constr. 2021, 122, 103466. [Google Scholar] [CrossRef]
- Chen, Y.; Zeng, Q.; Zheng, X.; Shao, B.; Jin, L. Safety Supervision of Tower Crane Operation on Construction Sites: An Evolutionary Game Analysis. Saf. Sci. 2022, 152, 105578. [Google Scholar] [CrossRef]
- Fu, Y.; Bu, J.; Lin, J.; Liu, J.; Zhang, C. Selection and Layout Optimization of Double Tower Cranes. Buildings 2024, 14, 1705. [Google Scholar] [CrossRef]
- Zhu, A.; Zhang, Z.; Pan, W. Technologies, Levels and Directions of Crane-Lift Automation in Construction. Autom. Constr. 2023, 153, 104960. [Google Scholar] [CrossRef]
- Dutta, S.; Cai, Y.; Huang, L.; Zheng, J. Automatic Re-Planning of Lifting Paths for Robotized Tower Cranes in Dynamic BIM Environments. Autom. Constr. 2020, 110, 102998. [Google Scholar] [CrossRef]
- Lu, Y.; Gao, M.; Liang, T.; He, Z.; Feng, F.; Pan, F. Wind-Induced Vibration Assessment of Tower Cranes Attached to High-Rise Buildings under Construction. Autom. Constr. 2022, 135, 104132. [Google Scholar] [CrossRef]
- Spirina, A.; Mironov, A.; Datkhuzheva, R.; Maksimov, A.; Belova, N. Analysis of Occupational Injuries in Construction and Offer of a Technical Solution Increasing Tower Crane Stability. Transp. Res. Procedia 2023, 68, 559–565. [Google Scholar] [CrossRef]
- Kim, S.-K.; Kim, J.-Y.; Lee, D.-H.; Ryu, S.-Y. Automatic Optimal Design Algorithm for the Foundation of Tower Cranes. Autom. Constr. 2011, 20, 56–65. [Google Scholar] [CrossRef]
- Hu, S.; Fang, Y.; Bai, Y. Automation and Optimization in Crane Lift Planning: A Critical Review. Adv. Eng. Inform. 2021, 49, 101346. [Google Scholar] [CrossRef]
- Yin, J.; Wang, H.; Li, J.; Zhang, Z.; Cai, S.; Liu, W. Dispatching Rule Design for Tower Crane Scheduling in Prefabricated Construction via Genetic Programming. Autom. Constr. 2024, 165, 105588. [Google Scholar] [CrossRef]
- Cao, Y.; Li, T. Review of Antiswing Control of Shipboard Cranes. IEEE/CAA J. Autom. Sin. 2020, 7, 346–354. [Google Scholar] [CrossRef]
- Pan, Z.; Cheng, X.; Cheng, O.; Wang, T.; Ou, Y.; Zou, J.; Wang, C. Digital Topographic Surveying, 2nd ed.; Wuhan University Press: Wuhan, China, 2015. [Google Scholar]
- Zhang, Z. Engineering Surveying, 2nd ed.; Wuhan University Press: Wuhan, China, 2013. [Google Scholar]
- Zhou, M.; Luo, D.; Ding, K.; Zhou, L.; Wang, J. GNSS accurate positioning-point and setting-out of hoisting operation for construction tower crane. Bull. Surv. Mapp. 2019, 11, 60–63. [Google Scholar]
- Song, J.; Song, H.; Jiang, Y.; Hou, L. Measurement on the Inclination of Power Pole and Tower Erected on Special Landform. Power Syst. Technol. 2010, 34, 219–222. [Google Scholar]
- Huang, X.; Liao, M.; Xu, G.; Zhu, Y.; Zhao, L. Stress monitoring method applying FBG sensor for transmission line towers. Electr. Power Autom. Equip. 2016, 36, 68–72. [Google Scholar]
- Song, H. Measurement of Gradient of Pole Tower with Flat Mirror Method. Anhui Archit. 2008, 15, 196–197. [Google Scholar]
- Zhou, M.; Bao, H.; Zhang, W.; Ma, B. GNSS-based lateral perpendicularity intelligent detection for construction tower crane. J. Build. Eng. 2021, 42, 26–31. [Google Scholar]
- Zhou, M.; Ma, B.; Bao, H.; Shi, W.; Luo, D. GNSS—Based Verticality Intelligent Detection in Rounds for Construction Tower Crane. J. Build. Eng. 2020, 35, 223–230. [Google Scholar]
- Liu, F. Research on the Application of Drilling Verticality Monitoring Instrument Based on Laser Plumb Bob and Inclinometer in Transmission Tower Foundation Construction. Instrum. Meter Users 2025, 32, 127–129. [Google Scholar]
- Wang, D.; Ma, Y.; Zhou, C.; Pan, H. Research on Monitoring and Early Warning Method of Transmission Line Tower Inclination Based on Sensor Data. In Proceedings of the 2021 8th International Forum on Electrical Engineering and Automation (IFEEA), Xi’an, China, 3–5 September 2021; IEEE: New York, NY, USA; pp. 317–321. [Google Scholar]
- Zhang, G.; Liu, M.; Cheng, S.; Wang, M.; Zhao, C.; Zhao, H.; Zhong, G. Research on Transmission Line Tower Tilting and Foundation State Monitoring Technology Based on Multi-Sensor Cooperative Detection and Correction. Energy Eng. 2024, 121, 169–185. [Google Scholar] [CrossRef]
- Ngabo, C.I.; El Beqqali, O. 3D Tilt Sensing by Using Accelerometer-Based Wireless Sensor Networks: Real Case Study: Application in the Smart Cities. In Proceedings of the 2018 International Conference on Intelligent Systems and Computer Vision (ISCV), Fez, Morocco, 2–4 April 2018; IEEE: New York, NY, USA; pp. 1–8. [Google Scholar]
- Gao, M.; Zhao, Z.; Li, Y.; Xu, X.; Li, C.; Zhang, J. Monitoring and research on tilt of transmission line tower based on optical fiber sensing. J. Electron. Meas. Instrum. 2018, 32, 51–59. [Google Scholar]
- Gemayel, A.; Irvandy, D.; Kusmiyanto, A.; Prabowo, L.; Muslim, J.; Yudhistira, P.A. Verticality Online Monitoring (VENOM): An Advance Method for Transmission Tower Tilt Assessment Based on Arduino. In Proceedings of the 2024 10th International Conference on Automation, Robotics and Applications (ICARA), Athens, Greece, 22 February 2024; IEEE: New York, NY, USA; pp. 365–369. [Google Scholar]
- Li, W.; Jiawei, Z.; Hongsen, W.; Dapeng, J. Deformation monitoring of ancient towers based on 3D laser scanning technology. Bull. Surv. Mapp. 2020, 7, 120–124+129. [Google Scholar]
- Yang, Y.; Yang, C.; Pang, D.; Zhu, H.; Ma, T.; Zhao, Y.; Wang, S. Deformation monitoring of Wanshou temple tower based on 3D laser scanning. Bull. Surv. Mapp. 2020, 5, 119–122. [Google Scholar]
- Li, Z.; Zhou, C.; Yan, Y.; Liu, Y. Practical Application of Low-Altitude Aerial Photogrammetry and 3D Data Processing in the Surveying and Mapping of Ancient Pagodas: A Case Study of the Dule Temple Pagoda in Tianjin. China Cult. Herit. 2016, 3, 61–67. [Google Scholar]
- Hong, Z.; Yang, F.; Pan, H.; Zhou, R.; Zhang, Y.; Han, Y.; Wang, J.; Yang, S.; Xu, L.; Luan, K. Tilt Monitoring of Tower Based on Video-Photogrammetry. Sens. Mater. 2021, 33, 4475. [Google Scholar] [CrossRef]
- Liang, H.; Yuan, J.; Wang, Y.; Liu, X. Deformation Monitoring of Transmission Towers Using 3D Laser Scanning Technology. Bull. Surv. Mapp. 2017, 7, 156–157. [Google Scholar]
- Shen, X.; Du, Y.; Wang, R.; Zhao, K.; Qin, Q. Inclination measurement of transmission line tower based on terrestrial 3D lidar. J. Electron. Meas. Instrum. 2017, 31, 516–521. [Google Scholar]
- Lu, Z.; Gong, H.; Jin, Q.; Hu, Q.; Wang, S. A Transmission Tower Tilt State Assessment Approach Based on Dense Point Cloud from UAV-Based LiDAR. Remote Sens. 2022, 14, 408. [Google Scholar] [CrossRef]
- Liu, R.; Pei, H.; Chen, C.; Tian, Z.; Hao, C. Research on Inclination Monitoring Technology of Transmission Tower Based on UAV. J. Phys. Conf. Ser. 2021, 2030, 012076. [Google Scholar] [CrossRef]
- Yao, D. A Non-Contact Rapid Detection Method for the Verticality of Large-Scale Chimneys. Urban Constr. Theory Res. Ed. 2020, 5, 40–41. [Google Scholar]
- Kregar, K.; Ambrožič, T.; Kogoj, D.; Vezočnik, R.; Marjetič, A. Determining the Inclination of Tall Chimneys Using the TPS and TLS Approach. Measurement 2015, 75, 354–363. [Google Scholar] [CrossRef]
- Barazzetti, L.; Previtali, M.; Roncoroni, F. The Use of Terrestrial Laser Scanning Techniques to Evaluate Industrial Masonry Chimney Verticality. Int. Arch. Photogramm. Remote Sens. Spat. Inf. Sci. 2019, XLII-2/W11, 173–178. [Google Scholar] [CrossRef][Green Version]
- Zhang, X.; Yang, M.; Wang, D.; Chen, B.; Song, K. A Transmission Line Tower Tilt Detection Method Based on BeiDou Positioning Signals and UAV Inspection Images. J. Radiat. Res. Appl. Sci. 2024, 17, 101192. [Google Scholar] [CrossRef]
- Jiang, T.; Lv, P.; Li, D. A New Shape Reconstruction Method for Monitoring the Large Deformations of Offshore Wind Turbine Towers. Ocean Eng. 2024, 312, 119253. [Google Scholar] [CrossRef]
- Ji, X.; Ren, L.; Fu, X.; Zhang, Q.; Li, H. Deformation Monitoring of Monopole Communication Towers Based on Multi-Source Data Fusion. Buildings 2023, 13, 2709. [Google Scholar] [CrossRef]
- Wang, G.; Wu, G.; Wang, M.; Guo, M.; Zhao, J.; Gao, C. Deformation Monitoring of Ancient Pagoda with Multi-source Data. J. Geomat. Sci. Technol. 2018, 20, 496–504. [Google Scholar]
- Xue, Z.; Li, Y.; Liu, L.; Du, Y.; Zhao, S. Application of 3D laser scanning technology in verticality detection of ancient tower architecture. Beijing Surv. Mapp. 2025, 39, 986–992. [Google Scholar]
- Chen, L.; Chang, J.; Xu, J.; Yang, Z. Automatic Measurement of Inclination Angle of Utility Poles Using 2D Image and 3D Point Cloud. Appl. Sci. 2023, 13, 1688. [Google Scholar] [CrossRef]
- Wu, B.; Tong, L.; Chen, Y. Revised Improved DINSAR Algorithm for Monitoring the Inclination Displacement of Top Position of Electric Power Transmission Tower. IEEE Geosci. Remote Sens. Lett. 2018, 15, 877–881. [Google Scholar] [CrossRef]
- Yu, W.; Cao, T. A Real Time Monitoring Algorithm Based on Computer Vision for Perpendicularity of Tower Crane. Mech. Eng. Autom. 2016, 6, 162–164. [Google Scholar]
- Bian, Y.; Zhao, H.; Liu, Z.; Su, Z.; Guan, B.; Zhang, D.; Yu, Q. Stereo Vision-Based Health Monitoring Method for Wind Turbine Towers. Measurement 2024, 226, 114148. [Google Scholar] [CrossRef]
- Pleterski, Ž.; Rak, G.; Kregar, K. Determination of Chimney Non-Verticality from TLS Data Using RANSAC Method. Remote Sens. 2024, 16, 4541. [Google Scholar] [CrossRef]
- Zhou, M.; Qin, Y.; Xie, Q.; Song, Q.; Lin, S.; Qin, L.; Zhou, Z.; Wu, G.; Yan, P. Tilt Monitoring of Super High-Rise Industrial Heritage Chimneys Based on LiDAR Point Clouds. Buildings 2025, 15, 3046. [Google Scholar] [CrossRef]
- Arayici, Y. An Approach for Real World Data Modelling with the 3D Terrestrial Laser Scanner for Built Environment. Autom. Constr. 2007, 16, 816–829. [Google Scholar] [CrossRef]
- Zhou, M.; Qin, Y.; Meng, Q.; Xu, X. A LiDAR inspection method of tower verticality based on Marching Cubes algorithm. Geomat. Sci. 2025, 50, 123–131. [Google Scholar]
- Xie, Z.; Xu, S.; Li, X. A High-Accuracy Method for Fine Registration of Overlapping Point Clouds. Image Vis. Comput. 2010, 28, 563–570. [Google Scholar] [CrossRef]
- Bobrowski, P. Estimation of Systematic Errors of Discrete Line Approximation by Triangular Tessellation and Marching Squares Algorithm. Micron 2021, 141, 102966. [Google Scholar] [CrossRef]
- Muñoz, J.; López, B.; Quevedo, F.; Garrido, S.; Monje, C.A.; Moreno, L.E. Gaussian Processes and Fast Marching Square Based Informative Path Planning. Eng. Appl. Artif. Intell. 2023, 121, 106054. [Google Scholar] [CrossRef]
- Mantz, H.; Jacobs, K.; Mecke, K. Utilizing Minkowski Functionals for Image Analysis: A Marching Square Algorithm. J. Stat. Mech. Theory Exp. 2008, 2008, P12015. [Google Scholar] [CrossRef]
- Ding, F. Least Squares Parameter Estimation and Multi-Innovation Least Squares Methods for Linear Fitting Problems from Noisy Data. J. Comput. Appl. Math. 2023, 426, 115107. [Google Scholar] [CrossRef]
- GB/T 5031-2019; Standardization Administration of China. China National Standards Press: Beijing, China, 2019.









| Indicator | Scheme A | Scheme B | Scheme C | Scheme D | Scheme E |
|---|---|---|---|---|---|
| Number of cross-section slices (body) | 22 | 8 | 4 | 2 | 22 |
| Number of polygon contours | 22 | 8 | 4 | 2 | 22 |
| Number of centroids of the contours | 22 | 8 | 4 | 2 | 22 |
| Direction vector of the spatial fitting line | 0.0042972, | 0.0045039, | 0.0033030, | 0.0036295, | −0.0036828, |
| −0.0059550, | −0.0054366, | −0.0057018, | −0.0054443, | 0.0065712 | |
| −2.9999910, | −2.9999916 | −2.9999928 | −2.9999929 | 2.9999904 | |
| Normalized direction vector of the central axis | 0.0014324, | 0.0015013, | 0.0011010, | 0.0012098, | −0.0012276 |
| −0.0019850, | −0.0018122, | −0.0019006, | −0.0018148, | 0.0021904 | |
| −0.9999970 | −0.9999972 | −0.9999976 | −0.9999976 | 0.9999968 | |
| Tilt azimuth of the central axis | 89°55′05″ | 89°54′33″ | 89°56′13″ | 89°55′50″ | 90°04′13″ |
| Tilt angle of the central axis | 0°08′25″ | 0°08′05″ | 0°07′33″ | 0°07′30″ | 0°07′38″ |
| Verticality value of the tower body | 2.45‰ | 2.35‰ | 2.20‰ | 2.18‰ | 2.51‰ |
| Indicator | Scheme A | Scheme B | Scheme C | Scheme D |
|---|---|---|---|---|
| Tilt azimuth and its mean value | 89°55′05″ | 89°54′33″ | 89°56′13″ | 89°55′50″ |
| 89°55′25″ | ||||
| Reference value of the tilt azimuth | 90°04′13″ | |||
| Relative error (%) of the tilt azimuth and its mean value | 0.17 | 0.18 | 0.15 | 0.16 |
| 0.17 | ||||
| Tilt angle and its mean value | 0°08′25″ | 0°08′05″ | 0°07′33″ | 0°07′30″ |
| 0°07′53″ | ||||
| Reference value of the tilt angle | 0°07′38″ | |||
| Relative error (%) of the tilt angle and its mean value | 10.26 | 5.90 | 1.09 | 1.75 |
| 4.75 | ||||
| Verticality and its mean value (‰) | 2.45 | 2.35 | 2.20 | 2.18 |
| 2.30 | ||||
| Reference value of verticality (‰) | 2.51 | |||
| Relative error (%) of verticality and its mean value | 2.39 | 6.37 | 12.35 | 13.15 |
| 8.57 | ||||
Disclaimer/Publisher’s Note: The statements, opinions and data contained in all publications are solely those of the individual author(s) and contributor(s) and not of MDPI and/or the editor(s). MDPI and/or the editor(s) disclaim responsibility for any injury to people or property resulting from any ideas, methods, instructions or products referred to in the content. |
© 2026 by the authors. Licensee MDPI, Basel, Switzerland. This article is an open access article distributed under the terms and conditions of the Creative Commons Attribution (CC BY) license.
Share and Cite
Zhou, M.; Wu, G.; Qin, Y.; Zhou, Z.; Song, Q.; Lin, S.; Qin, L.; Yan, P.; Li, S. A Refined Method for Inspecting the Verticality of Thin Tower Structures Using the Marching Square Algorithm. Buildings 2026, 16, 604. https://doi.org/10.3390/buildings16030604
Zhou M, Wu G, Qin Y, Zhou Z, Song Q, Lin S, Qin L, Yan P, Li S. A Refined Method for Inspecting the Verticality of Thin Tower Structures Using the Marching Square Algorithm. Buildings. 2026; 16(3):604. https://doi.org/10.3390/buildings16030604
Chicago/Turabian StyleZhou, Mingduan, Guanxiu Wu, Yuhan Qin, Zihan Zhou, Qiao Song, Shiqi Lin, Lu Qin, Peng Yan, and Shufa Li. 2026. "A Refined Method for Inspecting the Verticality of Thin Tower Structures Using the Marching Square Algorithm" Buildings 16, no. 3: 604. https://doi.org/10.3390/buildings16030604
APA StyleZhou, M., Wu, G., Qin, Y., Zhou, Z., Song, Q., Lin, S., Qin, L., Yan, P., & Li, S. (2026). A Refined Method for Inspecting the Verticality of Thin Tower Structures Using the Marching Square Algorithm. Buildings, 16(3), 604. https://doi.org/10.3390/buildings16030604

